Detection of Leak Areas in Vineyard Irrigation Systems Using UAV-Based Data
Abstract
1. Introduction
2. Materials and Methods
2.1. Study Area
2.2. UAV Data Acquisition
2.3. Data Analysis
2.3.1. Pre-Processing of UAV Data
2.3.2. Grapevine Segmentation and Row Parameters Extraction
2.3.3. Detection of Potential Leaks and Mapping
2.4. Proposed Method Validation and Comparative Analysis
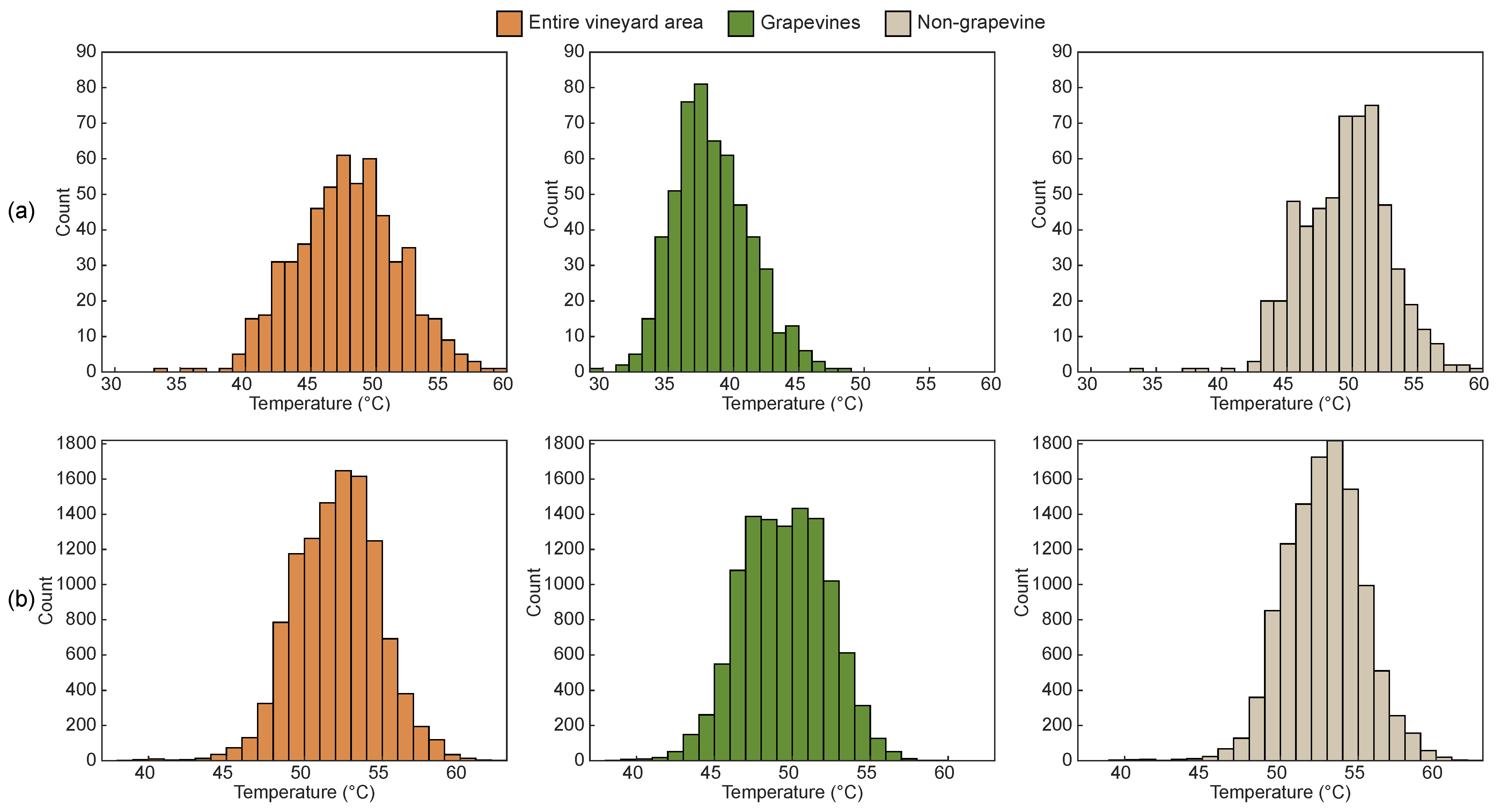
3. Results
3.1. Data Analysis
3.2. Mapping Leak Areas
4. Discussion
4.1. Data and Methodology
4.2. Estimated Leak Areas
5. Conclusions
Author Contributions
Funding
Data Availability Statement
Conflicts of Interest
References
- OIV. Statistical Report on World Vitiviniculture; OIV: Paris, France, 2018. [Google Scholar]
- Agrimonti, C.; Lauro, M.; Visioli, G. Smart agriculture for food quality: Facing climate change in the 21st century. Crit. Rev. Food Sci. Nutr. 2021, 61, 971–981. [Google Scholar] [CrossRef] [PubMed]
- Yerlikaya, B.A.; Ömezli, S.; Aydoğan, N. Climate change forecasting and modeling for the year of 2050. In Environment, Climate, Plant and Vegetation Growth; Springer: Cham, Switzerlnad, 2020; pp. 109–122. [Google Scholar]
- Fraga, H.; Molitor, D.; Leolini, L.; Santos, J.A. What is the impact of heatwaves on European viticulture? A modelling assessment. Appl. Sci. 2020, 10, 3030. [Google Scholar] [CrossRef]
- Fraga, H. Viticulture and winemaking under climate change. Agronomy 2019, 9, 783. [Google Scholar] [CrossRef]
- Moutinho-Pereira, J.; Magalhães, N.; Gonçalves, B.; Bacelar, E.; Brito, M.; Correia, C. Gas exchange and water relations of three Vitis vinifera L. cultivars growing under Mediterranean climate. Photosynthetica 2007, 45, 202–207. [Google Scholar] [CrossRef]
- Coombe, B. Influence of temperature on composition and quality of grapes. In Proceedings of the Symposium on Grapevine Canopy and Vigor Management, XXII IHC 206, Davis, CA, USA, 18 August 1986; pp. 23–36. [Google Scholar]
- Hardie, W.J.; Martin, S.R. Shoot growth on de-fruited grapevines: A physiological indicator for irrigation scheduling. Aust. J. Grape Wine Res. 2000, 6, 52–58. [Google Scholar] [CrossRef]
- Iglesias, A.; Garrote, L. Adaptation strategies for agricultural water management under climate change in Europe. Agric. Water Manag. 2015, 155, 113–124. [Google Scholar] [CrossRef]
- Sadras, V.O.; Moran, M.A. Elevated temperature decouples anthocyanins and sugars in berries of Shiraz and Cabernet Franc. Aust. J. Grape Wine Res. 2012, 18, 115–122. [Google Scholar] [CrossRef]
- Moran, M.A.; Sadras, V.O.; Petrie, P.R. Late pruning and carry-over effects on phenology, yield components and berry traits in Shiraz. Aust. J. Grape Wine Res. 2017, 23, 390–398. [Google Scholar] [CrossRef]
- Romero, P.; Navarro, J.M.; Ordaz, P.B. Towards a sustainable viticulture: The combination of deficit irrigation strategies and agroecological practices in Mediterranean vineyards. A review and update. Agric. Water Manag. 2022, 259, 107216. [Google Scholar] [CrossRef]
- Madramootoo, C.A.; Morrison, J. Advances and challenges with micro-irrigation. Irrig. Drain. 2013, 62, 255–261. [Google Scholar] [CrossRef]
- Evans, R.G.; Wu, I.P.; Smajstrala, A.G. Microirrigation systems. In Design and Operation of Farm Irrigation Systems, 2nd ed.; American Society of Agricultural and Biological Engineers: St. Joseph, MI, USA, 2007; pp. 632–683. [Google Scholar]
- Alves Coelho, J.; Glória, A.; Sebastião, P. Precise water leak detection using machine learning and real-time sensor data. IoT 2020, 1, 474–493. [Google Scholar] [CrossRef]
- Khulief, Y.; Khalifa, A.; Mansour, R.B.; Habib, M. Acoustic detection of leaks in water pipelines using measurements inside pipe. J. Pipeline Syst. Eng. Pract. 2012, 3, 47–54. [Google Scholar] [CrossRef]
- Tsouros, D.C.; Bibi, S.; Sarigiannidis, P.G. A review on UAV-based applications for precision agriculture. Information 2019, 10, 349. [Google Scholar] [CrossRef]
- Sassu, A.; Gambella, F.; Ghiani, L.; Mercenaro, L.; Caria, M.; Pazzona, A.L. Advances in unmanned aerial system remote sensing for precision viticulture. Sensors 2021, 21, 956. [Google Scholar] [CrossRef] [PubMed]
- Matese, A.; Baraldi, R.; Berton, A.; Cesaraccio, C.; Di Gennaro, S.F.; Duce, P.; Facini, O.; Mameli, M.G.; Piga, A.; Zaldei, A. Estimation of water stress in grapevines using proximal and remote sensing methods. Remote Sens. 2018, 10, 114. [Google Scholar] [CrossRef]
- Romero, M.; Luo, Y.; Su, B.; Fuentes, S. Vineyard water status estimation using multispectral imagery from an UAV platform and machine learning algorithms for irrigation scheduling management. Comput. Electron. Agric. 2018, 147, 109–117. [Google Scholar] [CrossRef]
- Loggenberg, K.; Strever, A.; Greyling, B.; Poona, N. Modelling water stress in a Shiraz vineyard using hyperspectral imaging and machine learning. Remote Sens. 2018, 10, 202. [Google Scholar] [CrossRef]
- Kandylakis, Z.; Falagas, A.; Karakizi, C.; Karantzalos, K. Water stress estimation in vineyards from aerial SWIR and multispectral UAV data. Remote Sens. 2020, 12, 2499. [Google Scholar] [CrossRef]
- Pádua, L.; Bernardo, S.; Dinis, L.T.; Correia, C.; Moutinho-Pereira, J.; Sousa, J.J. The Efficiency of Foliar Kaolin Spray Assessed through UAV-Based Thermal Infrared Imagery. Remote Sens. 2022, 14, 4019. [Google Scholar] [CrossRef]
- Spachos, P.; Gregori, S. Integration of wireless sensor networks and smart uavs for precision viticulture. IEEE Internet Comput. 2019, 23, 8–16. [Google Scholar] [CrossRef]
- López-Granados, F.; Torres-Sánchez, J.; Jiménez-Brenes, F.M.; Oneka, O.; Marín, D.; Loidi, M.; de Castro, A.I.; Santesteban, L.G. Monitoring vineyard canopy management operations using UAV-acquired photogrammetric point clouds. Remote Sens. 2020, 12, 2331. [Google Scholar] [CrossRef]
- De Castro, A.I.; Jiménez-Brenes, F.M.; Torres-Sánchez, J.; Peña, J.M.; Borra-Serrano, I.; López-Granados, F. 3-D characterization of vineyards using a novel UAV imagery-based OBIA procedure for precision viticulture applications. Remote Sens. 2018, 10, 584. [Google Scholar] [CrossRef]
- Di Gennaro, S.F.; Dainelli, R.; Palliotti, A.; Toscano, P.; Matese, A. Sentinel-2 validation for spatial variability assessment in overhead trellis system viticulture versus UAV and agronomic data. Remote Sens. 2019, 11, 2573. [Google Scholar] [CrossRef]
- Torres-Sánchez, J.; Marín, D.; De Castro, A.; Oria, I.; Jiménez-Brenes, F.; Miranda, C.; Santesteban, L.; López-Granados, F. Assessment of vineyard trimming and leaf removal using UAV photogrammetry. In Precision Agriculture’19; Wageningen Academic Publishers: Wageningen, The Netherlands, 2019; p. e0130479. [Google Scholar]
- Dufek, J.; Traore, S.; Swanson, C.; Fipps, G.; Murphy, R. Preventing irrigation canal breaches using small unmanned aerial system with multispectral payload. In Proceedings of the 2019 IEEE International Symposium on Safety, Security, and Rescue Robotics (SSRR), Würzburg, Germany, 2–4 September 2019; pp. 133–138. [Google Scholar]
- Traore, S.; Fipps, G.; Swanson, C.; Dufek, J.; Robin, M. Unmanned aerial vehicle system integrating high-resolution sensors for detecting leaks in irrigation canals—Proof of concept. Irrig. Drain. 2022, 71, 206–217. [Google Scholar] [CrossRef]
- Rouse, J.W.; Haas, R.H.; Schell, J.A.; Deering, D.W. Monitoring vegetation systems in the Great Plains with ERTS. NASA Spec. Publ. 1974, 351, 309. [Google Scholar]
- Sener, M.; Pehlivan, M.; Tekiner, M.; Ozden, U.E.; Erdem, T.; Celen, H.H.; Seren, A.; Aytac, S.A.; Kolsuz, H.U.; Seyrek, K.; et al. Monitoring of irrigation schemes by using thermal camera mounted UAVs. Feb-Fresenius Environ. Bull. 2019, 28, 4684–4691. [Google Scholar]
- Chatelard, C.; Muñoz, J.S.; Krapez, J.C.; Mazel, C.; Olichon, V.; Polo, J.B.; Frédéric, Y.M.; Hélias, F.; Barillot, P.; Legoff, I.; et al. Leak detection in water transmission systems by multispectral remote sensing with airplane and UAV. In Proceedings of the IGARSS 2019–2019 IEEE International Geoscience and Remote Sensing Symposium, Yokohama, Japan, 28 July–2 August 2019; pp. 7124–7127. [Google Scholar]
- Krapez, J.C.; Muñoz, J.S.; Chatelard, C.; Mazel, C.; Olichon, V.; Polo, J.B.; Frédéric, Y.M.; Coiro, E.; Carreira, D.; Carvalho, A. Assessment of the triangle method (T-VI) for detection of water leaks from airplane and UAV. In Proceedings of the IGARSS 2020–2020 IEEE International Geoscience and Remote Sensing Symposium, Waikoloa, HI, USA, 26 September–2 October 2020; pp. 4715–4718. [Google Scholar]
- Krapez, J.C.; Sanchis Muñoz, J.; Mazel, C.; Chatelard, C.; Déliot, P.; Frédéric, Y.M.; Barillot, P.; Hélias, F.; Barba Polo, J.; Olichon, V.; et al. Multispectral optical remote sensing for water-leak detection. Sensors 2022, 22, 1057. [Google Scholar] [CrossRef]
- Rondeaux, G.; Steven, M.; Baret, F. Optimization of soil-adjusted vegetation indices. Remote Sens. Environ. 1996, 55, 95–107. [Google Scholar] [CrossRef]
- Kalo, N.; Edan, Y.; Alchanatis, V. Detection of irrigation malfunctions based on thermal imaging. In Precision Agriculture’21; Wageningen Academic Publishers: Wageningen, The Netherlands, 2021; pp. 2217–2224. [Google Scholar]
- Otsu, N. A threshold selection method from gray-level histograms. IEEE Trans. Syst. Man Cybern. 1979, 9, 62–66. [Google Scholar] [CrossRef]
- Dag, A.; Cohen, Y.; Alchanatis, V.; Zipori, I.; Sprinstin, M.; Cohen, A.; Maaravi, T.; Naor, A. Automated detection of malfunctions in drip-irrigation systems using thermal remote sensing in vineyards and olive orchards. In Precision Agriculture’15; Wageningen Academic Publishers: Wageningen, The Netherlands, 2015; pp. 12–23. [Google Scholar]
- Richardson, A.D.; Jenkins, J.P.; Braswell, B.H.; Hollinger, D.Y.; Ollinger, S.V.; Smith, M.L. Use of digital webcam images to track spring green-up in a deciduous broadleaf forest. Oecologia 2007, 152, 323–334. [Google Scholar] [CrossRef]
- Pádua, L.; Marques, P.; Hruška, J.; Adão, T.; Bessa, J.; Sousa, A.; Peres, E.; Morais, R.; Sousa, J.J. Vineyard properties extraction combining UAS-based RGB imagery with elevation data. Int. J. Remote Sens. 2018, 39, 5377–5401. [Google Scholar] [CrossRef]
- Pádua, L.; Adão, T.; Sousa, A.; Peres, E.; Sousa, J.J. Individual grapevine analysis in a multi-temporal context using UAV-based multi-sensor imagery. Remote Sens. 2020, 12, 139. [Google Scholar] [CrossRef]
- Pádua, L.; Marques, P.; Adão, T.; Guimarães, N.; Sousa, A.; Peres, E.; Sousa, J.J. Vineyard variability analysis through UAV-based vigour maps to assess climate change impacts. Agronomy 2019, 9, 581. [Google Scholar] [CrossRef]
- Duarte, L.; Teodoro, A.C.; Sousa, J.J.; Pádua, L. QVigourMap: A GIS open source application for the creation of canopy vigour maps. Agronomy 2021, 11, 952. [Google Scholar] [CrossRef]
- Qin, W.; Wang, J.; Ma, L.; Wang, F.; Hu, N.; Yang, X.; Xiao, Y.; Zhang, Y.; Sun, Z.; Wang, Z.; et al. UAV-Based Multi-Temporal Thermal Imaging to Evaluate Wheat Drought Resistance in Different Deficit Irrigation Regimes. Remote Sens. 2022, 14, 5608. [Google Scholar] [CrossRef]
- Chen, J.; Yi, S.; Qin, Y.; Wang, X. Improving estimates of fractional vegetation cover based on UAV in alpine grassland on the Qinghai–Tibetan Plateau. Int. J. Remote Sens. 2016, 37, 1922–1936. [Google Scholar] [CrossRef]
- Liu, H.; Song, W.; Lv, J.; Gui, R.; Shi, Y.; Lu, Y.; Li, M.; Chen, L.; Chen, X. Precise Drought Threshold Monitoring in Winter Wheat Using the Unmanned Aerial Vehicle Thermal Method. Remote Sens. 2024, 16, 710. [Google Scholar] [CrossRef]
- Ludovisi, R.; Tauro, F.; Salvati, R.; Khoury, S.; Mugnozza Scarascia, G.; Harfouche, A. UAV-based thermal imaging for high-throughput field phenotyping of black poplar response to drought. Front. Plant Sci. 2017, 8, 1681. [Google Scholar] [CrossRef] [PubMed]
- Zhang, Y.; Zhou, J.; Meng, L.; Li, M.; Ding, L.; Ma, J. A method for deriving plant temperature from UAV TIR Image. In Proceedings of the 2018 7th International Conference on Agro-Geoinformatics (Agro-Geoinformatics), Hangzhou, China, 6–9 August 2018; pp. 1–5. [Google Scholar]
- Han, Y.; Tarakey, B.A.; Hong, S.J.; Kim, S.Y.; Kim, E.; Lee, C.H.; Kim, G. Calibration and image processing of aerial thermal image for UAV application in crop water stress estimation. J. Sens. 2021, 2021, 5537795. [Google Scholar] [CrossRef]
- Pagacz, S.; Witczuk, J. Estimating ground surface visibility on thermal images from drone wildlife surveys in forests. Ecol. Inform. 2023, 78, 102379. [Google Scholar] [CrossRef]
- Li, W.; Liu, C.; Yang, Y.; Awais, M.; Li, W.; Ying, P.; Ru, W.; Cheema, M. A UAV-aided prediction system of soil moisture content relying on thermal infrared remote sensing. Int. J. Environ. Sci. Technol. 2022, 19, 9587–9600. [Google Scholar] [CrossRef]
- Zhou, Z.; Majeed, Y.; Naranjo, G.D.; Gambacorta, E.M. Assessment for crop water stress with infrared thermal imagery in precision agriculture: A review and future prospects for deep learning applications. Comput. Electron. Agric. 2021, 182, 106019. [Google Scholar] [CrossRef]
- Poblete, T.; Ortega-Farías, S.; Ryu, D. Automatic Coregistration Algorithm to Remove Canopy Shaded Pixels in UAV-Borne Thermal Images to Improve the Estimation of Crop Water Stress Index of a Drip-Irrigated Cabernet Sauvignon Vineyard. Sensors 2018, 18, 397. [Google Scholar] [CrossRef] [PubMed]
- Lu, S.; Xuan, J.; Zhang, T.; Bai, X.; Tian, F.; Ortega-Farias, S. Effect of the shadow pixels on evapotranspiration inversion of vineyard: A high-resolution UAV-based and ground-based remote sensing measurements. Remote Sens. 2022, 14, 2259. [Google Scholar] [CrossRef]
- Messina, G.; Modica, G. Applications of UAV thermal imagery in precision agriculture: State of the art and future research outlook. Remote Sens. 2020, 12, 1491. [Google Scholar] [CrossRef]
- Bellvert, J.; Zarco-Tejada, P.J.; Girona, J.; Fereres, E. Mapping crop water stress index in a ‘Pinot-noir’vineyard: Comparing ground measurements with thermal remote sensing imagery from an unmanned aerial vehicle. Precis. Agric. 2014, 15, 361–376. [Google Scholar] [CrossRef]
- Scharwies, J.D.; Dinneny, J.R. Water transport, perception, and response in plants. J. Plant Res. 2019, 132, 311–324. [Google Scholar] [CrossRef] [PubMed]
- Idso, S.; Jackson, R.; Pinter Jr, P.; Reginato, R.; Hatfield, J. Normalizing the stress-degree-day parameter for environmental variability. Agric. Meteorol. 1981, 24, 45–55. [Google Scholar] [CrossRef]
- Atencia Payares, L.K.; Tarquis, A.M.; Hermoso Peralo, R.; Cano, J.; Cámara, J.; Nowack, J.; Gómez del Campo, M. Multispectral and Thermal Sensors Onboard UAVs for Heterogeneity in Merlot Vineyard Detection: Contribution to Zoning Maps. Remote Sens. 2023, 15, 4024. [Google Scholar] [CrossRef]
- Wigmore, O.; Mark, B.; McKenzie, J.; Baraer, M.; Lautz, L. Sub-metre mapping of surface soil moisture in proglacial valleys of the tropical Andes using a multispectral unmanned aerial vehicle. Remote Sens. Environ. 2019, 222, 104–118. [Google Scholar] [CrossRef]
- Bertalan, L.; Holb, I.; Pataki, A.; Négyesi, G.; Szabó, G.; Szalóki, A.K.; Szabó, S. UAV-based multispectral and thermal cameras to predict soil water content–A machine learning approach. Comput. Electron. Agric. 2022, 200, 107262. [Google Scholar] [CrossRef]
- Guan, Y.; Grote, K. Assessing the Potential of UAV-Based Multispectral and Thermal Data to Estimate Soil Water Content Using Geophysical Methods. Remote Sens. 2023, 16, 61. [Google Scholar] [CrossRef]
- Chandel, A.K.; Khot, L.R.; Molaei, B.; Peters, R.T.; Stöckle, C.O.; Jacoby, P.W. High-resolution spatiotemporal water use mapping of surface and direct-root-zone drip-irrigated grapevines using uas-based thermal and multispectral remote sensing. Remote Sens. 2021, 13, 954. [Google Scholar] [CrossRef]
- Buunk, T.; Vélez, S.; Ariza-Sentís, M.; Valente, J. Comparing Nadir and Oblique Thermal Imagery in UAV-Based 3D Crop Water Stress Index Applications for Precision Viticulture with LiDAR Validation. Sensors 2023, 23, 8625. [Google Scholar] [CrossRef] [PubMed]
- López, A.; Jurado, J.M.; Ogayar, C.J.; Feito, F.R. An optimized approach for generating dense thermal point clouds from UAV-imagery. ISPRS J. Photogramm. Remote Sens. 2021, 182, 78–95. [Google Scholar] [CrossRef]
- Baluja, J.; Diago, M.P.; Balda, P.; Zorer, R.; Meggio, F.; Morales, F.; Tardaguila, J. Assessment of vineyard water status variability by thermal and multispectral imagery using an unmanned aerial vehicle (UAV). Irrig. Sci. 2012, 30, 511–522. [Google Scholar] [CrossRef]
- Matese, A.; Di Gennaro, S.F. Practical applications of a multisensor UAV platform based on multispectral, thermal and RGB high resolution images in precision viticulture. Agriculture 2018, 8, 116. [Google Scholar] [CrossRef]
- Tucci, G.; Parisi, E.I.; Castelli, G.; Errico, A.; Corongiu, M.; Sona, G.; Viviani, E.; Bresci, E.; Preti, F. Multi-sensor UAV application for thermal analysis on a dry-stone terraced vineyard in rural Tuscany landscape. ISPRS Int. J. Geo-Inf. 2019, 8, 87. [Google Scholar] [CrossRef]








| Vineyard | Considered Area | Temp (°C) | ||
|---|---|---|---|---|
| Lower Quintile | ||||
| A | Entire area | 38.36 | 43.83 | 39.88 |
| Grapevines | 33.45 | 35.47 | 32.55 | |
| Non-grapevines | 39.02 | 46.22 | 42.94 | |
| B | Entire area | 43.54 | 49.42 | 46.73 |
| Grapevines | 42.53 | 46.77 | 44.03 | |
| Non-grapevines | 43.98 | 50.29 | 47.79 | |
| Vineyard | Considered Area | Lower Quintile | |||||
|---|---|---|---|---|---|---|---|
| Distance | No. of Rows | Distance | No. of Rows | Distance | No. of Rows | ||
| A | Entire area | 4 (0.7%) | 3 (15.8%) | 94 (16.5%) | 14 (77.3%) | 9 (1.6%) | 5 (26.3%) |
| Grapevines | 16 (2.8%) | 5 (26.3%) | 83 (14.6%) | 13 (68.4%) | 5 (0.9%) | 3 (15.8%) | |
| Non-grapevines | 3 (0.5%) | 2 (10.5%) | 103 (18.1%) | 14 (77.3%) | 7 (1.2%) | 5 (26.3%) | |
| B | Entire area | 30 (0.3%) | 6 (5.3%) | 1862 (16.6%) | 101 (88.6%) | 228 (2.0%) | 29 (25.4%) |
| Grapevines | 52 (0.5%) | 8 (7.0%) | 1830 (16.3%) | 99 (86.8%) | 245 (2.2%) | 21 (18.4%) | |
| Non-grapevines | 26 (0.2%) | 4 (3.5%) | 1784 (15.9%) | 102 (89.5%) | 229 (2.0%) | 35 (30.7%) | |
Disclaimer/Publisher’s Note: The statements, opinions and data contained in all publications are solely those of the individual author(s) and contributor(s) and not of MDPI and/or the editor(s). MDPI and/or the editor(s) disclaim responsibility for any injury to people or property resulting from any ideas, methods, instructions or products referred to in the content. |
© 2024 by the authors. Licensee MDPI, Basel, Switzerland. This article is an open access article distributed under the terms and conditions of the Creative Commons Attribution (CC BY) license (https://creativecommons.org/licenses/by/4.0/).
Share and Cite
Pádua, L.; Marques, P.; Dinis, L.-T.; Moutinho-Pereira, J.; Sousa, J.J.; Morais, R.; Peres, E. Detection of Leak Areas in Vineyard Irrigation Systems Using UAV-Based Data. Drones 2024, 8, 187. https://doi.org/10.3390/drones8050187
Pádua L, Marques P, Dinis L-T, Moutinho-Pereira J, Sousa JJ, Morais R, Peres E. Detection of Leak Areas in Vineyard Irrigation Systems Using UAV-Based Data. Drones. 2024; 8(5):187. https://doi.org/10.3390/drones8050187
Chicago/Turabian StylePádua, Luís, Pedro Marques, Lia-Tânia Dinis, José Moutinho-Pereira, Joaquim J. Sousa, Raul Morais, and Emanuel Peres. 2024. "Detection of Leak Areas in Vineyard Irrigation Systems Using UAV-Based Data" Drones 8, no. 5: 187. https://doi.org/10.3390/drones8050187
APA StylePádua, L., Marques, P., Dinis, L.-T., Moutinho-Pereira, J., Sousa, J. J., Morais, R., & Peres, E. (2024). Detection of Leak Areas in Vineyard Irrigation Systems Using UAV-Based Data. Drones, 8(5), 187. https://doi.org/10.3390/drones8050187

