Next Article in Journal
DTVIRM-Swarm: A Distributed and Tightly Integrated Visual-Inertial-UWB-Magnetic System for Anchor Free Swarm Cooperative Localization
Next Article in Special Issue
Objective Programming Partitions and Rule-Based Spanning Tree for UAV Swarm Regional Coverage Path Planning
Previous Article in Journal
Disturbance-Resilient Path-Following for Unmanned Airships via Curvature-Aware LOS Guidance and Super-Twisting Terminal Sliding-Mode Control
Previous Article in Special Issue
Dynamic Estimation of Formation Wake Flow Fields Based on On-Board Sensing
 
 
Font Type:
Arial Georgia Verdana
Font Size:
Aa Aa Aa
Line Spacing:
Column Width:
Background:
Article

Rapid MRTA in Large UAV Swarms Based on Topological Graph Construction in Obstacle Environments

School of Astronautics, Harbin Institute of Technology, Harbin 150001, China
*
Author to whom correspondence should be addressed.
Drones 2026, 10(1), 48; https://doi.org/10.3390/drones10010048
Submission received: 28 November 2025 / Revised: 31 December 2025 / Accepted: 7 January 2026 / Published: 9 January 2026

Highlights

What are the main findings?
  • A regional partitioning method for obstacle environments is proposed based on Topological Graph Construction (TGC).
  • A heuristic two-stage MRTA approach for UAV swarms is developed using the constructed topological graph.
What is the implication of the main finding?
  • The proposed method constructs a topological graph of the obstacle environment to achieve a more reasonable partition, maintaining solution quality and yielding computation speeds over 60 times faster than the baseline.
  • By considering path planning in obstacle environments, the method is better suited for real-world physical scenarios and is well-equipped for further generation of UAV flight paths.

Abstract

In large-scale Unmanned Aerial Vehicle (UAV) and task environments—particularly those involving obstacles—dimensional explosion remains a significant challenge in Multi-Robot Task Allocation (MRTA). To this end, a novel heuristic MRTA framework based on Topological Graph Construction (TGC) is proposed. First, the physical map is transformed into a pixel map, from which a Generalized Voronoi Graph (GVG) is generated by extracting clearance points, which is then used to construct the topological graph of the obstacle environment. Next, the affiliations of UAVs and tasks within the topological graph are determined to partition different topological regions, and the task value of each topological node is calculated, followed by the first-phase Task Allocation (TA) on these topological nodes. Finally, UAVs within the same topological region with their allocated tasks perform a local second-phase TA and generate the final TA result. The simulation experiments analyze the influence of different pixel resolutions on the performance of the proposed method. Subsequently, robustness experiments under localization noise, path cost noise, and communication delays demonstrate that the total benefit achieved by the proposed method remains relatively stable, while the computational time is moderately affected. Moreover, comparative experiments and statistical analyses were conducted against k-means clustering-based MRTA methods in different UAV, task, and obstacle scale environments. The results show that the proposed method improves computational speed while maintaining solution quality, with the PI-based method achieving speedups of over 60 times and the CBBA-based method over 10 times compared with the baseline method.

1. Introduction

In recent years, unmanned swarm systems—particularly Unmanned Aerial Vehicle (UAV) swarms—have experienced significant development in various fields including search and rescue [1,2], object detection and recognition [3,4], and agricultural applications [5], thereby enabling new possibilities for real-world deployment. Operating in airspace with strict flight and safety constraints, UAV swarms place especially high demands on coordination and decision-making. Among these systems, Task Allocation (TA) is one of the most crucial components of swarm technology, typically formulated as a Multi-Robot Task Allocation (MRTA) problem.
MRTA typically involves the allocation and scheduling of UAV–task assignments. To date, considerable research has been conducted on MRTA; however, the field remains under active development. From an algorithmic perspective, the approaches are mainly categorized into optimization methods [6,7,8,9,10], heuristic methods [11,12], meta-heuristic methods [13,14,15] and learning-based methods [16,17,18]. When the number of UAVs and tasks is small, TA can be performed using centralized frameworks, which facilitate the computation of optimal solutions. However, as the number of the UAVs and tasks increase, centralized frameworks face challenges in meeting the demands imposed by excessive communication loads on the central node. This limitation becomes especially critical for UAVs operating over long distances and at high altitudes. In contrast, distributed frameworks offer advantages such as reduced communication burden, improved system stability, and better scalability, thereby offering a promising direction for UAV swarm systems [19].
However, under distributed frameworks, the aforementioned algorithms often face additional challenges. For example, optimization-based methods require high model accuracy and are therefore limited in large-scale UAV and task scenarios [20]. Meta-heuristic algorithms typically demand substantial computational resources and are not well suited to large-scale UAVs and tasks [21]. Learning-based approaches are sensitive to environmental variations, and their generalization capabilities still requires further improvement [22].
Heuristic algorithms design specific rules based on experience or problem structure and are typically able to rapidly obtain locally optimal solutions. Market-based mechanisms is a representative heuristic method, where agents communicate and update the consistency of TA results according to their respective objective values and timestamps, ultimately achieving convergence. Owing to its high computational efficiency and fast convergence speed [23], such frameworks has been extensively studied. Choi et al. [24,25] proposed the CBBA (Consensus-Based Bundle Algorithm), a market-based approach in which MRTA is carried out through iterative bundle construction and conflict resolution. Zhao et al. [26] proposed PI (Performance Impact), which calculated the addition and removal impact factors for tasks. Ismail et al. [27] incorporated inter-vehicle communication to the Hungarian algorithm, which achieving faster convergence and improved solution quality compared with CBAA (Consensus-Based Auction Algorithm) [24,25].
The MRTA problem involving task scheduling has been proven to be NP-hard [28], with the Simulation Computational Time (SCT) increasing exponentially as the number of UAVs and tasks grows. Consequently, based on the algorithms and simulation results reported in the existing literature, most current approaches are not suitable for TA in scenarios involving large numbers of UAVs and tasks. However, it is worth noting that, in studies on multi-UAV systems, there is no standardized numerical definition of what constitutes a large-scale scenario, and the term is often used in a qualitative or context-dependent manner. To eliminate this ambiguity and clearly define the scope of this work, a narrow, problem-specific definition of large-scale scenarios is adopted, in which the number of UAVs exceeds 50 and the number of tasks exceeds 100.
To improve computational efficiency, some researchers have focused on MRTA of large-scale swarms, among which hierarchical MRTA has become one of the main research directions. Cortes et al. [29] investigated the vehicle routing optimization problem under multiple constraints, and proposed a hierarchical optimization approach based on variable neighborhood search. Arslan et al. [30] addressed the multi-depot vehicle routing problem by partitioning the VNS structures into intra-depot local route refinements and inter-depot global interactions. Zhang et al. [31] developed a two-stage multi-objective MRTA approach that integrates LIA (Learning-Inspired Algorithm) with graph theory, achieving efficient TA and significantly enhancing operational effectiveness. Zeng et al. [32] proposed a two-stage nested PSO–ILP (Particle Swarm Optimization–Integer Linear Programming) approach to perform multi-objective MRTA optimization under uncertain environments. Murugappan et al. [33] employed k-means clustering to group tasks, followed by market-based allocation of task clusters, after which each vehicle scheduled tasks within its assigned cluster to obtain the final allocation results.
To provide stronger support for efficient MRTA in large-scale scenarios, several studies have conducted statistical analyses of SCTs. Ismail et al. [27] performed SCT statistical analyses for up to 50 UAVs, demonstrating significant advantages over traditional auction algorithms. Shoman et al. [34] compared two market-based methods and two optimization-based methods, and conducted SCT analyses for up to 20 vehicles and 150 tasks. Chen et al. [35] proposed a constrained seed k-means clustering method for task clustering, which was then combined with the CBBA and PI methods. SCT statistical analyses were conducted for up to 14 UAVs and 140 tasks. Chen et al. [36] tested improved CBBA variants in a 4-UAV, 14-task simulation, demonstrating a favorable balance between solution quality and SCT. Zhao et al. [37] proposed a Q-learning-based algorithm and showed in simulations with up to 200 UAVs and 10 tasks that it outperforms DPSO (Discrete Particle Swarm Optimization) in both SCT and solution quality; however, the reported SCT lacked detailed comparative analysis. Zhang et al. [38] evaluated their algorithm against several baselines in scenarios with up to 550 UAVs and 10 tasks. In addition, several studies have conducted simulations in scenarios of large-scale UAVs and tasks. Wang et al. [39] performed simulations with up to 4000 UAVs and 1330 tasks but did not include algorithmic comparisons in these large-scale settings. Otte et al. [40] analyzed several auction algorithm variants in simulations involving up to 300 UAVs and 1000 tasks; however, SCTs were not reported. Moreover, when UAVs outnumber tasks, each UAV is assigned at most one task, eliminating task scheduling and thus reducing solution complexity [28]. Based on the above analyses, it can be concluded that there is currently a lack of rapid MRTA methods for large-scale UAV and task swarms that involves task scheduling.
In addition, the presence of obstacles in real-world environments introduces two further challenges for MRTA in UAV swarms:
(1) It complicates path planning, as the straight-line paths connecting the start and goal points often fails to satisfy the obstacle-avoidance requirements;
(2) It introduces topological properties to the environment, whereby tasks located at opposite ends of an obstacle may require different UAVs to execute.
In such cases, considering only the Euclidean distance between task points is insufficient. It is necessary to generate obstacle-avoiding paths within free space and to account for the allocation of a topologically constrained spaces among the UAVs. Bai et al. [41] combined the Prim algorithm and the auction mechanism to enable heterogeneous TA in obstacle environments. Alitappeh et al. [42] transformed obstacle maps into Generalized Voronoi Diagram (GVD) and grid graph, partitioned the task points, and used the meta-heuristic algorithm and Q-learning methods to allocate tasks. The GVD/GVG (Generalized Voronoi Graph) is commonly used in obstacle environment perception [43,44,45] and path planning [46,47]. It transforms a continuous obstacle environment into a topological graph, thereby reducing storage requirements and improving computational efficiency.
Given the growing demand for rapid MRTA in large-scale UAV and task swarms within obstacle environments, this paper proposes a rapid MRTA method based on Topological Graph Construction (TGC), taking into account obstacle environments, large-scale UAV and task swarms, a distributed framework, and the requirement for fast solutions. It is worth emphasizing that the core idea of this work is not to fundamentally improve existing MRTA algorithms, but rather to adopt a spatial partitioning strategy: the obstacle environment is first partitioned to implicitly decompose the search space, after which TA is performed independently within each partition to improve computational efficiency. Specifically, the topological graph of the obstacle environment is first constructed using the Generalized Voronoi Graph (GVG), and the first-phase TA is conducted on the topological nodes. Subsequently, topological regions are formed based on the UAVs and tasks contained within them, and the second-phase TAs are executed in each topological region to obtain the final allocation results.
The remainder of this paper is organized as follows. Section 2 presents the formulation of the MRTA model. Section 3 describes the proposed method in detail. Section 4 analyzes the computational complexity of the proposed method in comparison with the k-means clustering method, based on the PI method. Section 5 presents simulation results and analyses. Section 6 concludes the paper.

2. Problem Formulation

In this section, the MRTA model is formulated under a static and fully known environment, where the information on all UAVs, tasks, and obstacles is assumed to be available a   p r i o r i , and the environment remains unchanged during TA and execution. These assumptions are adopted to isolate the core challenge addressed in this work, namely, the significant degradation in solution efficiency resulting from dimensional explosion as the number of UAVs and tasks increases. Accordingly, tasks are further assumed to be independent and instantaneous. Task independence implies that no interdependencies exist among tasks, while the term instantaneous indicates that the execution time for each task is considered negligible or zero. By excluding dynamic environments and inter-UAV collision avoidance [6,7,15], as well as inter-task dependencies, the proposed formulation eliminates additional sources of complexity, thereby enabling a focused investigation of the scalability of the MRTA model and the efficiency of the solution algorithm in large-scale UAVs and task scenarios.
In a 2D obstacle environment, there are N UAVs i N = 0 , 1 , , N 1 and M tasks j M = 0 , 1 , , M 1 . First, the model constraints are created as follows [24,25]:
j = 0 M 1 x i , j L i N , i N
i = 0 N 1 x i , j 1 , j M
i = 0 N 1 j = 0 M 1 x i , j = min M , i = 1 N L i N
x i , j 0 , 1 , i N , j M
In Equation (1), x i , j is the decision variable, where 0 indicates that UAV i does not perform task j, and 1 indicates that UAV i performs task j. Constraint (1) defines the task load constraint for UAV i, which specifies that UAV i can handle at most L i N tasks. Constraint (2) ensures that the number of UAVs assigned to task j does not exceed 1. Constraint (3) represents the TA constraint, ensuring that the total number of assigned tasks equals the minimum value between the total number of tasks M and the sum of the task capacities i = 0 N 1 L i N for all UAVs. Finally, constraint (4) ensures that the decision variable can only take values of 1 or 0, indicating whether a task is allocated or not. The optimization objective function is formulated as shown in (5) and (6) [24,25]:
max i = 0 N 1 j = 0 M 1 β i , j ( v j , t i , j ) x i , j
β i , j v j , t i , j = v j exp λ t i , j t j s t a r t , t i , j t j s t a r t , t j e n d 0 , otherwise i N , j M
here β i , j represents the benefit obtained by UAV i for performing task j, v j is the value of task j, and t i , j is the cost for UAV i to perform task j, which in this paper corresponds to the time point at which task j is executed. From Equation (6), it is clear that the benefit for task j is a function with an initial value of v j , which decays over time at a rate of λ . Additionally, task j has an execution time window t j s t a r t , t j e n d , and in this paper, the time window for all tasks is set as [ 0 , ) . The combination of Equations (1)–(6) form the MRTA model developed in this paper.

3. Rapid MRTA Based on Topological Graph Construction

This section outlines the procedure of the proposed method. Figure 1 illustrates the corresponding flowchart. The process begins with the construction of a Generalized Voronoi Graph (GVG) through the extraction of clearance points, from which the topological graph of the physical environment is obtained. Next, the first-phase TA of UAVs to topological nodes is performed based on the topological graph. Finally, topological regions are constructed, and the second-phase TA of UAVs to tasks is carried out within each topological region to obtain the final allocation results.

3.1. Topological Graph Construction Using GVG

Due to the presence of obstacles in the environment, large free areas and the connecting passages between them are naturally formed and can be abstracted as nodes and edges in a topological graph, respectively. This abstraction enables an efficient high-level representation of the obstacle environment and facilitates TA. In this work, the topological graph is generated by constructing a GVG based on the input obstacle information.
It should be noted that obstacle information is pixelized only for the first-phase TA, where the objective is not to perform precise path planning or distance evaluation, but rather to extract the global topological structure of the environment and implicitly partition the search space through TA on topological nodes. In this phase, the pixelized representation serves solely to capture environmental connectivity and topological relationships, and minor geometric variations introduced by pixelization do not affect the essential topological features. The second-phase TA is subsequently carried out within the resulting local regions using the original, non-pixelized environmental information, thereby ensuring accurate distance computation and path feasibility. As a result, obstacle pixelization does not influence the final TA results or the overall solution accuracy.
To begin with, the physical environment is converted into a pixel map G p i x of size r × s , where free space points are assigned 1, and obstacle points are assigned 0. Based on the pixel map, the map P p i x is divided into obstacle points p o b s P o b s and free points p f r e e P f r e e , which represent points occupied by obstacles and free points, respectively. Further, the obstacle points are categorized into boundary points p b n d P b n d and interior points p i n t P i n t . The relations between these points follows
P p i x = P o b s P f r e e P o b s = P b n d P i n t
The points are derived as follows.
P f r e e = { p i | G p i x p i = 1 , p i P p i x } P o b s = P p i x P f r e e P b n d = { p i | Neighbor 4 p i < 4 , p i P o b s } P i n t = P o b s P b n d
where Neighbor 4 p i denotes the point set of the same class among the four adjacent points (above, below, left and right) centered at p i , and · denotes the length of the variable, i.e., the number of elements. When the number of obstacle points among the 4 neighbors of a given point p i is less than 4, the point is classified as a boundary point, otherwise as an interior point. G p i x p i indicates the value of point p i .
Afterward, obstacle points are clustered to generate obstacle classes [48]. Specifically, points p i o b s P i o b s , i = 1 , , N o b s , each corresponding to different obstacles, are clustered into obstacle classes, and the following holds
P o b s = i N o b s P i o b s
where N o b s is the number of obstacles.
Once the obstacle classes are derived, the clearance points from the free points can be extracted. The distances and their indices from each free point to the nearest obstacle and the indices of the obstacle classes
D m i n = { min j p i , p j 2   |   p i P f r e e , p j P b n d } D i n d = { argmin j p i , p j 2   |   p i P f r e e , p j P b n d }
here, p i , p j 2 denotes the Euclidean distance between points p i and p j .
Thus, if at least two obstacle classes are at the minimum distance from p i , the point is regarded as a clearance point, i.e.,
P c l r = { p i | D i n d 2 }
Since the “skeleton” formed by clearance points has “width” in the pixel map, redundant points remain, requiring thinning operations [49] to obtain the skeleton map and the coordinates of the skeleton pixels. Therefore, the regions defined by the skeleton map are classified and numbered to generate GVG. The GVG is shown in Steps 4 of Figure 1.
Based on GVG, the topological graph can be derived. Topological graph G t o p o is defined as
G t o p o P t o p o , E t o p o , E i , j t o p o p i t o p o , p j t o p o
where E i , j t o p o represents an edge in the topological graph. If there is a direct path between the two vertices p i t o p o and p j t o p o , then the edge E i , j t o p o is exist, and the corresponding cost C i , j t o p o is a finite value. Since the cost C t o p o fully encapsulates the information of the edge E t o p o , the topological graph G t o p o in this paper is presented by the topological nodes P t o p o and the cost C t o p o between the topological nodes, i.e.,
G t o p o = P t o p o , C t o p o
To get P t o p o , the set S is obtained.
S = { Set G g v g Neighbor 8 p i | p i P s k t }
here, S = { S 0 , S 1 , , S i , } , where S i denotes the set of region class indices corresponding to the regions segmented by the skeleton point p i P s k t . Neighbor 8 p i denotes the set of points, among the eight neighbors around p i , that belong to the same class. The function Set · converts the internal list into a set by removing duplicate elements.
The topological nodes P t o p o and their associated S -sets are determined as follows
P t o p o = { p i | S i 3 , p i P s k t } R t o p o = { S i | S i 3 , p i P s k t }
here, P i t o p o denotes the point extracted from S i when the length of S i is greater than or equal to three, R i t o p o denotes the corresponding set of region-class indices extracted from S i .
Finally, the costs between topological nodes are represented by a matrix. If a direct edge exists between two nodes p i and p j , the cost C i , j t o p o is defined as the number of skeleton points along the connection, otherwise the shortest-path cost is computed using an A* path planning method based on the topological graph G t o p o  [50], i.e.,
C i , j t o p o = { S = Set R p i t o p o R p j t o p o } , if   Set R p i t o p o R p j t o p o = 2 p i , p j A G t o p o , otherwise p i , p j P t o p o
The pseudocode of topological graph construction process is illustrated as Algorithm 1.
Algorithm 1 Topological Graph Construction using GVG
Input: 
P i n f o o b s
Output: 
G t o p o = P t o p o , C t o p o
  1:
G p i x = Pixelate P i n f o o b s
  2:
P b n d , P i n t , P f r e e = Classify G p i x by (8)
  3:
{ P 1 o b s , P 2 o b s , , P N o b s o b s } = Cluster P o b s  [48]
  4:
extract the P c l r by (10) and (11)
  5:
thinning process for G c l r to get G s k t and P s k t  [49]
  6:
get G g v g by classifying G s k t
  7:
obtain set S by (14)
  8:
determine P t o p o and R t o p o by (15)
  9:
compute C t o p o by (16)

3.2. The Two-Phase MRTA

This subsection presents a two-phase MRTA approach. Given the topological graph G t o p o , obstacle information P i n f o o b s , and the information on both UAVs and tasks, together with the task–task and UAV–task cost matrices C t t and C r t , the proposed method first performs a global MRTA to implicitly partition the environment into multiple topological regions through the first-phase TA. Subsequently, local MRTAs are conducted within each topological region to generate the final output, namely the task sequences a for all UAVs. It should be noted that the cost matrices C t t and C r t are computed using the A* path planning algorithm based on the visibility graph and are assumed to be available as inputs, as this paper focuses on the MRTA methodology rather than the path planning methodology.
After obtaining the topological graph G t o p o , it is necessary to associate the topological nodes with tasks and UAVs. The UAV and task points are classified into the corresponding topological nodes based on the minimum polygonal path distance, which is
B U A V = { argmin k p i U A V , p k t o p o A v g   |   i N , k N t o p o } B t a s k = { argmin k p j t a s k , p k t o p o A v g   |   j M , k N t o p o }
where B U A V = B 0 U A V , B 1 U A V , , B N t o p o U A V and B t a s k = B 0 t a s k , B 1 t a s k , , B N t o p o t a s k represent the affiliation lists of the UAVs and tasks to the topological nodes, respectively, N t o p o is the number of topological nodes, p i , p j A v g denotes the path between p i and p j by A* path planning method based on the visibility graph [50]. Considering practical scenarios, it is possible that no UAVs or tasks are located in the vicinity of topological node i. In such cases, the corresponding sets B i U A V and B i t a s k may be empty.
Thus, the values of topological nodes are computed. The corresponding values v j t o p o are assigned to the topological nodes using a task value summation method, which serves as the “tasks” for the first-phase TA.
v j t o p o = k B j t a s k v k
After obtaining v t o p o , P t o p o are allocated among the UAVs, and the corresponding allocation results a t o p o are obtained by the first-phase TA
a t o p o = MRTA ( P t o p o , P t o p o , P i n f o o b s , C t o p o )
where
a t o p o = { a 0 t o p o , a 1 t o p o , , a k t o p o , , a N t o p o t o p o } a k t o p o = { a k , 0 t o p o , a k , 1 t o p o , , a k , l t o p o , }
a t o p o represents the task sequences of all UAVs corresponding to the topological nodes. a k , l t o p o denotes the l-th element in the task sequence assigned to UAV k. Also note that the coordinates of UAVs here also correspond to the topological nodes; therefore, if no UAVs or tasks exist within a region, no allocation is performed. Topological nodes 8 and 12 in step 5 of Figure 1 illustrate this phenomenon.
Besides, this study employs a market-based method for the TA process, which iteratively performs task inclusion, communication, and task removal until the allocation results converge. Each topological node with a non-zero value is assigned a corresponding UAV, ensuring that every topological node is allocated.
After a t o p o , topological nodes assigned to UAVs within the same B k U A V set are then expanded to form a new set. T k r g T r g is the set of task list under k-th topological regions, and can be derived by
T k r g = B a k t o p o t a s k
The local topological region is denoted as B k U A V , T k r g , k N t o p o .
Finally, within the k-th topological region, the UAVs perform the second-phase TA, resulting in the task sequences a k of UAVs in B k U A V
a k = MRTA ( B k U A V , T k r g , P i n f o o b s , C t t , C r t )
and the final output is union of all task sequences where
a = k = 1 N t o p o a k
The main steps of Algorithm 2 are outlined as follows:
Algorithm 2 Two-phase MRTA
Input: 
P t o p o , C t o p o , P i n f o o b s , P U A V , P t a s k , C t t , C r t
Output: 
a
  1:
get the affiliations by (17)
  2:
compute values of topological nodes by (18)
  3:
obtain a t o p o by (19)
  4:
extract T r g by (21)
  5:
obtain a by (22) and (23)

4. Complexity Analysis

This paper employs CBBA and PI as the foundational algorithms. From the perspective of algorithm structure, both algorithms are similar. Therefore, the classical PI method is chosen as an example for the analysis of computational complexity. The computational load of the classical PI algorithm primarily occurs during the task inclusion phase, with a complexity of O L i N a i a i 2 ϑ σ [26], where a i is the length of a i , ϑ is the number of tasks to be added, σ is the complexity of calculating the task benefit.
The k-means-PI method [35] first clusters the tasks into N clusters before applying the classical PI method. The N clusters are then assigned, and the tasks within the clusters assigned to each UAV are expanded for task scheduling, leading to the final allocation results. Due to its lower computational complexity, the clustering process can be neglected, and the overall complexity is dominated by the larger costs in TA and task scheduling (inclusion), which is
max O L i N a i a i 2 ϑ k 1 σ , O L i N a i a i 2 ϑ k 2 σ
where ϑ k 1 and ϑ k 2 represent the number of tasks to be added in task allocation and task scheduling, respectively.
The proposed TGC-based method follows a process similar to the k-means-PI method. It first extracts the topological graph of the obstacle environment, then performs the first-stage TA based on the topological nodes, and finally conducts local second-stage TA within each topological Regions. However, the pixel map is typically small, and the associated complexity can be neglected. The same applies to the partitioning stage. Moreover, when the number of obstacles is not excessively large, the computational cost of the A* path planning process can also be disregarded; otherwise, other path planning methods should be considered. Therefore, the overall computational complexity is mainly determined by the larger one between the two TA phases, which is
max O L i N a i a i 2 ϑ g 1 σ , O L i N a i a i 2 ϑ g 2 σ
where ϑ g 1 and ϑ g 2 represent the number of tasks to be added in the two TA phases, respectively.
It should be noted that the number of tasks in the first-phase TA is determined by the number of topological nodes, which in turn depends on the number of obstacles in the environment. As a result, in environments with a limited number of obstacles, the value of ϑ g 1 remains small, leading to low SCT for the proposed TGC-based method. As the number of obstacles increases, the SCT correspondingly increases due to the growth of topological nodes. This effect is further investigated in Section 5.
In summary, from the perspective of computational complexity, TGC-PI does not exhibit lower complexity than the classical PI or k-means-PI algorithms; its complexity mainly depends on the TA component rather than the topological graph processing. However, since the MRTA problem is generally NP-hard, in large-scale MRTA scenarios involving large numbers of UAVs and tasks, the k-means-based approach improves computational efficiency by partitioning the solution space. The TGC-based approach further enhances efficiency by partitioning the solution space in a more reasonable manner while taking into account the topological properties of the obstacle environment. Nevertheless, the SCT of the TGC-PI method is sensitive to the number of obstacles, a characteristic of MRTA that has also been acknowledged in [21,51].

5. Simulation Result and Analysis

This section validates the proposed TGC-based MRTA method. Using PI and CBBA as representative examples, a comparative evaluation is conducted between the k-means clustering-based method [35] and the TGC-based method. The simulation experiments are conducted based on the fundamental parameters of fixed-wing UAVs, with the primary simulation settings summarized in Table 1. In the simulations, all UAVs are assumed to have identical flight speeds and payload capacities, and all tasks are initialized with the same value. The simulations are executed on a system equipped with an Intel Core i7-9700KF CPU using Python 3.12. All data used in the following experiments are provided in the Supplementary Materials.
It should be noted that for all subsequent experiments and experimental data, the inputs and outputs of all methods are completely consistent. The inputs include P i n f o o b s , P U A V and P t a s k , C t t and C r t . The output is a .

5.1. Effect of Pixel Resolution on Simulation Results

To evaluate how discretization of the physical environment influences model performance, the effect of pixel map resolution on simulation results is examined. The environment is discretized into a square grid (i.e., r = s ), and the grid resolution is varied to assess how pixel map resolution affects the accuracy of the simulation outcomes.
In this subsection, the TGC-PI method is evaluated under identical conditions of obstacles, UAVs, and tasks—that is, with the same numbers and positions of UAVs and tasks in an identical obstacle environment. The method is evaluated using maps with varying pixel resolutions, and the resulting benefit and SCT curves are shown in Figure 2. In the figure, the red square line represents the benefit curve, while the blue circular line represents the SCT curve. It can be clearly observed that the benefit obtained by the proposed method remains approximately consistent as the pixel map resolution increases. Therefore, it can be concluded that the optimization objectives of the proposed method are largely independent of pixel map size, demonstrating strong robustness to variations in pixel resolution. However, SCT increases continuously with increasing pixel map size, which is consistent with the computational complexity of O r s . Since larger pixel maps lead to significantly increased SCTs, a smaller pixel map resolution is preferred in practical applications. In this work, a pixel map size of 50 × 50 is adopted.

5.2. Results and Robustness Analysis in a Typical Scenario

5.2.1. Preliminary Performance Comparison

In this subsection, the results of a typical simulation are presented from a 2D perspective, as shown in Figure 3a,b, which illustrate the allocation results for TGC-PI and k-means-PI, respectively. In these figures, black areas represent obstacles, and gray regions correspond to the inflated obstacle areas. The obstacles are expanded by a certain margin in this study to ensure the flight safety of UAVs, and the inflation distance is 1 km as is illustrated in Table 1. The red triangular markers and blue circular markers denote the UAVs and tasks, respectively. The red solid line represents the resulting flight paths. Figure 3c shows the GVG constructed by TGC-PI based on the obstacle environment and the topological region information after the first-phase TA. The star-shaped points represent topological nodes, with white pixels forming the topological edges. The black area indicates the obstacle region, and points of different colors represent different topological regions. The solid lines show the task sequences of UAVs to topological nodes. In this scenario, 20 UAVs and 100 tasks are randomly generated in a given obstacle environment. The total benefits achieved by TGC-PI and k-means-PI are 78,779.26 and 76,513.50, respectively, with corresponding SCTs of 24.13 s and 35.91 s. These results indicate that TGC-PI outperforms k-means-PI in terms of both optimization performance and SCT.

5.2.2. Robustness Analysis Under Sensing Noises

Furthermore, under the aforementioned obstacle environments, systematic simulation experiments based on the TGC-PI method are conducted under varying sensing noise levels and different UAV–task scale configurations to evaluate the robustness of the proposed method under perception uncertainty.
The noise modeling considers two categories of uncertainty factors that directly affect MRTA performance: UAV and task localization noise, and path cost noise. Both types of noise are modeled as zero-mean Gaussian processes, with their physical sources primarily arising from GNSS positioning errors and onboard sensor measurement inaccuracies. Specifically, localization noise is modeled using an additive formulation, as position information is typically obtained through instantaneous sampling, whereas path cost noise is modeled multiplicatively to capture the cumulative uncertainty accumulated during flight. These two types of noise are modeled as follows
p ˜ = p + ϵ , ϵ N 0 , σ 2 I c ˜ = c · 1 + ϵ , ϵ N 0 , σ 2
where p ˜ denote the estimated position of a UAV or a task, p is the true position and ϵ is zero-mean Gaussian noise with standard deviation σ , I represents unit matrix. c ˜ denote the estimated path cost, c is the true path cost.
Four representative noise parameter settings are adopted in the simulations:
σ U A V , σ t a s k , σ p a t h = [ 0 , 0 , 0 ] , [ 50 , 25 , 0.01 ] , [ 100 , 50 , 0.03 ] , [ 200 , 100 , 0.05 ]
The standard deviation of UAV localization noise is consistently larger than that of task localization noise, reflecting the fact that UAVs move continuously during mission execution whereas task locations are typically static. The maximum localization noise levels of 200 m for UAVs and 100 m for tasks correspond to severely degraded perception conditions. For path cost uncertainty, a maximum standard deviation of 0.05 indicates an approximate 5% relative error in path cost estimation.
With respect to problem scale, multiple UAV–task configurations are evaluated, including 2–5, 5–20, 8–40, 10–50, 20–100, 30–150, and 50–500, thereby covering representative scenarios ranging from small- to large-scale deployments. For each combination of problem scale and noise parameters, a complete simulation is performed, and the resulting total benefit and SCT are recorded, as illustrated in Figure 4.
In Figure 4, the solid lines with circular markers represent the benefits obtained under different simulation scales, whereas the dashed lines with cross markers denote the corresponding SCTs. It can be observed that the total benefit remains nearly unchanged across different simulation scales, indicating that the proposed method exhibits strong robustness to localization errors and path cost noise. In addition, SCT remains stable across most scales, except at the 50–500 scale, where noticeable fluctuations are observed. This phenomenon may be attributed to the fact that, in large-scale simulation scenarios, the convergence behavior of the algorithm is affected to some extent. Overall, the results demonstrate that the TGC-PI method maintains robust benefit performance under severe localization and path cost noise, while the SCT metric may be moderately influenced in certain large-scale scenarios.

5.2.3. Performance Analysis Under Communication Delays

A typical obstacle environment is further considered, and simulation analyses are conducted to evaluate the performance of TGC-PI under different levels of communication delay and across varying problem scales. Communication delay is modeled in terms of inter-UAV communication hops: when the hop count is set to h, each UAV receives the state information of other UAVs with a delay of h time steps, thereby introducing information latency into the communication network. Simulations are performed with communication delays of 0, 1, 2, and 3 hops, and the corresponding results are illustrated in Figure 5.
In Figure 5, the solid lines with circular markers represent the benefits obtained under different simulation scales, whereas the dashed lines with cross markers denote the corresponding SCTs. As shown in Figure 5, as the number of communication hops increases from zero, the total benefit obtained by the UAV swarm remains nearly unchanged, whereas the computation time gradually increases. This behavior is mainly attributed to the inherent characteristics of PI. Although inter-UAV communication is subject to delays, as long as the communication network remains connected, the state information of all UAVs can still be propagated throughout the network within at most the maximum network hop count. As a result, the final global decision and the corresponding total benefit are not significantly affected by communication delays.
However, due to the presence of communication delays, each UAV can only perform local optimization based on outdated information received from other UAVs over several previous time steps. This reduction in information timeliness affects the convergence behavior of the method, leading to an increased number of iterations required to reach convergence. Consequently, the overall computation time increases as the communication hop count becomes larger.

5.3. Repeated Simulations and Statistical Analyses

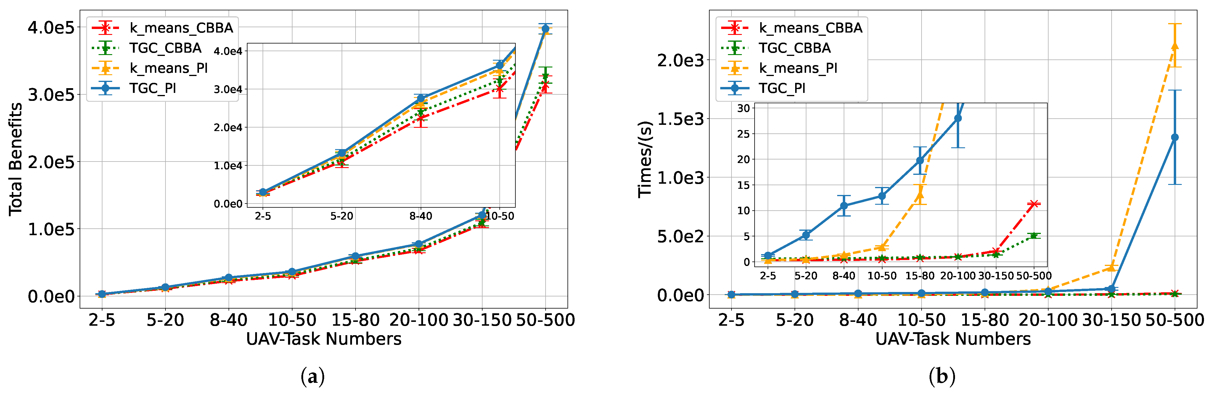
To further validate the proposed method, CBBA is also included in the experiments, resulting in four methods for comparison: TGC-PI, k-means-PI, TGC-CBBA, and k-means-CBBA. In this subsection, repeated experiments and statistical analyses are conducted for different numbers of UAVs and tasks, where the number of UAVs and tasks increase simultaneously while their ratio gradually increases. The simulation results are presented as error bar plots in Figure 6a,b, where the x-axis represents different UAV–task quantities: 2–5, 5–20, 8–40, 10–50, 15–80, 20–100, 30–150, and 50–500. The y-axes of the two plots correspond to total benefit and SCT, respectively. For each method and each scale, more than 30 repeated simulations are conducted, followed by statistical analysis.
In Figure 6, the markers represent the mean values, while the error bars indicate the standard deviations of the experimental results. TGC-PI is represented by a blue solid line with circular markers, k-means-PI by an orange dashed line with upward-pointing triangle markers, TGC-CBBA by a green dotted line with star markers, and k-means-CBBA by a red dash-dotted line with cross markers. As shown in Figure 6a, the benefits achieved by the four methods are pairwise comparable across different scales. Using the k-means-based method as the baseline, the benefits of TGC-PI range from 100.12% to 104.40% of those of k-means-PI across different scales, while TGC-CBBA achieves 101.96% to 107.31% of the benefits obtained by k-means-CBBA. The results in Figure 6b indicate that, in small-scale scenarios (smaller than 15–80), TGC-PI requires more computation time than k-means-PI, whereas in large-scale scenarios, TGC-PI demonstrates a clear advantage. A similar trend is observed for the CBBA-based methods: in small-scale scenarios (smaller than 20–100), the SCTs are comparable, with both methods exhibiting average computation times of less than 2 s, while in large-scale scenarios, TGC-based methods show a pronounced advantage.
Furthermore, repeated simulation experiments are conducted in environments with varying numbers of obstacles. Specifically, the number of obstacles is set to 4, 9, 16, and 25 and arranged in a square grid, while the number of UAVs varies among 5, 10, 20, 30, 50, and 100, with the number of tasks fixed at 100. Figure 7 illustrates the environments corresponding to the different obstacle configurations. This set of experiments primarily investigates the impact of obstacle density—corresponding to different levels of topological complexity—on the performance of the proposed method; therefore, no additional design is applied to the shapes or arrangements of the obstacles.
More than 30 repeated trials were performed in each of these environments, and the corresponding statistical results are shown in Figure 8. The black dashed lines indicate the upper and lower bounds of the total benefit, where the maximum corresponds to the theoretical value of all tasks, j M v j , and the minimum is zero. It should be noted that, due to the long SCTs of k-means-PI in simulations involving 100 UAVs (approximately 20,000–30,000 s per simulation, equivalent to about 5–8 h), no statistical results were obtained for these cases. The simulation results presented below suggest that the total benefit achieved by k-means-PI is comparable to that of the TGC-PI method.
As shown in Figure 8a–d, across varying environments and UAV quantities, the total benefits achieved by the TGC-based method and the k-means-based method are nearly identical. Taking the k-means-based methods as baselines, the benefits of TGC-PI across different scales range from 98.77% to 109.26% of those obtained by k-means-PI, while TGC-CBBA achieves 99.64% to 126.90% of the benefits of k-means-CBBA. These results indicate that the TGC-based method matches the k-means-based method in terms of solution quality.
Figure 8e–h show that, when the number of UAVs is small, TGC-PI requires longer execution time, particularly in environments with a higher number of obstacles. As the number of UAVs increases, the growth in SCT slows down, and TGC-PI demonstrates a clear advantage over k-means-PI. Especially in environments with fewer obstacles, the computation speed improves by more than one order of magnitude. In addition, across different obstacle environments, TGC-CBBA performs similarly to k-means-CBBA in terms of SCT when the number of UAVs is small. However, as the number of UAVs increases, TGC-CBBA also exhibits a clear advantage.
The above statistical results illustrate that the TGC-based MRTA method proposed in this paper achieves total benefits comparable to those of the k-means clustering-based MRTA method across different environments and varying UAV–task scales. In small-scale UAV swarms, the TGC-based method exhibits slightly lower computational speed than the k-means-based method. In contrast, in large-scale UAV swarms, the TGC-based method improves computational speed while maintaining solution quality. This behavior can be attributed to the fact that, in small-scale scenarios, the allocation process tends to converge rapidly, whereas the TGC-based method still incurs additional computational overhead due to topological graph construction, polygonal path computation, and the execution of the first-phase TA. In large-scale UAV simulations, however, the TGC-based method efficiently partitions the environment into regions, thereby achieving higher computational speed. Moreover, in scenarios with fewer obstacles, the TGC-based method demonstrates faster computation; however, as the number of obstacles increases, its computational speed advantage gradually diminishes.
Additionally, as shown in Figure 8, the total benefits and SCTs for the yellow dashed line and red dotted-dashed line remain essentially unchanged across different obstacle quantities. This indicates that the k-means-based method is independent of the number of obstacles and is influenced only by the number of UAVs and tasks.
Figure 9 presents the SCT ratio curves, defined as the ratio of the mean SCT values of the k-means-based method to those of the TGC-based method, under varying UAV–task scales and numbers of obstacles, based on the statistical results in Figure 8. The x-axis represents the UAV–task quantities, while the y-axis shows the ratios of the k-means-based method to the TGC-based method. The color gradient, from cool (blue) to warm (red), indicates an increasing number of obstacles, ranging from 4 to 25. Specifically, Figure 9a illustrates the ratio between the mean SCT values of k-means-PI and TGC-PI, while (b) shows the ratio between the mean SCT values of k-means-CBBA and TGC-CBBA under the same experimental conditions. The following analysis is derived from Figure 9:
(1) Since the computational results of the k-means-based method are independent of the number of obstacles, the computational efficiency of the TGC-based method gradually decreases as the number of obstacles increases while the UAV count remains constant. This indicates that the TGC-based method is affected by obstacle density. It can therefore be anticipated that, if the number of obstacles continues to increase, the computational efficiency of the TGC-based method will eventually fall below that of the k-means-based method.
(2) When the number of obstacles is fixed, the computational efficiency of the TGC-based method improves as the number of UAVs increases relative to the k-means-based method. Notably, in scenarios with fewer obstacles and a larger number of UAVs, a significant computational advantage is observed, as indicated by the blue curve in Figure 9a. At the 50–100 scale, TGC-PI runs 62.44 times faster than k-means-PI, representing an advantage exceeding one order of magnitude. Although statistical analysis for k-means-PI at the 100–100 scale was not conducted due to time and hardware constraints, the observed trends suggest that TGC-PI is likely to retain—and potentially further amplify—its computational advantage at this larger scale. Similarly, the CBBA-based method demonstrates a computational advantage of up to 10.08 times, corresponding to an improvement of approximately one order of magnitude.
In summary, the proposed method significantly reduces SCT in large-scale UAV–task scenarios while delivering total benefits comparable to those of existing methods, particularly in environments with fewer obstacles. In environments containing a larger number of obstacles, the method tends to exhibit reduced computational speed. This behavior can be attributed to the two-phase TA structure of the proposed method: as the number of obstacles increases, the number of topological nodes also increases. When the task quantity is large, more tasks are assigned to each topological node, thereby enlarging the scale of the first-phase TA and significantly impacting computational efficiency.

6. Conclusions

This paper has addressed the challenge of long planning times caused by large decision spaces in Multi-Robot Task Allocation (MRTA) within obstacle environments. A TGC-based MRTA method has been proposed to improve task allocation efficiency in large-scale scenarios involving substantial numbers of UAVs and tasks, while maintaining high-quality allocation solutions.
First, the physical environment is converted into a pixel-based map. Clearance points are then extracted based on the Generalized Voronoi Graph (GVG) to construct a skeleton graph and derive the topological graph of the obstacle environment. Subsequently, the affiliations of UAVs and tasks within the environment are determined, and the values of topological nodes are computed to perform the first-phase task allocation. Finally, the allocated topological nodes are expanded and merged to generate corresponding topological regions, within which a second-phase task allocation is executed to obtain the final allocation results.
In this study, the influence of varying pixel resolutions on the performance of the proposed method is first investigated through simulations, with results indicating that pixel resolution has little impact on overall performance. Robustness experiments under localization noise and path cost noise further demonstrate that the proposed method maintains stable total benefits across different noise levels, indicating strong robustness to sensing and cost uncertainties. Moreover, experiments considering communication delays modeled via inter-UAV communication hops show that, although total benefit remains largely unaffected, computational time increases moderately due to the impact of delayed information on the convergence process.
In addition, TGC-PI and TGC-CBBA are developed based on PI and CBBA, respectively, and are compared with k-means-PI and k-means-CBBA through extensive comparative experiments and statistical analyses under varying scales of UAVs, tasks, and obstacles. Simulation results demonstrate that, in small-scale UAV–task scenarios, the proposed method exhibits slightly lower computational speed. However, in large-scale UAV–task scenarios, TGC-PI achieves a computational speedup of over 60 times compared with k-means-PI. Moreover, TGC-CBBA also achieves an improvement exceeding 10 times over k-means-CBBA, while maintaining comparable solution quality.
This work presents a framework that accelerates MRTA by decomposing obstacle environments into topological regions. As an initial version of the proposed framework, several constraints commonly encountered in real-world applications have not yet been incorporated. Future work will focus on extending the framework by introducing more realistic task constraints, such as task types, logical dependencies, and time windows, as well as UAV-related factors including heterogeneity, dynamic behaviors, and energy limitations. Furthermore, extensions to three-dimensional flight environments, inter-UAV collision avoidance, and dynamic obstacle scenarios will be investigated to enhance the applicability and robustness of the proposed approach in complex and dynamic large-scale MRTA problems.

Supplementary Materials

The following supporting information can be downloaded at: https://www.mdpi.com/article/10.3390/drones10010048/s1.

Author Contributions

Conceptualization, J.L. (Jinlong Liu); methodology, J.L. (Jinlong Liu), J.L. (Jingzong Liu) and S.W.; software, J.L. (Jinlong Liu), S.W. and J.L. (Jingzong Liu); validation, J.L. (Jinlong Liu); formal analysis, J.L. (Jinlong Liu) and Z.Z.; investigation, J.L. (Jinlong Liu) and J.L. (Jingzong Liu); resources, Z.Z.; data curation, J.L. (Jinlong Liu); writing—original draft preparation, J.L. (Jinlong Liu); writing—review and editing, Z.Z. and K.Z.; visualization, J.L. (Jinlong Liu) and J.L. (Jingzong Liu); supervision, Z.Z. and K.Z.; project administration, Z.Z. All authors have read and agreed to the published version of the manuscript.

Funding

This research received no external funding.

Data Availability Statement

The original contributions presented in the study are included in the article; further inquiries can be directed to the corresponding author.

Conflicts of Interest

The authors declare no conflicts of interest.

Abbreviations

The following abbreviations are used in this manuscript:
UAVUnmanned Aerial Vehicle
MRTAMulti-Robot Task Allocation
TATask Allocation
SCTSimulation Computational Time
TGCTopological Graph Construction
GVGGeneralized Voronoi Graph
GVDGeneralized Voronoi Diagram

References

  1. Bakhshipour, M.; Ghadi, M.J.; Namdari, F. Swarm robotics search & rescue: A novel artificial intelligence-inspired optimization approach. Appl. Soft Comput. 2017, 57, 708–726. [Google Scholar] [CrossRef]
  2. Cui, S.; Li, H.; Fan, X.; Ni, L.; Hou, J. A Multi-UAV Distributed Collaborative Search Algorithm Based on Maximum Entropy Mechanism. Drones 2025, 9, 592. [Google Scholar] [CrossRef]
  3. Qi, Y.; Xiao, X.; Yao, M.; Xiong, Y.; Zhang, L.; Cui, H. AirFormer: Learning-Based Object Detection for Mars Helicopter. IEEE J. Sel. Top. Appl. Earth Obs. Remote Sens. 2024, 18, 100–111. [Google Scholar] [CrossRef]
  4. Zhao, P.; Yao, M.; Xiao, X.; Cui, H. Concurrent optimization of modular robots for planetary landforms: A terrain-guided approach based on STGCN-GA. Astrodynamics 2025, 9, 689–711. [Google Scholar] [CrossRef]
  5. Hu, J.; Yang, J. Application of distributed auction to multi-UAV task assignment in agriculture. Int. J. Precis. Agric. Aviat. 2018, 1, 44–50. [Google Scholar] [CrossRef]
  6. Mayya, S.; D’antonio, D.S.; Saldaña, D.; Kumar, V. Resilient task allocation in heterogeneous multi-robot systems. IEEE Robot. Autom. Lett. 2021, 6, 1327–1334. [Google Scholar] [CrossRef]
  7. Velhal, S.; Sundaram, S.; Sundararajan, N. Dynamic resource allocation with decentralized multi-task assignment approach for perimeter defense problem. IEEE Trans. Aerosp. Electron. Syst. 2022, 58, 3313–3325. [Google Scholar] [CrossRef]
  8. Gul, O.M. Energy harvesting and task-aware multi-robot task allocation in robotic wireless sensor networks. Sensors 2023, 23, 3284. [Google Scholar] [CrossRef]
  9. Cheng, S.; Yao, M.; Xiao, X. Dc-mot: Motion deblurring and compensation for multi-object tracking in uav videos. In Proceedings of the 2023 IEEE International Conference on Robotics and Automation (ICRA), London, UK, 29 May–2 June 2023; IEEE: Piscataway, NJ, USA, 2023; pp. 789–795. [Google Scholar]
  10. Xiao, X.; Cui, H.; Yao, M.; Fu, Y.; Qi, W. Auto rock detection via sparse-based background modeling for mars rover. In Proceedings of the 2018 IEEE Congress on Evolutionary Computation (CEC), Rio de Janeiro, Brazil, 8–13 July 2018; IEEE: Piscataway, NJ, USA, 2018; pp. 1–6. [Google Scholar]
  11. Ma, Z.; Chen, J. Multi-uav urban logistics task allocation method based on mcts. Drones 2023, 7, 679. [Google Scholar] [CrossRef]
  12. Agrawal, A.; Hariharan, S.; Bedi, A.S.; Manocha, D. Dc-mrta: Decentralized multi-robot task allocation and navigation in complex environments. In Proceedings of the 2022 IEEE/RSJ International Conference on Intelligent Robots and Systems (IROS), Kyoto, Japan, 23–27 October 2022; IEEE: Piscataway, NJ, USA, 2022; pp. 11711–11718. [Google Scholar]
  13. Jia, Z.; Yu, J.; Ai, X.; Xu, X.; Yang, D. Cooperative multiple task assignment problem with stochastic velocities and time windows for heterogeneous unmanned aerial vehicles using a genetic algorithm. Aerosp. Sci. Technol. 2018, 76, 112–125. [Google Scholar] [CrossRef]
  14. Valero, O.; Antich, J.; Tauler-Rosselló, A.; Guerrero, J.; Miñana, J.J.; Ortiz, A. Multi-robot task allocation methods: A fuzzy optimization approach. Inf. Sci. 2023, 648, 119508. [Google Scholar] [CrossRef]
  15. Li, C.; Li, G.; Liu, Y.; Zheng, Q.; Yang, G.; Liu, K.; Diao, X. Cooperative Task Allocation for Unmanned Aerial Vehicle Swarm Using Multi-Objective Multi-Population Self-Adaptive Ant Lion Optimizer. Drones 2025, 9, 733. [Google Scholar] [CrossRef]
  16. Pala, A.; Chauhana, A.; Baranwala, M.; Ojhac, A. Optimizing Multi-Robot Task Allocation in Dynamic Environments via Heuristic-Guided Reinforcement Learning; IOS Press: Amsterdam, The Netherlands, 2024. [Google Scholar]
  17. Tian, P.; Yao, M.; Xiao, X.; Zheng, B.; Cao, T.; Xi, Y.; Liu, H.; Cui, H. 3-D semantic terrain reconstruction of monocular close-up images of Martian terrains. IEEE Trans. Geosci. Remote Sens. 2024, 62, 4600716. [Google Scholar] [CrossRef]
  18. Gui, Y.; Qi, Y.; Xiao, X.; Lin, B.; Cui, H.; Huang, X. SPTN: Transformer-based spacecraft pose estimation network for space objects tracking. Astrodynamics 2025, 9, 713–725. [Google Scholar] [CrossRef]
  19. Wang, L.; Zhu, D.; Pang, W.; Zhang, Y. A survey of underwater search for multi-target using Multi-AUV: Task allocation, path planning, and formation control. Ocean. Eng. 2023, 278, 114393. [Google Scholar] [CrossRef]
  20. Chen, Z.; Kan, Z. Real-time reactive task allocation and planning of large heterogeneous multi-robot systems with temporal logic specifications. Int. J. Robot. Res. 2025, 44, 640–664. [Google Scholar] [CrossRef]
  21. Chakraa, H.; Guérin, F.; Leclercq, E.; Lefebvre, D. Optimization techniques for multi-robot task allocation problems: Review on the state-of-the-art. Robot. Auton. Syst. 2023, 168, 104492. [Google Scholar] [CrossRef]
  22. Athira, K.A.; Divya, U.J.; Subramaniam, U. A Systematic Literature Review on Multi-Robot Task Allocation. ACM Comput. Surv. 2025, 57, 1–28. [Google Scholar]
  23. Kahraman, T.; Reniers, M.; Goorden, M. Multi-Robot Task Allocation (MRTA) Simulation: A Comparative Analysis. 2025. Available online: https://www.researchgate.net/profile/Tarik-Kahraman-5/publication/395580382_Multi-Robot_Task_Allocation_MRTA_Simulation_A_Comparative_Analysis/links/68cb213a9534473a6d4b3821/Multi-Robot-Task-Allocation-MRTA-Simulation-A-Comparative-Analysis.pdf (accessed on 30 December 2025).
  24. Brunet, L.; Choi, H.L.; How, J. Consensus-based auction approaches for decentralized task assignment. In Proceedings of the AIAA Guidance, Navigation and Control Conference and Exhibit, Honolulu, HI, USA, 18–21 August 2008; p. 6839. [Google Scholar]
  25. Choi, H.L.; Brunet, L.; How, J.P. Consensus-based decentralized auctions for robust task allocation. IEEE Trans. Robot. 2009, 25, 912–926. [Google Scholar] [CrossRef]
  26. Zhao, W.; Meng, Q.; Chung, P.W. A heuristic distributed task allocation method for multivehicle multitask problems and its application to search and rescue scenario. IEEE Trans. Cybern. 2015, 46, 902–915. [Google Scholar] [CrossRef]
  27. Ismail, S.; Sun, L. Decentralized hungarian-based approach for fast and scalable task allocation. In Proceedings of the 2017 International Conference on Unmanned Aircraft Systems (ICUAS), Miami, FL, USA, 13–16 June 2017; IEEE: Piscataway, NJ, USA, 2017; pp. 23–28. [Google Scholar]
  28. Korsah, G.A.; Stentz, A.; Dias, M.B. A comprehensive taxonomy for multi-robot task allocation. Int. J. Robot. Res. 2013, 32, 1495–1512. [Google Scholar] [CrossRef]
  29. Cortes, J.; Martinez, S.; Bullo, F. Spatially-distributed coverage optimization and control with limited-range interactions. Esaim Control Optim. Calc. Var. 2005, 11, 691–719. [Google Scholar] [CrossRef]
  30. Arslan, O.; Koditschek, D.E. Sensor-Based Reactive Navigation in Unknown Convex Sphere Worlds. Int. J. Robot. Res. 2019, 38, 196–223. [Google Scholar] [CrossRef]
  31. Zhang, S.; Hu, C.; Zhao, D.; Yang, K.; Xu, Z.; Li, M. A Two-Stage Multi-UAV Task Allocation Approach Based on Graph Theory and a Learning-Inspired Immune Algorithm. Drones 2025, 9, 599. [Google Scholar] [CrossRef]
  32. Zeng, Y.; Wu, L.; Li, J.; Zhuang, X.; Wu, C. Resilient Task Allocation for UAV Swarms: A Bilevel PSO-ILP Optimization Approach. Drones 2025, 9, 623. [Google Scholar] [CrossRef]
  33. Elango, M.; Nachiappan, S.; Tiwari, M.K. Balancing task allocation in multi-robot systems using K-means clustering and auction based mechanisms. Expert Syst. Appl. 2011, 38, 6486–6491. [Google Scholar] [CrossRef]
  34. Shoman, W.; El-Barrawy, M.; Mekhail, Y.; Bahgat, A.B.; Morgan, E.S.I. Introducing various novel optimization techniques for task allocation in multi-vehicles systems. In Proceedings of the 2019 IEEE International Conference on Vehicular Electronics and Safety (ICVES), Cairo, Egypt, 4–6 September 2019; IEEE: Piscataway, NJ, USA, 2019; pp. 1–6. [Google Scholar]
  35. Chen, X.; Zhang, P.; Li, F.; Du, G. A cluster first strategy for distributed multi-robot task allocation problem with time constraints. In Proceedings of the 2018 WRC Symposium on Advanced Robotics and Automation (WRC SARA), Beijing, China, 16 August 2018; IEEE: Piscataway, NJ, USA, 2018; pp. 102–107. [Google Scholar]
  36. Chen, J.; Qing, X.; Ye, F.; Xiao, K.; You, K.; Sun, Q. Consensus-based bundle algorithm with local replanning for heterogeneous multi-UAV system in the time-sensitive and dynamic environment. J. Supercomput. 2022, 78, 1712–1740. [Google Scholar] [CrossRef]
  37. Zhao, X.; Zong, Q.; Tian, B.; Zhang, B.; You, M. Fast task allocation for heterogeneous unmanned aerial vehicles through reinforcement learning. Aerosp. Sci. Technol. 2019, 92, 588–594. [Google Scholar] [CrossRef]
  38. Zhang, Z.; Jiang, J.; Xu, H.; Zhang, W.A. Distributed dynamic task allocation for unmanned aerial vehicle swarm systems: A networked evolutionary game-theoretic approach. Chin. J. Aeronaut. 2024, 37, 182–204. [Google Scholar] [CrossRef]
  39. Wang, G.; Wang, F.; Wang, J.; Li, M.; Gai, L.; Xu, D. Collaborative target assignment problem for large-scale UAV swarm based on two-stage greedy auction algorithm. Aerosp. Sci. Technol. 2024, 149, 109146. [Google Scholar] [CrossRef]
  40. Otte, M.; Kuhlman, M.J.; Sofge, D. Auctions for multi-robot task allocation in communication limited environments. Auton. Robot. 2020, 44, 547–584. [Google Scholar] [CrossRef]
  41. Bai, X.; Yan, W.; Ge, S.S. Distributed task assignment for multiple robots under limited communication range. IEEE Trans. Syst. Man Cybern. Syst. 2021, 52, 4259–4271. [Google Scholar] [CrossRef]
  42. Alitappeh, R.J.; Jeddisaravi, K. Multi-robot exploration in task allocation problem. Appl. Intell. 2022, 52, 2189–2211. [Google Scholar] [CrossRef]
  43. Li, L.; Zuo, X.; Peng, H.; Yang, F.; Zhu, H.; Li, D.; Liu, J.; Su, F.; Liang, Y.; Zhou, G. Improving autonomous exploration using reduced approximated generalized voronoi graphs. J. Intell. Robot. Syst. 2020, 99, 91–113. [Google Scholar] [CrossRef]
  44. Masaba, K.; Li, A.Q. Gvgexp: Communication-constrained multi-robot exploration system based on generalized voronoi graphs. In Proceedings of the 2021 International Symposium on Multi-Robot and Multi-Agent Systems (MRS), Cambridge, UK, 4–5 November 2021; IEEE: Piscataway, NJ, USA, 2021; pp. 146–154. [Google Scholar]
  45. Zhao, H.; Yao, M.; Zhao, Y.; Jiang, Y.; Zhang, H.; Xiao, X.; Gao, K. M2CS: A Multimodal and Campus-Scapes Dataset for Dynamic SLAM and Moving Object Perception. J. Field Robot. 2025, 42, 787–805. [Google Scholar] [CrossRef]
  46. Chi, W.; Ding, Z.; Wang, J.; Chen, G.; Sun, L. A generalized Voronoi diagram-based efficient heuristic path planning method for RRTs in mobile robots. IEEE Trans. Ind. Electron. 2021, 69, 4926–4937. [Google Scholar] [CrossRef]
  47. Chen, D.; Xiao, A.; Zou, M.; Chi, W.; Wang, J.; Sun, L. GVD-exploration: An efficient autonomous robot exploration framework based on fast generalized Voronoi diagram extraction. arXiv 2023, arXiv:2309.06041. [Google Scholar] [CrossRef]
  48. Ester, M.; Kriegel, H.P.; Sander, J.; Xu, X. A density-based algorithm for discovering clusters in large spatial databases with noise. In Proceedings of the KDD, Portland, OR, USA, 2–4 August 1996; Volume 96, pp. 226–231. [Google Scholar]
  49. Zhang, T.Y.; Suen, C.Y. A fast parallel algorithm for thinning digital patterns. Commun. ACM 1984, 27, 236–239. [Google Scholar] [CrossRef]
  50. Lozano-Pérez, T.; Wesley, M.A. An Algorithm for Planning Collision Free Paths Among Polyhedral Obstacles. Commun. ACM 1979, 22, 560–570. [Google Scholar] [CrossRef]
  51. Lee, S.; Sim, J.; Nam, C. Very large-scale multi-robot task allocation in challenging environments via robot redistribution. Robot. Auton. Syst. 2025, 194. [Google Scholar] [CrossRef]
Figure 1. Flow chart of MRTA Based on Topological Graph Construction.
Figure 1. Flow chart of MRTA Based on Topological Graph Construction.
Drones 10 00048 g001
Figure 2. SCTs and benefits varying with different image scales.
Figure 2. SCTs and benefits varying with different image scales.
Drones 10 00048 g002
Figure 3. Results of Typical Scene from a 2D Perspective. (a) Result of TGC-PI. (b) Result of k-means-PI. (c) Results During TGC-PI.
Figure 3. Results of Typical Scene from a 2D Perspective. (a) Result of TGC-PI. (b) Result of k-means-PI. (c) Results During TGC-PI.
Drones 10 00048 g003
Figure 4. Total benefits and SCTs under different noise settings for various UAV–task scales.
Figure 4. Total benefits and SCTs under different noise settings for various UAV–task scales.
Drones 10 00048 g004
Figure 5. Total benefits and SCTs under different communication delay settings for various UAV–task scales.
Figure 5. Total benefits and SCTs under different communication delay settings for various UAV–task scales.
Drones 10 00048 g005
Figure 6. Error Bar Charts for Results of Different Scale Simulations. (a) Error Bar Chart of Total Benefit. (b) Error Bar Chart of SCT.
Figure 6. Error Bar Charts for Results of Different Scale Simulations. (a) Error Bar Chart of Total Benefit. (b) Error Bar Chart of SCT.
Drones 10 00048 g006
Figure 7. Different obstacle configurations. (a) Environment with 4 Obstacles. (b) Environment with 9 Obstacles. (c) Environment with 16 Obstacles. (d) Environment with 25 Obstacles.
Figure 7. Different obstacle configurations. (a) Environment with 4 Obstacles. (b) Environment with 9 Obstacles. (c) Environment with 16 Obstacles. (d) Environment with 25 Obstacles.
Drones 10 00048 g007
Figure 8. Error Bar Charts for Different Obstacle Numbers and UAV Numbers. (a) Total Benefits of 4 Obstacles. (b) Total Benefits of 9 Obstacles. (c) Total Benefits of 16 Obstacles. (d) Total Benefits of 25 Obstacles. (e) SCTs of 4 Obstacles. (f) SCTs of 9 Obstacles. (g) SCTs of 16 Obstacles. (h) SCTs of 25 Obstacles.
Figure 8. Error Bar Charts for Different Obstacle Numbers and UAV Numbers. (a) Total Benefits of 4 Obstacles. (b) Total Benefits of 9 Obstacles. (c) Total Benefits of 16 Obstacles. (d) Total Benefits of 25 Obstacles. (e) SCTs of 4 Obstacles. (f) SCTs of 9 Obstacles. (g) SCTs of 16 Obstacles. (h) SCTs of 25 Obstacles.
Drones 10 00048 g008
Figure 9. SCT Ratio Curves of k-means-based Method and TGC-based Method at Different UAV Scales. (a) SCT Ratios of PI-based Methods. (b) SCT Ratios of CBBA-based Methods.
Figure 9. SCT Ratio Curves of k-means-based Method and TGC-based Method at Different UAV Scales. (a) SCT Ratios of PI-based Methods. (b) SCT Ratios of CBBA-based Methods.
Drones 10 00048 g009
Table 1. Main Parameters of Simulations.
Table 1. Main Parameters of Simulations.
Parameter TypesParameter NamesValues
Environmental settingsSimulation scenario size (km × km)100 × 100
Initial value of task v j 1000
UAV numbers N2∼100
Task numbers M5∼500
Obstacle typepolygon
Obstacle inflation distance (km)1
Algorithmic settingsVelocity of UAV ν (m/s)100
Task load of a UAV L i N 100
Time discount of task λ 0.001
Pixel map resolution r × s 50 × 50
Disclaimer/Publisher’s Note: The statements, opinions and data contained in all publications are solely those of the individual author(s) and contributor(s) and not of MDPI and/or the editor(s). MDPI and/or the editor(s) disclaim responsibility for any injury to people or property resulting from any ideas, methods, instructions or products referred to in the content.

Share and Cite

MDPI and ACS Style

Liu, J.; Zhang, Z.; Wen, S.; Liu, J.; Zhang, K. Rapid MRTA in Large UAV Swarms Based on Topological Graph Construction in Obstacle Environments. Drones 2026, 10, 48. https://doi.org/10.3390/drones10010048

AMA Style

Liu J, Zhang Z, Wen S, Liu J, Zhang K. Rapid MRTA in Large UAV Swarms Based on Topological Graph Construction in Obstacle Environments. Drones. 2026; 10(1):48. https://doi.org/10.3390/drones10010048

Chicago/Turabian Style

Liu, Jinlong, Zexu Zhang, Shan Wen, Jingzong Liu, and Kai Zhang. 2026. "Rapid MRTA in Large UAV Swarms Based on Topological Graph Construction in Obstacle Environments" Drones 10, no. 1: 48. https://doi.org/10.3390/drones10010048

APA Style

Liu, J., Zhang, Z., Wen, S., Liu, J., & Zhang, K. (2026). Rapid MRTA in Large UAV Swarms Based on Topological Graph Construction in Obstacle Environments. Drones, 10(1), 48. https://doi.org/10.3390/drones10010048

Article Metrics

Back to TopTop