UGV Parking Planning Based on Swarm Optimization and Improved CBS in High-Density Scenarios for Innovative Urban Mobility
Abstract
:1. Introduction
1.1. Literature Review
1.1.1. Innovative Urban Parking Lot
1.1.2. Parking Slot Allocation
1.1.3. Path Planning
1.1.4. Path Conflict Resolution
1.2. Our Contributions
- An improved ant colony algorithm is proposed in this paper to address the initial blind search that arises for the application of the ant colony algorithm in the practical parking scenario. This blind search affects the algorithm’s search efficiency. Parking scheduling scenarios benefit more from the algorithm’s increased traversability and decreased number of turns made by the vehicle.
- The improved ant colony algorithm and the immune algorithm are combined to create a hybrid algorithm. This fusion aims to increase the adaptability and fit of the ant colony algorithm applied to the scenario of parking slot allocation to further optimize the scheduling sequence of parking slots, as the parameters used in the ant colony algorithm selection are not constant across scenarios.
- A functionally adaptive A* underlying algorithm is proposed, the original weighting strategy is contrasted, and the heuristic function is adjusted. To achieve the expansion objective of minimizing the system cost with the best individual vehicle driving characteristics to generate collision-free paths for multiple UGVs, the upper constraint tree adopts a dual-objective expansion mode. The expansion mode aims to reduce the number of calls to the underlying algorithm and simplify the complexity of the constraint tree expansion.
2. Parking Lot Guidance Problem Description
2.1. Basic Assumptions and Conditions
2.2. Guidance System Architecture
- Parking slots allocation: The scheduling algorithm takes into account the stopping and waiting time, time through a straight line, turning time, and traffic time of the vehicles, starting from the least time-consuming of all tasks in the entire guided time period of the parking system. Each vehicle’s ideal target position is defined.
- Path planning: The bottom layer algorithm carries out global path planning for each vehicle by taking into account the driving cost and power consumption of the vehicle in-depth, based on the optimal depot position determined by the scheduling algorithm.
- Path conflict resolution: The upper-layer algorithm finally creates a collision-free path for the multi-intelligent vehicle system by resolving the underlying path conflict problem within the CBS framework. The planning of operating pathways requires less computation and time while maintaining the safety of vehicle trajectories.
2.3. Factors Influencing the Allocation of Parking Slots
2.4. Problem Model
3. IACA–IA Based Task Scheduling Algorithm
3.1. Application of Conventional Scheduling Algorithms
3.1.1. FCFS Method
3.1.2. NACA
3.2. Improved Ant Colony Scheduling Algorithm
3.2.1. Chaos Search Strategy
3.2.2. Calculation of the Expectation Heuristic Factor
3.2.3. Pheromone Compression Strategy
3.3. IACA–IA Algorithm
4. ICBS-Based Multi-Intelligent Vehicle Planning Method
4.1. ADA* Heuristic Function Optimization
4.2. Updating the Extended Model
5. Simulation Verification
5.1. Simulation Setup
5.2. Analysis of IACA–IA Scheduling Algorithm
5.2.1. Scenario 1
Selection of Parameter Combinations
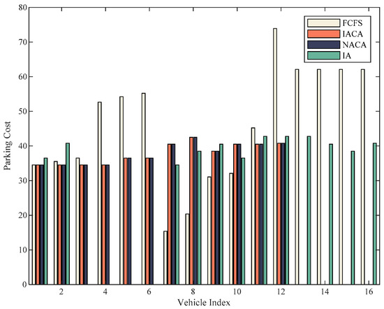
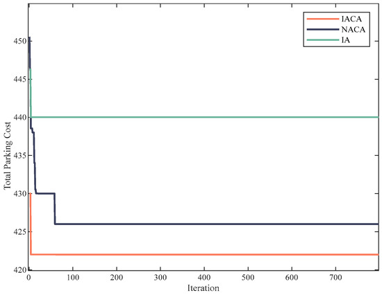
Simulation Results
Analysis of Results
5.2.2. Scenario 2
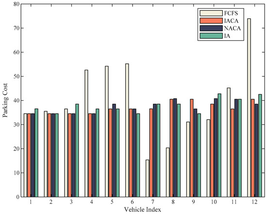
Simulation Results
Analysis of Results
5.2.3. Scenario 3
Simulation Results
Analysis of Results
5.3. ICBS Planning Algorithm Analysis
5.3.1. Scenario 1
Simulation Results
Analysis of Results
5.3.2. Scenario 2
Simulation Results
Analysis of Results
5.3.3. Scenario 3
Simulation Results
Analysis of Results
6. Conclusions
Supplementary Materials
Author Contributions
Funding
Data Availability Statement
Acknowledgments
Conflicts of Interest
Abbreviations
| Unmanned Ground Vehicle speed in a straight line. | |
| Number of effective empty parking slots (). | |
| Radius of the approximate circle of the reverse parking trajectory. | |
| Reversing into the slot straight line distance. | |
| Weighting of reversing into parking straight line speed relative to straight line driving. | |
| Vehicle serial number (). | |
| Straight ahead time of vehicles. | |
| Turning time of the vehicles. | |
| Traffic time of vehicles. | |
| Waiting time for vehicles to stop. | |
| Coefficient for adjusting the speed of the vehicle. | |
| Length of segment k. | |
| Number of curves passed by vehicle i. | |
| Additional utility factor for a single turn. | |
| Boolean variables. | |
| Time it takes for a vehicle to go through a curve. | |
| Number of tasks assigned to vehicles by the parking guidance system. | |
| Task serial number of the vehicle (). | |
| Completion time of vehicle i performing task r. | |
| Number of collisions while the vehicle was performing its task. | |
| Time the vehicle can complete its task with the available power. | |
| Probability of ant k moving from position i to position j. | |
| Expectation factor. | |
| Chaotic variable. | |
| Number of remaining parking slots. | |
| Chaotic Perturbation Probability. | |
| Number of IACA iterations. | |
| Maximum pheromone concentration at t iteration. | |
| Minimum pheromone concentration at t iteration. | |
| Beginning value of pheromone concentration. | |
| Pheromone heuristic factors. | |
| Expected heuristic factor. | |
| Pheromone evaporation factor. | |
| Integrated priority of nodes. | |
| Distance from the starting point to the current node. | |
| Estimated distance from the current node to the endpoint. | |
| Combined priority of the second level objective function of the constraint tree node Rn. | |
| Total path cost of a constraint tree node Rn. | |
| Least time-consuming vehicle i in Rn to perform task r. | |
| Power consumption of the least time-consuming vehicle i in Rn to perform task r. |
References
- Liu, Q.; Li, Z.; Yuan, S.; Zhu, Y.; Li, X. Review on Vehicle Detection Technology for Unmanned Ground Vehicles. Sensors 2021, 21, 1354. [Google Scholar] [CrossRef] [PubMed]
- Yang, X.; Jiang, L. Bi-level objective berth allocation model based on the minimum total system time consumption. Univ. Shanghai Sci. Technol. 2021, 43, 179–185. [Google Scholar]
- Zhao, Z.; Zhang, Y.; Shi, J.; Long, L.; Lu, Z. Robust Lidar-Inertial Odometry with Ground Condition Perception and Optimization Algorithm for UGV. Sensors 2022, 22, 7424. [Google Scholar] [CrossRef] [PubMed]
- Ji, Y.; Cheng, F.; Xiao, Z. Research on Optimal Setting of Shared parking Space adjacent to private parking lot in urban center Area. Syst. Eng. Theory Pract. 2020, 40, 2934–2945. [Google Scholar]
- Ma, S.; Jiang, H.; Han, M.; Xie, J. Research on Automatic Parking Systems Based on Parking Scene Recognition. IEEE Access 2017, 5, 21901–21917. [Google Scholar] [CrossRef]
- Jang, C.; Kim, C.; Lee, S.; Kim, S.; Lee, S.; Sunwoo, M. Re-Plannable Automated Parking System With a Standalone Around View Monitor for Narrow Parking Lots. IEEE Trans. Intell. Transp. Syst. 2020, 21, 777–790. [Google Scholar] [CrossRef]
- Tang, C.; Wei, X.; Zhu, C.; Chen, W.; Rodrigues, J. Towards Smart Parking Based on Fog Computing. IEEE Access 2018, 6, 70172–70185. [Google Scholar] [CrossRef]
- Liu, D.; Zhang, F. Research on Real-time Parking Acquisition and Allocation in Urban Parking Lots. Comput. Eng. Appl. 2017, 53, 242–247. [Google Scholar]
- Arellano, J.; Alonso, F.; Alba, E.; Arenas, A. Optimal allocation of public parking spots in a smart city: Problem characterisation and first algorithms. J. Exp. Theor. Artif. Intell. 2019, 31, 1–23. [Google Scholar]
- Zhang, Y.; Li, M. A Multi-AGV scheduling planning method based on improved GA. In Proceedings of the International Workshop on Advanced Algorithms and Control Engineering, Shenzhen, China, 21–23 February 2020; Volume 1550, p. 022014. [Google Scholar]
- Liu, X.; Peng, X.; Gu, M. Logistics Distribution Route Optimization Based on Genetic Algorithm. Comput. Intell. Neurosci. 2022, 2022, 1–9. [Google Scholar]
- Xu, B.; Jie, D.; Li, J.; Yang, J.; Wen, F.; Song, H. Integrated scheduling optimization of U-shaped automated container terminal under loading and unloading mode. Comput. Ind. Eng. 2021, 162, 107695. [Google Scholar] [CrossRef]
- Wang, Y.; Yang, R.; Xu, X.; Li, X.; Shi, J. Research on multi-agent task optimization and scheduling based on improved ant colony algorithm. In Proceedings of the IOP Conference Series: Materials Science and Engineering, Shanxi, China, 8–11 October 2020; Volume 1043, p. 032007. [Google Scholar]
- Xie, J.; He, Z.; Zhu, Y. A DRL based cooperative approach for parking space allocation in an automated valet parking system. Appl. Intell. 2022, 53, 5368–5387. [Google Scholar] [CrossRef]
- Liu, J.; Feng, S.; Ren, J. Path Dynamic Planning of Mobile Robot based on Directed D* Algorithm. J. Zhejiang Univ. 2020, 54, 291–300. [Google Scholar]
- Hu, Y.; Li, D.; He, Y.; Han, J. Path Planning of UGV Based on Bézier Curves. Robotica 2019, 6, 969–997. [Google Scholar] [CrossRef]
- Bassem, H.; Abir, G.; Francesco, G.; Slawomir, K. Mobile robots path planning and mobile multirobots control: A review. Robotica 2022, 40, 4257–4270. [Google Scholar]
- Wang, H.; Lou, S.; Jing, J.; Wang, Y.; Liu, W.; Liu, T. The EBS-A* algorithm: An improved A* algorithm for path planning. PLoS ONE 2022, 17, e0263841. [Google Scholar] [CrossRef]
- Zhao, Z.; Meng, Z. Path Planning of Service Robot Based on Weighted A* Algorithm. J. Huazhong Univ. Sci. Technol. 2008, 300, 196–198. [Google Scholar]
- Jiang, H.; Sun, Y.; Wang, X.; Zhang, P. Research on path planning of mobile disinfection robot based on improved A * algorithm. In Proceedings of the International Symposium on Advances in Electrical, Electronics and Computer Engineering, Nanjing, China, 12–14 March 2021; Volume 1871, p. 012111. [Google Scholar]
- Vagale, A.; Oucheikh, R.; Bye, R.; Osen, O.; Fossen, T. Path planning and collision avoidance for autonomous surface vehicles I: A review. J. Mar. Sci. Technol. 2021, 26, 1292–1306. [Google Scholar] [CrossRef]
- Dai, W.; Pang, B.; Low, K. Conflict-free four-dimensional path planning for urban air mobility considering airspace occupancy. Aerosp. Sci. Technol. 2021, 119, 107154. [Google Scholar] [CrossRef]
- Li, Y.; Wang, J.; Zhang, H. Research and optimization of conflict search algorithm for multi-agent path planning based on incremental heuristic. In Proceedings of the International Conference on Computer Vision and Data Mining, Changsha, China, 20–22 August 2021; Volume 2024, p. 012048. [Google Scholar]
- Felner, A.; Li, J.; Boyarski, E. Adding heuristics to conflict-based search for multi-agent path finding. In Proceedings of the International Conference on Automated Planning and Scheduling, Delft, The Netherlands, 28–30 June 2018; pp. 83–87. [Google Scholar]
- Lee, H.; Motes, J.; Morales, M.; Amato, N. Parallel Hierarchical Composition Conflict-Based Search for Optimal Multi-Agent Pathfinding. IEEE Robot. Autom. Lett. 2021, 6, 7001–7008. [Google Scholar] [CrossRef]
- Cohen, L.; Koenig, S. Bounded suboptimal multiagent path finding using highways. In Proceedings of the 25th International Joint Conference on Artificial Intelligence, New York, NY, USA, 9–15 July 2016; pp. 3978–3979. [Google Scholar]
- Li, J.; Ruml, W.; Koenig, S. Eecbs: A bounded-suboptimal search for multi-agent path finding. In Proceedings of the National Conference on Artificial Intelligence, Virtually, 2–9 February 2021; pp. 12353–12362. [Google Scholar]
- Xia, X.; Hashemi, E.; Xiong, L.; Khajepour, A.; Xu, N. Autonomous vehicles sideslip angle estimation: Single antenna GNSS/IMU fusion with observability analysis. IEEE Internet Things J. 2021, 8, 14845–14859. [Google Scholar] [CrossRef]
- Xia, X.; Xiong, L.; Huang, Y.; Lu, Y.; Gao, L.; Xu, N.; Yu, Z. estimation on imu yaw misalignment by fusing information of automotive onboard. Mech. Syst. Signal Process. 2022, 162, 1–10. [Google Scholar] [CrossRef]
- Xia, X.; Hashemi, E.; Xiong, L.; Khajepour, A. autonomous vehicle kinematics and dynamics synthesis for sideslip angle estimation based on consensus kalman filter. IEEE Trans. Control. Syst. Technol. 2023, 31, 179–192. [Google Scholar] [CrossRef]
- Xia, X.; Meng, Z.; Han, X.; Li, H.; Tsukiji, T.; Runsheng, R.; Zheng, Z.; Ma, J. An automated driving systems data acquisition and analytics platform. Transp. Res. Part C Emerg. Technol. 2023, 151, 1–8. [Google Scholar] [CrossRef]
- Wei, L.; Xia, X.; Xiong, L.; Lu, Y.; Gao, L.; Yu, Z. Automated vehicle sideslip angle estimation considering signal measurement characteristic. IEEE Sens. J. 2021, 21, 21675–21687. [Google Scholar]
- Fu, Z.; Xiong, L.; Qian, Z.; Bo, L.; Zeng, D.; Huang, Y. Model Predictive Trajectory Optimization and Tracking in Highly Constrained Environments. Int. J. Automot. Technol. 2022, 23, 927–938. [Google Scholar] [CrossRef]












































| If Rand < Chaotic Perturbation Probability Pz |
| // Chaos Search |
| Else if Rand < h1 |
| // Probability Search |
| Else // Roulette Search |
| End |
| Input: {Np1, Np2, …, Np}: Randomly generated Np = 120 20-bit 01 binary-coded chromosomes as the initial set of antibodies; Output: {α, β, ρ}; {m}: Generate a colony of 50 ants and place 50 ants in each parking slot; // Antibodies were sequentially selected from the antibody set as a heuristic factor for IACA While p ≤ Gimu do Removal of antibody sets; For each antibody in the antibody set do α ← Npi β ← Npi+1 ρ ← Npi+2 // IACA solution While q ≤ Gant do // Hybrid search strategy for picking the next parking slot Follow Chaotic Search with Improved Expectation Factor strategy to select the next parking slot; Global update pheromone; Compress the pheromone according to Equation (9); Taboo Table Zeroing; End While Record the parameters for each set of antibody weights; End For Immunization of antibodies in the top 50% of the incentive level; Refreshing populations; End While Final Return α, β, ρ |
| α | β | ρ | Incentive | |
|---|---|---|---|---|
| 1 | 2.927 | 4.308 | 0.278 | 0.073 |
| 2 | 5.288 | 6.865 | 0.293 | 0.214 |
| 3 | 3.297 | 0.765 | 0.469 | 0.237 |
| 4 | 1.501 | 6.868 | 0.338 | 0.242 |
| 5 | 8.161 | 5.077 | 0.183 | 0.257 |
| 6 | 1.862 | 0.894 | 0.262 | 0.285 |
| 7 | 0.811 | 7.841 | 0.085 | 0.314 |
| 8 | 1.465 | 6.647 | 0.096 | 0.337 |
| 9 | 5.454 | 1.436 | 0.852 | 0.361 |
| 10 | 4.172 | 7.755 | 0.471 | 0.364 |
| 11 | 6.144 | 1.473 | 0.499 | 0.369 |
| 12 | 6.124 | 8.244 | 0.766 | 0.384 |
| 13 | 6.193 | 4.019 | 0.186 | 0.399 |
| 14 | 1.351 | 4.686 | 0.417 | 0.401 |
| 15 | 7.858 | 6.767 | 0.048 | 0.434 |
| 16 | 2.121 | 3.775 | 0.168 | 0.435 |
| 17 | 4.617 | 3.161 | 0.676 | 0.469 |
| 18 | 3.516 | 0.267 | 0.787 | 0.510 |
| 19 | 4.508 | 4.109 | 0.520 | 0.512 |
| 20 | 9.275 | 6.749 | 0.902 | 0.516 |
| Run Time | Cost | Energy | Conflict | Tree Node | |
|---|---|---|---|---|---|
| TCBS | 72.81 | 405.89 | 400.59 | 42.30 | 87.41 |
| ICBS | 6.23 | 409.06 | 405.50 | 34.82 | 62.92 |
| Run Time | Cost | Energy | Conflict | Tree Node | |
|---|---|---|---|---|---|
| TCBS | 17.90 | 276.19 | 272.62 | 20.82 | 47.32 |
| ICBS | 2.45 | 281.74 | 278.14 | 18.11 | 35.58 |
| Run Time | Cost | Energy | Conflict | Tree Node | |
|---|---|---|---|---|---|
| TCBS | 75.43 | 407.36 | 400.26 | 42.78 | 88.13 |
| ICBS | 6.43 | 412.12 | 407.19 | 38.50 | 69.26 |
Disclaimer/Publisher’s Note: The statements, opinions and data contained in all publications are solely those of the individual author(s) and contributor(s) and not of MDPI and/or the editor(s). MDPI and/or the editor(s) disclaim responsibility for any injury to people or property resulting from any ideas, methods, instructions or products referred to in the content. |
© 2023 by the authors. Licensee MDPI, Basel, Switzerland. This article is an open access article distributed under the terms and conditions of the Creative Commons Attribution (CC BY) license (https://creativecommons.org/licenses/by/4.0/).
Share and Cite
Zeng, D.; Chen, H.; Yu, Y.; Hu, Y.; Deng, Z.; Leng, B.; Xiong, L.; Sun, Z. UGV Parking Planning Based on Swarm Optimization and Improved CBS in High-Density Scenarios for Innovative Urban Mobility. Drones 2023, 7, 295. https://doi.org/10.3390/drones7050295
Zeng D, Chen H, Yu Y, Hu Y, Deng Z, Leng B, Xiong L, Sun Z. UGV Parking Planning Based on Swarm Optimization and Improved CBS in High-Density Scenarios for Innovative Urban Mobility. Drones. 2023; 7(5):295. https://doi.org/10.3390/drones7050295
Chicago/Turabian StyleZeng, Dequan, Haotian Chen, Yinquan Yu, Yiming Hu, Zhenwen Deng, Bo Leng, Lu Xiong, and Zhipeng Sun. 2023. "UGV Parking Planning Based on Swarm Optimization and Improved CBS in High-Density Scenarios for Innovative Urban Mobility" Drones 7, no. 5: 295. https://doi.org/10.3390/drones7050295
APA StyleZeng, D., Chen, H., Yu, Y., Hu, Y., Deng, Z., Leng, B., Xiong, L., & Sun, Z. (2023). UGV Parking Planning Based on Swarm Optimization and Improved CBS in High-Density Scenarios for Innovative Urban Mobility. Drones, 7(5), 295. https://doi.org/10.3390/drones7050295

