Hyers–Ulam Stability Analysis of Nonlinear Volterra–Fredholm Integro-Differential Equation with Caputo Derivative
Abstract
1. Introduction
- There is a lack of sufficient research on the analysis of Hyers-Ulam stability, which has created a gap in the existing literature. The main focus of this study is to analyze the Hyers–Ulam stability of the fractional-order Volterra–Fredholm integro-differential equation.
- Utilizing Banach and Krasnoselskii’s fixed-point techniques, the existence and uniqueness of solutions for the integro-differential equation are established and the Hyers–Ulam stability is derived with the Caputo fractional derivative.
- A numerical example is provided to showcase the practical effectiveness of the theoretical findings, demonstrating how the results can be applied in real-world scenarios.
- In addition, two numerical applications are presented to further illustrate the practical implementation of the numerical findings, highlighting their relevance and utility in solving actual problems.
2. Preliminaries
- ;
- is continuous on η and is a relatively compact subset of X;
- is a contraction on i.e., there exists such that for every .
Hypotheses
- :
- We let . We suppose is a continuous function and there exists a positive constant and such thatfor every and . We let be the continuous functions on P with values in Banach spaces X.
- :
- There exist non-negative constants and n such thatand .
- :
- We let ; then is a closed, convex and bounded subset in . We consider .
3. Existence and Uniqueness of Solutions
4. Hyers–Ulam Stability
- ;
- .
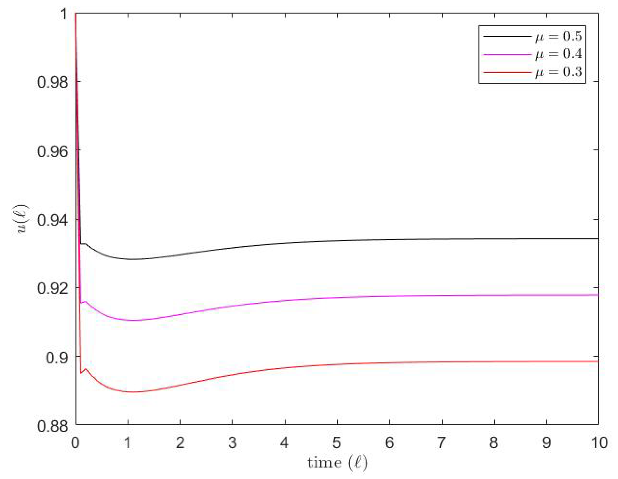
5. Numerical Example
Application
- From Equation (6), we observe that and One can see that function g is continuous on . Also, function g satisfying the following inequality with and for ,
- Next, we consider the following inequality to check the Hyers–Ulam stability for any
- Hence, the initial value Problem (6) is Hyers–Ulam stable.
- From Equation (7), we notice that and Function g is continuous on interval . Furthermore, function g satisfying the following inequality with and for ,
- Next, we consider the following inequality to verify the Hyers–Ulam stability for any
- Hence, the initial value Problem (7) is Hyers–Ulam stable.
6. Conclutions
Author Contributions
Funding
Data Availability Statement
Acknowledgments
Conflicts of Interest
References
- Podlubny, I. Fractional Differential Equations: An Introduction to Fractional Derivatives, Fractional Differential Equations, to Methods of Their Solution and Some of Their Applications; Academic Press: San Diego, CA, USA, 1999; pp. 1–340. [Google Scholar]
- Ross, B. A brief history and exposition of the fundamental theory of fractional calculus. In Fractional Calculus and Its Applications: Proceedings of the International Conference Held at the University of New Haven; Springer: Berlin/Heidelberg, Germany, 2006; pp. 1–36. [Google Scholar]
- Burrage, K.; Burrage, P.M.; Bueno-Orovio, A. Fractional models in biology and medicine. In Fractional Dispersive Models and Applications; Springer: Cham, Switzerland, 2024; pp. 31–52. [Google Scholar]
- Chen, Q.; Sabir, Z.; Raja, M.A.Z.; Gao, W.; Baskonus, H.M. A fractional study based on the economic and environmental mathematical model. Alex. Eng. J. 2023, 65, 761–770. [Google Scholar] [CrossRef]
- Saif, A.; Fareh, R.; Sinan, S.; Bettayeb, M. Fractional synergetic tracking control for robot manipulator. J. Control Decis. 2024, 11, 139–152. [Google Scholar] [CrossRef]
- Kamdem, T.C.; Richard, K.G.; Bèda, T. Modeling the mechanical behavior of rock during plastic flow using fractional calculus theory. Appl. Math. Model. 2024, 130, 790–805. [Google Scholar] [CrossRef]
- Gao, R.; Li, D.; Li, Y.; Yin, Y. An energy-stable variable-step L1 scheme for time-fractional Navier–Stokes equations. Phys. Nonlinear Phenom. 2024, 467, 134264. [Google Scholar] [CrossRef]
- Li, D.; Zhang, J.; Zhang, Z. Unconditionally optimal error estimates of a linearized Galerkin method for nonlinear time fractional 316 reaction—Subdiffusion equations. J. Sci. Comput. 2018, 76, 848–866. [Google Scholar] [CrossRef]
- Volterra, V. Theory of functionals and of integral and integro-differential equations; Dover Publications: New York, NY, USA, 1959. [Google Scholar]
- Volterra, V. The general equations of biological strife in the case of historical actions. Proc. Edinb. Math. Soc. 1939, 6, 4–10. [Google Scholar] [CrossRef]
- Sun, J.P.; Fang, L.; Zhao, Y.H.; Ding, Q. Existence and uniqueness of solutions for multi-order fractional differential equations with integral boundary conditions. Bound. Value Probl. 2024, 2024, 5. [Google Scholar] [CrossRef]
- Alam, M.; Zada, A.; Abdeljawad, T. Stability analysis of an implicit fractional integro-differential equation via integral boundary conditions. Alex. Eng. J. 2024, 87, 501–514. [Google Scholar] [CrossRef]
- Yüzbaşi, Ş. Fractional Bell collocation method for solving linear fractional integro-differential equations. Math. Sci. 2024, 18, 29–40. [Google Scholar] [CrossRef]
- Rahimkhani, P.; Ordokhani, Y. Hahn wavelets collocation method combined with Laplace transform method for solving fractional integro-differential equations. Math. Sci. 2024, 18, 463–477. [Google Scholar] [CrossRef]
- Xu, Y.; Suat Ertürk, V. A finite difference technique for solving variable-order fractional integro-differential equations. Bull. Iran. Math. Soc. 2014, 40, 699–712. [Google Scholar]
- Alikhanov, A.A.; Asl, M.S.; Li, D. A novel explicit fast numerical scheme for the Cauchy problem for integro-differential equations with a difference kernel and its application. Comput. Math. Appl. 2024, 175, 330–344. [Google Scholar] [CrossRef]
- Alam, K.H.; Rohen, Y. Convergence of a refined iterative method and its application to fractional Volterra-Fredholm integro-differential equations. Comput. Appl. Math. 2025, 44, 2. [Google Scholar] [CrossRef]
- Amirali, I.; Fedakar, B.; Amiraliyev, G.M. Second-order numerical method for a neutral Volterra integro-differential equation. J. Comput. Appl. Math. 2025, 453, 116160. [Google Scholar] [CrossRef]
- Ulam, S.M. Problems in Modern Mathematics; John Wiley & Sons: New York, NY, USA, 1964. [Google Scholar]
- Hyers, D.H. On the stability of the linear functional equation. Proc. Natl. Acad. Sci. USA 1941, 27, 222–224. [Google Scholar] [CrossRef]
- Mahdi, N.K.; Khudair, A.R. Linear fractional dynamic equations: Hyers-Ulam stability analysis on time scale. Results Control Optim. 2024, 14, 100347. [Google Scholar] [CrossRef]
- Gokulvijay, G.; Sabarinathan, S. Investigating integrodifferential equations associated with fractal-fractional differential operators. Phys. Fluids 2024, 36, 057126. [Google Scholar] [CrossRef]
- Sivashankar, M.; Sabarinathan, S.; Nisar, K.S.; Ravichandran, C.; Kumar, B.V.S. Stability, numerical simulations, and applications of Helmholtz-Duffing fractional differential equations. Chaos Solitons Fractals 2024, 12, 100106. [Google Scholar] [CrossRef]
- Gunasekar, T.; Raghavendran, P.; Santra, S.S.; Sajid, M. Analyzing existence, uniqueness, and stability of neutral fractional Volterra-Fredholm integro-differential equations. J. Math. Comput. Sci. 2024, 33, 390–407. [Google Scholar] [CrossRef]
- Gunasekar, T.; Raghavendran, P.; Santra, S.S.; Sajid, M. Existence and controllability results for neutral fractional Volterra-Fredholm integro-differential equations. J. Math. Comput. Sci. 2024, 34, 361–380. [Google Scholar] [CrossRef]
- Jothimani, K.; Kaliraj, K.; Hammouch, Z.; Ravichandran, C. New results on controllability in the framework of fractional integrodifferential equations with nondense domain. Eur. Phys. J. Plus 2019, 134, 441. [Google Scholar] [CrossRef]
- Wu, J.; Liu, Y. Existence and uniqueness of solutions for the fractional integro-diferential equations in Banach spaces. Electron. J. Differ. Equ. 2009, 2009, 1–8. [Google Scholar] [CrossRef][Green Version]
- Vu, H.; Hoa, N.V. Hyers-Ulam stability of fractional integro-differential equation with a positive constant coefficient involving the generalized Caputo fractional derivative. Filomat 2022, 36, 6299–6316. [Google Scholar] [CrossRef]
- Hamoud, A.A.; Abdo, M.S.; Ghadle, K.P. Existence and uniqueness results for Caputo fractional integro-differential equations. J. Korean Soc. Ind. Appl. Math. 2018, 22, 163–177. [Google Scholar]
- Zhou, Y. Basic Theory of Fractional Differential Equations; World Scientific: Singapore, 2023. [Google Scholar]
- Çakan, Ü.; Özdemir, Í. An application of Krasnoselskii fixed point theorem to some nonlinear functional integral equations. NevsEhir Bilim Teknol. Derg. 2014, 3, 66–73. [Google Scholar] [CrossRef]
- Ravichandran, C.; Logeswari, K.; Jarad, F. New results on existence in the framework of Atangana-Baleanu derivative for fractional integro-differential equations. Chaos Solitons Fractals 2019, 125, 194–200. [Google Scholar] [CrossRef]

Disclaimer/Publisher’s Note: The statements, opinions and data contained in all publications are solely those of the individual author(s) and contributor(s) and not of MDPI and/or the editor(s). MDPI and/or the editor(s) disclaim responsibility for any injury to people or property resulting from any ideas, methods, instructions or products referred to in the content. |
© 2025 by the authors. Licensee MDPI, Basel, Switzerland. This article is an open access article distributed under the terms and conditions of the Creative Commons Attribution (CC BY) license (https://creativecommons.org/licenses/by/4.0/).
Share and Cite
Gokulvijay, G.; Boulaaras, S.; Sabarinathan, S. Hyers–Ulam Stability Analysis of Nonlinear Volterra–Fredholm Integro-Differential Equation with Caputo Derivative. Fractal Fract. 2025, 9, 66. https://doi.org/10.3390/fractalfract9020066
Gokulvijay G, Boulaaras S, Sabarinathan S. Hyers–Ulam Stability Analysis of Nonlinear Volterra–Fredholm Integro-Differential Equation with Caputo Derivative. Fractal and Fractional. 2025; 9(2):66. https://doi.org/10.3390/fractalfract9020066
Chicago/Turabian StyleGokulvijay, Govindaswamy, Salah Boulaaras, and Sriramulu Sabarinathan. 2025. "Hyers–Ulam Stability Analysis of Nonlinear Volterra–Fredholm Integro-Differential Equation with Caputo Derivative" Fractal and Fractional 9, no. 2: 66. https://doi.org/10.3390/fractalfract9020066
APA StyleGokulvijay, G., Boulaaras, S., & Sabarinathan, S. (2025). Hyers–Ulam Stability Analysis of Nonlinear Volterra–Fredholm Integro-Differential Equation with Caputo Derivative. Fractal and Fractional, 9(2), 66. https://doi.org/10.3390/fractalfract9020066

