Abstract
Nitrate concentration is variable in soils, so the absorbed N from roots in a high-nitrate site is recycled from shoots to the root parts in N-poor niche. In this report, the absorption, transport, and recycling of N derived from 15N-labeled nitrate were investigated with split-root systems of nodulated soybean. The NO3− accumulated in the root in 5 mM NO3− solution; however, it was not detected in the roots and nodules in an N-free pot, indicating that NO3− itself is not recycled from leaves to underground parts. The total amount of 15NO3− absorption from 2 to 4 days of the plant with the N-free opposite half-root accelerated by 40% compared with both half-roots that received NO3−. This result might be due to the compensation for the N demand under one half-root could absorb NO3−. About 2–3% of the absorbed 15N was recycled to the opposite half-root, irrespective of N-free or NO3− solution, suggesting that N recycling from leaves to the roots was not affected by the presence or absence of NO3−. Concentrations of asparagine increased in the half-roots supplied with NO3− but not in N-free half-roots, suggesting that asparagine may not be a systemic signal for N status.
1. Introduction
Nitrogen (N) is one of the essential macronutrients required for plants, and the availability of N is often a limiting factor for plant growth and crop yield. Plant roots absorb N primarily in the forms of nitrate (NO3−) and ammonium (NH4+). Leguminous plants such as soybean incorporate atmospheric dinitrogen (N2) in root nodules, forming a symbiosis with N2-fixing rhizobia. Nitrate absorbed by soybean roots can be directly translocated to the shoot or first assimilated then transported mainly as asparagine (Asn) via xylem vessels to the leaves. Some parts of N assimilated in the leaves may be re-translocated to the apical part of the roots or buds via the phloem to support the N requirement of the developing organs [1]. Therefore, recycling N from leaves to the roots is important for young roots and nodules, but the mechanisms of how to control the recycling of N and how the N conditions around the roots affect N recycling are not fully understood.
As nitrate concentrations in the field vary by several order of magnitude, both spatially and temporally [2,3], plant roots need to regulate NO3− absorption mediated by nitrate transporters [1]. The nitrate reductase (NR) activity is also finely regulated by various internal compounds and environmental conditions at the transcription, translation, protein modification, and degradation levels [4]. Nitrates and metabolites such as glutamine (Gln), sucrose, cytokinin, and light are regulatory factors for NR [4]. In addition, nitrate absorption is regulated systemically through root–shoot communications [2].
The fixed N in the nodule also recycles from the shoot to the roots. Oghoghorie and Pate [5] investigated the N transport of nodulated field pea (Pisum arvense L.) using 15N-labeled N2 and 15NO3−. When the nodules at the upper roots were exposed to 15N2, an appreciable amount of 15N translocated to the lower part of the roots. However, 15N recycling was much lower when the shoot being removed just before the 15N2 exposure. This result indicates that a part of fixed N in the nodules is recycled via shoots to the lower part of the roots, and little directly transported from nodules to the lower roots. The same was true when 15NO3− was applied from the upper part of the lateral roots, some 15N recycled from the shoot to the distal root part. Tanaka et al. [6] investigated the effect of various concentrations of NO3− supply to one half-root of soybean by the split-root systems on the nodule growth, N2 fixation, and the 15N recycling of another half-root with N-free media after 20 or 40 days of treatment. When the half-roots were directly in contact with over 100 mg N L−1 of nitrate, the nodule dry weight and acetylene reduction activity of the nodules were severely depressed, but the nodules attached to the opposite half-roots in N-free conditions were promoted. The effect on nodulation by the localized NO3− supply to the split-root systems was investigated in the Williams parent and its hypernodulation mutant NOD1-3. The nodulation was inhibited only at the half-roots with NO3− application but not in the N-free half-roots, irrespective of nodulation types [7]. Similar local repression at NO3− site has been reported in Trifolium repens [8], Casuarina [9], and Medicago truncatula [10] by split-root systems, although the nitrogenase activity of root nodules on both half-roots with +N and −N was inhibited in the case of Arachis hypogaea [11].
When one-half of the sprit roots were in N-deficiency, the NO3− absorption in the other half-roots supplied with NO3− was promoted due to compensation of limited N absorption site. In this research, we investigated the absorption, transport, and recycling of 15N originating from one half-root supplied with 15NO3− to the shoots and another half-root supplied with N-free solution or non-labeled NO3− using split-root systems at 2 and 4 days of treatments. The concentrations of major N metabolites, such as Asn, Gln, glutamate (Glu), aspartate (Asp), allantoin, and allantoate in each part of soybean plants were determined.
The main questions are as follows: Do the half-roots with N-free conditions accelerate the nitrate uptake in the other half-roots with 15NO3−, compared with both half-roots with NO3−? Is NO3− itself transferred to the opposite side of the half-roots with N-free solution from the half-roots supplied with NO3−? Are the percentage of recycled-N in the half-roots affected by the N conditions? Do the N compounds such as Asn, Gln, or ureides accumulate in the half-roots with N-free solution affected by the other half-roots supplied with or without NO3−?
2. Materials and Methods
2.1. Split-Root Experiment Supplied with 15N-Labeled Nitrate from One Half-Root
Soybean seeds (Glycine max (L.) Merr., cultivar ‘Williams’) were surface-sterilized and sown in a vermiculite bed. At 7 days after planting (DAP), plants in a vermiculite bed were inoculated with a suspension of Bradyrhizobium diazoefficiens (USDA 110). At 10 DAP, the primary root below 5 cm long was cut off and the plant transplanted into an 800 mL of nitrogen-free nutrient solution [12] in a 900 mL glass bottle with continuous aeration. The bottle covered with aluminum foil for shading a culture solution. Plants were cultivated in a biophotochamber (LH-350S, Nippon Medical & Chemical instruments Co., Ltd., Osaka, Japan) under 28 °C day/18 °C night temperatures, 55% relative humidity, and under a photoperiod of 16 h light (228 µmol photons m−2 s−1)/8 h darkness.
At 24 DAP, each plant transferred to a two-compartment container (Figure 1). Two polyethylene terephthalate pots with a capacity of 1 L were attached. Each pot was filled with 0.8 L of N-free culture solution, covered with aluminum foil, and aerated continuously. Three treatments were imposed on 31 DAP using NaNO3 (30.1 atom%15N). The N0-N0 treatment: [L]; N-free, [R]; N-free. 15N5-N0 treatment: [L]; 15N-labeled 5 mM NO3−, [R]; N-free; 15N-N5 treatment: [L]; 15N-labeled 5 mM NO3−, [R]; non-labeled 5 mM NO3−. The 800 mL of 5 mM NaNO3 solution contained 56 mg N per pot. At 2 day and 4 day treatments, plants were harvested, washed, and separated into the lower half of the noduled roots, which were in direct contact with the solution, the upper half of the noduled roots, which were out of the solution, the basal part of roots, and the shoot. No nitrate ion was detected in the N-free solution after 4 days of cultivation in split-root culture, analyzed by the ion chromatograph (PIA-1000, Shimadzu Corporation, Kyoto, Japan), so mixing of the solution between two adjacent pots was excluded. The plants were dried using a freeze-dryer (VD-400F, TAITEC, Saitama, Japan) and separated into the leaves, stems plus petioles, basal roots, the upper part of nodules and roots in [L] or [R], and the lower part of nodules and roots in [L] or [R]. Then, the dry weight of them was measured and ground into a fine powder. About 2–5 mg of ground sample was packed in a tin capsule, and the N concentration and 15N concentration were analyzed by the elemental analyzer (Flash EA1112; Thermo Electron, Milan, Italy) coupled to an isotope-ratio mass spectrometer (Delta Plus XP; Thermo Fisher Scientific, Bremen, Germany). The percentage of N derived from 15N-labeled NO3− (%15N) was calculated from the equation: 100 × atom%excess of sample/atom%excess of labeled 15NO3− (29.7 atom%excess in this experiment). The amount of N from 15N-labeled NO3− was calculated by N content × %15N/100. The distribution of N from 15NO3− in each part was calculated based on the total N content from 15NO3−. The experiment was carried out with four biological replications.
Figure 1.
Split-root experimental setting. Three treatments were imposed, N0-N0, 15N-N0, and 15N-N5. In N0-N0 treatment, both pots contained N-free solution. In 15N-N0, and 15N-N5 treatments, the culture solution with 15N-labeled 5 mM NO3− was supplied from the pot on the left [L], and either N-free (15N-N0) or non-labeled 5 mM NO3− (15N-N5) was supplied in the pot in the right [R]. Both pots were continuously aerated. Plants were harvested at 2 days (2 DAT) and 4 days (4 DAT) of treatments. Plant parts separated at the red line.
2.2. The Effects of Split-Root Treatments on the Principal N Metabolites in Each Part of Soybean Plants
Freeze-dried plant powder was extracted with 80% ethanol containing 0.2 mM MES as an internal standard for capillary electrophoresis. The extracts were dried in vacuo and redissolved in water. Then, the concentrations of nitrate, Glu, Asp, Gln, Asn, allantoin, and allantoate were analyzed by capillary electrophoresis (7100, Agilent Technologies, Inc., Santa Clara, CA, USA) using a fused silica tube (inner diameter (id); 50 μm, 104 cm long) and a commercial buffer solution (α-AFQ109, Ohtsuka Electronics Co., Ltd., Osaka, Japan), with an applied voltage of −25 kV. Peaks detected with a signal wavelength of 400 nm and a reference wavelength of 265 nm. As half-roots in the right pot [R] and the left pot [L] were equivalent in N0-N0 and 15N5-N5 treatments, data of the concentrations for these treatments were combined (N = 8).
3. Results
3.1. 15N Translocation from the Half-Roots Supplied with 15NO3− to the Other Parts
3.1.1. N Content in Each Part of Soybean Plants
Total amount of N in plant and the N content in each part at 2 DAT and 4 DAT were compared among N0-N0, 15N5-N0, and 15N5-N5 treatments to see the effect of NO3− applications in one or both sides of half-roots (Figure 2). Total amount of N in the plant with N0-N0 was 30.1 mg N and 50.5 mg N at 2 DAT and 4 DAT, respectively. By the N0-N0 treatment, plants depended on sole nitrogen fixation, and the 20.4 mg increase of total N from 2 DAT to 4 DAT was derived from N2 fixed by the root nodules. The increase in N content of the leaves from 2 DAT to 4 DAT was about 15 mg N, and the N contents were statistically significant (p < 0.01) between 2 DAT and 4 DAT based on Student’s T-test. The N contents in the stems and basal roots tended to increase from 2 DAT to 4 DAT but were not significant. The N contents in both the upper and lower roots and nodules did not change significantly. The total amount of N in the plants with 15N5-N0 treatment was 29.5 mg N and 48.8 mg N at 2 DAT and 4 DAT, respectively. The N increase from 2 to 4 days was 19.3 mg N, almost the same as that in the N0-N0 treatment. The increase in the N content of leaves was 12 mg N, most remarkable among organs, and the N contents in the basal roots and the lower roots in contact with 15NO3− were also significantly increased from 2 DAT to 4 DAT. Total amount of N in the plants with 15N5-N5 treatment was 32.5 mg N, and 53.5 mg N, at 2DAT and 4 DAT, respectively. Total amounts in 15N5-N5 treatment were slightly higher than those of N0-N0, and 15N5-N0 treatments, although statistically not significant. In this treatment, the increase in the total N content from 2 DAT to 4 DAT was 21 mg N, almost the same as those in N0-N0 (20.4 mg N) and 15N5-N0 (19.3 mg N) treatments. The N contents in the leaves, basal roots, and lower roots were significant between 2 DAT and 4 DAT. In all treatments, the increase of N in leaves was remarkable from 2 DAT to 4 DAT because the leaves grew faster in this stage (about V4), and the N fixation activity in this stage might become higher.
Figure 2.
Nitrogen content in each part of soybean plants with after 2 and 4 days of N0-N0, 15N5-N0, and 15N5-N5 treatments. Different letters on the top of the columns indicates the significantly different in total N among treatments based on Tukey’s Test (p < 0.05). Different alphabet at the side of the column indicates the significant difference of N content in the parts among treatments. The letter omitted in the part with no significant difference among three treatments. N = (4). Average ± standard error.
3.1.2. N Content from 15N-Labeled Nitrate in Each Part of Soybean Plants
To see how much 15NO3− was absorbed and how the N derived from 15NO3− was distributed among organs from 2 to 4 DAT, the N content from 15NO3− in each part of plants with 15N5-N0 and 15N5-N5 treatments is shown in Figure 3. The total amounts of N derived from 15NO3− were 2.51 mg N at 2 DAT and 10.4 mg N at 4 DAT in 15N5-N0 treatment, while those were 3.04 mg N at 2 DAT and 8.67 mg N at 4 DAT in 15N5-N5 treatment. The amounts of N derived from 15NO3− in 15N5-N0 treatment at 4 DAT were significantly (p < 0.05) higher than that of 15N5-N5 treatment, suggesting that when N was applied only from one side of the split-roots, the N absorption might be accelerated compared with when both sides of the roots were supplied with NO3−. In both cases, 15NO3− absorption was higher during the second 2 days period from 2 DAT to 4 DAT compared with the first 2 days from 0 DAT to 2 DAT. Total amount of N from 15NO3− from 2 DAT to 4 DAT was 7.89 mg N and 5.63 mg N in 15N5-N0 and 15N5-N5 treatments, respectively. These accounted for a 40% increase in one-side NO3− supply (15N5-N0) compared with both sides supplied with NO3−(15N5-N5). About half of 15N was distributed in leaves at 4 DAT with both 15N5-N0 (6.16 mg N) and 15N5-N5 (4.79 mg N) treatments. The accumulation of labeled-N in the leaves of the plants with 15N5-N0 treatment was significantly higher than that with 15N5-N5 treatment at 4 DAT (p < 0.05). The distribution of 15N-labeled N was also high in the lower roots, which were in direct contact with 15NO3−. Those were 2.36 mg N with 15N5-N0 treatment and 1.96 mg N with 15N5-N5 treatment. At the beginning of treatments, the 15N-labeled solution contained 56 mg N of nitrate per pot, and the total N absorption from 15NO3− did not exceed 12 mg N at 4 DAT, so nitrate in the solution has not been depleted during the 4 days of 15N treatment.
Figure 3.
Nitrogen content in each part of soybean plants treated with 15NO3− after 2 and 4 days of treatment. The experimental setting is described in the legend of Figure 2. Different letters indicate a significant difference (p < 0.5) based on Tukey’s test. N = (4). Average ± SE.
The N derived from atmospheric N (Ndfa) and N derived from nitrate (Ndfn) were estimated by subtracting the amount of N derived from 15NO3− from the increase in total N from 2 DAT to 4 DAT. The Ndfa from 2 DAT to 4 DAT in 15N5-N0 treatment was 13.14 (19.30 − 6.16) mg N. While the amount of Ndfn from 15N from 2 DAT to 4 DAT in 15N5-N5 treatment was 5.63 (8.67 − 3.04) mg N from the half-root with 15NO3−, both sides of the half-roots were in the same N conditions except for labeling, so the same amount of N was absorbed from non-labeled half-roots. Therefore, a total of 11.26 mg (5.63 + 5.63) mg N should derive from both the 15N-labeled and non-labeled nitrate. The total N increase from 2 DAT to 4 DAT was 21.0 mg N, so the amount of Ndfa was 9.7 (21.0 − 11.3) mg N in the 15N5-N5 treatment. The percentage dependence on Ndfa and Ndfn was 100% Ndfa and 0% Ndfn in N0-N0 treatment, 59% Ndfa and 41% Ndfn in 15N5-N0 treatment, and 46% Ndfa and 54% Ndfn in 15N5-N5 treatment.
3.1.3. Percentage of N Derived from 15N-Labeled Nitrate in Each Part of Soybean Plants
The percentage of N derived from 15NO3− (15N%) in total N in each part of the soybean plant with split-root systems is shown in Figure 4. The 15N% of leaves, stems, and basal roots were about 8.6, 8.0, and 5.8, respectively at 2 DAT, and there were no significant differences between 15N5-N0 and 15N5-N5 treatments. However, the 15N% of these organs at 4 DAT were significantly higher in the 15N5-N0 treatment, compared with the 15N5-N5 treatment (Figure 4A–C). It is the same for the 15N% of the lower roots, upper roots, lower nodules, and upper nodules in the non-labeled pot [R] between 15N5-N0 and 15N5-N5 treatments (Figure 4D–G). On the other hand, the 15N% of the roots and nodules in the 15N-labeled pot [L] were not significantly different between 15N5-N0 and 15N5-N5 treatments at 4 DAT except for the upper roots (Figure 4H–K). These results might suggest that the half-roots supplied with N-free solution accumulated more 15N derived from the other half-roots with 5 mM 15NO3− than those with 5 mM non-labeled NO3−.
Figure 4.
Percentage of N derived from 15N-labeled 15NO3− in each part of soybean plants with 15N5-N0 and 15N5-N5 treatments. (A) Leaves, (B) Stems, (C) Basal roots, (D) Upper nodules with N0 or 14N [R], (E) Lower nodules with N0 or 14N [R], (F) Upper roots with N0 or 14N [R], (G) Lower roots with N0 or 14N [R], (H) Upper nodules with 15N [L], (I) Lower nodules with 15N [L], (J) Upper roots with 15N [L], (K) Lower roots with 15N [L]. *, and ** indicate statistical significance between 15N5-N0 and 15N5-N5 treatments at p < 0.05, and p < 0.01 levels based on the Student’s T-test. N = (4). Average ± SE.
3.1.4. Percentage Distribution of N Derived from 15N-Labeled Nitrate in Each Part of Soybean Plants
To clarify the effects of the presence or absence of NO3− in the opposite side of non-labeled pot on the distribution of 15N absorbed from one half-root, the percentage distribution of the 15N-labeled N in each organ in total 15N was compared between 15N5-N0 and 15N5-N5 treatments (Table 1). The 15N distribution was the highest in leaves at 2 DAT (ca. 46%) and 4 DAT (ca. 56%) and not significantly different between the two treatments (Table 1a). The 15N distribution in the stems was relatively constant about 10% irrespective of DAT or treatments. Those in the basal roots were 3% at 2 DAT and 4% at 4 DAT in both treatments.
Table 1.
Distribution of N derived from 15N-labeled NO3− in each part of soybean plants with split root experiment.
Table 1b shows the 15N distribution of the roots and nodules in a 15NO3− solution [L]. The 15N distribution was high at about 31% in the lower roots at 2 DAT, which were in direct contact with the 15NO3− solution. The 15N distribution in this part of roots decreased at 4 DAT by about 22%. The 15N distribution in the lower roots with the 15NO3− pot was similar between the 15N5-N0 and 15N5-N5 treatments. The 15N distribution of the upper roots in 15NO3− solution [L] was much lower than the lower roots in the same pot, suggesting that the accumulation of absorbed 15NO3− is primarily restricted in the root parts in direct contact with 15NO3− solution. Concerning the 15N distribution in the lower nodules, the percentages were much lower about 2% at 2 DAT, and 1% at 4 DAT.
The 15N distribution in the non-labeled pot [R] (Table 1c) indicates that those values were not different between the 15N5-N0 and 15N5-N5 treatments. Total distributions in the roots plus nodules in the non-labeled pot were 2.85% and 2.09% at 2 DAT and 4 DAT in 15N5-N0 treatment and 2.74% and 2.37% at 2 DAT and 4 DAT in 15N5-N5 treatment. This result suggests that the presence or absence of nitrate in the distal part of the half-roots from the 15NO3− absorption site did not markedly affect the recycling percentage of 15N from shoots to the non-labeled half-roots.
3.2. Comparisons of Principal N Metabolites in Each Part of the Plants
3.2.1. Nitrate Concentration in Each Part of Soybean Plants
To confirm NO3− can be transported from the shoot to the roots and nodules, nitrate concentration in each organ was determined (Figure 5). Nitrate was not detected in the plant parts with N0-N0 treatment where both half-roots were not supplied with NO3−, although small peaks less than 1 μmol g−1 DW were occasionally detected, possibly due to the contamination from the culture solution or environment. When both half-roots were in 5 mM NO3− solution (15N5-N5), the lower roots markedly accumulated NO3− at 2 DAT (452 μmol g−1 DW) and 4 DAT (1090 μmol g−1 DW) (Figure 5A). The nitrate concentrations in the upper roots were relatively lower than that in the lower roots. The nitrate concentration in the lower nodules that is in direct contact with 5 mM nitrate solution was not high compared with the lower roots. In the 15N5-N0 treatment, appreciable concentration of nitrate was not detected in all parts of the N-free [R] pot, i.e., upper roots, lower roots, upper nodules, and lower nodules (Figure 5B). This result indicates that the absorbed NO3− in one side of the half-roots is not translocated to the other side as it is. The lower part of the roots in the [L] pot with 15N5-N0 accumulated NO3− at 2 DAT (547 μmol g−1 DW) and 4 DAT (927 μmol g−1 DW) (Figure 5B), and these values were similar to the lower roots with 15N5-N5 treatment (Figure 5A). Nitrate concentrations in the upper roots, and upper and lower nodules in [L] pot with 15N5-N0, were almost the same as in the corresponding parts in the 15N5-N5 treatment. In addition, nitrate concentrations in leaves, stems, and basal roots were not different between the 15N5-N0 treatment and the 15N5-N5 treatment.
Figure 5.
Nitrate concentration in each part of soybean with split-root treatments. (A) 15N5-N5 treatment: The data of the roots and nodules in 15NO3− and NO3− pots are shown. (B) 15N5-N0 treatment: The data of the roots and nodules in 15NO3− and those in N-free pots are separately shown. N = (4) (A) leaves, stems, and basal roots, and (B) roots and nodules, N = (8) (A) roots and nodules. Average ± SE.
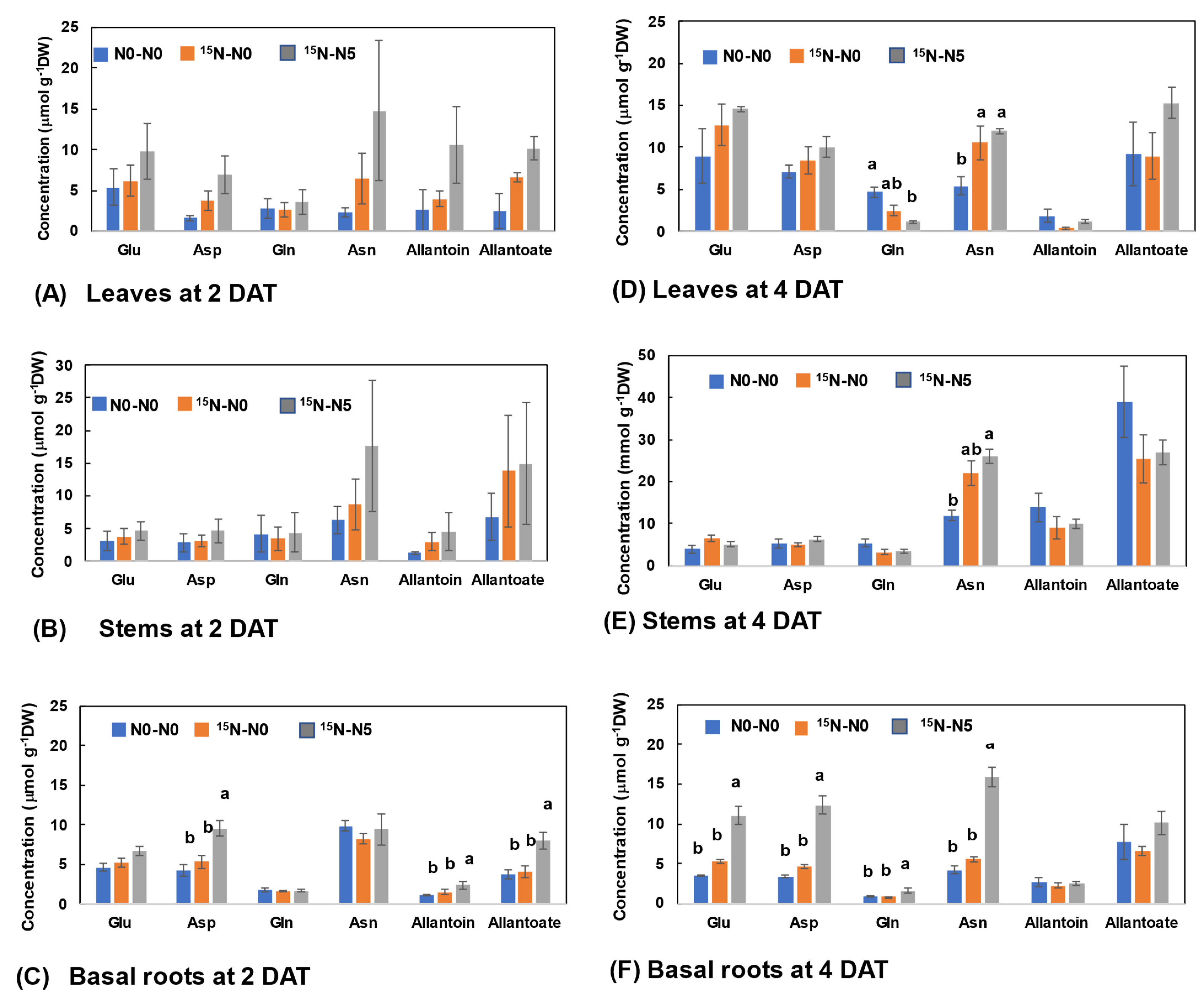
3.2.2. N Concentrations of Major N Metabolites in Leaves, Stems, and Basal Roots
The concentrations of Glu, Asp, Asn, and allantoate in the leaves tended to be high with 15N5-N5 > 15N5-N0 > N0-N0 treatment, although the concentrations of Gln and allantoin were higher in N0-N0 treatment at 4 DAT than the other treatments (Figure 6A,D). The Asn concentration in the stems was significantly higher in the 15N5-N5 than N0-N0 treatment at 4 DAT (Figure 6B,E). In the basal roots, the concentrations of Glu, Asp, Gln, and Asn were the highest in 15N5-N5, compared with the 15N5-N0, and N0-N0 treatments at 4 DAT (Figure 6C,F). The concentrations of allantoin and allantoate were not different among treatments at 4 DAT, although these were higher in the 15N5-N5 treatment at 2 DAT.
Figure 6.
Comparison of the concentrations of principal N metabolites in the leaves, stems, and basal roots of soybean plants with split root experiments with N0-N0, 15N5-N0, and 15N5-N5 treatments. (A) Leaves at 2 DAT, (B) Stems at 2 DAT, (C) Basal roots at 2 DAT, (D) Leaves at 4 DAT, (E) Stems at 4 DAT, (F) Basal roots at 4 DAT. The different letters indicate significant differences among treatments based on Tukey’s test (p < 0.05). Different letters indicate a significant difference (p < 0.5) based on Tukey’s test. N = (4). Average ± SE.
3.2.3. N Concentrations of Principal N Metabolites in the Upper and Lower Roots
The concentrations of N metabolites were compared between roots and nodules of the plants with N0-N0 treatment and 15N5-N5 treatment (Figure 7A,B and Figure 8A,B). In addition, these were compared in the single plant where one half-root was supplied with 5 mM 15NO3− and another half was supplied N-free solution (Figure 7C,D and Figure 8C,D). Figure 7A,B shows the concentrations of major N metabolites in the upper roots and the lower roots comparing N0-N0 treatment which depends on only N2 fixation, and 15N5-N5 treatment in which both sides of half-roots were supplied with 5 mM NO3−. The concentrations of Gln, Asp, and Asn significantly increased by supplying NO3− for 2 days, while the concentrations of allantoin and allantoate decreased at 4 DAT.
Figure 7.
Comparison of the concentrations of principal N metabolites in the upper roots (A) and the lower roots (B) of soybean plants with split root experiments with N0-N0 and 15N5-N5 treatments, and the concentrations of N compounds in the upper roots (C), and the lower roots (D) of soybean in which either half-root were supplied with N-free solution of 5 mM nitrate in 15N5-N0 treatment. The * and ** indicate the significant differences between N0 and N5 conditions based on Student’s T-test (p < 0.01, and 0.01 < p < 0.05). (A) N = (8), (B) N = (4). Average ± SE.
Figure 8.
Comparison of the concentrations of principal N metabolites in the upper nodules and the lower nodules of soybean plants with split root experiments with N0-N0 and 15N5-N5 treatments and the concentrations of N compounds in either half-roots supplied with N-free solution or 5 mM nitrate in 15N5-N0 treatment. (A) Upper nodules, N0-N0 vs. 15N5-N5, (B) Lower nodules, N0-N0 vs. 15N5-N5, (C) Upper nodules, 15N-N0, 15N5(L) vs. N0 (R), (D) Lower nodules, 15N-N0, 15N5(L) vs. N0 (R). (A) N = (8), (B) N = (4). Average ± SE.
Figure 7C,D shows the concentrations of major N metabolites on each side of the half-roots of the plants treated with 15N5-N0 treatment. The 15NO3− was supplied in the solution in [L] pot, and the N-free solution in [R] pot. The trends in the concentrations by 5 mM NO3− supply were similar to the upper (Figure 7A) and lower (Figure 7B) roots of both half-roots supplied with either N-free solution or the solution with 5 mM NO3−. The concentrations of Glu and Asn significantly increased in the lower roots supplied with 5 mM NO3− compared with N-free solution, whereas the concentration of allantoin decreased at 4 DAT. These results indicate that the concentrations of major N metabolites directly depended on the conditions surrounding the half-roots and were not significantly affected by the opposite half-roots whether N-free or 5 mM NO3−.
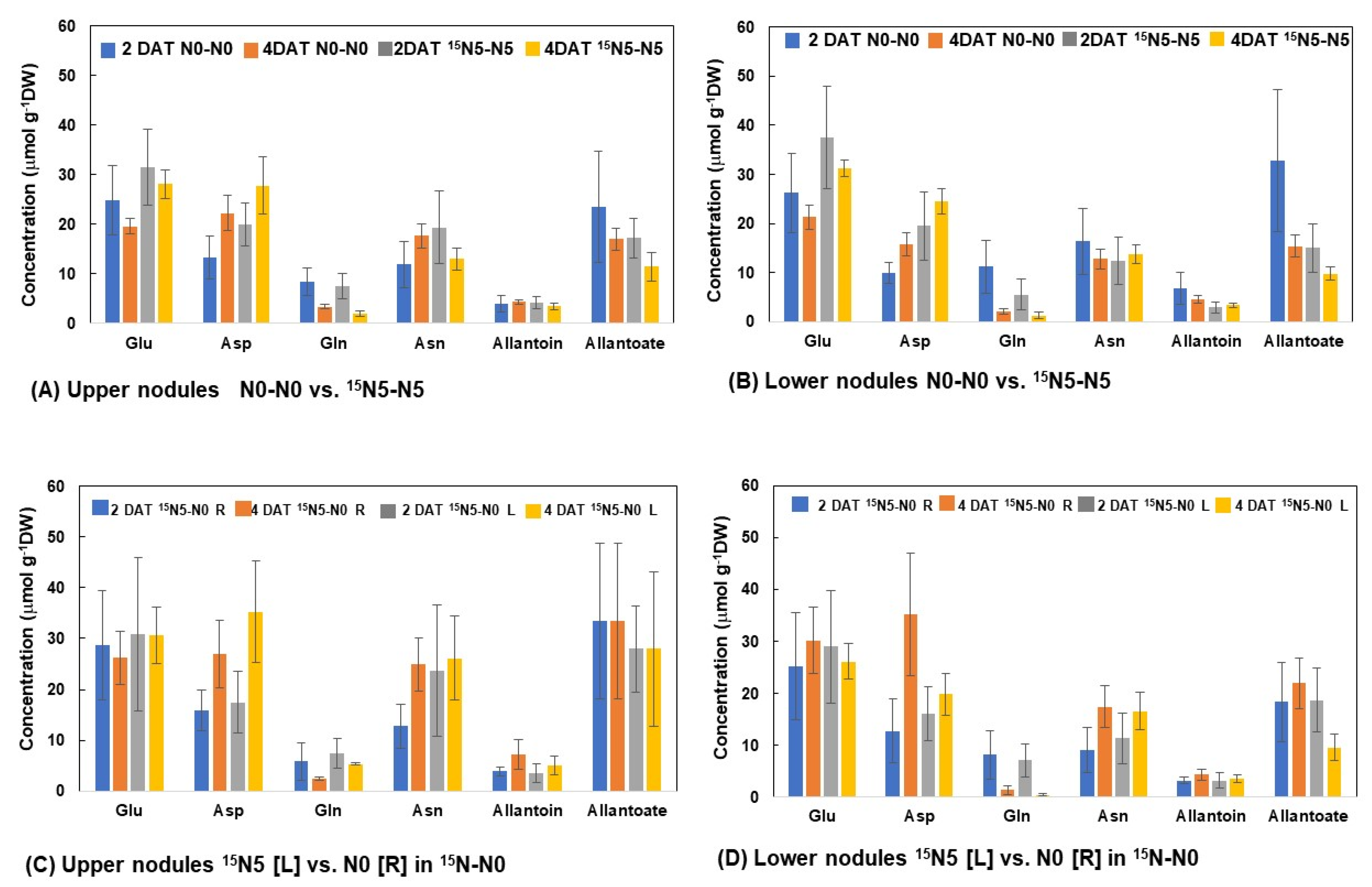
3.2.4. N Concentrations of Principal N Compounds in the Upper and Lower Nodules
Figure 8A,B shows the concentrations of principal N compounds in the upper nodules and the lower nodules comparing N0-N0 and 15N5-N5 treatments. The concentration of Glu in the nodules was 20–40 μmol g−1 DW and higher than those in the roots, which is less than 10 μmol g−1 DW, and the concentration was not affected by the treatments. The concentration of Asp tended to increase in the nodules by supplying NO3−, whereas the concentrations of allantoate decreased by NO3− supply.
Figure 8C,D shows the concentrations of principal N compounds in the upper and lower nodules attached to each side of the half-roots of a single plant treated with 15N5-N0 treatment. The concentrations and the trends by 5 mM NO3− supply were similar to the upper (Figure 8A) and lower (Figure 8B) nodules with N0-N0 and 15N5-N5 treatments, and the increase in Asn concentration at 4 DAT was remarkable only in the half-roots with 15NO3−. The concentration of allantoate tended to decrease at 4 DAT in the half-roots with 5 mM NO3− solution. These results indicate that the concentrations of principal N compounds in nodules were not affected compared with those in the roots.
4. Discussion
4.1. Changes in Total N and N Derived from 15N-Labeled Nitrate with Split-Root Systems
Soybean plants utilize the N fixed by root nodules and the N absorbed from the roots. However, the nodulation, nodule growth, and N2 fixation activity are inhibited when the nodulated roots are in direct contact with high concentrations of combined N, especially nitrate [13,14,15,16,17]. The effects of nitrate on nodule growth vary by nitrate concentrations, treatment period, placement in the medium [18,19], and legume species [20,21]. In addition, local and systemic effects of NO3− are distinguished; local (direct) effects where nitrate is supplied directly to the nodulated roots and systemic (indirect) effects where nitrate applied from the distal part of the roots [18,19]. Fijikake et al. [12,22] found that the direct effect of 5 mM nitrate on the soybean nodule growth and nitrogen fixation activity was quick and reversible in soybean plants. Nodule growth was suppressed at several hours after addition of 5 mM of nitrate [23,24]. Transcriptome and metabolome analysis after one day of 5 mM NO3− treatment supported that nitrate promotes nitrogen and carbon metabolism in the roots but repressed it in the nodules [25]. The quick and reversible inhibition of nodule growth and nitrogen fixation activity was also observed by ammonium, urea, and glutamine, although the inhibitory effects were less than nitrate [26].
In this experiment, the total amounts of N were not significantly different among N0-N0, 15N5-N0, and 15N5-N5 treatments at 2 DAT and 4 DAT, indicating that the amount of N from absorbed NO3− was almost equivalent to the decrease in the fixed N due to repression of nitrogen fixation by NO3− under this experiment conditions. Based on the total N accumulation and 15N absorption from 2 DAT to 4 DAT, the percentage dependences on Ndfa and Ndfn were estimated. The %Ndfa decreased to 59% and 46% when one half-root or both half-roots supplied with NO3−. The amount of 15N absorption was higher in the second period of 2 DAT to 4 DAT than the first period from 0 DAT to 2 DAT in both 15N-N0 and 15N-N5 treatments. These results might be due to the induction period of nitrate transporters in the roots or the accelerating growth of the plants. In all treatments, the increase of N in leaves from 2 DAT to 4 DAT was remarkable for about 3/4 of the total N increase, because the leaf growth was vigorous in this stage (about V4). In addition, N fixation activity in this stage might become increasing.
The 40% higher 15N absorption in the second 2 days from 2 DAT to 4 DAT with 15N5-N0 than that with 15N5-N5 (Figure 3) and the higher 15N% in the roots and nodules in [L] pot with N-free solution (Figure 4) might be due to the compensation of nitrate absorption due to only half-roots absorbing NO3−. Similar upregulation of NO3− absorption was reported in Brassica napus L. using split-root systems, and the uptake rates by half-roots with NO3− increased by about two-fold when the opposite side of half-root was in N-free solution within 24 h [27]. Forde [2] suggested that NO3−-fed plants can compensate for a local N limitation and maintain their N status by stimulating NO3− acquisition by roots exposed to mineral N. A short-term adaptation response may be mediated by a rapid induction of the nitrate uptake systems in these roots. High-affinity nitrate transporters involved in these responses were identified in Arabidopsis [28,29]. From the results by Laine [27], the nitrate absorption rates correlated with total N and NO3− concentrations in the shoot, but not with concentrations of each amino acid. The author suggested that total N and NO3− concentrations in the shoot may regulate the nitrate absorption rate in Brassica. Alternatively, stimulation of the NO3− absorption in the NO3− supplied half-roots with N-free solution in the opposite half-roots might be related to the promotion of the photoassimilate supply to the half-roots with 5 mM NO3− compared with the N-free solution [12]. When plant leaves were exposed to 11C-labeled CO2 to the soybean plants with split-root systems, of which one half-root was supplied with 5 mM NO3− and the opposite half-roots received an N-free solution, the translocation of 11C labeled-C in the nitrate-fed half-root was stimulated compared with N-free half-roots [12].
Although 15N absorption by the half-roots in the 15NO3− pot [L] was accelerated by N-free conditions in the opposite pot [R], the 15N distribution in the non-labeled pot [R] (Table 1c) was not significantly affected by the N conditions in the [R] pot, either N-free or 5 mM NO3−. The sum of 15N distributions in the roots plus nodules in the non-labeled pot were 2.85% and 2.09% at 2 DAT and 4 DAT in 15N5-N0 treatment, and 2.74% and 2.37% at 2 DAT and 4 DAT in 15N5-N5 treatment. In addition, the percentage distribution of 15N in leaves, stems, basal roots, and the roots and nodules of the 15N absorption site [L] were similar between 15N5-N0 and 15N5-N5 treatments. The results indicate that the different N conditions with +15N−N and +15N+N did not change the transport and recycling of 15N absorbed in the 15N absorbing half-root [L]. A similar result was reported, and the recycling of 15N supplied from one half-root of soybean Williams, and its hypernodulation mutant lines NOD1-3, NOD2-4, and NOD3-7 after 2 days of 15NO3− feedings, were about 1.5–1.7% of total 15N, and not different among Williams and the hypernodulation lines [30]. This indicates that the N recycling itself may not be involved in the autoregulation of nodulation.
4.2. Transport Pathways of Nitrate Absorbed in the Half-Roots Supplied with 15NO3− to the Shoot and the Opposite Side of Roots
The concentrations of NO3− in the lower roots in direct contact with 5 mM NO3− were the highest among plant parts after 2 and 4 DAT, and the NO3− concentrations were not affected by the opposite side of half-roots with N-free solution or non-labeled NO3−. This result indicated that nitrate accumulation in the lower roots is independent of the N conditions of the other half-roots. The lower nodules, which are also in direct contact with 5 mM NO3− accumulated less than 1/5 of the lower roots (Figure 5A,B). The NO3− absorption in nodules was reported through a nodule surface, and not transported via the xylem or phloem in the roots [31].
The NO3− accumulation in the basal roots, stems, and leaves was observed even at 2 DAT, but NO3− was not detected in the other half-roots with N-free pot in 15N5-N0 as same as N0-N0 treatment. This result clearly shows that NO3− itself did not readily recycle from leaves to the roots. Li et al. [32] reported that NO3− absorbed from the N-supply side of the roots of the dual-root system of soybean might be transported via the basal root pealed skin (via phloem) and woody part of the roots (via xylem). The discrepancy between our results and theirs may be the split-root system by cutting a primary root or the dual-root system made by grafting two seedlings. Most of the recycled N from the shoot may be transported through the phloem. [33].
4.3. Changes in Amides, Amino Acids, and Ureides in Each Part of the Plants with Split-Root Systems
Phloem-borne amino acids have been prominent candidates for the role of shoot-derived signal for feedback regulation of NO3 uptake [34,35]. Rapid cycling of amino acids between the shoot and the root may occur, so the changes in the N status in the shoot will rapidly reflect the delivery rate of amino acids to the roots [36,37]. However, contrary to the requirements of this model, N deficiency can sometimes lead to an increase rather than a decline in amino acid cycling [38]. Furthermore, split-root studies on mung bean (Ricinus communis) found no correlation between NO3− uptake rate and the amino acid content of the phloem [39].
There are many hypotheses for the causes of nitrate inhibition of nodulation and nitrogen fixation, carbohydrate deprivation in nodules, feedback inhibition by a product of nitrate metabolism such as asparagine or ureides (allantoate and allantoin) [31,32,40,41], and the decrease in oxygen diffusion into the nodules which restricts the respiration of bacteroid, a symbiotic state of rhizobia in nodules [36,42,43,44]. The concentrations of Asn in the lower roots supplied with 5 mM nitrate at 4 DAT were significantly higher at 35 μmol g−1 DW in 15N5-N5 treatment than those in N0-N0 treatment about 13 μmol g−1 DW (Figure 6B). The same was true for the half-roots with 15N5 [L] pot at 35 μmol g−1 DW and N0 [R] pot at 15 μmol g−1 DW (Figure 6D). These results indicate that some part of nitrate absorbed by the half-roots in direct contact with 5 mM NO3− was assimilated there, and the metabolite Asn accumulated. The stimulation of Asn accumulation in the opposite side of N-free roots was not observed, so the acceleration of Asn transport from the 15NO3−-fed half-roots via shoot to the N-free roots did not occur in these experimental conditions. The changes in the concentrations of N compounds in nodules were not apparent either in the +N or −N site (Figure 7), suggesting that NO3− absorption by root nodules from culture solution is much less than that from the roots.
5. Conclusions
Characteristics of absorption, transport, and recycling of nitrogen investigated using split-root systems of nodulated soybean plants, supplying 15NO3− to one half-root, and another half-root with N-free solution or non-labeled nitrate. A high accumulation of nitrate was detected in the roots part in direct contact with 5 mM NO3−, but nitrate was absent in the roots and nodules in the N-free pot, suggesting that nitrate itself did not recycle as it was from the shoot to the roots. The 15NO3− absorption in the half-roots with N-free solutions in opposite half-roots was 40% accelerated from 2 to 4 days of nitrate treatment, compared with those with non-labeled NO3−. The recycling percentages of 15N in the roots plus nodules in the opposite N-free and non-labeled NO3− half-root were the same at 2–3%. The concentrations of amino acids, especially Asn, increased in the half-roots in direct contact with NO3− as well as basal roots, stems, and leaves but Asn did not accumulate in the opposite half-roots with N-free solution.
Author Contributions
Conceptualization, T.O.; methodology, T.O., A.S., T.S. and T.S.; software, T.O., T.S. and K.H.; validation, T.O., A.S. and K.H.; formal analysis, M.D.; investigation, T.O.; data curation, T.O.; writing—original draft preparation, T.O.; writing—review and editing, T.O.; visualization, T.O.; supervision, T.O.; project administration, T.O. All authors have read and agreed to the published version of the manuscript.
Funding
This research received no external funding.
Data Availability Statement
The data presented in this study are available on request from the corresponding author.
Conflicts of Interest
The authors declare no conflict of interest.
References
- Baslam, M.; Mitsui, T.; Sueyoshi, K.; Ohyama, T. Recent advances in carbon and nitrogen metabolism in C3 plants. Int. J. Mol. Sci. 2021, 22, 318. [Google Scholar] [CrossRef]
- Forde, B.G. Local and long-range signaling pathways regulating plant responses to nitrate. Annu. Rev. Plant Biol. 2002, 53, 203–224. [Google Scholar] [CrossRef] [PubMed]
- Miller, A.J.; Fan, X.R.; Orsel, M.; Smith, S.J.; Wells, D.M. Nitrate transport and signaling. J. Exp. Bot. 2007, 58, 2297–2306. [Google Scholar] [CrossRef] [PubMed]
- Crawford, N.M.; Kahn, M.L.; Leustek, T.; Long, S.R. Nitrogen and sulfur. In Biochemistry and Molecular Biology of Plants; Buchanan, B., Gruissem, W., Jones, R., Eds.; American Society of Plant Physiologist: Rockville, MD, USA, 2000; pp. 786–849. [Google Scholar]
- Oghoghorie, C.G.O.; Pate, J.S. Exploration of the nitrogen transport system of a nodulated legume using 15N. Planta 1972, 104, 35–49. [Google Scholar] [CrossRef] [PubMed]
- Tanaka, A.; Fujita, K.; Terasawa, H. Growth and dinitrogen fixation of soybean root system affected by partial exposure to nitrate. Soil Sci. Plant Nutr. 1985, 31, 637–645. [Google Scholar] [CrossRef]
- Cho, M.-J.; Harper, J.E. Effect of localized nitrate application on isoflavonoid concentration and nodulation in split-root systems of wild-type and nodulation-mutant soybean plants. Plant Physiol. 1991, 95, 1106–1112. [Google Scholar] [CrossRef] [PubMed]
- Carroll, B.J.; Gresshoff, P.M. Nitrate Inhibition of Nodulation and Nitrogen Fixation in White Clover. Z. Pflanzenphysiol. 1983, 110, 77–88. [Google Scholar] [CrossRef]
- Arnone, J.A.; Kohls, S.J.; Baker, D.D. Nitrate effects on nodulation and nitrogenase activity of actinorhizal Casuarina studied in split-root systems. Soil Biol. Biochem. 1994, 26, 599–606. [Google Scholar] [CrossRef]
- Jeudy, C.; Ruffel, S.; Freixes, S.; Tillard, P.; Santoni, A.L.; Morel, S.; Journet, E.-P.; Duc, G.; Gojon, A.; Lepetit, M.; et al. Adaptation of Medicago truncatula to nitrogen limitation is modulated via local and systemic nodule developmental responses. New Phytol. 2009, 185, 817–828. [Google Scholar] [CrossRef]
- Daimon, H.; Yoshioka, M. Responses of Root Nodule Formation and Nitrogen Fixation Activity to Nitrate in a Split-Root System in Peanut (Arachis hypogaea L.). J. Agron. Crop Sci. 2008, 187, 89–95. [Google Scholar] [CrossRef]
- Fujikake, H.; Yamazaki, A.; Ohtake, N.; Sueyoshi, K.; Matsuhashi, S.; Ito, T.; Mizuniwa, C.; Kume, T.; Hashimoto, S.; Ishioka, N.S.; et al. Quick and reversible inhibition of soybean root nodule growth by nitrate involves a decrease in sucrose supply to nodules. J. Exp. Bot. 2003, 54, 1379–1388. [Google Scholar] [CrossRef] [PubMed]
- Gibson, A.H.; Harper, J.E. Nitrate effect on nodulation of soybean by Bradyrhizobium japonicum. Crop Sci. 1985, 25, 497–501. [Google Scholar] [CrossRef]
- Harper, J.E. Nitrogen metabolism. In Soybeans: Improvement, Production, and Uses, 2nd ed.; Wilcox, J.R., Ed.; Agronomy Monograph no.16; American Society of Agronomy: Madison, WI, USA, 1987; pp. 497–533. [Google Scholar]
- Streeter, J. Inhibition of legume nodule formation and N2 fixation by nitrate. CRC Crit. Rev. Plant Sci. 1988, 7, 1–23. [Google Scholar] [CrossRef]
- Imsande, J. Inhibition of nodule development in soybean by nitrate or reduced nitrogen. J. Exp. Bot. 1986, 37, 348–355. [Google Scholar] [CrossRef]
- Ohyama, T.; Fujikake, H.; Yashima, H.; Tanabata, S.; Ishikawa, S.; Sato, T.; Nishiwaki, T.; Ohtake, N.; Sueyoshi, K.; Ishii, S.; et al. Effect of Nitrate on Nodulation and Nitrogen Fixation of soybean. In Soybean Physiology and Biology; El-Shemy, H.A., Ed.; InTech: Rijeka, Croatia, 2012; pp. 333–364. [Google Scholar] [CrossRef]
- Yashima, H.; Fujikake, H.; Sato, T.; Ohtake, N.; Sueyoshi, K.; Ohyama, T. Systemic and local effects of long-term application of nitrate on nodule growth and N2 fixation in soybean (Glycine max [L.] Merr.). Soil Sci. Plant Nutr. 2003, 49, 825–834. [Google Scholar] [CrossRef]
- Yashima, H.; Fujikake, H.; Yamazaki, A.; Ito, S.; Sato, T.; Tewari, K.; Ohtake, N.; Sueyoshi, K.; Takahashi, Y.; Ohyama, T. Long-term effect of nitrate application from lower part of roots on nodulation and N2 fixation in upper part of roots of soybean (Glycine max (L.) Merr.) in two-layered pot experiment. Soil Sci. Plant Nutr. 2005, 51, 981–990. [Google Scholar] [CrossRef]
- Harper, J.E.; Gibson, A.H. Differential nodulation tolerance to nitrate among legume species. Crop Sci. 1984, 24, 797–801. [Google Scholar] [CrossRef]
- Davidson, I.A.; Robson, M.J. Effect of contrasting patterns of nitrate application on the nitrate uptake, N2-fixation, nodulation and growth of white clover. Ann. Bot. 1986, 57, 331–338. [Google Scholar] [CrossRef]
- Fujikake, H.; Yashima, H.; Sato, T.; Norikuni, O.; Sueyoshi, K.; Ohyama, T. Rapid and reversible nitrate inhibition of nodule growth and N2 fixation activity in soybean (Glycine max (L.) Merr.). Soil Sci. Plant Nutr. 2002, 48, 211–217. [Google Scholar] [CrossRef]
- Saito, A.; Tanabata, S.; Tanabata, T.; Tajima, S.; Ueno, M.; Ishikawa, S.; Ohtake, N.; Sueyoshi, K.; Ohyama, T. Effect of nitrate on nodule and root growth of soybean (Glycine max (L.) Merr.). Int. J. Mol. Sci. 2014, 15, 4464–4480. [Google Scholar] [CrossRef]
- Tanabata, S.; Tanabata, T.; Saito, A.; Tajima, S.; Watanabe, S.; Ishikawa, K.; Ohtake, N.; Sueyoshi, K.; Ohyama, T. Computational image analysis method for measuring size of nodule growth in soybean. Jpn. J. Soil Sci. Plant Nutr. 2014, 85, 43–47. [Google Scholar]
- Ishikawa, S.; Ono, Y.; Ohtake, N.; Sueyoshi, K.; Tanabata, S.; Ohyama, T. Transcriptome and metabolome analysis reveal that nitrate strongly promotes nitrogen and carbon metabolism in soybean roots, but tend to repress it in nodules. Plants 2018, 7, 32. [Google Scholar] [CrossRef] [PubMed]
- Yamashita, N.; Tanabata, S.; Ohtake, N.; Sueyoshi, K.; Sato, T.; Higuchi, K.; Saito, A.; Ohyama, T. Effects of Different Chemical Forms of Nitrogen on the Quick and Reversible Inhibition of Soybean Nodule Growth and Nitrogen Fixation Activity. Front. Plant Sci. 2019, 10, 131. [Google Scholar] [CrossRef]
- Laine, P.; Ourry, A.; Boucaud, J. Shoot control of nitrate uptake rates by roots of Brassica napus L.: Effects of localized nitrate supply. Planta 1995, 196, 77–83. [Google Scholar] [CrossRef]
- Cerezo, M.; Tillard, P.; Filleur, S.; Munos, S.; Daniel-Vedele, F.; Gojon, A. Alterations of the regulation of root NO3− uptake are associated with the mutationof Nrt2.1 and Nrt2.2 genes in Arabidopsis. Plant Physiol. 2001, 127, 262–271. [Google Scholar] [CrossRef] [PubMed]
- Filleur, S.; Dorbe, M.F.; Cerezo, M.; Orsel, M.; Granier, F.; Gojon, A.; Daniel-Vedele, F. An Arabidopsis T-DNA mutant affected in Nrt2 genes is impaired in nitrate uptake. FEBS Lett. 2001, 489, 220–224. [Google Scholar] [CrossRef] [PubMed]
- Ohyama, T.; Ueno, M.; Ono, Y.; Ohtake, N.; Sueyoshi, K.; Sato, T.; Tanabata, S. Recycling of nitrogen from shoots to underground parts in hypernodulation mutant lines of soybean by split-root experiment. Bull. Facul. Agric. Niigata Univ. 2017, 70, 1–8. [Google Scholar]
- Mizukoshi, K.; Nishiwaki, T.; Ohtake, N.; Minagawa, R.; Ikarashi, T.; Ohyama, T. Nitrate transport pathway into soybean nodules traced by tungstate and 15NO3−. Soil Sci. Plant Nutr. 1995, 41, 75–88. [Google Scholar] [CrossRef]
- Li, S.; Xiao, F.; Yang, D.; Lyu, X.; Ma, C.; Dong, S.; Yan, C.; Gong, Z. Nitrate transport and distribution in soybean plants with dual-root systems. Front. Plant Sci. 2021, 12, 661054. [Google Scholar] [CrossRef]
- Ohyama, T.; Kawai, S. Nitrogen assimilation and transport in soybean leaves: Investigation by petiole girdling treatment. Soil Sci. Plant Nutr. 1983, 29, 227–231. [Google Scholar] [CrossRef]
- Cooper, H.D.; Clarkson, D.T. Cycling of amino nitrogen and other nutrients between shoots and roots in cereals: A possible mechanism integrating shoot and root in the regulation of nutrient uptake. J. Exp. Bot. 1989, 40, 753–762. [Google Scholar] [CrossRef]
- Imsande, J.; Touraine, B. N demand and the regulation of nitrate uptake. Plant Physiol. 1994, 105, 3–7. [Google Scholar] [CrossRef] [PubMed]
- Schuller, K.A.; Minchin, F.R.; Gresshoff, P.M. Nitrogenase activity and oxygen diffusion in nodules of soybean cv. Bragg and a supernodulating mutant: Effects of nitrate. J. Exp. Bot. 1988, 39, 865–877. [Google Scholar] [CrossRef]
- Vidal, E.A.; Araus, V.; Lu, C.; Parry, G.; Green, P.J.; Coruzzi, G.M.; Gutiérrez, R.A. Nitrate-responsivemiR393/AFB3 regulatory module controls root system architecture in Arabidopsis thaliana. Proc. Natl. Acad. Sci. USA 2010, 107, 4477–4482. [Google Scholar] [CrossRef] [PubMed]
- Peuke, A.D.; Hartung, W.; Jeschke, W.D. The uptake and flow of C, N and ions between roots and shoots in Ricinus communis L. II. Grown with low or high nitrate supply. J. Exp. Bot. 1994, 45, 733–740. [Google Scholar] [CrossRef]
- Tillard, P.; Passama, L.; Gojon, A. Are phloem amino acids involved in the shoot to root control of NO3−-uptake in Ricinus communis plants? J. Exp. Bot. 1998, 49, 1371–1379. [Google Scholar] [CrossRef]
- Serraj, R.; Vadez, V.; Denison, R.F.; Sinclair, T.R. Involvement of ureides in nitrogen fixation inhibition in soybean. Plant Physiol. 1999, 119, 289–296. [Google Scholar] [CrossRef]
- Vadez, V.; Sinclair, T.R.; Serraj, R. Asparagine and ureide accumulation in nodules and shoots as feedback inhibitors of N2 fixation in soybean. Physiol. Plant. 2000, 110, 215–223. [Google Scholar] [CrossRef]
- Vessey, J.K.; Walsh, K.B.; Layzell, D.B. Can a limitation in phloem supply to nodules account for the inhibitory effect of nitrate on nitrogenase activity? Physiol. Plant. 1988, 74, 137–146. [Google Scholar] [CrossRef]
- Gordon, A.J.; Skøt, L.; James, C.L.; Minchin, F.R. Short-term metabolic responses of soybean root nodules to nitrate. J. Exp. Bot. 2002, 53, 423–428. [Google Scholar] [CrossRef]
- Gogorcena, Y.; Gordon, A.J.; Escuredo, P.R.; Minchin, F.R.; Witty, J.F.; Moran, J.F.; Becana, M. N2 fixation, carbon metabolism, and oxidative damage in nodules of dark-stressed common bean plants. Plant Physiol. 1997, 113, 1193–1201. [Google Scholar] [CrossRef] [PubMed]
Publisher’s Note: MDPI stays neutral with regard to jurisdictional claims in published maps and institutional affiliations. |
© 2022 by the authors. Licensee MDPI, Basel, Switzerland. This article is an open access article distributed under the terms and conditions of the Creative Commons Attribution (CC BY) license (https://creativecommons.org/licenses/by/4.0/).







