A Binocular Vision-Assisted Method for the Accurate Positioning and Landing of Quadrotor UAVs
Abstract
1. Introduction
2. A Binocular Vision-Based Target Recognition and Localization Method
2.1. Design and Recognition of Apriltag-Based Fiducial Markers
2.2. Improved Image Preprocessing Method
- (1)
- They possess relatively higher hue values (H).
- (2)
- Due to the scattering of primarily shorter wavelengths of blue and violet light, shadows exhibit higher saturation levels (S).
- (3)
- The obstruction of sunlight results in lower brightness values (V).
2.3. Position Decoding and Estimation
2.3.1. Definition and Transformation of Coordinate Systems
- (1)
- Pixel coordinate system : The origin is positioned at the top left corner of the image’s center of projection. The U-axis extends horizontally to the right from the origin, while the V-axis extends vertically downwards. The unit of measurement in this coordinate system is pixels.
- (2)
- Image plane coordinate system : The origin is set at the corner of the image formation plane where the camera’s optical axis intersects. The X-axis and Y-axis are located on the image formation plane.
- (3)
- Camera coordinate system : The origin of this system is located at the camera’s optical center. The camera’s optical axis defines the , while the and axes are parallel to the image plane coordinate system.
- (4)
- UAV (unmanned aerial vehicle) coordinate system : The origin of this system is centered at the UAV’s body. The positive direction of the aligns with the nose of the UAV, the positive direction of the points to the right side of the UAV’s body, and the positive direction of the is vertically downwards from the UAV’s body.
2.3.2. Position Calculation and Estimation Methods
- (1)
- Position and Velocity Estimation Based on Kalman Filter
2.3.3. Relative Height Estimation Within a Region Based on Binocular Vision
3. Quadrotor UAV Moving Landing Control Method
3.1. Quadrotor UAV Model
- (1)
- The quadrotor UAV body is considered a completely rigid body.
- (2)
- The geometric center and the center of gravity of the quadrotor UAV are perfectly aligned.
- (3)
- The mass and moment of inertia of the quadrotor UAV remain constant.
- (4)
- The gravitational force and aerodynamic drag experienced by the quadrotor UAV do not change with variations in the flight environment.
- (5)
- The gravitational force acting on the quadrotor UAV is always along the , and the thrust generated via the rotors is always parallel to the .
3.2. Design of the Inner-Loop Controller Based on PID
3.3. Outer-Loop Controller Design Based on MPC
3.4. Moving Target Tracking and Landing Control Strategy
4. Experimental Validation
4.1. Image Preprocessing Experimental Validation
4.2. Target Recognition and Localization Experimental Validation
4.3. Simulation Flight Experiment Validation
4.3.1. Attitude Control Loop Validation
4.3.2. Horizontal Speed Control Loop Validation
4.3.3. Mobile Tracking Simulation Experiments
4.3.4. Validation of Altitude Control Loop
4.4. Physical Flight Test Verification
4.4.1. Hardware Platform
4.4.2. MPC-Based Fixed-Point Landing Experiments
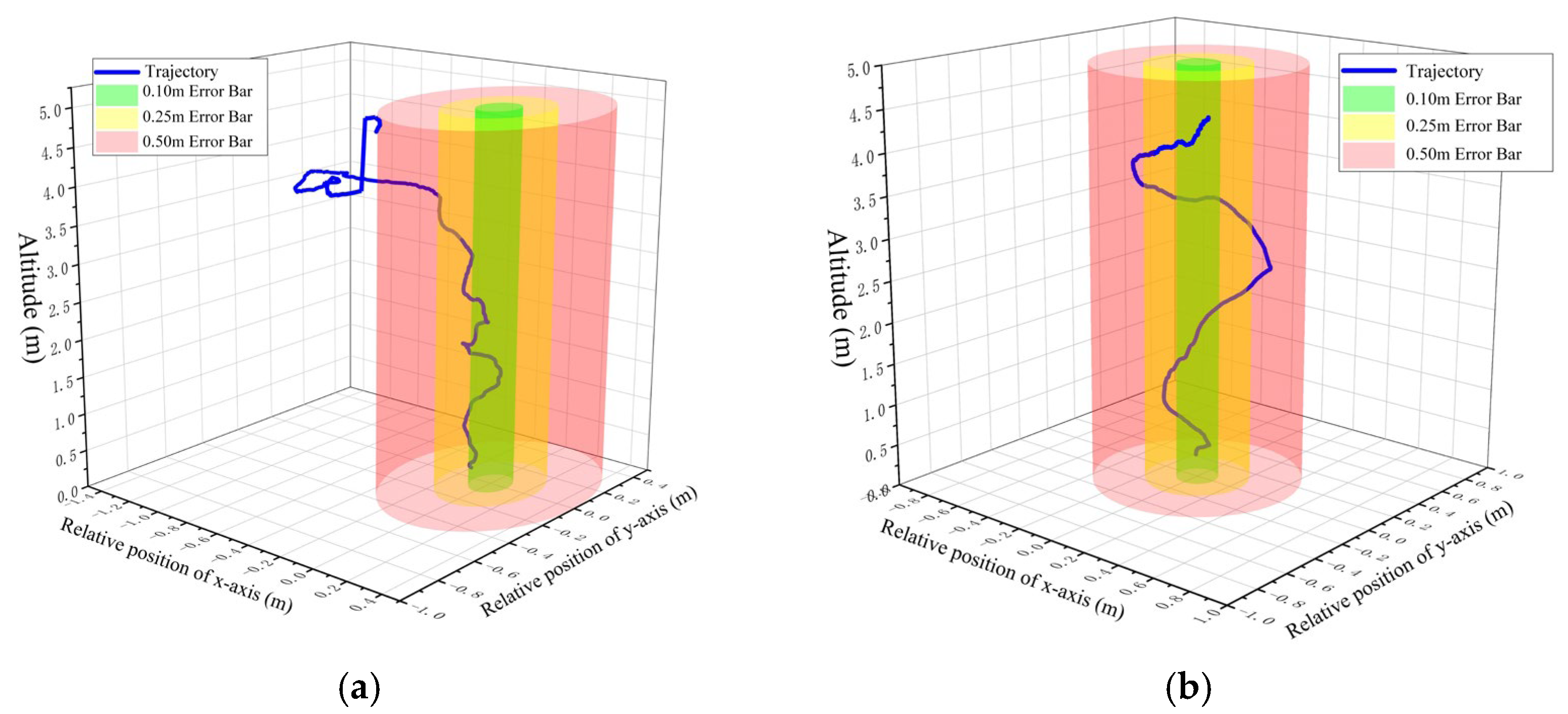
4.4.3. Analysis of Fixed-Point Landing Experiments
4.4.4. Flight Experiments for Mobile Landing
Mobile Landing Experiment Utilizing MPC
Analysis of Mobile Landing Experiments
5. Conclusions
Author Contributions
Funding
Data Availability Statement
Conflicts of Interest
References
- Falanga, D.; Zanchettin, A.; Simovic, A.; Delmerico, J.; Scaramuzza, D. Vision-based autonomous quadrotor landing on a moving platform. In Proceedings of the 2017 IEEE International Symposium on Safety, Security and Rescue Robotics (SSRR), Shanghai, China, 11–13 October 2017; IEEE: New York, NY, USA, 2017; pp. 200–207. [Google Scholar]
- Rodriguez-Ramos, A.; Sampedro, C.; Bavle, H.; Milosevic, Z.; Garcia-Vaquero, A.; Campoy, P. Towards fully autonomous landing on moving platforms for rotary unmanned aerial vehicles. In Proceedings of the 2017 International Conference on Unmanned Aircraft Systems (ICUAS), Miami, FL, USA, 13–16 June 2017; IEEE: New York, NY, USA, 2017; pp. 170–178. [Google Scholar]
- Keipour, A.; Pereira, G.A.; Bonatti, R.; Garg, R.; Rastogi, P.; Dubey, G.; Scherer, S. Visual Servoing Approach to Autonomous UAV Landing on a Moving Vehicle. Sensors 2022, 22, 6549. [Google Scholar] [CrossRef] [PubMed]
- Lee, D.; Ryan, T.; Kim, H.J. Autonomous landing of a VTOL UAV on a moving platform using image-based visual servoing. In Proceedings of the 2012 IEEE International Conference on Robotics and Automation, St. Paul, MI, USA, 14–18 May 2012; IEEE: New York, NY, USA, 2012; pp. 971–976. [Google Scholar]
- Yan, R.Y. Visual-Servo-Based Ground Object Trackingfor Four-Rotor UAV. Master’s Thesis, National University of Defense Technology, Changsha, China, 2018. [Google Scholar]
- Chen, J.; Liu, Y.C.; Wang, H.; Xu, H. Image-Based Visual Servoing for Fixed-Time Sliding Mode Control of UAVs. Electron. Opt. Control. 2021, 28, 24. [Google Scholar] [CrossRef]
- Chen, C.; Chen, S.; Hu, G.; Chen, B.; Chen, P.; Su, K. An auto-landing strategy based on pan-tilt based visual servoing for unmanned aerial vehicle in GNSS-denied environments. Aerosp. Sci. Technol. 2021, 116, 106891. [Google Scholar] [CrossRef]
- Baca, T.; Stepan, P.; Spurny, V.; Hert, D.; Penicka, R.; Saska, M.; Kumar, V. Autonomous landing on a moving vehicle with an unmanned aerial vehicle. J. Field Robot. 2019, 36, 874–891. [Google Scholar] [CrossRef]
- Yang, T.; Ren, Q.; Zhang, F.; Xie, B.; Ren, H.; Li, J.; Zhang, Y. Hybrid camera array-based uav auto-landing on moving ugv in gps-denied environment. Remote Sens. 2018, 10, 1829. [Google Scholar] [CrossRef]
- Chang, C.-W.; Lo, L.-Y.; Cheung, H.C.; Feng, Y.; Yang, A.-S.; Wen, C.-Y.; Zhou, W. Proactive Guidance for Accurate UAV Landing on a Dynamic Platform: A Visual–Inertial Approach. Sensors 2022, 22, 404. [Google Scholar] [CrossRef] [PubMed]
- Seth, A.; James, A.; Kuantama, E.; Han, R.; Mukhopadhyay, S. AeroBridge: Autonomous Drone Handoff System for Emergency Battery Service. In Proceedings of the 30th Annual International Conference on Mobile Computing and Networking, Washington, DC, USA, 18–20 November 2024; ACM: Washington, DC, USA, 2024; pp. 573–587. [Google Scholar]
- KJain, P.; Park, M.; Mueller, M.W. Docking two multirotors in midair using relative vision measurements, CoRR. arXiv 2020, arXiv:2011.05565. [Google Scholar]
- Chang, Y.; Zhou, H.; Wang, X.; Shen, L.; Hu, T. Cross-Drone Binocular Coordination for Ground Moving Target Tracking in Occlusion-Rich Scenarios. IEEE Robot. Autom. Lett. 2020, 5, 3161–3168. [Google Scholar] [CrossRef]
- Anh, T.H.; Binh, N.T.; Song, J.W. In-Ground-Effect Model Based Adaptive Altitude Control of Rotorcraft Unmanned Aerial Vehicles. IEEE Robot. Autom. Lett. 2022, 7, 794–801. [Google Scholar] [CrossRef]
- Olson, E. AprilTag: A robust and flexible visual fiducial system. In Proceedings of the 2011 IEEE International Conference on Robotics and Automation, Shanghai, China, 9–13 May 2011; IEEE: New York, NY, USA, 2011; pp. 3400–3407. [Google Scholar]
- Wang, J.; Olson, E. AprilTag 2: Efficient and robust fiducial detection. In Proceedings of the 2016 IEEE/RSJ International Conference on Intelligent Robots and Systems (IROS), Daejeon, Republic of Korea, 9–14 October 2016; IEEE: New York, NY, USA, 2016; pp. 4193–4198. [Google Scholar]
- Zhang, J.; Dai, K.X.; Li, G.H. HSV color-space and codebook model based moving objects detection. Syst. Eng. Electron. 2008, 30, 423–427. [Google Scholar]
- Li, W.Y.; Cheng, L.D. New progress of fabric defect detection based on computer vision and image processing. J. Text. Res. 2014, 35, 152–164. [Google Scholar]
- Wu, F.C.; Hu, Z.Y. A Linear Method for the PnP Problem. J. Softw. 2003, 14, 682–688. [Google Scholar]
- Ren, X.Y.; Jiang, L.B.; Zhong, W.J.; Wang, Z. A Vision-based Method for 3D Pose Estimation of Non-cooperative Space Target. J. Electron. Inf. Technol. 2021, 43, 3476–3485. [Google Scholar]
- Huang, M.; Jia, J.; Li, S.; Zhang, J.; Gong, J. Panoramic Texture Mapping Algorithm Based on Multi-image Pose Estimation. J. Wuhan Univ. Inf. Sci. Ed. 2019, 44, 1622–1632. [Google Scholar]
- Wang, Z.X.; Chen, Y.; Zheng, X.J.; Cheng, L. Quadrotor UAV Control with Disturbance Based on Aerodynamic Parameter Estimation. Inf. Control. 2018, 47, 663–670. [Google Scholar]
- Meng, J.D.; Zhao, Z.G. Modeling, Modeling Simulation of Microquadrotor UVA. J. Lanzhou Jiaotong Univ. 2013, 32, 63–67. [Google Scholar]
- Xi, Y.G.; Li, D.W.; Lin, S. Model Predictive Control—Status and Challenges. Acta Autom. Sin. 2013, 39, 222–236. [Google Scholar] [CrossRef]
- Xu, Y.; Lu, L.P.; Chu, D.F. Unified Modeling of Trajectory Planning and Tracking for Unmanned Vehicle. Acta Autom. Sin. 2019, 45, 799–807. [Google Scholar]































| Parameters | Values | Unit |
|---|---|---|
| Model body mass | 1.5 | kg |
| Attitude loop | / | |
| Angular velocity loop | / | |
| Angular velocity loop | / | |
| Angular velocity loop | / | |
| Desired setpoint | rad |
| Parameters | Values | Unit |
|---|---|---|
| Horizontal speed loop | / | |
| Horizontal speed loop | / | |
| Horizontal speed loop | / | |
| Desired setpoint | m/s |
| Parameter | Parameter Value | Unit |
|---|---|---|
| Initial position | m | |
| Prediction horizon | / | |
| Control horizon | / | |
| Control period | s |
| Parameter | Value | Unit |
|---|---|---|
| Initial position of UAV | m | |
| Initial position of target | m | |
| Prediction horizon | / | |
| Control horizon | / | |
| Control interval | s | |
| Velocity of mobile platform | 2.5 | m/s |
| Parameter | Value | Unit |
|---|---|---|
| Altitude loop | / | |
| Velocity loop | / | |
| Acceleration loop | / | |
| Desired setpoint | 1.3 | m |
Disclaimer/Publisher’s Note: The statements, opinions and data contained in all publications are solely those of the individual author(s) and contributor(s) and not of MDPI and/or the editor(s). MDPI and/or the editor(s) disclaim responsibility for any injury to people or property resulting from any ideas, methods, instructions or products referred to in the content. |
© 2025 by the authors. Licensee MDPI, Basel, Switzerland. This article is an open access article distributed under the terms and conditions of the Creative Commons Attribution (CC BY) license (https://creativecommons.org/licenses/by/4.0/).
Share and Cite
Yang, J.; He, K.; Zhang, J.; Li, J.; Chen, Q.; Wei, X.; Sheng, H. A Binocular Vision-Assisted Method for the Accurate Positioning and Landing of Quadrotor UAVs. Drones 2025, 9, 35. https://doi.org/10.3390/drones9010035
Yang J, He K, Zhang J, Li J, Chen Q, Wei X, Sheng H. A Binocular Vision-Assisted Method for the Accurate Positioning and Landing of Quadrotor UAVs. Drones. 2025; 9(1):35. https://doi.org/10.3390/drones9010035
Chicago/Turabian StyleYang, Jie, Kunling He, Jie Zhang, Jiacheng Li, Qian Chen, Xiaohui Wei, and Hanlin Sheng. 2025. "A Binocular Vision-Assisted Method for the Accurate Positioning and Landing of Quadrotor UAVs" Drones 9, no. 1: 35. https://doi.org/10.3390/drones9010035
APA StyleYang, J., He, K., Zhang, J., Li, J., Chen, Q., Wei, X., & Sheng, H. (2025). A Binocular Vision-Assisted Method for the Accurate Positioning and Landing of Quadrotor UAVs. Drones, 9(1), 35. https://doi.org/10.3390/drones9010035

