Analytical and Numerical Analysis of a Memory-Dependent Fractional Model for Behavioral Learning Dynamics
Abstract
1. Introduction
- denotes the Caputo fractional derivative of order , which captures memory effects over extended periods;
- represents the behavioral response (e.g., cumulative shocks or response intensity) measured during the experiment;
- is a time-dependent sensitivity parameter controlling the strength of past experiences;
- describes the animal’s behavioral adaptation or reaction to prior stimuli;
- determines how past responses at time influence current behavior at time t.
2. Preliminaries
- 1.
- , for all ;
- 2.
- is continuous and compact;
- 3.
- is a contraction operator.
3. Analytical Investigation
- (A1)
- The sensitivity function is continuous and bounded. Hence, it is uniformly continuous on and satisfies
- (A2)
- The nonlinear function is globally Lipschitz-continuous with constant ; that is,Consequently, f is continuous and bounded on every bounded subset of .
- (A3)
- The memory kernel is continuous on the compact setand measurable in both variables. Therefore, it is bounded, and there exists a constant such that
- (i)
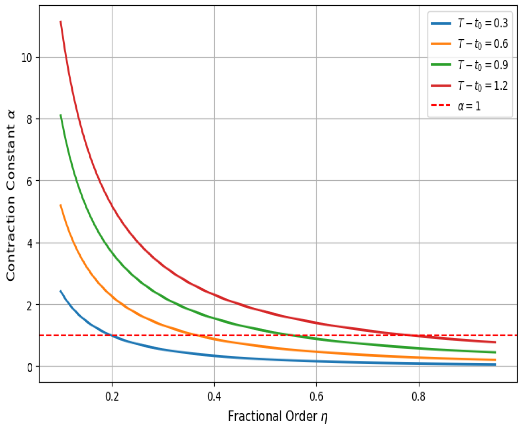
- If the parameters satisfyi.e., if either the interval length is sufficiently small or the product is suitably bounded, then is a strict contraction on .
- (ii)
- By Banach’s fixed-point theorem, admits a unique fixed point satisfying .
- (iii)
- (H1)
- The operator is continuous and compact on .
- (H2)
- The operator is a contraction on , i.e., there exists a constant such that
- (H3)
- There exists such that for all .
4. Stability Analysis
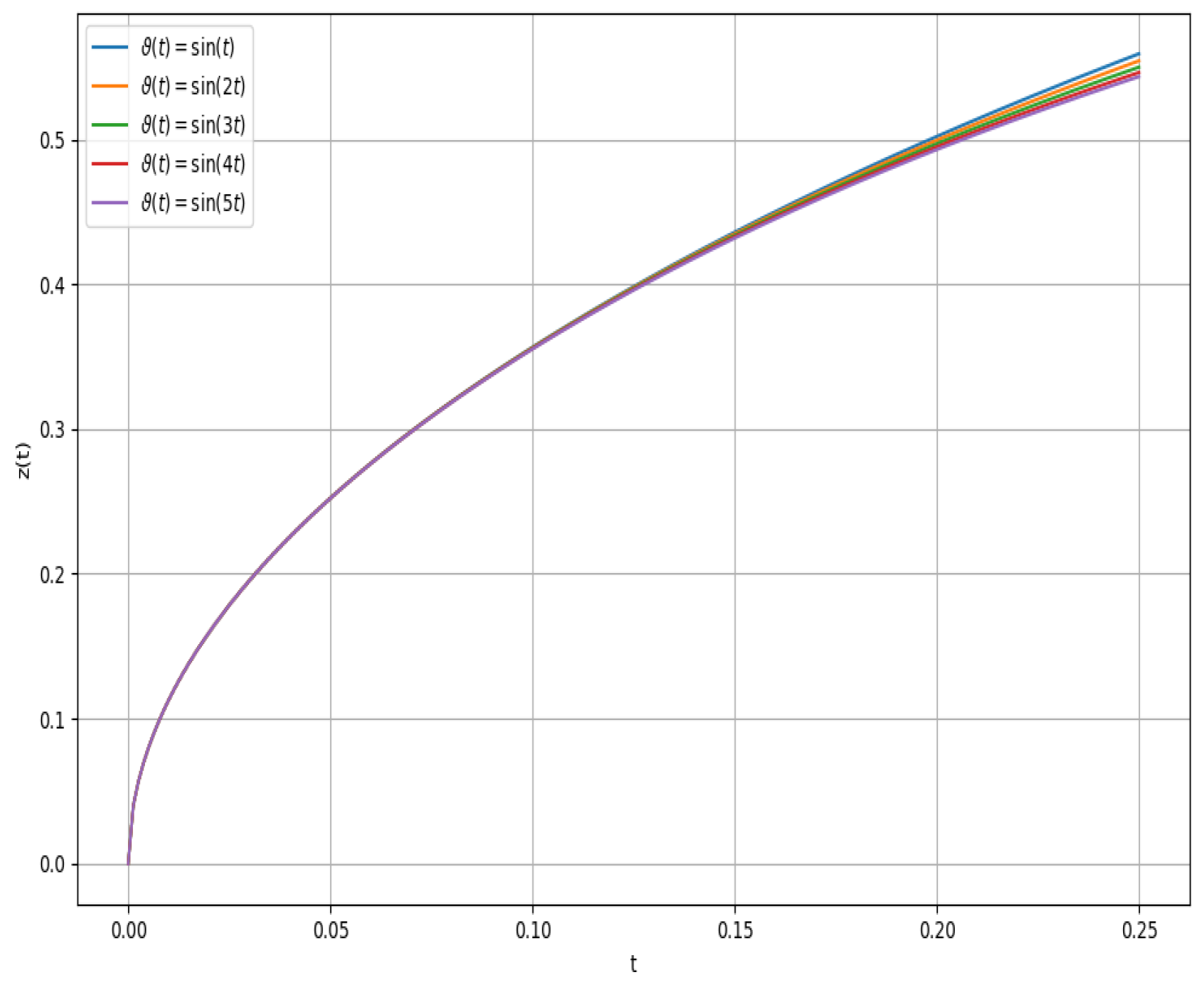
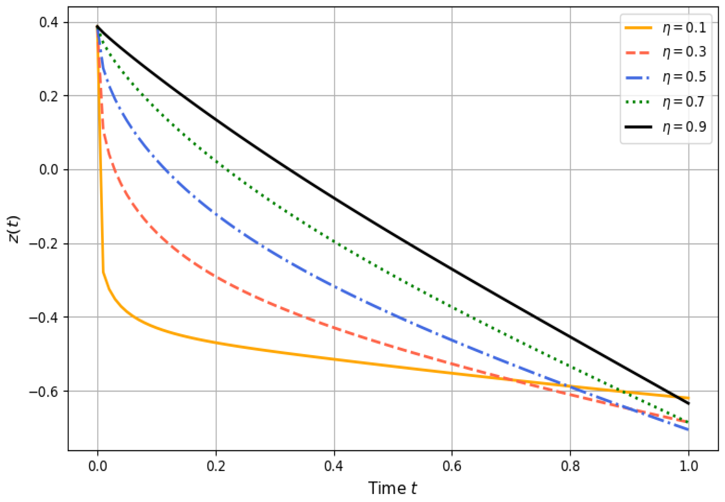
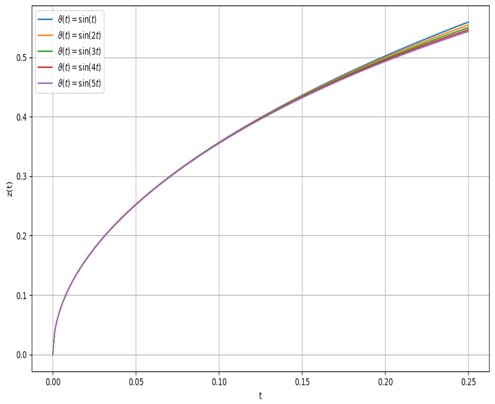
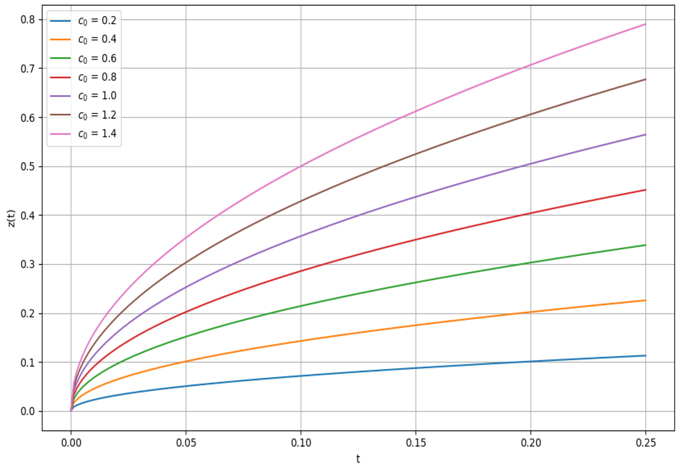
5. Parameter Sensitivity Analysis
6. Application to Behavioral Despair and Learned Helplessness
7. Conclusions and Open Problems
Author Contributions
Funding
Data Availability Statement
Conflicts of Interest
References
- Linot, A.J.; Burby, J.W.; Tang, Q.; Balaprakash, P.; Graham, M.D.; Maulik, R. Stabilized neural ordinary differential equations for long-time forecasting of dynamical systems. J. Comput. Phys. 2023, 474, 111838. [Google Scholar] [CrossRef]
- Turab, A.; Montoyo, A.; Nescolarde-Selva, J.A. Stability and numerical solutions for second-order ordinary differential equations with application in mechanical systems. J. Appl. Math. Comput. 2024, 70, 5103–5128. [Google Scholar] [CrossRef]
- Whitby, M.; Cardelli, L.; Kwiatkowska, M.; Laurenti, L.; Tribastone, M.; Tschaikowski, M. PID control of biochemical reaction networks. IEEE Trans. Autom. Control 2021, 67, 1023–1030. [Google Scholar] [CrossRef]
- Fröhlich, F.; Sorger, P.K. Fides: Reliable trust-region optimization for parameter estimation of ordinary differential equation models. PLoS Comput. Biol. 2022, 18, e1010322. [Google Scholar] [CrossRef]
- Turab, A.; Sintunavarat, W. A unique solution of the iterative boundary value problem for a second-order differential equation approached by fixed point results. Alex. Eng. J. 2021, 60, 5797–5802. [Google Scholar] [CrossRef]
- Brady, J.P.; Marmasse, C. Analysis of a simple avoidance situation: I. Experimental paradigm. Psychol. Rec. 1962, 12, 361. [Google Scholar] [CrossRef]
- Turab, A.; Montoyo, A.; Nescolarde-Selva, J.-A. Computational and analytical analysis of integral-differential equations for modeling avoidance learning behavior. J. Appl. Math. Comput. 2024, 70, 4423–4439. [Google Scholar] [CrossRef]
- Turab, A.; Nescolarde-Selva, J.A.; Ali, W.; Montoyo, A.; Tiang, J.J. Computational and Parameter-Sensitivity Analysis of Dual-Order Memory-Driven Fractional Differential Equations with an Application to Animal Learning. Fractal Fract. 2025, 9, 664. [Google Scholar] [CrossRef]
- Marmasse, C.; Brady, J.P. Analysis of a simple avoidance situation. II. A model. Bull. Math. Biophys. 1964, 26, 77–81. [Google Scholar] [CrossRef]
- Radvansky, G.A.; Doolen, A.C.; Pettijohn, K.A.; Ritchey, M. A new look at memory retention and forgetting. J. Exp. Psychol. Learn. Mem. Cogn. 2022, 48, 1698. [Google Scholar] [CrossRef]
- Arena, G.; Mulder, J.; Leenders, R.T.A. How fast do we forget our past social interactions? Understanding memory retention with parametric decays in relational event models. Netw. Sci. 2023, 11, 267–294. [Google Scholar] [CrossRef]
- Ginn, T.; Schreyer, L. Compartment models with memory. SIAM Rev. 2023, 65, 774–805. [Google Scholar] [CrossRef]
- Guo, J.; Albeshri, A.A.; Sanchez, Y.G. Psychological Memory Forgetting Model Using Linear Differential Equation Analysis. Fractals 2022, 30, 2240080. [Google Scholar] [CrossRef]
- Boško, D.; Pradip, D. Trends in Fixed Point Theory and Fractional Calculus. Axioms 2025, 14, 660. [Google Scholar] [CrossRef]
- Shah, K.; Arfan, M.; Ullah, A.; Al-Mdallal, Q.; Ansari, K.J.; Abdeljawad, T. Computational study on the dynamics of fractional order differential equations with applications. Chaos Solitons Fractals 2022, 157, 111955. [Google Scholar] [CrossRef]
- Hai, X.; Yu, Y.; Xu, C.; Ren, G. Stability analysis of fractional differential equations with the short-term memory property. Fract. Calc. Appl. Anal. 2022, 25, 962–994. [Google Scholar] [CrossRef]
- Ghosh, U.; Pal, S.; Banerjee, M. Memory effect on Bazykin’s prey-predator model: Stability and bifurcation analysis. Chaos Solitons Fractals 2021, 143, 110531. [Google Scholar] [CrossRef]
- Agarwal, P.; Singh, R.; ul Rehman, A. Numerical solution of hybrid mathematical model of dengue transmission with relapse and memory via Adam–Bashforth–Moulton predictor-corrector scheme. Chaos Solitons Fractals 2021, 143, 110564. [Google Scholar] [CrossRef]
- Hariz Belgacem, K.; Jiménez, F.; Ober-Blöbaum, S. Fractional Variational Integrators Based on Convolution Quadrature. J. Nonlinear Sci. 2025, 35, 38. [Google Scholar] [CrossRef]
- Almeida, R. A Caputo fractional derivative of a function with respect to another function. Commun. Nonlinear Sci. Numer. Simul. 2017, 44, 460–481. [Google Scholar] [CrossRef]
- Banach, S. Sur les opérations dans les ensembles abstraits et leur application aux équations intégrales. Fundam. Math. 1922, 3, 133–181. [Google Scholar] [CrossRef]
- Burton, T.A. A fixed-point theorem of Krasnoselskii. Appl. Math. Lett. 1998, 11, 85–88. [Google Scholar] [CrossRef]
- Vu, H.; Rassias, J.M.; Hoa, N.V. Hyers–Ulam stability for boundary value problem of fractional differential equations with κ-Caputo fractional derivative. Math. Methods Appl. Sci. 2023, 46, 438–460. [Google Scholar] [CrossRef]
- Wang, X.; Luo, D.; Zhu, Q. Ulam-Hyers stability of caputo type fuzzy fractional differential equations with time-delays. Chaos Solitons Fractals 2022, 156, 111822. [Google Scholar] [CrossRef]
- Matar, M.M.; Samei, M.E.; Etemad, S.; Amara, A.; Rezapour, S.; Alzabut, J. Stability analysis and existence criteria with numerical illustrations to fractional jerk differential system involving generalized Caputo derivative. Qual. Theory Dyn. Syst. 2024, 23, 111. [Google Scholar] [CrossRef]

























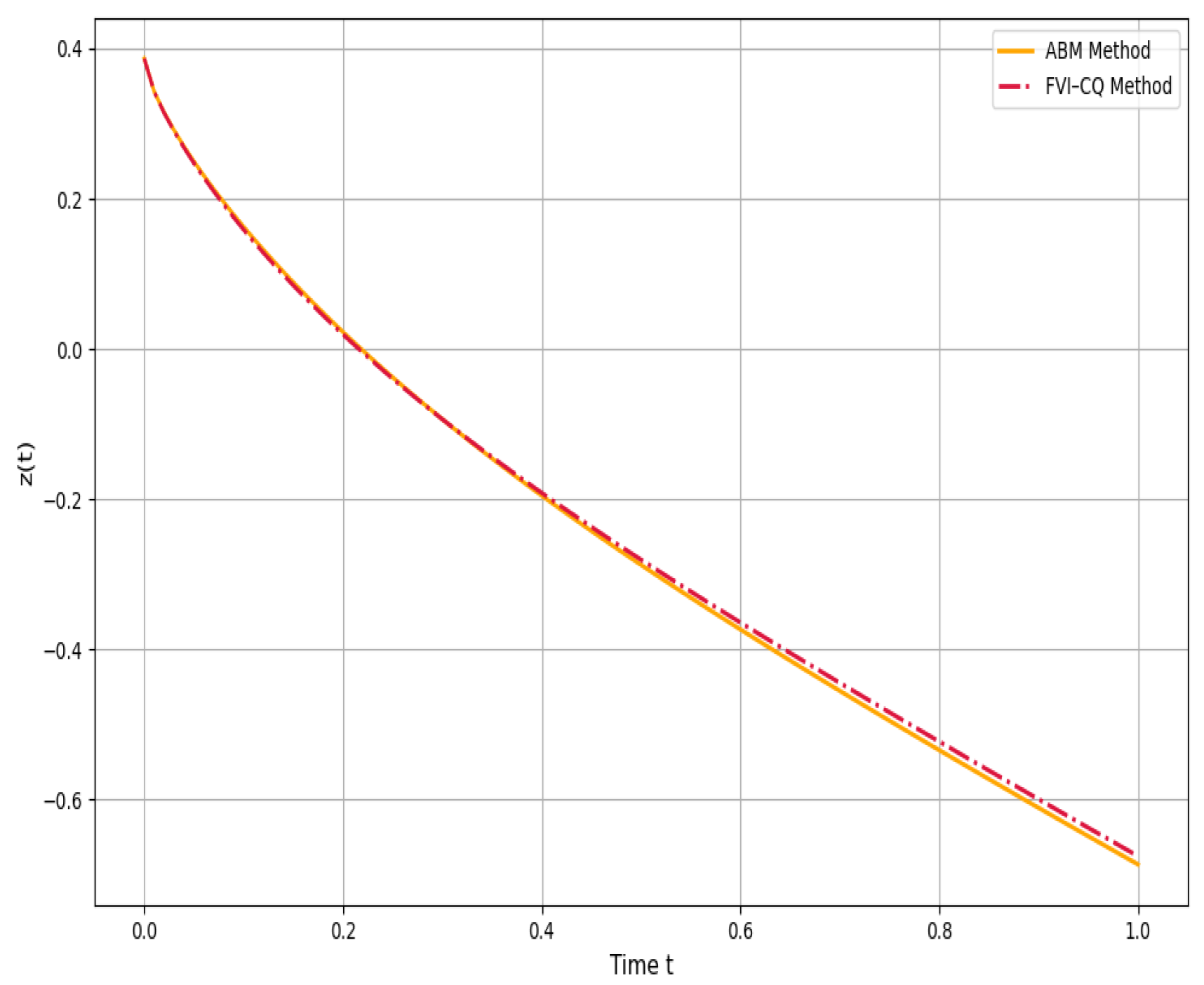
| Time | ABM Solution | FVI–CQ Solution | Max Absolute Error |
|---|---|---|---|
| 0.0 | 0.386699469 | 0.386699469 | 0.000000000 |
| 0.1 | 0.162753641 | 0.158829175 | 0.003924466 |
| 0.2 | 0.022637161 | 0.019306585 | 0.003330576 |
| 0.3 | −0.093524523 | −0.093623229 | 0.000098706 |
| 0.4 | −0.195242941 | −0.191589931 | 0.003653010 |
| 0.5 | −0.287522273 | −0.280631648 | 0.006890625 |
| 0.6 | −0.373512444 | −0.364260504 | 0.009251941 |
| 0.7 | −0.455269703 | −0.444560628 | 0.010709075 |
| 0.8 | −0.534129972 | −0.522753222 | 0.011376751 |
| 0.9 | −0.610942172 | −0.599526058 | 0.011416114 |
| 1.0 | −0.686226707 | −0.675236516 | 0.010990191 |
| (a) | |||
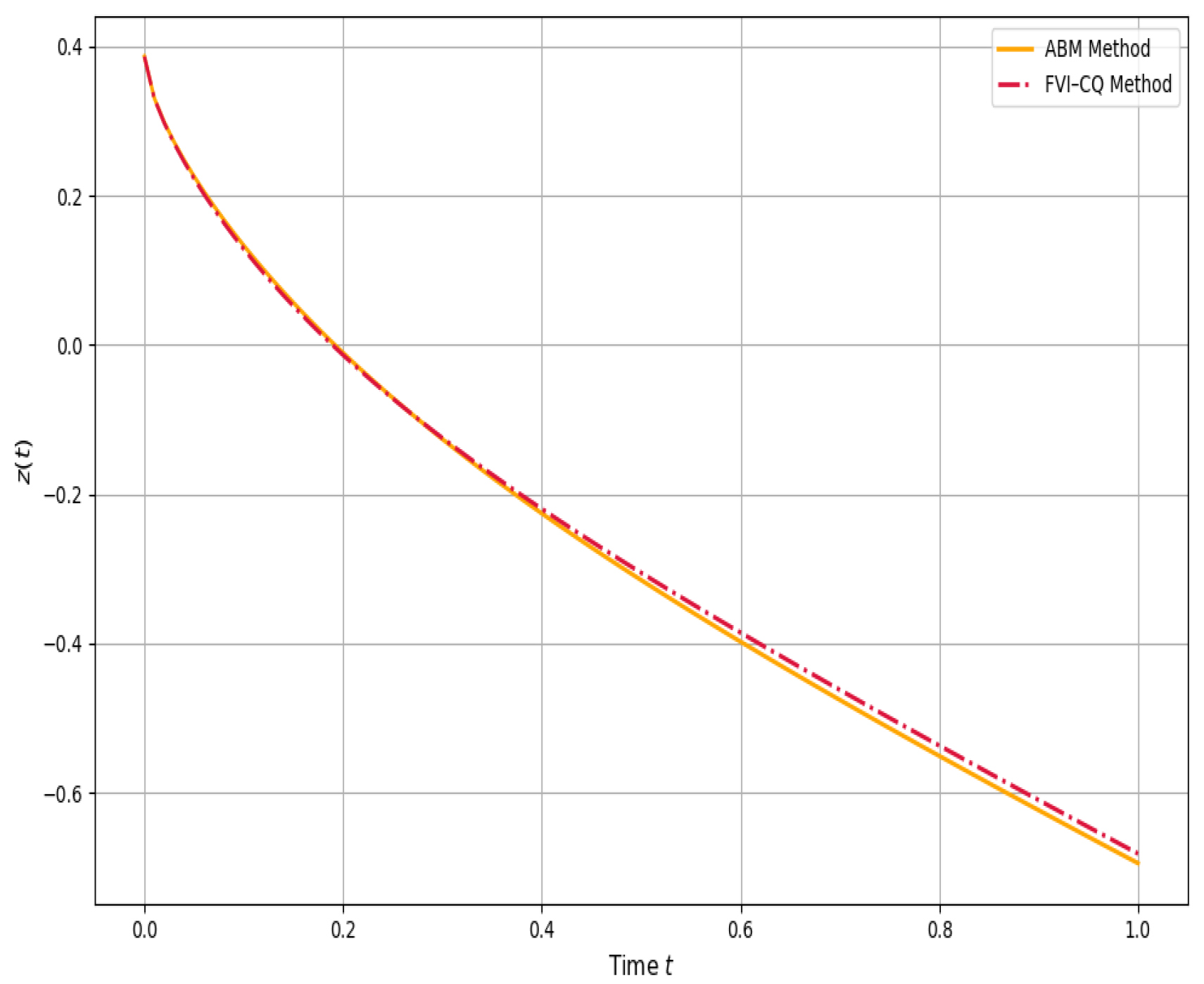
| t | ABM | FVI–CQ | Error |
| 0.0 | 9.283972 | 9.283972 | 0.000000 |
| 0.1 | 9.047508 | 9.030485 | 0.017023 |
| 0.2 | 8.884673 | 8.854796 | 0.029877 |
| 0.3 | 8.744061 | 8.708307 | 0.035754 |
| 0.4 | 8.620177 | 8.583413 | 0.036764 |
| 0.5 | 8.509921 | 8.475100 | 0.034821 |
| 0.6 | 8.410788 | 8.379490 | 0.031298 |
| 0.7 | 8.320638 | 8.293536 | 0.027102 |
| 0.8 | 8.237656 | 8.214855 | 0.022801 |
| 0.9 | 8.160334 | 8.141610 | 0.018724 |
| 1.0 | 8.087441 | 8.072395 | 0.015046 |
| (b) , , | |||
| t | ABM | FVI–CQ | Error |
| 0.0 | 0.142952 | 0.142952 | 0.000000 |
| 0.1 | −0.077021 | −0.076981 | 0.000040 |
| 0.2 | −0.211087 | −0.207693 | 0.003393 |
| 0.3 | −0.321961 | −0.314472 | 0.007489 |
| 0.4 | −0.419953 | −0.409032 | 0.010921 |
| 0.5 | −0.510110 | −0.496858 | 0.013252 |
| 0.6 | −0.595338 | −0.580850 | 0.014487 |
| 0.7 | −0.677373 | −0.662569 | 0.014805 |
| 0.8 | −0.757246 | −0.742823 | 0.014423 |
| 0.9 | −0.835544 | −0.821994 | 0.013550 |
| 1.0 | −0.912580 | −0.900216 | 0.012364 |
Disclaimer/Publisher’s Note: The statements, opinions and data contained in all publications are solely those of the individual author(s) and contributor(s) and not of MDPI and/or the editor(s). MDPI and/or the editor(s) disclaim responsibility for any injury to people or property resulting from any ideas, methods, instructions or products referred to in the content. |
© 2025 by the authors. Licensee MDPI, Basel, Switzerland. This article is an open access article distributed under the terms and conditions of the Creative Commons Attribution (CC BY) license (https://creativecommons.org/licenses/by/4.0/).
Share and Cite
Turab, A.; Nescolarde-Selva, J.-A.; Ali, W.; Montoyo, A.; Tiang, J.-J. Analytical and Numerical Analysis of a Memory-Dependent Fractional Model for Behavioral Learning Dynamics. Fractal Fract. 2025, 9, 710. https://doi.org/10.3390/fractalfract9110710
Turab A, Nescolarde-Selva J-A, Ali W, Montoyo A, Tiang J-J. Analytical and Numerical Analysis of a Memory-Dependent Fractional Model for Behavioral Learning Dynamics. Fractal and Fractional. 2025; 9(11):710. https://doi.org/10.3390/fractalfract9110710
Chicago/Turabian StyleTurab, Ali, Josué-Antonio Nescolarde-Selva, Wajahat Ali, Andrés Montoyo, and Jun-Jiat Tiang. 2025. "Analytical and Numerical Analysis of a Memory-Dependent Fractional Model for Behavioral Learning Dynamics" Fractal and Fractional 9, no. 11: 710. https://doi.org/10.3390/fractalfract9110710
APA StyleTurab, A., Nescolarde-Selva, J.-A., Ali, W., Montoyo, A., & Tiang, J.-J. (2025). Analytical and Numerical Analysis of a Memory-Dependent Fractional Model for Behavioral Learning Dynamics. Fractal and Fractional, 9(11), 710. https://doi.org/10.3390/fractalfract9110710

