Estimating Maize Maturity by Using UAV Multi-Spectral Images Combined with a CCC-Based Model
Abstract
:1. Introduction
- (1)
- Perform PROSAIL model inversion for maize CCC retrieval at the main crop growth stages. This not only tests the accuracy of the model inversion but also enables us to further investigate the quantitative relations between VIs and CCC with maize GMC;
- (2)
- Compare the relationships between selected VIs and CCC with maize GMC at maturity, evaluate the optimal vegetation index, and demonstrate the validity of the VI-based method for estimating maize GMC;
- (3)
- Explore the differences in GMC between maize varieties at maturity under the same geographical and environmental conditions.
2. Study Area and Data Source
2.1. Study Area
2.2. Multi-Spectral UAV Flight Campaign and Image Processing
2.3. Ground Data Collection
3. Methodology
3.1. PROSAIL Model for CCC Retrieval
3.2. Calculation of VIs
3.3. Model Construction and Performance Assessment
4. Results
4.1. Results of Field Observations of LCC, LAI, and GMC
4.2. Retrieval of Maize CCC from PROSAIL Inversion Model
4.3. Correlation of Both CCC and VIs with GMC
4.4. Parameter Sensitivities of the PROSAIL Model
5. Discussion
5.1. Contributions of UAV in Maize Maturity Estimation
5.2. The Theoretically Consistent VI-Based Estimation Model Based on CCC Validation
5.3. Optimal Vegetation Index for Maize GMC Estimation
5.4. Limitations and Future Work
6. Conclusions
Author Contributions
Funding
Data Availability Statement
Conflicts of Interest
References
- FAO. FAOSTAT-Agriculture Database. 2021. Available online: http://www.fao.org/statistics/zh/ (accessed on 9 May 2022).
- Meng, J.H.; Dong, T.; Zhang, M.; You, X.; Wu, B. Predicting optimal soybean harvesting dates with satellite data. In Precision Agriculture’13; Wageningen Academic Publishers: Wageningen, The Netherlands, 2013; pp. 209–215. [Google Scholar]
- Meng, J.; Xu, J.; You, X. Optimizing soybean harvest date using HJ-1 satellite imagery. Precis. Agric. 2015, 16, 164–179. [Google Scholar] [CrossRef]
- Xu, J.; Meng, J.; Quackenbush, L.J. Use of remote sensing to predict the optimal harvest date of corn. Field Crops Res. 2019, 236, 1–13. [Google Scholar] [CrossRef]
- Wang, Z.; Guo, T.; Wu, X.; Zheng, W.; Liu, Z.; Zhang, M. Study on the influence of harvest time on the oil and yield of different mature period high-oil soybean. Chin. Agric. Sci. Bull. 2009, 25, 74–77. [Google Scholar]
- Liu, Z.; Wan, W.; Huang, J.; Han, Y.W.; Wang, J.Y. Progress on key parameters inversion of crop growth based on unmanned aerial vehicle remote sensing. Trans. Chin. Soc. Agric. Eng. (Trans. CSAE) 2018, 34, 60–71. [Google Scholar]
- Jihua, M.; Bingfang, W. The Feasibility Analysis on Satellite Data based Crop Mature Data Prediction. Remote Sens. Technol. Appl. 2013, 28, 165–173. [Google Scholar]
- Pordesimo, L.O.; Sokhansanj, S.; Edens, W.C. Moisture and yield of corn stover fractions before and after grain maturity. Trans. ASAE 2004, 47, 1597. [Google Scholar] [CrossRef]
- Tolera, A.; Sundstøl, F.; Said, A.N. The effect of stage of maturity on yield and quality of maize grain and stover. Anim. Feed. Sci. Technol. 1998, 75, 157–168. [Google Scholar] [CrossRef]
- Boogaard, H.L. User’s Guide for the WOFOST 7.1 Crop Growth Simulation Model and WOFOST Control Center 1.5 Technical Document 52 DLO Vinand Staring Centre; Soil and Water Research: São Paulo, Brazil, 1998. [Google Scholar]
- Brisson, N.; Mary, B.; Ripoche, D.; Jeuffroy, M.H.; Ruget, F.; Nicoullaud, B.; Gate, P.; Devienne-Barret, F.; Antonioletti, R.; Durr, C.; et al. STICS: A generic model for the simulation of crops and their water and nitrogen balances. I. Theory and parameterization applied to wheat and corn. Agronomie 1998, 18, 311–346. [Google Scholar] [CrossRef]
- Jones, J.W.; White, J.; Boote, K.; Hoogenboom, G.; Porter, C.H. Phenology Module in DSSAT v. 4.0: Documentation and Source Code Listing; University of Florida: Gainesville, FL, USA, 2000. [Google Scholar]
- Ailian, C.H.E.N.; Sijian, Z.H.A.O.; Yuxia, Z.H.U.; Wei, S.U.N. Application Scenarios and Research Progress of Remote Sensing Technology in Plant Income Insurance. Smart Agric. 2022, 4, 57. [Google Scholar]
- Pan, H.; Chen, Z.; de Wit, A.; Ren, J. Joint assimilation of leaf area index and soil moisture from sentinel-1 and sentinel-2 data into the WOFOST model for winter wheat yield estimation. Sensors 2019, 19, 3161. [Google Scholar] [CrossRef]
- Weiss, M.; Jacob, F.; Duveiller, G. Remote sensing for agricultural applications: A meta-review. Remote Sens. Environ. 2020, 236, 111402. [Google Scholar] [CrossRef]
- Han-ya, I.; Ishii, K.; Noguchi, N. Acquisition and analysis of wheat growth information using satellite and aerial vehicle imageries. In Proceedings of the 3rd Asian Conference on Precision Agriculture, Beijing, China, 14–17 October 2009. [Google Scholar]
- Alonzo, M.; Bookhagen, B.; McFadden, J.P.; Sun, A.; Roberts, D.A. Mapping urbanforest leaf area index with airborne LiDAR using penetration metrics and allometry. Remote Sens. Environ. 2015, 162, 141–153. [Google Scholar] [CrossRef]
- Yu, N.; Li, L.; Schmitz, N.; Tian, L.F.; Greenberg, J.A.; Diers, B.W. Development of methods to improve soybean yield estimation and predict plant maturity with an unmanned aerial vehicle based platform. Remote Sens. Environ. 2016, 187, 91–101. [Google Scholar] [CrossRef]
- Zhang, L.; Zhang, H.; Niu, Y.; Han, W. Mapping maize water stress based on UAV multispectral remote sensing. Remote Sens. 2019, 11, 605. [Google Scholar] [CrossRef]
- Xiang, H.; Tian, L. Development of a low-cost agricultural remote sensing system based on an autonomous unmanned aerial vehicle (UAV). Biosyst. Eng. 2011, 108, 174–190. [Google Scholar] [CrossRef]
- Zhang, C.; Kovacs, J.M. The application of small unmanned aerial systems for precision agriculture: A review. Precis. Agric. 2012, 13, 693–712. [Google Scholar] [CrossRef]
- Qi, H.; Wu, Z.; Zhang, L.; Li, J.; Zhou, J.; Jun, Z.; Zhu, B. Monitoring of peanut leaves chlorophyll content based on drone-based multispectral image feature extraction. Comput. Electron. Agric. 2021, 187, 106292. [Google Scholar] [CrossRef]
- Qiao, L.; Tang, W.; Gao, D.; Zhao, R.; An, L.; Li, M.; Sun, H.; Song, D. UAV-based chlorophyll content estimation by evaluating vegetation index responses under different crop coverages. Comput. Electron. Agric. 2022, 196, 106775. [Google Scholar] [CrossRef]
- Su, W.; Wang, W.; Liu, Z.; Zhang, M.; Bian, H.; Cui, Y.; Huang, J. Determining the retrieving parameters of corn canopy LAI and chlorophyll content computed using UAV image. Trans. Chin. Soc. Agric. Eng. (Trans. CSAE) 2020, 36, 58–65. [Google Scholar]
- Liu, T.; Zhang, H.; Wang, Z.Y.; He, C.; Zhang, Q.G.; Jiao, Y.Z. Estimation of the leaf index and chlorophyll content of wheat using UAV multi-spectrum images. Trans. Chin. Soc. Agric. Eng. (Trans. CSAE) 2021, 37, 65–72. [Google Scholar]
- Moeinizade, S.; Pham, H.; Han, Y.; Dobbels, A.; Hu, G. An applied deep learning approach for estimating soybean relative maturity from UAV imagery to aid plant breeding decisions. Mach. Learn. Appl. 2022, 7, 100233. [Google Scholar] [CrossRef]
- Sheng-hui, Y.; Yong-jun, Z.; Xing-xing, L.; Tian-gang, Z.; Xiao-shuan, Z.; Li-ming, X. Cabernet Gernischt Maturity Dtermination Based on Near-Ground Multispectral Figures by using UAVs. Spectrosc. Spectr. Anal. 2021, 41, 3220–3226. [Google Scholar]
- Caballero, D.; Calvini, R.; Amigo, J.M. Hyperspectral imaging in crop fields: Precision agriculture. In Data Handling in Science and Technology; Elsevier: Amsterdam, The Netherlands, 2020; Volume 32, pp. 453–473. [Google Scholar]
- Croft, H.; Chen, J.M.; Zhang, Y.; Simic, A. Modelling leaf chlorophyll content in broadleaf and needle leaf canopies from ground, CASI, Landsat TM 5 and MERIS reflectance data. Remote Sens. Environ. 2013, 133, 128–140. [Google Scholar] [CrossRef]
- Clevers, J.G.; Kooistra, L.; Schaepman, M.E. Estimating canopy water content using hyperspectral remote sensing data. Int. J. Appl. Earth Obs. Geoinf. 2010, 12, 119–125. [Google Scholar] [CrossRef]
- Danner, M.; Berger, K.; Wocher, M.; Mauser, W.; Hank, T. Fitted PROSAIL parameterization of leaf inclinations, water content and brown pigment content for winter wheat and maize canopies. Remote Sens. 2019, 11, 1150. [Google Scholar] [CrossRef]
- Delloye, C.; Weiss, M.; Defourny, P. Retrieval of the canopy chlorophyll content from Sentinel-2 spectral bands to estimate nitrogen uptake in intensive winter wheat cropping systems. Remote Sens. Environ. 2018, 216, 245–261. [Google Scholar] [CrossRef]
- Duan, S.B.; Li, Z.L.; Wu, H.; Tang, B.H.; Ma, L.; Zhao, E.; Li, C. Inversion of the PROSAIL model to estimate leaf area index of maize, potato, and sunflower fields from unmanned aerial vehicle hyperspectral data. Int. J. Appl. Earth Obs. Geoinf. 2014, 26, 12–20. [Google Scholar] [CrossRef]
- Houborg, R.; Anderson, M.; Daughtry, C. Utility of an image-based canopy reflectance modeling tool for remote estimation of LAI and leaf chlorophyll content at the field scale. Remote Sens. Environ. 2009, 113, 259–274. [Google Scholar] [CrossRef]
- Huang, J.; Gómez-Dans, J.L.; Huang, H.; Ma, H.; Wu, Q.; Lewis, P.E.; Liang, S.; Chen, Z.; Xue, J.H.; Wu, Y.; et al. Assimilation of remote sensing into crop growth models: Current status and perspectives. Agric. For. Meteorol. 2019, 276, 107609. [Google Scholar] [CrossRef]
- Rouse, J.W., Jr.; Haas, R.H.; Deering, D.W.; Schell, J.A.; Harlan, J.C. Monitoring the Vernal Advancement and Retrogradation (Green Wave Effect) of Natural Vegetation; NASA: Greenbelt, MD, USA, 1974.
- Gitelson, A.A.; Kaufman, Y.J.; Merzlyak, M.N. Use of a green channel in remote sensing of global vegetation from EOS-MODIS. Remote Sens. Environ. 1996, 58, 289–298. [Google Scholar] [CrossRef]
- Hatfield, J.L.; Gitelson, A.A.; Schepers, J.S.; Walthall, C.L. Application of spectral remote sensing for agronomic decisions. Agron. J. 2008, 100, S-117–S-131. [Google Scholar] [CrossRef]
- Shuang, L.; Hai-ye, Y.; Jun-he, Z.; Hai-gen, Z.; Li-juan, K.; Lei, Z.; Jing-min, D.; Yuan-yuan, S. Study on Inversion Model of Chlorophyll Content in Soybean Leaf Based on Optimal Spectral Indices. Spectrosc. Spectr. Anal. 2021, 41, 1912. [Google Scholar]
- Donnelly, A.; Yu, R.; Rehberg, C.; Meyer, G.; Young, E.B. Leaf chlorophyll estimates of temperate deciduous shrubs during autumn senescence using a SPAD-502 meter and calibration with extracted chlorophyll. Ann. For. Sci. 2020, 77, 1–12. [Google Scholar] [CrossRef]
- Mao, Z.H.; Deng, L.; Duan, F.Z.; Li, X.J.; Qiao, D.Y. Angle effects of vegetation indices and the influence on prediction of SPAD values in soybean and maize. Int. J. Appl. Earth Obs. Geoinf. 2020, 93, 102198. [Google Scholar] [CrossRef]
- Atzberger, C.; Darvishzadeh, R.; Immitzer, M.; Schlerf, M.; Skidmore, A.; Le Maire, G. Comparative analysis of different retrieval methods for mapping grassland leaf area index using airborne imaging spectroscopy. Int. J. Appl. Earth Obs. Geoinf. 2015, 43, 19–31. [Google Scholar] [CrossRef]
- Bandaru, V.; Yaramasu, R.; Jones, C.; Izaurralde, R.C.; Reddy, A.; Sedano, F.; Daughtry, C.S.; Becker-Reshef, I.; Justice, C. Geo-CropSim: A Geo-spatial crop simulation modeling framework for regional scale crop yield and water use assessment. ISPRS J. Photogramm. Remote Sens. 2022, 183, 34–53. [Google Scholar] [CrossRef]
- Darvishzadeh, R.; Skidmore, A.; Schlerf, M.; Atzberger, C. Inversion of a radiative transfer model for estimating vegetation LAI and chlorophyll in a heterogeneous grassland. Remote Sens. Environ. 2008, 112, 2592–2604. [Google Scholar] [CrossRef]
- Jay, S.; Maupas, F.; Bendoula, R.; Gorretta, N. Retrieving LAI, chlorophyll and nitrogen contents in sugar beet crops from multi-angular optical remote sensing: Comparison of vegetation indices and PROSAIL inversion for field phenotyping. Field Crops Res. 2017, 210, 33–46. [Google Scholar] [CrossRef]
- Jiang, H.Y.; Chai, L.N.; Jia, K.; Liu, J.; Yang, S.Q.; Zheng, J. Estimation of water content for short vegetation based on PROSAIL model and vegetation water indices. Natl. Remote Sens. Bull. 2021, 25, 1025–1036. [Google Scholar] [CrossRef]
- Kayad, A.; Rodrigues Jr, F.A.; Naranjo, S.; Sozzi, M.; Pirotti, F.; Marinello, F.; Schulthess, U.; Defourny, P.; Gerard, B.; Weiss, M. Radiative transfer model inversion using high-resolution hyperspectral airborne imagery–Retrieving maize LAI to access biomass and grain yield. Field Crops Res. 2022, 282, 108449. [Google Scholar] [CrossRef]
- Punalekar, S.M.; Verhoef, A.; Quaife, T.L.; Humphries, D.; Bermingham, L.; Reynolds, C.K. Application of Sentinel-2A data for pasture biomass monitoring using a physically based radiative transfer model. Remote Sens. Environ. 2018, 218, 207–220. [Google Scholar] [CrossRef]
- Richter, K.; Atzberger, C.; Vuolo, F.; D’Urso, G. Evaluation of sentinel-2 spectral sampling for radiative transfer model based LAI estimation of wheat, sugar beet, and maize. IEEE J. Sel. Top. Appl. Earth Obs. Remote Sens. 2010, 4, 458–464. [Google Scholar] [CrossRef]
- Sehgal, V.K.; Chakraborty, D.; Sahoo, R.N. Inversion of radiative transfer model for retrieval of wheat biophysical parameters from broadband reflectance measurements. Inf. Process. Agric. 2016, 3, 107–118. [Google Scholar] [CrossRef]
- Wei, S.; Jia-yu, W.; Xin-sheng, W.; Zi-xuan, X.; Ying, Z.; Wan-cheng, T.; Tian, J. Retrieving Corn Canopy Leaf Area Index Based on Sentinel-2 Image and PROSAIL Model Parameter Calibration. Spectrosc. Spectr. Anal. 2021, 41, 1891–1897. [Google Scholar]
- Zhang, H.; Kang, J.; Xu, X.; Zhang, L. Accessing the temporal and spectral features in crop type mapping using multi-temporal Sentinel-2 imagery: A case study of Yi’an County, Heilongjiang province, China. Comput. Electron. Agric. 2020, 176, 105618. [Google Scholar] [CrossRef]
- Markwell, J.; Osterman, J.C.; Mitchell, J.L. Calibration of the Minolta SPAD-502 leaf chlorophyll meter. Photosynth. Res. 1995, 46, 467–472. [Google Scholar] [CrossRef]
- Chakhvashvili, E.; Siegmann, B.; Muller, O.; Verrelst, J.; Bendig, J.; Kraska, T.; Rascher, U. Retrieval of Crop Variables from Proximal Multispectral UAV Image Data Using PROSAIL in Maize Canopy. Remote Sens. 2022, 14, 1247. [Google Scholar] [CrossRef]
- Feret, J.B.; François, C.; Asner, G.P.; Gitelson, A.A.; Martin, R.E.; Bidel, L.P.; Ustin, S.L.; Le Maire, G.; Jacquemoud, S. PROSPECT-4 and 5: Advances in the leaf optical properties model separating photosynthetic pigments. Remote Sens. Environ. 2008, 112, 3030–3043. [Google Scholar] [CrossRef]
- Jacquemoud, S.; Baret, F. PROSPECT: A model of leaf optical properties spectra. Remote Sens. Environ. 1990, 34, 75–91. [Google Scholar] [CrossRef]
- Jacquemoud, S.; Verhoef, W.; Baret, F.; Bacour, C.; Zarco-Tejada, P.J.; Asner, G.P.; François, C.; Ustin, S.L. PROSPECT+ SAIL models: A review of use for vegetation characterization. Remote Sens. Environ. 2009, 113, S56–S66. [Google Scholar] [CrossRef]
- Verhoef, W. Light scattering by leaf layers with application to canopy reflectance modeling: The SAIL model. Remote Sens. Environ. 1984, 16, 125–141. [Google Scholar] [CrossRef]
- Gutman, G.; Skakun, S.; Gitelson, A. Revisiting the use of red and near-infrared reflectances in vegetation studies and numerical climate models. Sci. Remote Sens. 2021, 4, 100025. [Google Scholar] [CrossRef]
- Zhang, M.Z.; Su, W.; Zhu, D.H. Retriecal of LAI and LCC in Summer Corn Canopy Based on the PROSAIL Model Using an Improved Inversion Strategy. Geogr. Geo-Inf. Sci. 2019, 35, 28–33. [Google Scholar]
- Sun, Y.; Qin, Q.; Ren, H.; Zhang, T.; Chen, S. Red-edge band vegetation indices for leaf area index estimation from Sentinel-2/MSI imagery. IEEE Trans. Geosci. Remote Sens. 2019, 58, 826–840. [Google Scholar] [CrossRef]
- Elsayed, S.; Rischbeck, P.; Schmidhalter, U. Comparing the performance of active and passive reflectance sensors to assess the normalized relative canopy temperature and grain yield of drought-stressed barley cultivars. Field Crops Res. 2015, 177, 148–160. [Google Scholar] [CrossRef]
- Kaur, R.; Singh, B.; Singh, M.; Thind, S.K. Hyperspectral indices, correlation and regression models for estimating growth parameters of wheat genotypes. J. Indian Soc. Remote Sens. 2015, 43, 551–558. [Google Scholar] [CrossRef]
- Chimonyo, V.G.P.; Mutengwa, C.S.; Chiduza, C.; Tandzi, L.N. Participatory variety selection of maize genotypes in the Eastern Cape Province of South Africa. S. Afr. J. Agric. Ext. 2019, 47, 103–117. [Google Scholar] [CrossRef]
- Louette, D.; Smale, M. Farmers’ seed selection practices and traditional maize varieties in Cuzalapa, Mexico. Euphytica 2000, 113, 25–41. [Google Scholar] [CrossRef]
- Matsushita, B.; Yang, W.; Chen, J.; Onda, Y.; Qiu, G. Sensitivity of the enhanced vegetation index (EVI) and normalized difference vegetation index (NDVI) to topographic effects: A case study in high-density cypress forest. Sensors 2007, 7, 2636–2651. [Google Scholar] [CrossRef]
- Corti, M.; Cavalli, D.; Cabassi, G.; Gallina, P.M.; Bechini, L. Does remote and proximal optical sensing successfully estimate maize variables? A review. Eur. J. Agron. 2018, 99, 37–50. [Google Scholar] [CrossRef]
- Scotford, I.M.; Miller, P.C.H. Applications of spectral reflectance techniques in northern European cereal production: A review. Biosyst. Eng. 2005, 90, 235–250. [Google Scholar] [CrossRef]
- Simic Milas, A.; Romanko, M.; Reil, P.; Abeysinghe, T.; Marambe, A. The importance of leaf area index in mapping chlorophyll content of corn under different agricultural treatments using UAV images. Int. J. Remote Sens. 2018, 39, 5415–5431. [Google Scholar] [CrossRef]
- Boiarskii, B.; Hasegawa, H. Comparison of NDVI and NDRE indices to detect differences in vegetation and chlorophyll content. J. Mech. Contin. Math. Sci. 2019, 4, 20–29. [Google Scholar] [CrossRef]















| Band Name | Center Wavelength/nm | Band Width/nm | File Suffix Name |
|---|---|---|---|
| Blue (B) | 450 | 32 | .tif |
| Green (G) | 560 | 32 | .tif |
| Red (R) | 650 | 32 | .tif |
| Red Edge (RE) | 730 | 32 | .tif |
| Near IR (NIR) | 840 | 52 | .tif |
| Date | GS | WQG (Maize) | SLC (Maize) | ||||
|---|---|---|---|---|---|---|---|
| UAV Image | LCC (μg/cm2) | LAI (m2/m2) | GMC | UAV Image | GMC | ||
| 12 July 2021 | J | √ | [20–75] | [1–6] | √ | ||
| 18 August 2021 | MM | √ | [40–80] | [1–6] | √ | ||
| 18 September 2021 | M | √ | [50–75] | [1–6] | √ | √ | √ |
| Parameter | Symbol | Units | Range Value | Base Value |
|---|---|---|---|---|
| Leaf Model: PROSPECT-5 | ||||
| Leaf structure | N | Unit less | 1.2–2 | 1.5 |
| Chlorophyll a + b | Cab | μg/cm2 | Measured value range | The average of measured values |
| Carotenoid concentration | Car | μg/cm2 | 0–12 | 6 |
| Brown pigment | Cbp | Unit less | 0–1 | 0.2 |
| Dry matter content | Cm | g/cm2 | 0.001–0.3 | 0.01 |
| Equivalent water thickness | Cw | cm | 0.001–0.3 | 0.01 |
| Canopy model: 4-SAIL | ||||
| Leaf area Index | LAI | m2/m2 | Measured value range | The average of measured values |
| Hot spot parameter | Hot | m/m | 0.01–0.5 | 0.1 |
| Dry/Wet soil factor | Psoil | Unit less | 0.05–0.4 | 0.2 |
| Soil brightness factor | Bsoil | Unit less | 0–1 | 0.5 |
| Sun zenith angle | θs | ° | 0–45 | 30 |
| View zenith angle | θv | ° | 0–30 | 10 |
| Relative azimuth angle | φSV | ° | 0–180 | 90 |
| Vegetation Index | Equation | Reference |
|---|---|---|
| NDVI | (NIR − Red)/(NIR + Red) | [35] |
| GNDVI | (NIR − Green)/(NIR + Green) | [38] |
| NDRE | (NIR − RedEdge)/(NIR + RedEdge) | [39] |
| RENDVI | (RedEdge − Red)/(RedEdge + Red) | [62] |
| LCI | (NIR − RedEdge)/(NIR + Red) | [63] |
| Category | R2-WQG (Exponential: y = aeX + b) | R2-WQG (Linear: y = ax + b) | R2-WQG (Logarithmic: y = lnx + b) | R2-WQG (Power: y = bxa + c) | p-Value |
|---|---|---|---|---|---|
| CCC | 0.615 | 0.643 | 0.790 | 0.781 | <0.01 |
| LCI | 0.524 | 0.536 | 0.566 | 0.557 | <0.01 |
| NDRE | 0.530 | 0.545 | 0.600 | 0.596 | <0.01 |
| RENDVI | 0.255 | 0.254 | 0.262 | 0.260 | <0.01 |
| GNDVI | 0.511 | 0.516 | 0.520 | 0.517 | <0.01 |
| NDVI | 0.491 | 0.497 | 0.501 | 0.498 | <0.01 |
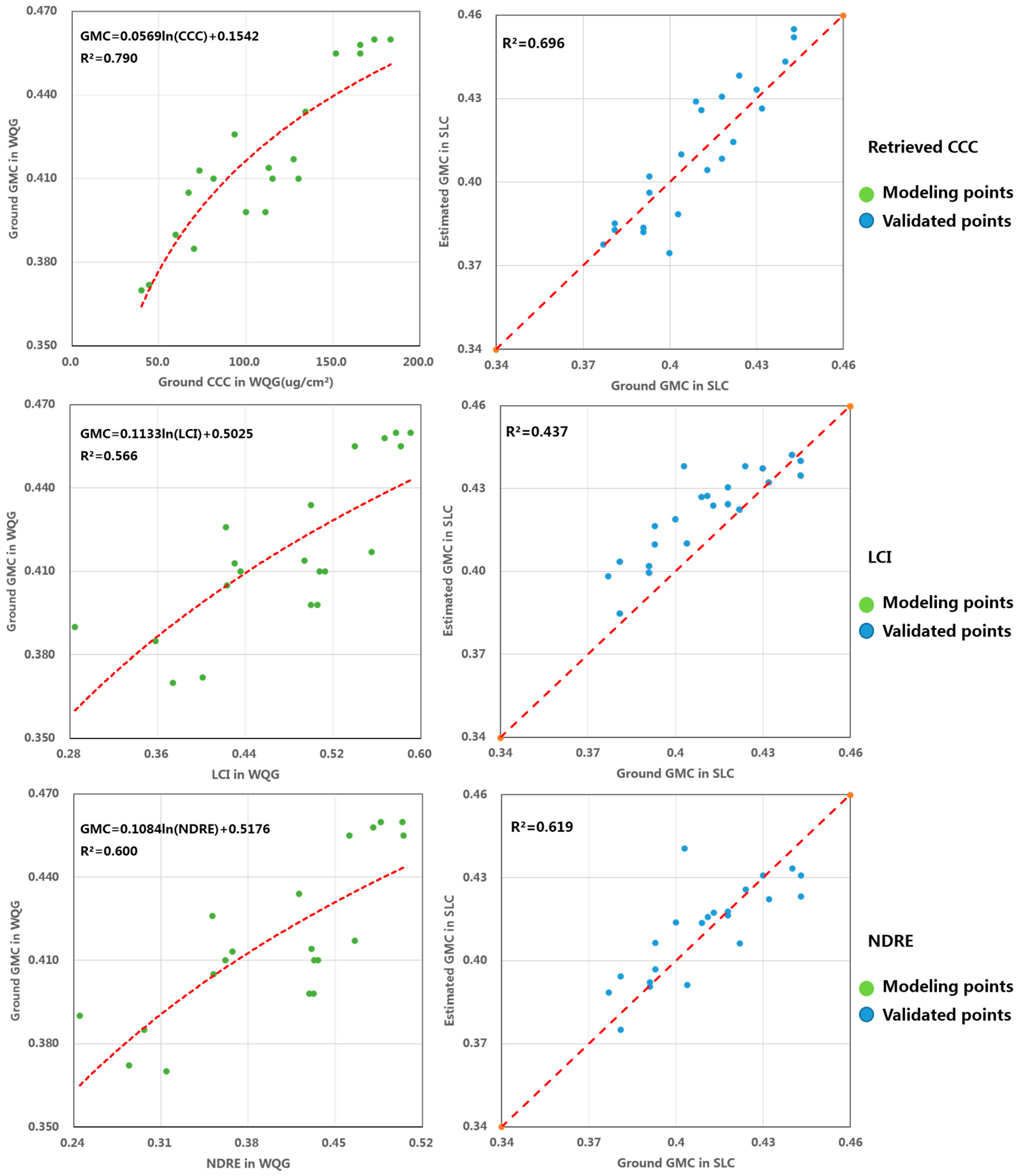
| Category | Equation Expression | R2-WQG | R2-SLC | No.of Equation |
|---|---|---|---|---|
| CCC | GMC = 0.0569ln(CCC) + 0.1542 | 0.790 | 0.696 | (8) |
| LCI | GMC = 0.1133ln(LCI) + 0.5025 | 0.566 | 0.437 | (9) |
| NDRE | GMC = 0.1084ln(NDRE) + 0.5176 | 0.600 | 0.619 | (10) |
| RENDVI | GMC = 0.181ln(RENDVI) + 0.4924 | 0.262 | 0.200 | (11) |
| GNDVI | GMC = 0.3229ln(GNDVI) + 0.5031 | 0.520 | 0.374 | (12) |
| NDVI | GMC = 0.3396ln(NDVI) + 0.484 | 0.501 | 0.359 | (13) |
Disclaimer/Publisher’s Note: The statements, opinions and data contained in all publications are solely those of the individual author(s) and contributor(s) and not of MDPI and/or the editor(s). MDPI and/or the editor(s) disclaim responsibility for any injury to people or property resulting from any ideas, methods, instructions or products referred to in the content. |
© 2023 by the authors. Licensee MDPI, Basel, Switzerland. This article is an open access article distributed under the terms and conditions of the Creative Commons Attribution (CC BY) license (https://creativecommons.org/licenses/by/4.0/).
Share and Cite
Liu, Z.; Li, H.; Ding, X.; Cao, X.; Chen, H.; Zhang, S. Estimating Maize Maturity by Using UAV Multi-Spectral Images Combined with a CCC-Based Model. Drones 2023, 7, 586. https://doi.org/10.3390/drones7090586
Liu Z, Li H, Ding X, Cao X, Chen H, Zhang S. Estimating Maize Maturity by Using UAV Multi-Spectral Images Combined with a CCC-Based Model. Drones. 2023; 7(9):586. https://doi.org/10.3390/drones7090586
Chicago/Turabian StyleLiu, Zhao, Huapeng Li, Xiaohui Ding, Xinyuan Cao, Hui Chen, and Shuqing Zhang. 2023. "Estimating Maize Maturity by Using UAV Multi-Spectral Images Combined with a CCC-Based Model" Drones 7, no. 9: 586. https://doi.org/10.3390/drones7090586
APA StyleLiu, Z., Li, H., Ding, X., Cao, X., Chen, H., & Zhang, S. (2023). Estimating Maize Maturity by Using UAV Multi-Spectral Images Combined with a CCC-Based Model. Drones, 7(9), 586. https://doi.org/10.3390/drones7090586

