Coverage Path Planning of UAV Based on Linear Programming—Fuzzy C-Means with Pigeon-Inspired Optimization
Abstract
1. Introduction
- (1)
- To illustrate this problem, this paper abstracts a linear programming model according to characteristics of the coverage path-planning problem in multi-UAV multi-region scenarios.
- (2)
- To tackle the challenges posed by numerous task areas, resulting in complex allocation processes and substantial demands, this paper introduces an improved fuzzy c-means clustering algorithm. This algorithm focuses on the relative distance between task areas and UAVs to efficiently search for cluster centers and boundaries. As a result, it facilitates a clear and logical partitioning of task areas.
- (3)
- To address the coverage path-planning challenges in multi-UAV scenarios, this paper proposes a heuristic algorithm based on the overall shortest path of formation flight to determine the UAVs’ flight paths.
2. System Model and Exact Formulation
2.1. System Models
2.2. Task Area Models
2.3. Exact Formulation
- (C1) Once the UAV is selected for the reconnaissance mission, it takes off from the initial location and returns back after completing all tasks.
- (C2) To ensure that all mission regions are covered with no duplications or omissions, there is one and only one UAV in the mission region to carry out the reconnaissance.
- (C3) The number of UAVs involved in the mission is to be less than or equal to the total number of mission regions.
- (C4) The UAV has to return back to initial location before it runs out of energy.
- (C5) The flight turning radius of the UAV must meet the minimum value.
3. Region Clustering Based on Improved Fuzzy C-Means Algorithm
3.1. Subsection
3.2. Cluster Boundary Determination Phase
4. Path Planning Based on Pigeon-Inspired Optimization Algorithm
4.1. First Phase
4.2. Second Phase
5. Simulation Results
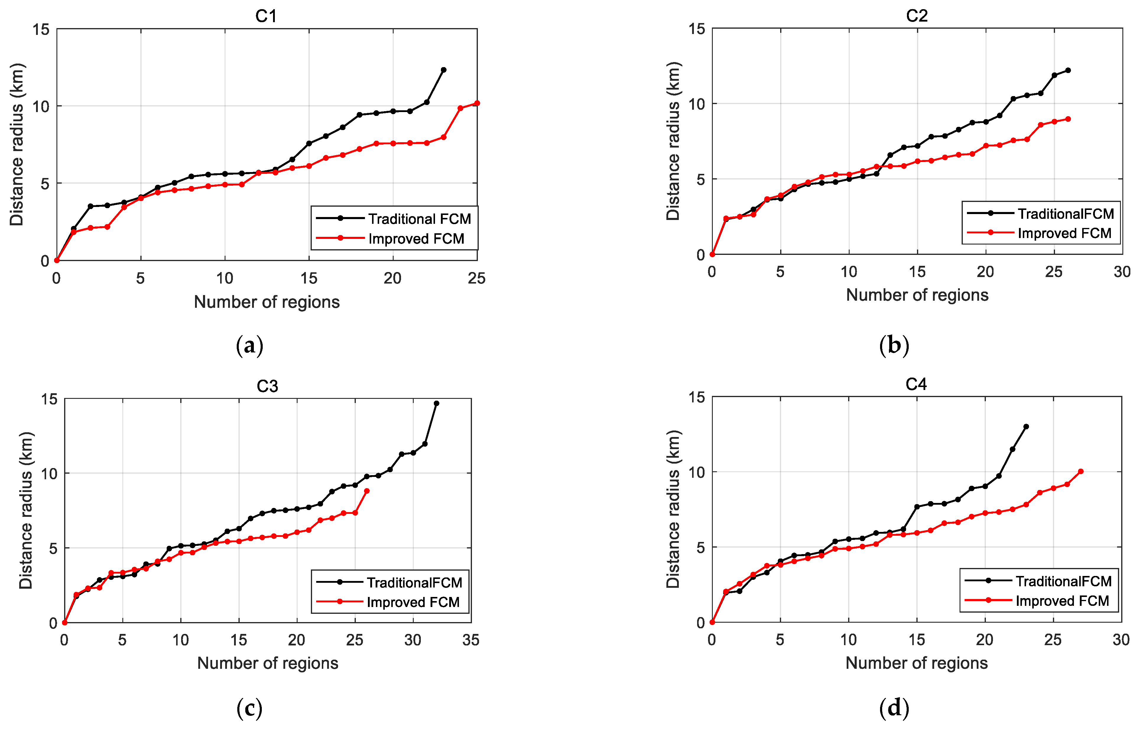
5.1. Task Region Clustering
5.2. Path Planning
5.3. Execution Time Evaluation
6. Conclusions
Author Contributions
Funding
Data Availability Statement
Conflicts of Interest
References
- Liu, W.; Zhang, T.; Huang, S.; Li, K. A hybrid optimization framework for UAV reconnaissance mission planning. Comput. Ind. Eng. 2022, 173, 108653. [Google Scholar] [CrossRef]
- Gao, S.; Wu, J.; Ai, J. Multi-UAV reconnaissance task allocation for heterogeneous targets using grouping ant colony optimization algorithm. Soft Comput. 2021, 25, 7155–7167. [Google Scholar] [CrossRef]
- Chen, H.X.; Nan, Y.; Yang, Y. Multi-UAV reconnaissance task assignment for heterogeneous targets based on modified symbiotic organisms search algorithm. Sensors 2019, 19, 734. [Google Scholar] [CrossRef] [PubMed]
- Zhu, W.; Li, L.; Teng, L.; Yonglu, W. Multi-UAV reconnaissance task allocation for heterogeneous targets using an opposition-based genetic algorithm with double-chromosome encoding. Chin. J. Aeronaut. 2018, 31, 339–350. [Google Scholar]
- Fatma, O.; Hanan, A.M.; Muhammad, A. Applications of unmanned aerial vehicle (UAV) in road safety, traffic and highway infrastructure management: Recent advances and challenges. Transp. Res. Part A Policy Pract. 2020, 141, 116–129. [Google Scholar]
- Elloumi, M.; Dhaou, R.; Escrig, B.; Idoudi, H.; Saidane, L.A. Monitoring road traffic with a UAV-based system. In Proceedings of the 2018 IEEE Wireless Communications and Networking Conference (WCNC), Barcelona, Spain, 15–18 April 2018; IEEE: Piscataway, NJ, USA; pp. 1–6. [Google Scholar]
- Huang, H.; Savkin, A.V.; Huang, C. Decentralized autonomous navigation of a UAV network for road traffic monitoring. IEEE Trans. Aerosp. Electron. Syst. 2021, 57, 2558–2564. [Google Scholar] [CrossRef]
- Hossain, M.; Hossain, M.A.; Sunny, F.A. A UAV-based traffic monitoring system for smart cities. In Proceedings of the 2019 International Conference on Sustainable Technologies for Industry 4.0 (STI), Dhaka, Bangladesh, 24–25 December 2019; IEEE: Piscataway, NJ, USA, 2019; pp. 1–6. [Google Scholar]
- Alotaibi, E.T.; Alqefari, S.S.; Koubaa, A. LSAR: Multi-UAV Collaboration for Search and Rescue Missions. IEEE Access 2019, 7, 55817–55832. [Google Scholar] [CrossRef]
- Liu, X.; Ansari, N. Resource allocation in UAV-assisted M2M communications for disaster rescue. IEEE Wirel. Commun. Lett. 2018, 8, 580–583. [Google Scholar] [CrossRef]
- Wang, Y.; Su, Z.; Xu, Q. A secure and intelligent data sharing scheme for UAV-assisted disaster rescue. IEEE/ACM Trans. Netw. 2023, 31, 2422–2438. [Google Scholar] [CrossRef]
- Dong, J.; Ota, K.; Dong, M. UAV-based real-time survivor detection system in post-disaster search and rescue operations. IEEE J. Miniaturization Air Space Syst. 2021, 2, 209–219. [Google Scholar] [CrossRef]
- Hao, J.; Zhou, Y.; Zhang, G.; Lv, Q.; Wu, Q. A Review of Target Tracking Algorithm Based on UAV. In Proceedings of the IEEE International Conference on Cyborg and Bionic Systems (CBS), Shenzhen, China, 25–27 October 2018; pp. 328–333. [Google Scholar]
- Wang, S.; Jiang, F.; Zhang, B. Development of UAV-based target tracking and recognition systems. IEEE Trans. Intell. Transp. Syst. 2019, 21, 3409–3422. [Google Scholar] [CrossRef]
- Li, B.; Wu, Y. Path planning for UAV ground target tracking via deep reinforcement learning. IEEE Access 2020, 8, 29064–29074. [Google Scholar] [CrossRef]
- Fei, X. An SDN-MQTT based communication system for battlefield UAV swarms. IEEE Commun. Mag. 2019, 57, 41–47. [Google Scholar]
- Xia, Z.Y. Multi-agent reinforcement learning aided intelligent UAV swarm for target tracking. IEEE Trans. Veh. Technol. 2021, 71, 931–945. [Google Scholar] [CrossRef]
- Deng, H.Q. A Distributed Collaborative Allocation Method of Reconnaissance and Strike Tasks for Heterogeneous UAVs. Drones 2023, 7, 138. [Google Scholar] [CrossRef]
- Cabreira, T.M.; Tauã, M.; Brisolara, L.B.; Ferreira, J.P.R. Survey on coverage path planning with unmanned aerial vehicles. Drones 2019, 3, 4. [Google Scholar] [CrossRef]
- Yu, Z. A review on fault-tolerant cooperative control of multiple unmanned aerial vehicles. Chin. J. Aeronaut. 2022, 35, 1–18. [Google Scholar] [CrossRef]
- Li, S.W. Collaborative decision-making method for multi-UAV based on multiagent reinforcement learning. IEEE Access 2022, 10, 91385–91396. [Google Scholar] [CrossRef]
- Israr, A. Optimization methods applied to motion planning of unmanned aerial vehicles: A review. Drones 2022, 6, 126. [Google Scholar] [CrossRef]
- Liu, Z.C. Parameter Dynamic Selection Method of Multi-UAV Cooperative Search Based on Expert System. In International Conference on Guidance, Navigation and Control; Springer Nature: Singapore, 2022. [Google Scholar]
- Yu, Z.H. A novel hybrid particle swarm optimization algorithm for path planning of UAVs. IEEE Internet Things J. 2022, 9, 22547–22558. [Google Scholar] [CrossRef]
- Tong, B.D.; Chen, L.; Duan, H.B. A path planning method for UAVs based on multi-objective pigeon-inspired optimization and differential evolution. Int. J. Bio-Inspired Comput. 2021, 17, 105–112. [Google Scholar] [CrossRef]
- Chen, L.Z.; Wei, L.L.; Zhong, J.H. An efficient multi-objective ant colony optimization for task allocation of heterogeneous unmanned aerial vehicles. J. Comput. Sci. 2022, 58, 101545. [Google Scholar] [CrossRef]
- Fevgas, G.; Lagkas, T.; Argyriou, V.; Sarigiannidis, P. Coverage path planning methods focusing on energy efficient and cooperative strategies for unmanned aerial vehicles. Sensors 2022, 22, 1235. [Google Scholar] [CrossRef] [PubMed]
- Duan, H.B.; Qiao, P.X. Pigeon-inspired optimization: A new swarm intelligence optimizer for air robot path planning. Int. Jnl Intel. Comp. Cyber 2014, 7, 24–37. [Google Scholar] [CrossRef]











| UAVi | xi | yi |
|---|---|---|
| −5 km | 9 km | |
| 5 km | 25 km | |
| 14 km | −5 km | |
| 25 km | 12.5 km |
| Algorithm | Total Voyage | Max. Distance | Coverage Rate | Number of Turns | Number of Major Maneuvers, Turning |
|---|---|---|---|---|---|
| PIO | 246.72 km | 81.10 km | 77.12% | 91 | 40 |
| LP-FCMPIO | 229.43 km | 62.11 km | 81.53% | 82 | 29 |
| Number | LP | PIO | LP-FCMPIO |
|---|---|---|---|
| 5 | 0.23 s | 30.76 s | 20.67 s |
| 10 | 32.36 s | 34.13 s | 22.79 s |
| 15 | 96.13 s | 37.15 s | 25.96 s |
| 20 | 174.47 s | 40.13 s | 29.46 s |
| 30 | 322.46 s | 48.62 s | 37.14 s |
| 40 | 439.12 s | 57.42 s | 46.93 s |
| 50 | 540.62 s | 68.07 s | 54.52 s |
| 60 | 627.83 s | 80.29 s | 61.37 s |
| 70 | 700.29 s | 104.14 s | 77.29 s |
| 80 | 763.32 s | 122.13 s | 86.79 s |
| 90 | 802.62 s | 146.26 s | 109.27 s |
| 100 | 733.79 s | 165.49 s | 137.62 s |
Disclaimer/Publisher’s Note: The statements, opinions and data contained in all publications are solely those of the individual author(s) and contributor(s) and not of MDPI and/or the editor(s). MDPI and/or the editor(s) disclaim responsibility for any injury to people or property resulting from any ideas, methods, instructions or products referred to in the content. |
© 2024 by the authors. Licensee MDPI, Basel, Switzerland. This article is an open access article distributed under the terms and conditions of the Creative Commons Attribution (CC BY) license (https://creativecommons.org/licenses/by/4.0/).
Share and Cite
Jiang, Y.; Bai, T.; Wang, D.; Wang, Y. Coverage Path Planning of UAV Based on Linear Programming—Fuzzy C-Means with Pigeon-Inspired Optimization. Drones 2024, 8, 50. https://doi.org/10.3390/drones8020050
Jiang Y, Bai T, Wang D, Wang Y. Coverage Path Planning of UAV Based on Linear Programming—Fuzzy C-Means with Pigeon-Inspired Optimization. Drones. 2024; 8(2):50. https://doi.org/10.3390/drones8020050
Chicago/Turabian StyleJiang, Yan, Tingting Bai, Daobo Wang, and Yin Wang. 2024. "Coverage Path Planning of UAV Based on Linear Programming—Fuzzy C-Means with Pigeon-Inspired Optimization" Drones 8, no. 2: 50. https://doi.org/10.3390/drones8020050
APA StyleJiang, Y., Bai, T., Wang, D., & Wang, Y. (2024). Coverage Path Planning of UAV Based on Linear Programming—Fuzzy C-Means with Pigeon-Inspired Optimization. Drones, 8(2), 50. https://doi.org/10.3390/drones8020050
