Optimization of Full-Duplex UAV Secure Communication with the Aid of RIS
Abstract
:1. Introduction
- (i)
- Although studies [14,21,22,23] affirmed a notable enhancement in the security of UAV communication with the aid of RIS, the persistent threat of eavesdropping remains. To address this, additional measures can be implemented to actively diminish the eavesdroppers’ capabilities of eavesdropping and further mitigate the risk of information leakage.
- (ii)
- (iii)
- Although the authors in [26] discussed the impact of RSI, it is based on a simplified LoS channel model, which cannot accurately characterize actual environments. In practical urban areas, there may be deviations and losses in security performance that need to be considered.
2. System Model and Problem Formulation
2.1. UAV Trajectory Model
2.2. Direct Channel Model
2.3. Reflecting Channel Model
2.4. Secrecy Rate
2.5. Problem Formulation
3. Proposed Algorithm
3.1. Optimization of User Scheduling
3.2. Optimization of the User Transmit Power
3.3. Optimization of the UAV Jamming Power
3.4. Optimization of the Phase Shift Matrix
3.5. Optimization of the UAV Trajectory
3.6. Algorithm Summary
| Algorithm 1 Overall algorithm for problem (21). |
|
4. Simulation Results
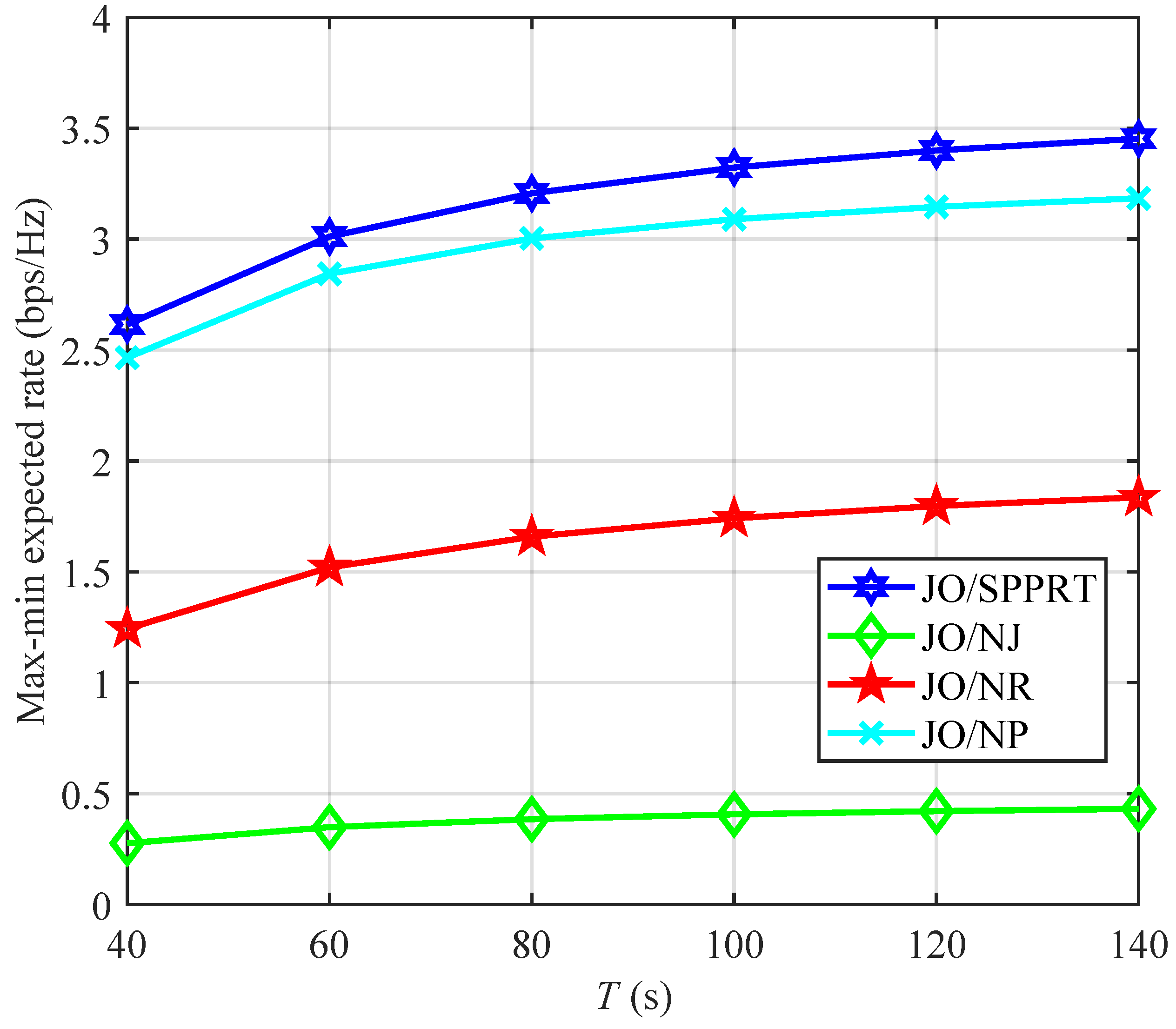
- JO/NJ: Joint optimization without jamming, which jointly optimizes the user scheduling, the user transmit power, the phase shift of RIS, and the trajectory of UAV by setting = 0, .
- JO/NR: Joint optimization without RIS, which jointly optimizes the user scheduling, the user transmit power, the UAV jamming power, and the UAV trajectory by setting the quantity of reflecting elements to be = 0, .
- JO/NP: Joint optimization without power control, which jointly optimizes the user scheduling, the phase shift of RIS, and the trajectory of the UAV by setting the powers of the UAV and the users as = and = , , respectively.
- (1)
- In the proposed JO/SPPRT scheme, the UAV flies midway among the users and the RIS, maximizing the performance gain. Then, it approaches Eve, sending jamming signals to enhance communication security by suppressing eavesdropping.
- (2)
- In the JO/NJ scheme, the UAV initially flies intermediately among the RIS and the users, maximizing the hovering time. Unlike the JO/SPPRT scheme, without jamming, the UAV focuses on flying away from the Eve to minimize eavesdropping.
- (3)
- In the JO/NR scheme, the UAV communicates sequentially with user 2, user 1, and user 3. Different from the JO/SPPRT scheme, without the assistance of the RIS, the JO/NR scheme has limited ability to suppress eavesdropping. Hence, the UAV approaches each user individually and moves away from the Eve to enhance the secrecy rate.
- (4)
- In the JO/NP scheme, without power control, the users cannot transmit information at high power, and the UAV cannot send jamming signals at high power when close to Eve. Hence, the UAV flies midway among the RIS and the users to improve the communication performance, and moves away from the Eve to reduce eavesdropping.
5. Conclusions
Author Contributions
Funding
Institutional Review Board Statement
Informed Consent Statement
Data Availability Statement
Conflicts of Interest
References
- Shakhatreh, H.; Sawalmeh, A.H.; Al-Fuqaha, A.; Dou, Z.; Almaita, E.; Khalil, I.; Othman, N.S.; Khreishah, A.; Guizani, M. Unmanned Aerial Vehicles (UAVs): A Survey on Civil Applications and Key Research Challenges. IEEE Access 2019, 7, 48572–48634. [Google Scholar] [CrossRef]
- Menouar, H.; Guvenc, I.; Akkaya, K.; Uluagac, A.S.; Kadri, A.; Tuncer, A. UAV-Enabled Intelligent Transportation Systems for the Smart City: Applications and Challenges. IEEE Commun. Mag. 2017, 55, 22–28. [Google Scholar] [CrossRef]
- Kim, J.; Kim, S.; Ju, C.; Son, H.I. Unmanned Aerial Vehicles in Agriculture: A Review of Perspective of Platform, Control, and Applications. IEEE Access 2019, 7, 105100–105115. [Google Scholar] [CrossRef]
- Akyildiz, I.F.; Kak, A.; Nie, S. 6G and Beyond: The Future of Wireless Communications Systems. IEEE Access 2020, 8, 133995–134030. [Google Scholar] [CrossRef]
- Mozaffari, M.; Saad, W.; Bennis, M.; Nam, Y.H.; Debbah, M. A Tutorial on UAVs for Wireless Networks: Applications, Challenges, and Open Problems. IEEE Commun. Surv. Tutor. 2019, 21, 2334–2360. [Google Scholar] [CrossRef]
- Li, B.; Fei, Z.; Zhang, Y. UAV Communications for 5G and Beyond: Recent Advances and Future Trends. IEEE Internet Things J. 2019, 6, 2241–2263. [Google Scholar] [CrossRef]
- Cui, M.; Zhang, G.; Wu, Q.; Ng, D.W.K. Robust Trajectory and Transmit Power Design for Secure UAV Communications. IEEE Trans. Veh. Technol. 2018, 67, 9042–9046. [Google Scholar] [CrossRef]
- Wang, D.; Bai, B.; Zhao, W.; Han, Z. A Survey of Optimization Approaches for Wireless Physical Layer Security. IEEE Commun. Surv. Tutor. 2019, 21, 1878–1911. [Google Scholar] [CrossRef]
- Deng, H.; Wang, H.M.; Guo, W.; Wang, W. Secrecy Transmission With a Helper: To Relay or to Jam. IEEE Trans. Inf. Forensics Secur. 2015, 10, 293–307. [Google Scholar] [CrossRef]
- Li, A.; Wu, Q.; Zhang, R. UAV-Enabled Cooperative Jamming for Improving Secrecy of Ground Wiretap Channel. IEEE Wirel. Commun. Lett. 2019, 8, 181–184. [Google Scholar] [CrossRef]
- Mamaghani, M.T.; Hong, Y. Joint Trajectory and Power Allocation Design for Secure Artificial Noise Aided UAV Communications. IEEE Trans. Veh. Technol. 2021, 70, 2850–2855. [Google Scholar] [CrossRef]
- Zhong, C.; Yao, J.; Xu, J. Secure UAV Communication With Cooperative Jamming and Trajectory Control. IEEE Commun. Lett. 2019, 23, 286–289. [Google Scholar] [CrossRef]
- Tang, J.; Chen, G.; Coon, J.P. Secrecy Performance Analysis of Wireless Communications in the Presence of UAV Jammer and Randomly Located UAV Eavesdroppers. IEEE Trans. Inf. Forensics Secur. 2019, 14, 3026–3041. [Google Scholar] [CrossRef]
- Cheng, T.; Wang, B.; Cao, K.; Dong, R.; Diao, D. IRS-Enabled Secure G2A Communications for UAV System With Aerial Eavesdropping. IEEE Syst. J. 2022, 17, 3670–3681. [Google Scholar] [CrossRef]
- Amri, M.M.; Tran, N.M.; Park, J.H.; Kim, D.I.; Choi, K.W. Demo: Demonstration of reconfigurable intelligent surface (RIS)-assisted simultaneous wireless information and power transfer (SWIPT). In Proceedings of the 2022 IEEE International Conference on Communications Workshops (ICC Workshops), Seoul, Republic of Korea, 16–20 May 2022; pp. 1–2. [Google Scholar] [CrossRef]
- Liu, Y.; Liu, X.; Mu, X.; Hou, T.; Xu, J.; Di Renzo, M.; Al-Dhahir, N. Reconfigurable Intelligent Surfaces: Principles and Opportunities. IEEE Commun. Surv. Tutor. 2021, 23, 1546–1577. [Google Scholar] [CrossRef]
- Liaskos, C.; Nie, S.; Tsioliaridou, A.; Pitsillides, A.; Ioannidis, S.; Akyildiz, I. A New Wireless Communication Paradigm through Software-Controlled Metasurfaces. IEEE Commun. Mag. 2018, 56, 162–169. [Google Scholar] [CrossRef]
- Shen, A.; Luo, J.; Ning, J.; Li, Y.; Wang, Z.; Duo, B. Safeguarding UAV Networks against Active Eavesdropping: An Elevation Angle-Distance Trade-Off for Secrecy Enhancement. Drones 2023, 7, 109. [Google Scholar] [CrossRef]
- Wu, Q.; Zhang, R. Towards Smart and Reconfigurable Environment: Intelligent Reflecting Surface Aided Wireless Network. IEEE Commun. Mag. 2020, 58, 106–112. [Google Scholar] [CrossRef]
- Wu, Q.; Zhang, S.; Zheng, B.; You, C.; Zhang, R. Intelligent Reflecting Surface-Aided Wireless Communications: A Tutorial. IEEE Trans. Commun. 2021, 69, 3313–3351. [Google Scholar] [CrossRef]
- Fang, S.; Chen, G.; Li, Y. Joint Optimization for Secure Intelligent Reflecting Surface Assisted UAV Networks. IEEE Wirel. Commun. Lett. 2021, 10, 276–280. [Google Scholar] [CrossRef]
- Ye, Z.; Su, G.; Chen, B.; Dai, M.; Lin, X.; Wang, H. Secrecy rate optimization for secure communication in IRS-Aided UAV systems. In Proceedings of the 2022 31st Wireless and Optical Communications Conference (WOCC), Shenzhen, China, 20–24 May 2022; pp. 6–11. [Google Scholar] [CrossRef]
- Pang, X.; Zhao, N.; Tang, J.; Niyato, D.; Wong, K.K. Joint trajectory and beamforming optimization for secure UAV transmission aded by IRS. In Proceedings of the 2021 13th International Conference on Wireless Communications and Signal Processing (WCSP), Virtual Conference, 20–22 October 2021; pp. 1–6. [Google Scholar] [CrossRef]
- Wang, H.M.; Zhang, X.; Jiang, J.C. UAV-Involved Wireless Physical-Layer Secure Communications: Overview and Research Directions. IEEE Wirel. Commun. 2019, 26, 32–39. [Google Scholar] [CrossRef]
- Li, Z.; Chen, W.; Wu, Q.; Wang, K.; Li, J. Joint Beamforming Design and Power Splitting Optimization in IRS-Assisted SWIPT NOMA Networks. IEEE Trans. Wirel. Commun. 2022, 21, 2019–2033. [Google Scholar] [CrossRef]
- Duo, B.; Wu, Q.; Yuan, X.; Zhang, R. Energy Efficiency Maximization for Full-Duplex UAV Secrecy Communication. IEEE Trans. Veh. Technol. 2020, 69, 4590–4595. [Google Scholar] [CrossRef]
- Liu, G.; Yu, F.R.; Ji, H.; Leung, V.C.M.; Li, X. In-Band Full-Duplex Relaying: A Survey, Research Issues and Challenges. IEEE Commun. Surv. Tutor. 2015, 17, 500–524. [Google Scholar] [CrossRef]
- Nguyen, T.T.; Hoang, V.T.; Le, T.T.H.; Tran, X.N. Physical layer security for UAV-based full-duplex relay NOMA system. In Proceedings of the 2022 International Conference on Advanced Technologies for Communications (ATC), Hanoi, Vietnam, 20–22 October 2022; pp. 395–400. [Google Scholar] [CrossRef]
- Tian, K.; Duo, B.; Li, S.; Zuo, Y.; Yuan, X. Hybrid Uplink and Downlink Transmissions for Full-Duplex UAV Communication with RIS. IEEE Wirel. Commun. Lett. 2022, 11, 866–870. [Google Scholar] [CrossRef]
- Lin, X.; Yajnanarayana, V.; Muruganathan, S.D.; Gao, S.; Asplund, H.; Maattanen, H.L.; Bergstrom, M.; Euler, S.; Wang, Y.P.E. The Sky Is Not the Limit: LTE for Unmanned Aerial Vehicles. IEEE Commun. Mag. 2018, 56, 204–210. [Google Scholar] [CrossRef]
- Wei, Z.; Cai, Y.; Sun, Z.; Ng, D.W.K.; Yuan, J.; Zhou, M.; Sun, L. Sum-Rate Maximization for IRS-Assisted UAV OFDMA Communication Systems. IEEE Trans. Wirel. Commun. 2021, 20, 2530–2550. [Google Scholar] [CrossRef]
- Gopala, P.K.; Lai, L.; El Gamal, H. On the Secrecy Capacity of Fading Channels. IEEE Trans. Inf. Theory 2008, 54, 4687–4698. [Google Scholar] [CrossRef]
- Li, S.; Duo, B.; Renzo, M.D.; Tao, M.; Yuan, X. Robust Secure UAV Communications with the Aid of Reconfigurable Intelligent Surfaces. IEEE Trans. Wirel. Commun. 2021, 20, 6402–6417. [Google Scholar] [CrossRef]
- Grant, S.B.M. CVX: Matlab Software for Disciplined Convex Programming, Version 2.2. 2020. Available online: http://cvxr.com/cvx (accessed on 20 September 2021).






| Notation | Description |
|---|---|
| M | The number of ground users |
| N | The number of RIS reflecting elements |
| Horizontal location of ground users | |
| Horizontal location of the Eve | |
| Horizontal location of the RIS | |
| RIS placement height | |
| UAV initial and final horizontal locations | |
| UAV flight altitude | |
| Maximum speed of UAV | |
| Highest UAV horizontal flight distance within each time slot | |
| The length of flight period, the number of time slots | |
| Each time slot’s duration | |
| The random scattering component | |
| The carrier wavelength | |
| d | The distance of antenna separation |
| Ground user average and peak transmit power | |
| UAV’s average and peak jamming power | |
| , , | Corresponding path loss exponent |
| The Rician factor of the G-R, R-E link | |
| The path loss at the reference distance | |
| Exponential distribution with unit mean accounting | |
| The additive white Gaussian noise power | |
| The average loop interference level | |
| RIS diagonal phase shift matrix | |
| The n-th reflecting element’s phase shift | |
| The binary variable of indicating whether user i is served by the UAV | |
| Maximum value, Minimum value |
| Notation | Physical Meaning | Simulation Parameters |
|---|---|---|
| Horizontal location of ground users | , , m | |
| Horizontal location of the Eve | m | |
| Horizontal location of the RIS | m | |
| RIS’s placement height | 80 m | |
| UAV initial and final horizontal locations | m, m | |
| UAV flight altitude | 100 m | |
| Maximum speed of UAV | 30 m/s | |
| Each time slot’s duration | 1 s | |
| Quantity of RIS’s reflecting elements | ||
| Ground user average and peak transmit power | W, W | |
| UAV average and peak jamming power | W, W | |
| , , | Corresponding path loss exponent | 1.1, 2.2, 3.3 |
| The Rician factor of the G-R, R-E link | 3 dB | |
| The path loss | dB | |
| The additive white Gaussian noise power | dBm | |
| The average loop interference level | dBm |
Disclaimer/Publisher’s Note: The statements, opinions and data contained in all publications are solely those of the individual author(s) and contributor(s) and not of MDPI and/or the editor(s). MDPI and/or the editor(s) disclaim responsibility for any injury to people or property resulting from any ideas, methods, instructions or products referred to in the content. |
© 2023 by the authors. Licensee MDPI, Basel, Switzerland. This article is an open access article distributed under the terms and conditions of the Creative Commons Attribution (CC BY) license (https://creativecommons.org/licenses/by/4.0/).
Share and Cite
Lai, H.; Li, D.; Xu, F.; Wang, X.; Ning, J.; Hu, Y.; Duo, B. Optimization of Full-Duplex UAV Secure Communication with the Aid of RIS. Drones 2023, 7, 591. https://doi.org/10.3390/drones7090591
Lai H, Li D, Xu F, Wang X, Ning J, Hu Y, Duo B. Optimization of Full-Duplex UAV Secure Communication with the Aid of RIS. Drones. 2023; 7(9):591. https://doi.org/10.3390/drones7090591
Chicago/Turabian StyleLai, Huan, Dongfen Li, Fang Xu, Xiao Wang, Jin Ning, Yanmei Hu, and Bin Duo. 2023. "Optimization of Full-Duplex UAV Secure Communication with the Aid of RIS" Drones 7, no. 9: 591. https://doi.org/10.3390/drones7090591
APA StyleLai, H., Li, D., Xu, F., Wang, X., Ning, J., Hu, Y., & Duo, B. (2023). Optimization of Full-Duplex UAV Secure Communication with the Aid of RIS. Drones, 7(9), 591. https://doi.org/10.3390/drones7090591

