Yield Prediction Using NDVI Values from GreenSeeker and MicaSense Cameras at Different Stages of Winter Wheat Phenology
Abstract
1. Introduction
2. Materials and Methods
2.1. Study Area
2.2. Experimental Design
2.3. Data Collection
2.4. Data Processing
2.5. Statistical Analysis
3. Results
3.1. Comparison of NDVI Values among the Various Treatments
3.2. The Relationship of Yield to Different Treatments
3.3. Correlation between NDVI Values and Winter Wheat Yields
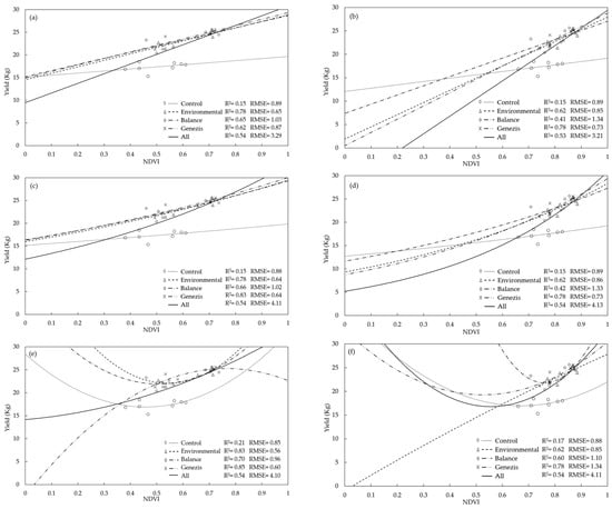
3.4. Predicting Winter Wheat Yields Based on NDVI
3.5. Supplementing the Yield Prediction Equation with DFS and CGDD Values
3.6. Model Validation
4. Discussion
4.1. Comparison of GreenSeeker and MicaSense NDVI Values
4.2. Yield Prediction Based on NDVI
4.3. Using Yield Prediction Equations
4.4. Effect of Climate Conditions on the Yield Prediction Model
4.5. Comparison of Sensors in the Yield Prediction Model
5. Conclusions
- The Control treatment could be differentiated from the other treatments using the GreenSeeker sensor; however, with the MicaSense camera, the same result could only be consistently observed five out of six times.
- Higher NDVI values were obtained from the MicaSense camera data than from GreenSeeker, making it challenging to differentiate between the treatments.
Author Contributions
Funding
Data Availability Statement
Acknowledgments
Conflicts of Interest
Abbreviations
| CGDD | Cumulative Growing Degree Days |
| DFS | Days From Sowing |
| GDD | Growing Degree Days |
| GS | GreenSeeker |
| MS | MicaSense |
| NDVI | Normalized Difference Vegetation Index |
| NIR | Near-infrared |
| RMSE | Root Mean Square Error |
| UAV | Uncrewed aerial vehicle |
Appendix A
| Points | Latitude | Longitude |
|---|---|---|
| 1 | 47.8940506341 | 17.2637578119 |
| 2 | 47.8940605194 | 17.2637935554 |
| 3 | 47.8940715669 | 17.2638307009 |
| 4 | 47.8941213019 | 17.2640041544 |
| 5 | 47.8941321809 | 17.2640401513 |
| 6 | 47.8941427138 | 17.2640768041 |
| 7 | 47.8941936006 | 17.2642487861 |
| 8 | 47.8942044083 | 17.2642854641 |
| 9 | 47.8942149148 | 17.2643212156 |
| 10 | 47.8942655185 | 17.2644942766 |
| 11 | 47.8942759412 | 17.2645303661 |
| 12 | 47.8942860496 | 17.2645665189 |
| 13 | 47.8940837963 | 17.2637346252 |
| 14 | 47.8940945161 | 17.2637698844 |
| 15 | 47.8941048712 | 17.2638069701 |
| 16 | 47.8941551388 | 17.2639813850 |
| 17 | 47.8941659736 | 17.2640164961 |
| 18 | 47.8941758712 | 17.2640529956 |
| 19 | 47.8942264478 | 17.2642248041 |
| 20 | 47.8942371474 | 17.2642625486 |
| 21 | 47.8942426051 | 17.2642807087 |
| 22 | 47.8942985551 | 17.2644709162 |
| 23 | 47.8943086243 | 17.2645082581 |
| 24 | 47.8943196211 | 17.2645446066 |
| 25 | 47.8941220994 | 17.2637077809 |
| 26 | 47.8941315624 | 17.2637449315 |
| 27 | 47.8941417529 | 17.2637816772 |
| 28 | 47.8941923903 | 17.2639548473 |
| 29 | 47.8942020078 | 17.2639910587 |
| 30 | 47.8942126974 | 17.2640278134 |
| 31 | 47.8942625223 | 17.2642000449 |
| 32 | 47.8942724875 | 17.2642369656 |
| 33 | 47.8942830352 | 17.2642726519 |
| 34 | 47.8943352454 | 17.2644482310 |
| 35 | 47.8943464562 | 17.2644868593 |
| 36 | 47.8943570813 | 17.2645222206 |
| 37 | 47.8941505188 | 17.2636876134 |
| 38 | 47.8941610832 | 17.2637233155 |
| 39 | 47.8941714929 | 17.2637604708 |
| 40 | 47.8942218785 | 17.2639338507 |
| 41 | 47.8942318067 | 17.2639709153 |
| 42 | 47.8942423152 | 17.2640068118 |
| 43 | 47.8942919613 | 17.2641801123 |
| 44 | 47.8943028342 | 17.2642160843 |
| 45 | 47.8943135872 | 17.2642521333 |
| 46 | 47.8943638019 | 17.2644258443 |
| 47 | 47.8943744697 | 17.2644621059 |
| 48 | 47.8943850875 | 17.2644969838 |
References
- Tandzi, L.N.; Mutengwa, C.S. Estimation of maize (Zea mays L.) yield per harvest area: Appropriate methods. Agronomy 2022, 10, 29. [Google Scholar] [CrossRef]
- Shiferaw, B.; Smale, M.; Braun, H.J.; Duveiller, E.; Reynolds, M.; Muricho, G. Crops that feed the world Past successes and future challenges to the role played by wheat in global food security. Food Secur. 2013, 5, 291–317. [Google Scholar] [CrossRef]
- Kiss, I. Significance of wheat production in world economy and position of Hungary in it. In Applied Studies in Agribusiness and Commerce—APSTRACT; Agroinform Publishing House: Budapest, Hungary, 2011; pp. 115–119. [Google Scholar] [CrossRef]
- Magneya, T.S.; Eitel, J.U.H.; Huggins, D.R.; Vierling, L.A. Proximal NDVI derived phenology improves in-season predictions of wheat quantity and quality. Agric. For. Meteorol. 2016, 217, 26–60. [Google Scholar] [CrossRef]
- Kokhan, S.; Vostokov, A. Application of nanosatellites PlanetScope data to monitor crop growth. E3S Web Conf. 2020, 171, 02014. [Google Scholar] [CrossRef]
- Pellegrini, P.; Cossani, C.M.; Di Bella, C.M.; Piñeiro, G.; Sadras, V.O.; Oesterheld, M. Simple regression models to estimate light interception in wheat crops with Sentinel-2 and a handheld sensor. Crop Sci. 2020, 60, 1607–1616. [Google Scholar] [CrossRef]
- Ritz, E.; Bjerke, J.W.; Tømmervik, H. Monitoring Winter Stress Vulnerability of High-Latitude Understory Vegetation Using Intraspecific Trait Variability and Remote Sensing Approaches. Sensors 2020, 20, 2102. [Google Scholar] [CrossRef]
- Novák, J.; Lukas, V.; Rodriguez-Moreno, F.; Křen, J. Assessment of soil variability of south Moravian region based on the satellite imagery. Acta Univ. Agric. Silvic. Mendel. Brun 2018, 66, 119–129. [Google Scholar] [CrossRef]
- Milics, G. Application of UAVs in Precision Agriculture. In International Climate Protection; Palocz-Andresen, M., Szalay, D., Gosztom, A., Sípos, L., Taligás, T., Eds.; Springer: Berlin/Heidelberg, Germany, 2019; pp. 93–97. [Google Scholar] [CrossRef]
- Tang, L.; Morel, J.; Halling, M.; Öhlund, L.; Parsons, D. A comparison of field assessment methods for lucerne inoculation experiments. Acta Agric. Scand. Sect. B Soil Plant Sci. 2022, 72, 860–872. [Google Scholar] [CrossRef]
- Wang, J.; Badenhorst, P.; Phelan, A.; Pembleton, L.; Shi, F.; Cogan, N.; Spangenberg, G.; Smith, K. Using Sensors and Unmanned Aircraft Systems for High-Throughput Phenotyping of Biomass in Perennial Ryegrass Breeding Trials. Front. Plant Sci. 2019, 10, 1381. [Google Scholar] [CrossRef]
- Choudhary, S.S.; Biswal, S.; Saha, R.; Chatterjee, C. A non-destructive approach for assessment of nitrogen status of wheat crop using unmanned aerial vehicle equipped with RGB camera. Arab. J. Geosci. 2021, 14, 1739. [Google Scholar] [CrossRef]
- Dash, J.P.; Pearse, G.D.; Watt, M.S. UAV multispectral imagery can complement satellite data for monitoring forest health. Remote Sens. 2018, 10, 1216. [Google Scholar] [CrossRef]
- Ali, M.A.; Ibrahim, S.M.; Bijay-Singh. Wheat grain yield and nitrogen uptake prediction using atLeaf and GreenSeeker portable optical sensors at jointing growth stage. Inf. Process. Agric. 2020, 7, 375–383. [Google Scholar] [CrossRef]
- Verhulst, N.; Govaerts, B.; Nelissen, V.; Sayre, K.D.; Crossa, J.; Raes, D.; Deckers, J. The effect of tillage, crop rotation and residue management on maize and wheat growth and development evaluated with an optical sensor. Field Crops Res. 2011, 120, 58–67. [Google Scholar] [CrossRef]
- Martins, R.N.; Moraes, H.M.F.; Portes, M.F.; Junior, W.A.O.; Junior, M.F.R. Do optical sensor readings change throughout the day? An evaluation of two sensor systems. J. Plant Nutr. 2020, 43, 1689–1696. [Google Scholar] [CrossRef]
- Padilla, F.M.; Souza, R.; Peña Fleitas, M.T.; Grasso, R.; Gallardo, M.; Thompson, R.B. Influence of time of day on measurement with chlorophyll meters and canopy reflectance sensors of different crop N status. Precis. Agric. 2019, 20, 1087–1106. [Google Scholar] [CrossRef]
- Nakano, H.; Tanaka, R.; Guan, S.; Ohdan, H. Predicting rice grain yield using normalized difference vegetation index from UAV and GreenSeeker. Crop Environ. 2023, 2, 59–65. [Google Scholar] [CrossRef]
- Papadopoulos, G.; Mavroeidis, A.; Roussis, O.; Kakabouki, I.; Stavropoulos, P.; Bilalis, D. Evaluation of tillage & fertilization in Carthamus tinctorius L. using remote sensing. Smart Agric. Technol. 2023, 4, 100158. [Google Scholar] [CrossRef]
- Bhandari, M.; Ibrahim, A.M.H.; Xue, Q.; Jung, J.; Chang, A.; Rudd, J.C.; Maeda, M.; Rajan, N.; Neely, H.; Landivar, J. Assessing winter wheat foliage disease severity using aerial imagery acquired from small Unmanned Aerial Vehicle (UAV). Comput. Electron. Agric. 2020, 176, 105665. [Google Scholar] [CrossRef]
- Rejeb, A.; Abdollahi, A.; Rejeb, K.; Treiblmaier, H. Drones in agriculture: A review and bibliometric analysis. Comput. Electron. Agric. 2022, 198, 107017. [Google Scholar] [CrossRef]
- Duan, T.; Chapmana, S.C.; Guo, Y.; Zheng, B. Dynamic monitoring of NDVI in wheat agronomy and breeding trials using an unmanned aerial vehicle. Field Crops Res. 2017, 210, 71–80. [Google Scholar] [CrossRef]
- Khadka, K.; Burt, A.J.; Earl, H.J.; Raizada, M.N.; Navabi, A. Does Leaf Waxiness Confound the Use of NDVI in the Assessment of Chlorophyll When Evaluating Genetic Diversity Panels of Wheat? Agronomy 2021, 11, 486. [Google Scholar] [CrossRef]
- Berzéki, M.; Kozma-Bognár, V.; Berke, J. Examination of vegetation indices based on multitemporal drone images. Gradus 2023, 10, 6. [Google Scholar] [CrossRef]
- Svensgaard, J.; Jensen, S.M.; Christensen, S.; Rasmussen, J. The importance of spectral correction of UAV-based phenotyping with RGB cameras. Field Crops Res. 2021, 269, 108177. [Google Scholar] [CrossRef]
- Cao, S.; Danielson, B.; Clare, S.; Koenig, S.; Campos-Vargas, C.; Sanchez-Azofeifa, A. Radiometric calibration assessments for UAS-borne multispectral cameras: Laboratory and field protocols. ISPRS J. Photogramm. Remote Sens. 2019, 149, 132–145. [Google Scholar] [CrossRef]
- Almoujahed, M.B.; Rangarajan, A.K.; Whetton, R.L.; Vincke, D.; Eylenbosch, D.; Vermeulen, P.; Mouazen, A.M. Detection of fusarium head blight in wheat under field conditions using a hyperspectral camera and machine learning. Comput. Electron. Agric. 2022, 203, 107456. [Google Scholar] [CrossRef]
- Yin, S.; Zhou, K.; Cao, L.; Shen, X. Estimating the horizontal and vertical distributions of pigments in canopies of ginkgo plantation based on UAV-Borne LiDAR, hyperspectral data by coupling PROSAIL model. Remote Sens. 2022, 14, 715. [Google Scholar] [CrossRef]
- Jelínek, Z.; Starý, K.; Kumhálová, J.; Lukáš, J.; Mašek, J. Winter wheat, winter rape and poppy crop growth evaluation with the help of remote and proximal sensing measurements. Agron. Res. 2020, 18, 2049–2059. [Google Scholar] [CrossRef]
- Shafiee, S.; Mroz, T.; Burud, I.; Lillemo, M. Evaluation of UAV multispectral cameras for yield and biomass prediction in wheat under different sun elevation angles and phenological stages. Comput. Electron. Agric. 2023, 210, 107874. [Google Scholar] [CrossRef]
- Tanabe, R.; Matsui, T.; Tanaka, T.S.T. Winter wheat yield prediction using convolutional neural networks and UAV-based multispectral imagery. Field Crops Res. 2023, 291, 108786. [Google Scholar] [CrossRef]
- Ma, J.; Liu, B.; Ji, L.; Zhu, Z.; Wu, Y.; Jiao, W. Field-scale yield prediction of winter wheat under different irrigation regimes based on dynamic fusion of multimodal UAV imagery. Int. J. Appl. Earth Obs. Geoinf. 2023, 118, 103292. [Google Scholar] [CrossRef]
- Zhitao, Z.; Lan, Y.; Pute, W.; Wenting, H. Model of soybean NDVI change based on time series. J. Agric. Biol. Eng. 2014, 70, 64–70. [Google Scholar] [CrossRef]
- Swoish, M.; Filho, J.F.D.C.L.; Reiter, M.S.; Campbell, J.B.; Thomason, W.E. Comparing satellites and vegetation indices for cover crop biomass estimation. Comput. Electron. Agric. 2022, 196, 106900. [Google Scholar] [CrossRef]
- Hassan, M.A.; Yang, M.; Rasheed, A.; Yang, G.; Reynolds, M.; Xia, X.; Xiao, Y.; He, Z. A rapid monitoring of NDVI across the wheat growth cycle for grain yield prediction using a multi-spectral UAV platform. Plant Sci. 2019, 282, 95–103. [Google Scholar] [CrossRef] [PubMed]
- Teboh, J.M.; Tubaña, B.S.; Udeigwe, T.K.; Emendack, Y.Y.; Lofton, J. Applicability of Ground-based Remote Sensors for Crop N Management in Sub Saharan Africa. J. Agric. Sci. 2012, 4, 175–188. [Google Scholar] [CrossRef][Green Version]
- Kizilgeci, F.; Yildirim, M.; Islam, M.S.; Ratnasekera, D.; Iqbal, M.A.; Sabagh, A.E. Normalized Difference Vegetation Index and Chlorophyll Content for Precision Nitrogen Management in Durum Wheat Cultivars under Semi-Arid Conditions. Sustainability 2021, 13, 3725. [Google Scholar] [CrossRef]
- Naser, M.A.; Khosla, R.; Longchamps, L.; Dahal, S. Using NDVI to Differentiate Wheat Genotypes Productivity Under Dryland and Irrigated Conditions. Remote Sens. 2020, 12, 824. [Google Scholar] [CrossRef]
- Vannoppen, A.; Gobin, A. Estimating Farm Wheat Yields from NDVI and Meteorological Data. Agronomy 2021, 11, 946. [Google Scholar] [CrossRef]
- Thapa, S.; Rudd, J.C.; Xue, Q.; Bhandari, M.; Reddy, S.K.; Jessup, K.E.; Liu, S.; Devkota, R.N.; Baker, J.; Baker, S. Use of NDVI for characterizing winter wheat response to water stress in a semi-arid environment. J. Crop Improv. 2019, 33, 633–648. [Google Scholar] [CrossRef]
- Large, E.C. Growth stages in cereals—Illustration of the Feekes scale. Plant Pathol. 1954, 3, 128–129. [Google Scholar] [CrossRef]
- An, N.; Palmer, C.M.; Baker, R.L.; Markelz, R.J.C.; Ta, J.; Convington, M.F.; Maloof, J.N.; Welch, S.M.; Weinig, C. Plant high-throughput phenotyping using photogrammetry and imaging techniques to measure leaf length and rosette area. Comput. Electron. Agric. 2016, 127, 376–394. [Google Scholar] [CrossRef]
- Salazar-Gutierrez, M.R.; Johnson, J.; Chaves-Cordoba, B.; Hoogenboom, G. Relationship of base temperature to development of winter wheat. Int. J. Plant Prod. 2013, 7, 741–762. [Google Scholar]
- R Core Team. A Language and Environment for Statistical Computing; R Foundation for Statistical Computing: Vienna, Austria, 2020; Available online: https://www.r-project.org (accessed on 5 February 2024).
- Mangiafico, S. Package ‘Rcompanion’: Functions to Support Extension Education Program Evaluation, R Package Version 2.4.1; GNU Project: Vienna, Austria, 2021.
- Teal, R.K.; Tubana, B.; Girma, K.; Freeman, K.W.; Arnall, D.B.; Walsh, O.; Raun, W.R. In-Season Prediction of Corn Grain Yield Potential Using Normalized Difference Vegetation Index. Agron. J. 2006, 98, 1488–1494. [Google Scholar] [CrossRef]
- Lofton, J.; Tubana, B.S.; Kanke, Y.; Teboh, J.; Viator, H.; Dalen, M. Estimating Sugarcane Yield Potential Using an In-Season Determination of Normalized Difference Vegetative Index. Sensors 2012, 12, 7529–7547. [Google Scholar] [CrossRef]
- Li, F.; Miao, Y.; Zhang, F.; Cui, Z.; Li, R.; Chen, X.; Zhang, H.; Schroder, J.; Raun, W.R.; Jia, L. In-season optical sensing improves nitrogen use efficiency for winter wheat. Soil Sci. Soc. Am. J. 2009, 73, 1566–1574. [Google Scholar] [CrossRef]
- He, C.E.; Liu, X.J.; Fangmeier, A.; Zhang, F.S. Quantifying the total airborne nitrogen input into agroecosystems in the North China Plain. Agric. Ecosyst. Environ. 2007, 121, 395–400. [Google Scholar] [CrossRef]
- Samborski, S.M.; Tremblay, N.; Fallon, E. Strategies to Make Use of Plant Sensors-Based Diagnostic Information for Nitrogen Recommendations. Agron. J. 2009, 101, 800–816. [Google Scholar] [CrossRef]
- Ya, N.N.C.; Lee, L.S.; Ismail, M.R.; Razali, S.M.; Roslin, N.A.; Omar, M.H. Development of Rice Growth Map Using the Advanced Remote Sensing Techniques. In Proceedings of the International Conference on Computer and Drone Applications (IConDA), Kuching, Malaysia, 19–21 December 2019; pp. 23–28. [Google Scholar] [CrossRef]
- Wilke, N.; Siegmann, B.; Postma, J.A.; Muller, O.; Krieger, V.; Pude, R.; Rascher, U. Assessment of plant density for barley and wheat using UAV multispectral imagery for high-throughput field phenotyping. Comput. Electron. Agric. 2021, 189, 106380. [Google Scholar] [CrossRef]
- Goffart, D.; Dvorakova, K.; Crucil, G.; Curnel, Y.; Limbourg, Q.; Van Oost, K.; Castaldi, F.; Planchon, V.; Goffart, J.P.; van Wesemael, B. UAV Remote Sensing for Detecting within-Field Spatial Variation of Winter Wheat Growth and Links to Soil Properties and Historical Management Practices. A Case Study on Belgian Loamy Soil. Remote Sens. 2022, 14, 2806. [Google Scholar] [CrossRef]
- Dimyati, M.; Supriatna, S.; Nagasawa, R.; Pamungkas, F.D.; Pramayuda, R.A. Comparison of Several UAV-Based Multispectral Imageries in Monitoring Rice Paddy (A Case Study in Paddy Fields in Tottori Prefecture, Japan). ISPRS Int. J. Geo-Inf. 2023, 12, 36. [Google Scholar] [CrossRef]
- Gu, Y.; Wylie, B.K.; Howard, D.M.; Phuyal, K.P.; Ji, L. NDVI saturation adjustment: A new approach for improving cropland performance estimates in the Greater Platte River Basin, USA. Ecol. Indic. 2013, 30, 1–6. [Google Scholar] [CrossRef]
- Cao, Q.; Miao, Y.; Shen, J.; Yu, W.; Yuan, F.; Cheng, S.; Huang, S.; Wang, H.; Yang, W.; Liu, F. Improving in-season estimation of rice yield potential and responsiveness to topdressing nitrogen application with Crop Circle active crop canopy sensor. Precis. Agric. 2016, 17, 136–154. [Google Scholar] [CrossRef]
- Goodwin, A.W.; Lindsey, L.E.; Harrison, S.K.; Paul, P.A. Estimating Wheat Yield with Normalized Difference Vegetation Index and Fractional Green Canopy Cover. Crop Forage Turfgrass Manag. 2018, 4, 1–6. [Google Scholar] [CrossRef]
- Guan, S.; Fukami, K.; Matsunaka, H.; Okami, M.; Tanaka, R.; Nakano, H.; Sakai, T.; Nakano, K.; Ohdan, H.; Takahashi, K. Assessing Correlation of High-Resolution NDVI with Fertilizer Application Level and Yield of Rice and Wheat Crops Using Small UAVs. Remote Sens. 2019, 11, 112. [Google Scholar] [CrossRef]
- Kiran Pavuluri, K.; Chim, B.K.; Griffey, C.A.; Reiter, M.S.; Balota, M.; Thomason, W. Canopy spectral reflectance can predict grain nitrogen use efficiency in soft red winter wheat. Precis. Agric. 2015, 16, 405–424. [Google Scholar] [CrossRef]
- Walsh, O.S.; Marshall, J.M.; Nambi, E.; Jackson, C.A.; Ansah, E.O.; Lamichhane, R.; McClintick-Chess, J.; Bautista, F. Wheat Yield and Protein Estimation with Handheld and Unmanned Aerial Vehicle-Mounted Sensors. Agronomy 2023, 13, 207. [Google Scholar] [CrossRef]
- Martí, J.M.; Bort, J.; Slafer, G.A.; Araus, J.L. Can wheat yield be assessed by early measurements of normalized difference vegetation index? Ann. Appl. Biol. 2007, 150, 253–257. [Google Scholar] [CrossRef]
- Royo, C.; Aparicio, N.; Villegas, D.; Casadesus, J.; Monneveux, P.; Araus, J.L. Usefulness of spectral reflectance indices as durum wheat yield predictors under contrasting Mediterranean conditions. Int. J. Remote Sens. 2003, 24, 4403–4419. [Google Scholar] [CrossRef]
- Kogan, F.; Kussul, N.; Adamenko, T.; Skakun, S.; Kravchenko, O.; Kryvobok, O.; Shelestov, A.; Kolotii, A.; Kussul, O.; Lavrenyuk, A. Winter wheat yield forecasting in Ukraine based on Earth observation, meteorological data and biophysical models. Int. J. Appl. Earth Obs. Geoinf. 2013, 23, 192–203. [Google Scholar] [CrossRef]
- Almeida-Ñauñay, A.F.; Tarquis, A.M.; López-Herrera, J.; Pérez-Martín, E.; Pancorbo, J.L.; Raya-Sereno, M.D.; Quemada, M. Optimization of soil background removal to improve the prediction of wheat traits with UAV imagery. Comput. Electron. Agric. 2023, 205, 107559. [Google Scholar] [CrossRef]
- Ratjen, A.M.; Böttcher, U.; Kage, H. Improved modeling of grain number in winter wheat. Field Crops Res. 2012, 133, 167–175. [Google Scholar] [CrossRef]
- Raun, W.R.; Solie, J.B.; Johnson, G.V.; Stone, M.L.; Lukina, E.V.; Thomason, W.E.; Schepers, J.S. In-Season Prediction of Potential Grain Yield in Winter Wheat Using Canopy Reflectance. Agron. J. 2001, 93, 131–138. [Google Scholar] [CrossRef]
- Iwańska, M.; Stępień, M. The effect of soil and weather conditions on yields of winter wheat in multi-environmental trials. Biom. Lett. 2019, 56, 263–279. [Google Scholar] [CrossRef]
- Erekul, O.; Köhn, W. Effect of Weather and Soil Conditions on Yield Components and Bread-Making Quality of Winter Wheat (Triticum aestivum L.) and Winter Triticale (Triticosecale Wittm.) Varieties in North-East Germany. J. Agron. Crop Sci. 2006, 192, 452–464. [Google Scholar] [CrossRef]
- Linina, A.; Ruza, A. The influence of cultivar, weather conditions and nitrogen fertilizer on winter wheat grain yield. Agric. Res. 2018, 16, 147156. [Google Scholar] [CrossRef]
- Bauer, A.; Frank, A.B.; Black, A.L. Estimation of Spring Wheat Leaf Growth Rates and Anthesis from Air Temperature. Agric. J. 1984, 76, 829–835. [Google Scholar] [CrossRef]
- Giolo, M.; Sallenave, R.; Pornaro, C.; Velasco-Cruz, C.; Macolino, S.; Leinauer, B. Base temperatures affect accuracy of growing degree day model to predict emergence of bermudagrasses. Agric. J. 2021, 113, 2960–2966. [Google Scholar] [CrossRef]
- Harrell, D.L.; Tubaña, B.S.; Walker, T.W.; Phillips, S.B. Estimating Rice Grain Yield Potential Using Normalized Difference Vegetation Index. Agric. J. 2011, 103, 1717–1723. [Google Scholar] [CrossRef]
- Liu, T.; Wu, F.; Mou, N.; Zhu, S.; Yang, T.; Zhang, W.; Wang, H.; Wu, W.; Zhao, Y.; Sun, C.; et al. The estimation of wheat yield combined with UAV canopy spectral and volumetric data. Food Energy Secur. 2024, 13, e527. [Google Scholar] [CrossRef]
- Khodjaev, S.; Kuhn, L.; Bobojonov, I.; Glauben, T. Combining multiple UAV-Based indicators for wheat yield estimation, a case study from Germany. Eur. J. Remote Sens. 2024, 57, 2294121. [Google Scholar] [CrossRef]






| Treatment | Active Substance Discharged (kg/ha) | Fertilizer Applied kg/ha (Autumn) 25 October 2021 and 2022 | Fertilizer Applied kg/ha (Spring) 1 March 2022 and 2023 | ||||
|---|---|---|---|---|---|---|---|
| N | P2O5 | K2O | Type | Quantity | Type | Quantity | |
| Control (C) | - | - | - | - | - | - | - |
| Environ-mental (A) | 135.3 | 77.5 | - | NP 15-25 | 310 | N 27% | 329 |
| Balance (B) | 135.1 | 91.0 | - | NP 15-25 | 364 | N 27% | 298 |
| Genezis (D) | 135.0 | 75.0 | 45 | NPK 5-18-18 NP 15-25 | 250 120 | N 27% | 387 |
| Year | Sensor | Treatment | 12 April | 28 April | 12 May | 24 May | 7 June | 21 June |
|---|---|---|---|---|---|---|---|---|
| 2021–2022 | Green-Seeker | Control | 0.46 ± 0.06 a | 0.55 ± 0.08 a | 0.59 ± 0.06 a | 0.47 ± 0.07 a | 0.43 ± 0.06 a | 0.13 ± 0.05 a |
| Envir. | 0.54 ± 0.06 b | 0.69 ± 0.04 b | 0.70 ± 0.02 b | 0.61 ± 0.03 b | 0.53 ± 0.03 b | 0.20 ± 0.03 b | ||
| Balance | 0.51 ± 0.10 b | 0.67 ± 0.10 b | 0.68 ± 0.04 b | 0.58 ± 0.03 b | 0.51 ± 0.04 b | 0.20 ± 0.05 b | ||
| Genezis | 0.53 ± 0.05 b | 0.68 ± 0.03 b | 0.68 ± 0.03 b | 0.59 ± 0.04 b | 0.53 ± 0.05 b | 0.20 ± 0.05 b | ||
| Mica-Sense | Control | 0.60 ± 0.07 a | 0.80 ± 0.05 a | 0.84 ± 0.03 a | 0.79 ± 0.04 a | 0.71 ± 0.06 a | 0.35 ± 0.08 a | |
| Envir. | 0.67 ± 0.07 b | 0.89 ± 0.02 b | 0.89 ± 0.01 a | 0.86 ± 0.01 b | 0.79 ± 0.02 b | 0.47 ± 0.06 b | ||
| Balance | 0.64 ± 0.10 b | 0.88 ± 0.06 b | 0.86 ± 0.10 a | 0.85 ± 0.03 b | 0.77 ± 0.05 b | 0.47 ± 0.06 b | ||
| Genezis | 0.66 ± 0.05 b | 0.89 ± 0.02 b | 0.89 ± 0.01 a | 0.86 ± 0.01 b | 0.78 ± 0.04 b | 0.45 ± 0.07 b | ||
| 2022–2023 | Green-Seeker | Control | 0.65 ± 0.07 a | 0.60 ± 0.07 a | 0.66 ± 0.05 a | 0.58 ± 0.05 a | 0.45 ± 0.06 a | 0.15 ± 0.03 a |
| Envir. | 0.76 ± 0.07 b | 0.76 ± 0.06 b | 0.76 ± 0.04 b | 0.70 ± 0.03 b | 0.60 ± 0.05 b | 0.25 ± 0.04 b | ||
| Balance | 0.79 ± 0.02 b | 0.79 ± 0.02 b | 0.78 ± 0.02 b | 0.71 ± 0.02 b | 0.62 ± 0.02 b | 0.24 ± 0.02 b | ||
| Genezis | 0.78 ± 0.03 b | 0.79 ± 0.02 b | 0.79 ± 0.02 b | 0.72 ± 0.01 b | 0.62 ± 0.02 b | 0.24 ± 0.03 b | ||
| Mica-Sense | Control | 0.88 ± 0.04 a | 0.86 ± 0.04 a | 0.85 ± 0.04 a | 0.80 ± 0.03 a | 0.75 ± 0.03 a | 0.38 ± 0.04 a | |
| Envir. | 0.92 ± 0.04 b | 0.91 ± 0.03 b | 0.89 ± 0.02 a | 0.86 ± 0.03 b | 0.83 ± 0.01 b | 0.53 ± 0.04 b | ||
| Balance | 0.94 ± 0.01 b | 0.92 ± 0.01 b | 0.89 ± 0.01 a | 0.86 ± 0.02 b | 0.83 ± 0.02 b | 0.52 ± 0.03 b | ||
| Genezis | 0.94 ± 0.01 b | 0.92 ± 0.01 b | 0.90 ± 0.01 a | 0.87 ± 0.01 b | 0.83 ± 0.01 b | 0.49 ± 0.03 b |
| DAS (Day) | Con. (GS) | Con. (MS) | Env. (GS) | Env. (MS) | Bal. (GS) | Bal. (MS) | Gen. (GS) | Gen. (MS) |
|---|---|---|---|---|---|---|---|---|
| 170 | 0.289 | 0.349 | 0.853 ** | 0.866 ** | 0.832 * | 0.854 ** | 0.860 ** | 0.888 ** |
| 186 | 0.226 | 0.262 | 0.728 * | 0.449 | 0.669 | 0.502 | 0.830 * | 0.946 *** |
| 200 | 0.360 | −0.084 | 0.877 ** | −0.094 | 0.854 ** | 0.289 | 0.891 ** | 0.296 |
| 212 | 0.485 | 0.275 | 0.884 ** | 0.101 | 0.874 ** | 0.516 | 0.897 ** | 0.632 |
| 226 | 0.317 | 0.684 | 0.872 ** | 0.869 ** | 0.946 *** | 0.871 ** | 0.874 ** | 0.821 * |
| 240 | 0.863 ** | 0.940 *** | 0.672 | 0.570 | 0.822 * | 0.834 ** | 0.726 * | 0.673 |
| DAS (Day) | Treatments (GreenSeeker) | |||||||||||
|---|---|---|---|---|---|---|---|---|---|---|---|---|
| Control | Environmental | Balance | Genezis | |||||||||
| E 1 | L 2 | Q 3 | E 1 | L 2 | Q 3 | E 1 | L 2 | Q 3 | E 1 | L 2 | Q 3 | |
| 170 | 0.09 | 0.08 | 0.08 | 0.72 ** | 0.73 ** | 0.74 * | 0.81 * | 0.70 ** | 0.68 * | 0.74 ** | 0.75 ** | 0.76 * |
| 186 | 0.06 | 0.05 | 0.09 | 0.52 * | 0.53 * | 0.78 * | 0.42 | 0.44 | 0.75 * | 0.67 * | 0.80 * | 0.68 |
| 200 | 0.12 | 0.11 | 0.16 | 0.78 ** | 0.89 ** | 0.82 * | 0.68 * | 0.70 ** | 0.73 * | 0.77 ** | 0.78 ** | 085 ** |
| 212 | 0.25 | 0.23 | 0.47 | 0.81 ** | 0.80 ** | 0.81 * | 0.74 ** | 0.77 ** | 0.77 * | 0.78 ** | 0.79 ** | 0.80 * |
| 226 | 0.13 | 0.11 | 0.61 | 0.76 ** | 0.77 ** | 0.82 * | 0.90 *** | 0.91 *** | 0.91 ** | 0.78 ** | 0.79 ** | 0.79 * |
| 240 | 0.70 ** | 0.70 ** | 0.86 ** | 0.44 | 0.43 | 0.45 | 0.68 * | 0.66 ** | 0.84 ** | 0.53 * | 0.53 * | 0.57 |
| DAS (Day) | Treatments (MicaSense) | |||||||||||
| Control | Environmental | Balance | Genezis | |||||||||
| E 1 | L 2 | Q 3 | E 1 | L 2 | Q 3 | E 1 | L 2 | Q 3 | E 1 | L 2 | Q 3 | |
| 170 | 0.13 | 0.12 | 0.23 | 0.74 ** | 0.75 ** | 0.82 * | 0.71 ** | 0.72 ** | 0.80 * | 0.78 * | 0.79 ** | 0.86 ** |
| 186 | 0.32 | 0.09 | 0.12 | 0.19 | 0.20 | 0.21 | 0.28 | 0.29 | 0.88 ** | 0.88 *** | 0.88 *** | 0.88 *** |
| 200 | 0.00 | - | 0.12 | 0.08 | 0.01 | 0.01 | 0.07 | 0.08 | 0.20 | 0.15 | 0.15 | 0.15 |
| 212 | 0.07 | 0.06 | 0.25 | 0.04 | 0.04 | 0.30 | 0.28 | 0.28 | 0.28 | 0.37 | 0.37 | 0.37 |
| 226 | 0.50 | 0.48 | 0.70 | 0.79 ** | 0.79 ** | 0.86 ** | 0.79 ** | 0.78 ** | 0.79 ** | 0.69 * | 0.69 * | 0.69 * |
| 240 | 0.90 *** | 0.89 *** | 0.89 ** | 0.37 | 0.35 | 0.38 | 0.71 ** | 0.87 * | 0.69 | 0.47 | 0.47 | 0.48 |
| Plant Index | Monitoring Time | R2 | Regression Parameters a | RMSE | ||
|---|---|---|---|---|---|---|
| a | b | |||||
| Yield prediction model (GreenSeeker) | NDVI/CGDD | 226 DAS | 0.90 | 34,206 | −11.483 | 0.97 |
| Yield prediction model (MicaSense) | NDVI/CGDD | 226 DAS | 0.69 | 50,110 | −40.336 | 1.71 |
Disclaimer/Publisher’s Note: The statements, opinions and data contained in all publications are solely those of the individual author(s) and contributor(s) and not of MDPI and/or the editor(s). MDPI and/or the editor(s) disclaim responsibility for any injury to people or property resulting from any ideas, methods, instructions or products referred to in the content. |
© 2024 by the authors. Licensee MDPI, Basel, Switzerland. This article is an open access article distributed under the terms and conditions of the Creative Commons Attribution (CC BY) license (https://creativecommons.org/licenses/by/4.0/).
Share and Cite
Zsebő, S.; Bede, L.; Kukorelli, G.; Kulmány, I.M.; Milics, G.; Stencinger, D.; Teschner, G.; Varga, Z.; Vona, V.; Kovács, A.J. Yield Prediction Using NDVI Values from GreenSeeker and MicaSense Cameras at Different Stages of Winter Wheat Phenology. Drones 2024, 8, 88. https://doi.org/10.3390/drones8030088
Zsebő S, Bede L, Kukorelli G, Kulmány IM, Milics G, Stencinger D, Teschner G, Varga Z, Vona V, Kovács AJ. Yield Prediction Using NDVI Values from GreenSeeker and MicaSense Cameras at Different Stages of Winter Wheat Phenology. Drones. 2024; 8(3):88. https://doi.org/10.3390/drones8030088
Chicago/Turabian StyleZsebő, Sándor, László Bede, Gábor Kukorelli, István Mihály Kulmány, Gábor Milics, Dávid Stencinger, Gergely Teschner, Zoltán Varga, Viktória Vona, and Attila József Kovács. 2024. "Yield Prediction Using NDVI Values from GreenSeeker and MicaSense Cameras at Different Stages of Winter Wheat Phenology" Drones 8, no. 3: 88. https://doi.org/10.3390/drones8030088
APA StyleZsebő, S., Bede, L., Kukorelli, G., Kulmány, I. M., Milics, G., Stencinger, D., Teschner, G., Varga, Z., Vona, V., & Kovács, A. J. (2024). Yield Prediction Using NDVI Values from GreenSeeker and MicaSense Cameras at Different Stages of Winter Wheat Phenology. Drones, 8(3), 88. https://doi.org/10.3390/drones8030088

