Existence, Stability and Sensitivity Analysis of Lyme Disease Using Caputo Fractional Dynamical Systems
Abstract
1. Introduction
2. Model Formulation for Lyme Disease
2.1. Parameters
| Parameter | Description |
| Recruitment rates (humans, ticks, mice) | |
| Transmission rates (human–tick, tick–mouse, mouse–tick) | |
| Natural death rates | |
| Progression rate from exposed to infected (humans) | |
| Recovery rate (humans) | |
| Disease-induced mortality (humans) |
2.2. System of Fractional Differential Equations
2.3. Compartmental Representation
2.4. Why Fractional Derivatives?
3. Qualitative Properties of the Solution
3.1. Positivity and Boundedness of the Solution
3.2. Existence and Uniqueness of the Solution
4. Local Stability and Existence of Equilibrium Points
4.1. Disease-Free Equilibrium (DFE) for the Lyme Disease Model
The Basic Reproduction Number
4.2. The Endemic Equilibrium for the Lyme Disease Model
5. Sensitivity Analysis of the Basic Reproduction Number
6. Sensitivity Ranking and Public Health Implications
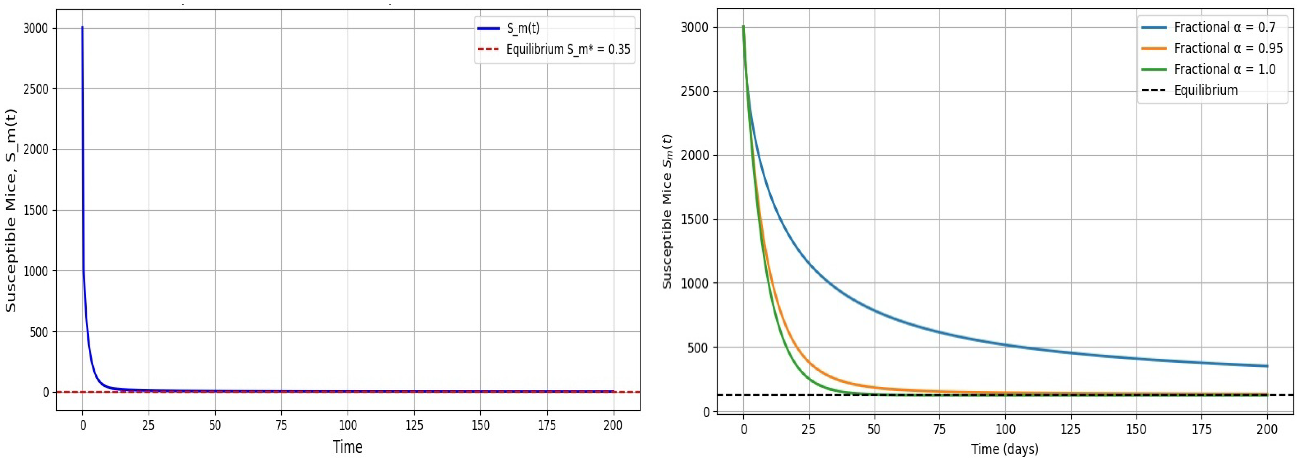
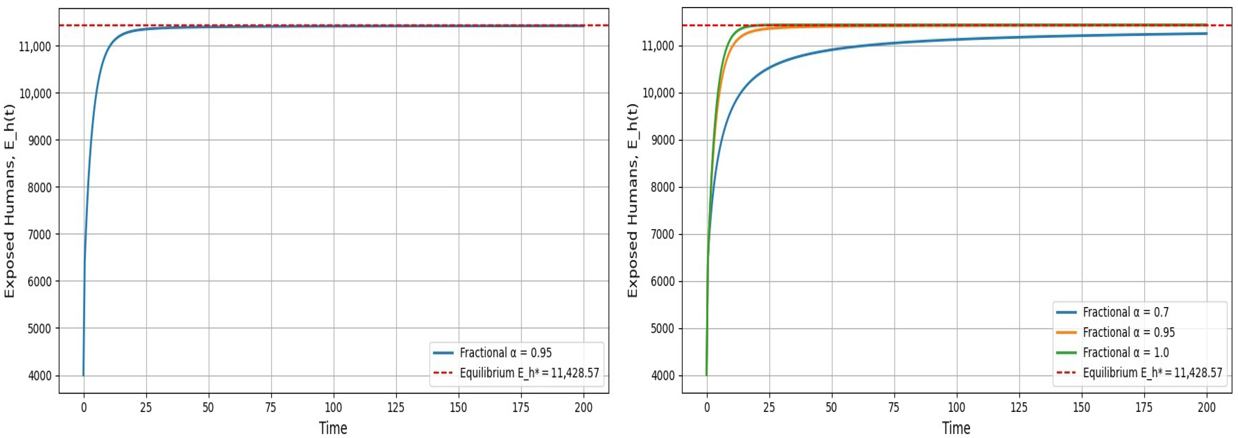
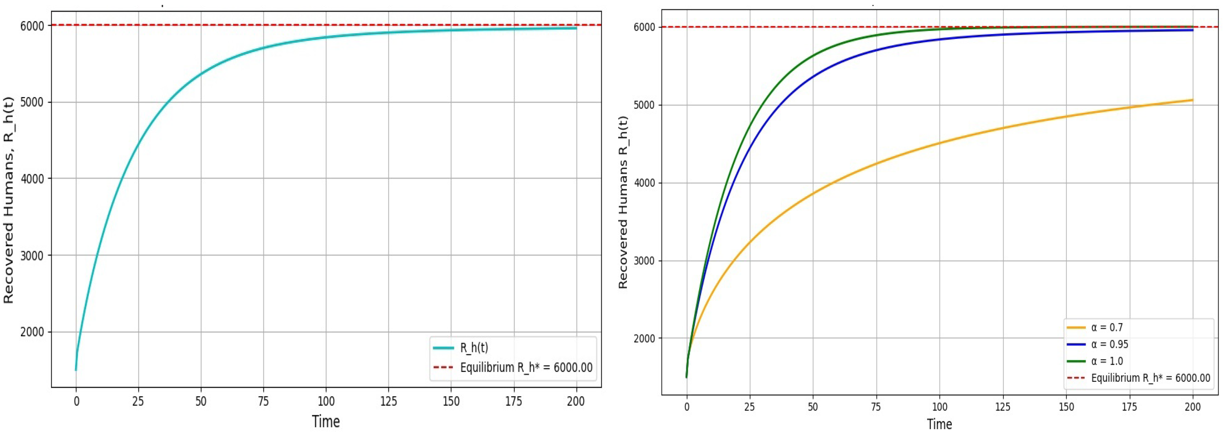
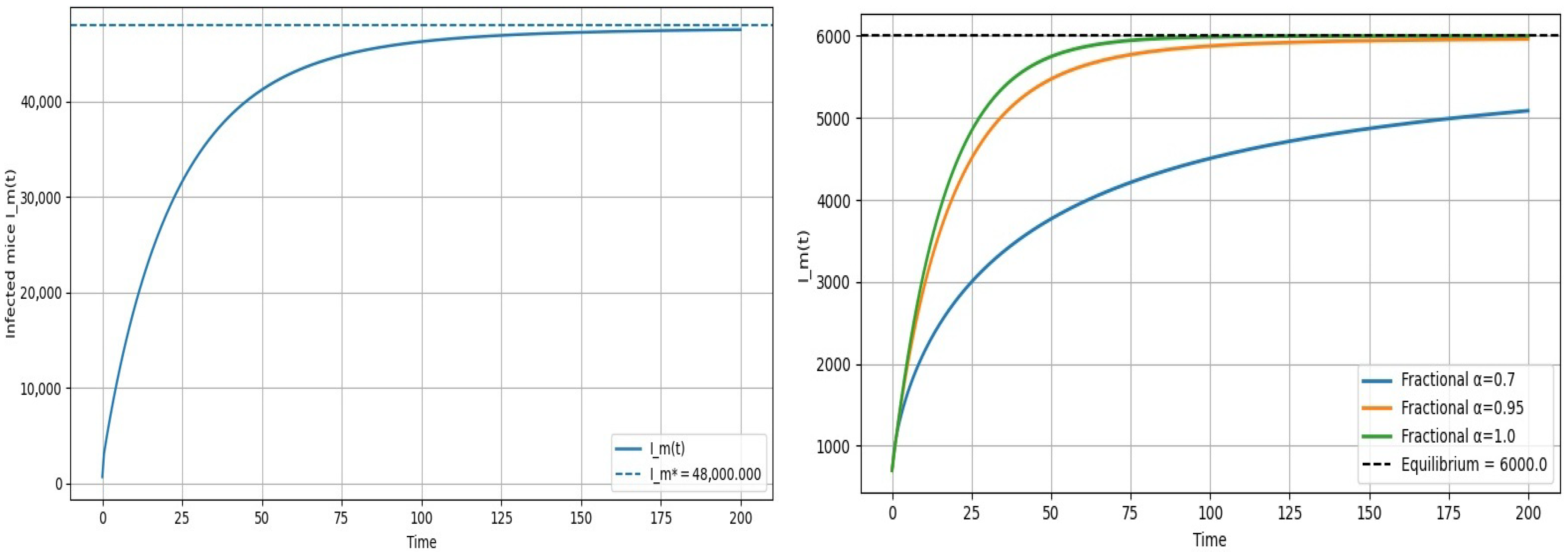
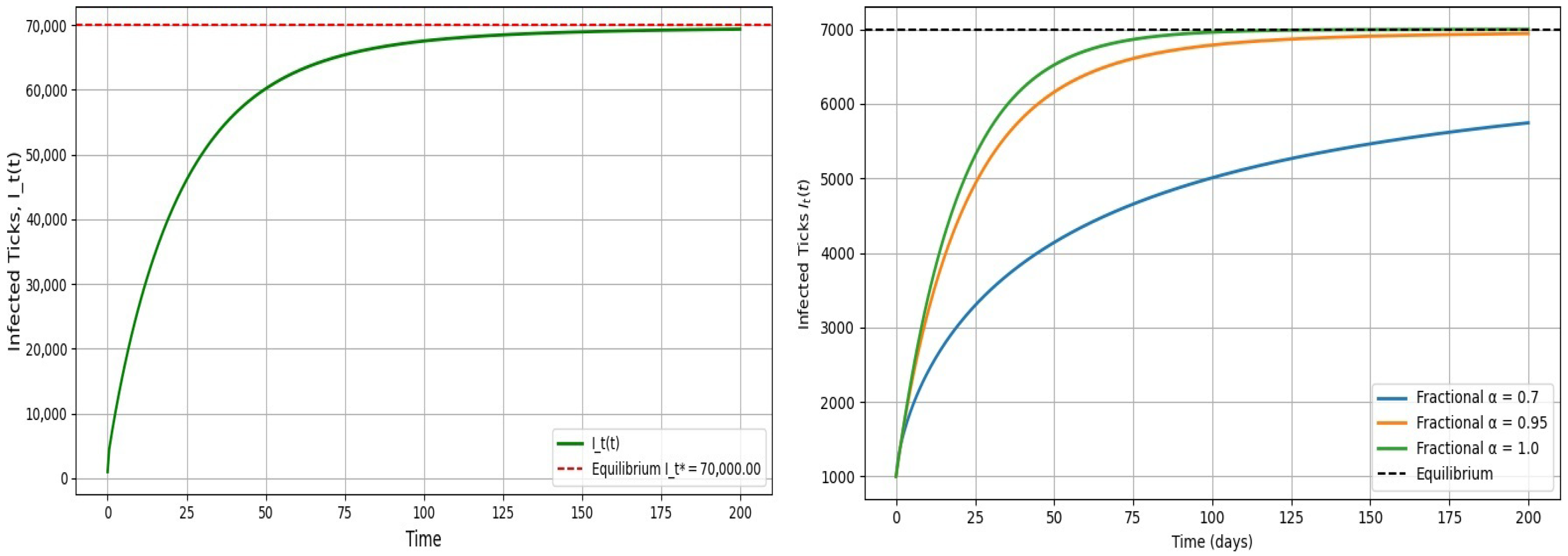
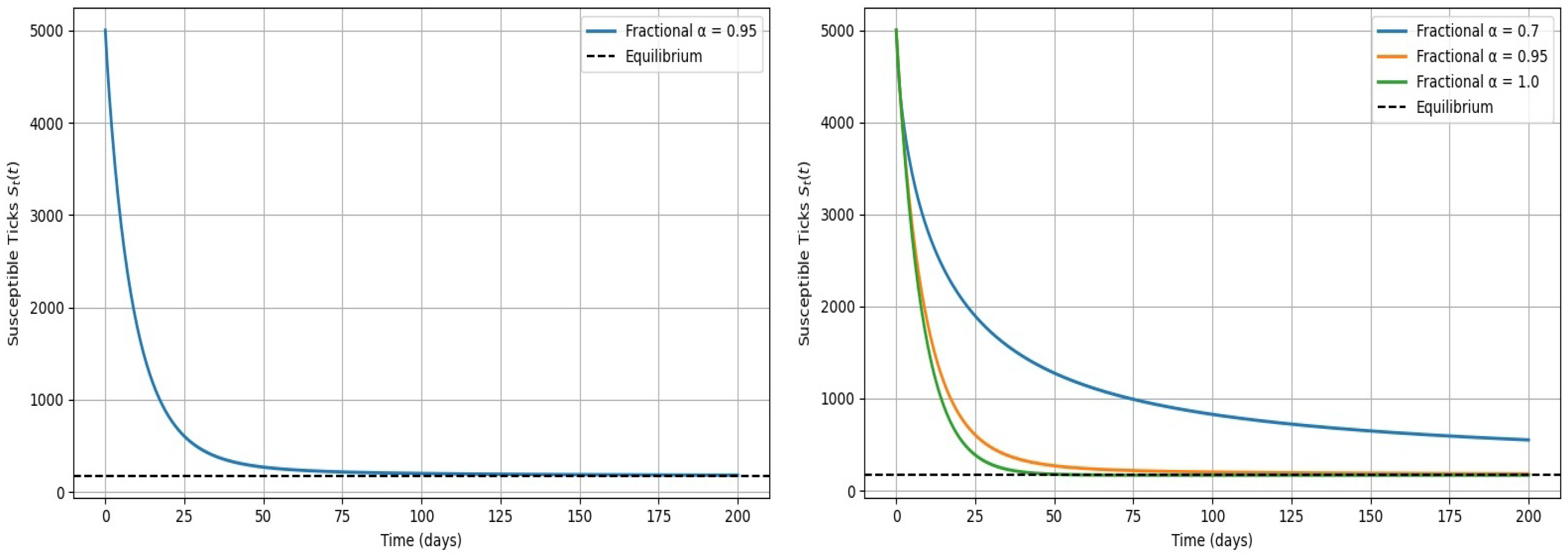
7. Numerical Simulations
| Parameter | Range | Source | Note |
| 0.000034–0.000039 | [25] | 70–80 year life span | |
| 0.083–0.167 | [23] | 6–12 days in incubation | |
| 0.01–0.3 | [26] | 3–10 days antibiotic treatment | |
| 0.001–0.01 | [24] | Very low mortality | |
| 0.005–0.02 | [24] | 50–200 day life span | |
| 0.1–0.8 | [27] | per day | |
| 0.01–0.05 | [3] | Mouse mortality (20–100 day life span) | |
| 0.3–0.9 | [3] | per day | |
| 0.001–0.5 | [28] | per day | |
| 0.01–0.5 | [28] | per day | |
| 0.01–0.5 | [28] | per day |
8. Conclusions
Author Contributions
Funding
Data Availability Statement
Acknowledgments
Conflicts of Interest
References
- World Health Organization. A Global Brief on Vector-Borne Diseases; WHO/DCO/WHD/2014.1; World Health Organization: Geneva, Switzerland, 2014. [Google Scholar]
- Burgdorfer, W.; Barbour, A.G.; Hayes, S.F.; Benach, J.L.; Grunwaldt, E.; Davis, J.P. Lyme disease—A tick-borne spirochetosis? Science 1982, 216, 1317–1319. [Google Scholar] [CrossRef] [PubMed]
- Bingham-Byrne, R.M.; Ozdenerol, E. Multi-Scale Analysis of Lyme Disease Ecology. Rheumato 2024, 4, 88–119. [Google Scholar] [CrossRef]
- Ostfeld, R.S.; Keesing, F. The ecology of infectious diseases: An homage to multi-factor perspectives. Therya 2022, 13, 39–44. [Google Scholar] [CrossRef]
- Centers for Disease Control and Prevention. How Many People Get Lyme Disease; Centers for Disease Control and Prevention: Atlanta, GA, USA, 2015.
- Ogden, N.H.; Maarouf, A.; Barker, I.K.; Bigras-Poulin, M.; Lindsay, L.R.; Morshed, M.G.; Thompson, R.A. Climate change and the potential for range expansion of the Lyme disease vector Ixodes scapularis in Canada. Int. J. Parasitol. 2006, 36, 63–70. [Google Scholar] [CrossRef]
- Levi, T.; Keesing, F.; Oggenfuss, K.; Ostfeld, R.S. Accelerated phenology of blacklegged ticks under climate change. Philos. Trans. R. Soc. B Biol. Sci. 2015, 370, 20130555. [Google Scholar] [CrossRef]
- Hetmaniok, E.; Pleszczyński, M.; Khan, Y. Solving the integral differential equations with delayed argument by using the DTM method. Sensors 2022, 22, 4124. [Google Scholar] [CrossRef]
- Brociek, R.; Goik, M.; Miarka, J.; Pleszczyński, M.; Napoli, C. Solution of inverse problem for diffusion equation with fractional derivatives using metaheuristic optimization algorithm. Informatica 2024, 35, 453–481. [Google Scholar] [CrossRef]
- Anderson, R.M.; May, R.M. Infectious Diseases of Humans: Dynamics and Control; Oxford University Press: Oxford, UK, 1992. [Google Scholar]
- Koutantou, M.; Drancourt, M.; Angelakis, E. Prevalence of Lyme disease and relapsing fever Borrelia spp. in vectors, animals, and humans within a one health approach in Mediterranean countries. Pathogens 2024, 13, 512. [Google Scholar] [CrossRef]
- Porco, T.C. A Mathematical Model of the Ecology of Lyme Disease. IMA J. Math. Appl. Med. Biol. 1999, 16, 361–376. [Google Scholar] [CrossRef]
- Diethelm, K. The Analysis of Fractional Differential Equations; Springer Science & Business Media: Berlin/Heidelberg, Germany, 2010. [Google Scholar]
- Abbas, A.; Azam, A.; Mehmood, N.; Ali, F. Existence of Solutions to Fractional Differential Inclusions with Non-Separated and Multipoint Boundary Constraints. Fractal Fract. 2025, 9, 577. [Google Scholar] [CrossRef]
- Area, I.; Batarfi, H.; Losada, J.; Nieto, J.J.; Shammakh, W.; Torres, A. On a fractional order Ebola epidemic model. Adv. Differ. Equ. 2015, 2015, 278. [Google Scholar] [CrossRef]
- Kumar, S.; Kumar, A. A fractional model of Lyme disease. Int. J. Appl. Comput. Math. 2020, 6, 1–19. [Google Scholar]
- Wang, X.; Zhao, X.Q. A tick-borne disease model with seasonal transitions. Bull. Math. Biol. 2020, 82, 1–32. [Google Scholar]
- Abbas, A.; Mehmood, N.; De la Sen, M.; Al-Rawashdeh, A. Mathematical analysis of dynamical systems involving Atangana–Baleanu piecewise derivative. Alex. Eng. J. 2025, 120, 438–448. [Google Scholar] [CrossRef]
- Kilbas, A.A.; Srivastava, H.M.; Trujillo, J.J. Theory and Applications of Fractional Differential Equations; Elsevier: Amsterdam, The Netherlands, 2006; Volume 204. [Google Scholar]
- Kilbas, A.A.; Saigo, M.; Saxena, R.K. Generalized Mittag-Leffler function and generalized fractional calculus operators. Integral Transform. Spec. Funct. 2004, 15, 31–49. [Google Scholar] [CrossRef]
- Sanchez-Ortiz, J.; Lopez-Cresencio, O.U.; Arciga-Alejandre, M.P.; Ariza-Hernandez, F.J. A Random Riemann–Liouville Integral Operator. Mathematics 2025, 13, 2524. [Google Scholar] [CrossRef]
- Ahmed, E.; El-Sayed, A.M.; El-Saka, H.A. On some Routh-Hurwitz conditions for fractional order differential equations and their applications in Lorenz, Rössler, Chua and Chen systems. Phys. Lett. A 2006, 358, 1–4. [Google Scholar] [CrossRef]
- Aucott, J.N.; Crowder, L.A.; Kortte, K.B. Development of a foundation for a case definition of post-treatment Lyme disease syndrome. Int. J. Infect. Dis. 2013, 17, 443–449. [Google Scholar] [CrossRef] [PubMed]
- Chitnis, N.; Hyman, J.M.; Cushing, J.M. Determining important parameters in the spread of malaria through the sensitivity analysis of a mathematical model. Bull. Math. Biol. 2008, 70, 1272–1296. [Google Scholar] [CrossRef] [PubMed]
- Ostfeld, R.S.; Canham, C.D.; Oggenfuss, K.; Winchcombe, R.J.; Keesing, F. Climate, deer, rodents, and acorns as determinants of variation in Lyme-disease risk. PLoS Biol. 2006, 4, 145. [Google Scholar] [CrossRef]
- Ginsberg, H.S.; Hickling, G.J.; Burke, R.L.; Ogden, N.H.; Beati, L.; LeBrun, R.A.; Arsnoe, I.M.; Gerhold, R.; Han, S.; Jackson, K.; et al. Why Lyme disease is common in the northern US, but rare in the south: The roles of host choice, host-seeking behavior, and tick density. PLoS Biol. 2021, 19, 3001066. [Google Scholar] [CrossRef] [PubMed]
- Ogden, N.H.; Bigras-Poulin, M.; O’callaghan, C.J.; Barker, I.K.; Lindsay, L.R.; Maarouf, A.; Smoyer-Tomic, K.E.; Waltner-Toews, D.; Charron, D. A dynamic population model to investigate effects of climate on geographic range and seasonality of the tick Ixodes scapularis. Int. J. Parasitol. 2005, 35, 375–389. [Google Scholar] [CrossRef] [PubMed]
- Davidson, A.; Davis, J.; Brestrich, G.; Moisi, J.C.; Jodar, L.; Stark, J.H. Lyme Borreliosis Incidence Across Europe, 2015–2023: A Surveillance-Based Review and Analysis. Vector-Borne Zoonotic Dis. 2025, 25, 569–579. [Google Scholar] [CrossRef] [PubMed]












Disclaimer/Publisher’s Note: The statements, opinions and data contained in all publications are solely those of the individual author(s) and contributor(s) and not of MDPI and/or the editor(s). MDPI and/or the editor(s) disclaim responsibility for any injury to people or property resulting from any ideas, methods, instructions or products referred to in the content. |
© 2025 by the authors. Licensee MDPI, Basel, Switzerland. This article is an open access article distributed under the terms and conditions of the Creative Commons Attribution (CC BY) license (https://creativecommons.org/licenses/by/4.0/).
Share and Cite
Ullah, K.; Mehmood, N.; Al-Mazrooei, A.E.; Ahmad, J. Existence, Stability and Sensitivity Analysis of Lyme Disease Using Caputo Fractional Dynamical Systems. Fractal Fract. 2025, 9, 796. https://doi.org/10.3390/fractalfract9120796
Ullah K, Mehmood N, Al-Mazrooei AE, Ahmad J. Existence, Stability and Sensitivity Analysis of Lyme Disease Using Caputo Fractional Dynamical Systems. Fractal and Fractional. 2025; 9(12):796. https://doi.org/10.3390/fractalfract9120796
Chicago/Turabian StyleUllah, Kashif, Nayyar Mehmood, Abdullah Eqal Al-Mazrooei, and Jamshaid Ahmad. 2025. "Existence, Stability and Sensitivity Analysis of Lyme Disease Using Caputo Fractional Dynamical Systems" Fractal and Fractional 9, no. 12: 796. https://doi.org/10.3390/fractalfract9120796
APA StyleUllah, K., Mehmood, N., Al-Mazrooei, A. E., & Ahmad, J. (2025). Existence, Stability and Sensitivity Analysis of Lyme Disease Using Caputo Fractional Dynamical Systems. Fractal and Fractional, 9(12), 796. https://doi.org/10.3390/fractalfract9120796

