Dynamical Analysis of Two-Dimensional Fractional-Order-in-Time Biological Population Model Using Chebyshev Spectral Method
Abstract
1. Introduction
2. Preliminaries and Some Basic Definitions
- signifies the -norm of the n-th derivative of g, weighted over the interval .
- is the weighted Sobolev space capturing the behavior of functions and their derivatives up to order m under the weighted norm.
3. Fractional-Order-in-Time Dispersal in Population Dynamics
- Malthusian Law: , where c is a constant.
- Verhulst Law: , where are positive constants.
- Porous Media: , where and .
Discretization Methodology
4. Error Analysis
- denotes the approximation of the integral by the Gauss-type quadrature.
- C is a constant dependent on N and m, indicating the rate at which the error diminishes as the polynomial degree N or the smoothness m of the function u increases.
- and are the norms measuring the magnitude of u and φ in their respective function spaces.
- 1.
- For ,where with a constant defined in (3.3).
- 2.
- As ,
- For ,where with c a constant.
- As ,where c only depends on T.
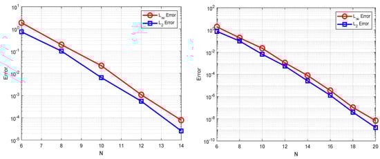
5. Numerical Results
6. Conclusions
Funding
Data Availability Statement
Conflicts of Interest
Appendix A
| Algorithm A1 Algorithm for Solving the Fractional PDE (25): |
|
References
- Singh, H.; Srivastava, H.M.; Nieto, J.J. Handbook of Fractional Calculus for Engineering and Science; Chapman and Hall/CRC: Boca Raton, FL, USA, 2022. [Google Scholar]
- Inoue, T. The Advanced Theory of Fractional Calculus, 3rd ed.; Academic Research Publication: New York, NY, USA, 2021. [Google Scholar]
- Hilfer, R. Applications of Fractional Calculus in Physics; World Scientific: Singapore, 2000. [Google Scholar]
- Gao, X.-L.; Zhang, H.-L.; Wang, Y.-L.; Li, Z.-Y. Research on Pattern Dynamics Behavior of a Fractional Vegetation-Water Model in Arid Flat Environment. Fractal Fract. 2024, 8, 264. [Google Scholar] [CrossRef]
- Magin, R.L. Fractional Calculus Models of Complex Dynamics in Biological Tissues. Comput. Math. Appl. 2010, 59, 1586–1593. [Google Scholar] [CrossRef]
- Hattaf, K. On the Stability and Numerical Scheme of Fractional Differential Equations with Application to Biology. Computation 2022, 10, 97. [Google Scholar] [CrossRef]
- Hattaf, K. A New Mixed Fractional Derivative with Applications in Computational Biology. Computation 2024, 12, 7. [Google Scholar] [CrossRef]
- Nguyen Tien, D. Fractional Stochastic Differential Equations with Applications to Finance. J. Math. Anal. Appl. 2013, 397, 334–348. [Google Scholar] [CrossRef]
- Wu, Z.; Zhang, X.; Wang, J.; Zeng, X. Applications of Fractional Differentiation Matrices in Solving Caputo Fractional Differential Equations. Fractal Fract. 2023, 7, 374. [Google Scholar] [CrossRef]
- Podlubny, I. Fractional Differential Equations: An Introduction to Fractional Derivatives, Fractional Differential Equations, to Methods of Their Solution and Some of Their Applications; Elsevier: Amsterdam, The Netherlands, 1998. [Google Scholar]
- Bin Jebreen, H. The Müntz–Legendre Wavelet Collocation Method for Solving Weakly Singular Integro-Differential Equations with Fractional Derivatives. Fractal Fract. 2023, 7, 763. [Google Scholar] [CrossRef]
- Xu, Y.; Liu, Y.; Yin, X.; Feng, L.; Wang, Z. A Compact Scheme Combining the Fast Time Stepping Method for Solving 2D Fractional Subdiffusion Equations. Fractal Fract. 2023, 7, 186. [Google Scholar] [CrossRef]
- Sytnyk, D.; Wohlmuth, B. Exponentially Convergent Numerical Method for Abstract Cauchy Problem with Fractional Derivative of Caputo Type. Mathematics 2023, 11, 2312. [Google Scholar] [CrossRef]
- Caputo, M. Linear Models of Dissipation Whose Q Is Almost Frequency Independent II. Geophys. J. Int. 1967, 13, 529–539. [Google Scholar] [CrossRef]
- Djilali, S. Threshold Asymptotic Dynamics for a Spatial Age-Dependent Cell-to-Cell Transmission Model with Nonlocal Disperse. Discret. Contin. Dyn. Syst. Ser. B 2023, 28, 4108–4143. [Google Scholar] [CrossRef]
- Hathout, F.Z.; Touaoula, T.M.; Djilali, S. Efficiency of Protection in the Presence of Immigration Process for an Age-Structured Epidemiological Model. Acta Appl. Math. 2023, 185, 3. [Google Scholar] [CrossRef]
- Ionescu, C.; Lopes, A.; Copot, D.; Machado, J.A.T.; Bates, J.H.T. The role of fractional calculus in modeling biological phenomena: A review. Commun. Nonlinear Sci. Numer. Simul. 2017, 51, 141–159. [Google Scholar] [CrossRef]
- Caputo, M.; Fabrizio, M. A New Definition of Fractional Derivative without Singular Kernel. Prog. Fract. Differ. Appl. 2015, 1, 1–13. [Google Scholar]
- Chen, Y.-G.; Yang, F.; Tian, F. The Landweber Iterative Regularization Method for Identifying the Unknown Source of Caputo-Fabrizio Time Fractional Diffusion Equation on Spherically Symmetric Domain. Symmetry 2023, 15, 1468. [Google Scholar] [CrossRef]
- Agrawal, O.P. Solution for a Fractional Diffusion-Wave Equation Defined in a Bounded Domain. J. Nonlinear Dynam. 2002, 29, 145–155. [Google Scholar] [CrossRef]
- Fix, G.J.; Roop, J.P. Least Squares Finite Element Solution of a Fractional Order Two-Point Boundary Value Problem. Comput. Math. Appl. 2004, 48, 1017–1033. [Google Scholar] [CrossRef]
- Ali, I.; Haq, S.; Hussain, M.; Nisar, K.S.; Ul Arifeen, S. On the Analysis and Application of a Spectral Collocation Scheme for the Nonlinear Two-Dimensional Fractional Diffusion Equation. Results Phys. 2024, 56, 107222. [Google Scholar] [CrossRef]
- Alam, M.; Haq, S.; Ali, I.; Ebadi, M.J.; Salahshour, S. Radial Basis Functions Approximation Method for Time-Fractional FitzHugh–Nagumo Equation. Fractal Fract. 2023, 7, 882. [Google Scholar] [CrossRef]
- Diethelm, K.; Freed, A.D. On the Solution of Nonlinear Fractional-Order Differential Equations Used in the Modeling of Viscoplasticity. In Proceedings of the Second Conference on Scientific Computing in Chemical Engineering; Springer: Berlin/Heidelberg, Germany, 1999; pp. 217–224. [Google Scholar]
- Deng, Z.; Singh, V.P.; Bengtsson, L. Numerical Solution of Fractional Advection–Dispersion Equation. J. Hydraul. Eng. 2004, 130, 422–431. [Google Scholar] [CrossRef]
- Meerschaert, M.; Tadjeran, C. Finite Difference Approximations for Fractional Advection-Dispersion Flow Equations. J. Comp. Appl. Math. 2004, 172, 65–77. [Google Scholar] [CrossRef]
- Gorenflo, R.; Mainardi, F.; Moretti, D.; Paradisi, P. Time Fractional Diffusion: A Discrete Random Walk Approach. Nonlinear Dyn. 2002, 29, 129–143. [Google Scholar] [CrossRef]
- Gorenflo, R.; Luchko, Y.; Mainardi, F. Wright Function as Scale-Invariant Solutions of the Diffusion-Wave Equation. J. Comp. Appl. Math. 2000, 118, 175–191. [Google Scholar] [CrossRef]
- Schneider, W.R.; Wyss, W. Fractional Diffusion and Wave Equations. J. Math. Phys. 1989, 30, 134–144. [Google Scholar] [CrossRef]
- Wyss, W. The Fractional Diffusion Equation. J. Math. Phys. 1986, 27, 2782–2785. [Google Scholar] [CrossRef]
- Lin, Y.; Xu, C. Finite Difference/Spectral Approximations for the Time-Fractional Diffusion Equation. J. Comput. Phys. 2007, 225, 1533–1552. [Google Scholar] [CrossRef]
- Gottlieb, D.; Hussaini, M.Y.; Orszag, S.A. Theory and application of spectral methods. In Spectral Methods for Partial Differential Equations; Voigt, R.G., Gotlieb, D., Hussaini, M.Y., Eds.; SIAM: Philadelphia, PA, USA, 1984; pp. 1–55. [Google Scholar]
- Gottlieb, D.; Orszag, S.A. Numerical Analysis of Spectral Methods: Theory and Applications; SIAM: Philadelphia, PA, USA, 1977. [Google Scholar]
- Trefethen, L.N. Spectral Methods in MATLAB; SIAM: Philadelphia, PA, USA, 2000. [Google Scholar]
- Mason, J.C.; Handscomb, D.C. Chebyshev Polynomials; CRC Press LLC: New York, NY, USA, 2003. [Google Scholar]
- Ali, I.; Saleem, M.T. Applications of Orthogonal Polynomials in Simulations of Mass Transfer Diffusion Equation Arising in Food Engineering. Symmetry 2023, 15, 527. [Google Scholar] [CrossRef]
- Ali, I.; Khan, S.U. Asymptotic Behavior of Three Connected Stochastic Delay Neoclassical Growth Systems Using Spectral Technique. Mathematics 2022, 10, 3639. [Google Scholar] [CrossRef]
- Ali, I.; Khan, S.U. Threshold of Stochastic SIRS Epidemic Model from Infectious to Susceptible Class with Saturated Incidence Rate Using Spectral Method. Symmetry 2022, 14, 1838. [Google Scholar] [CrossRef]
- Ali, I.; Khan, S.U. Dynamics and Simulations of Stochastic COVID-19 Epidemic Model Using Legendre Spectral Collocation Method. AIMS Math. 2023, 8, 4220–4236. [Google Scholar] [CrossRef]
- Khan, S.U.; Ali, I. Convergence and Error Analysis of a Spectral Collocation Method for Solving System of Nonlinear Fredholm Integral Equations of Second Kind. Comp. Appl. Math. 2019, 38, 125. [Google Scholar] [CrossRef]
- Hattaf, K.; Yousfi, N. Global Stability for Fractional Diffusion Equations in Biological Systems. Complexity 2020, 2020, 5476842. [Google Scholar] [CrossRef]
- Rida, S.Z.; Arafa, A.A.M. Exact Solutions of Fractional-Order Biological Population Model. Commun. Theor. Phys. 2009, 52, 992–996. [Google Scholar]
- Shakeri, E.; Dehghan, M. Numerical Solutions of a Biological Population Model Using He’s Variational Iteration Method. Comput. Math. Appl. 2007, 54, 1197–1207. [Google Scholar] [CrossRef]
- Liu, Y.; Li, Z.; Zhang, Y. Homotopy Perturbation Method to Fractional Biological Population Equation. Fract. Differ. Calc. 2011, 1, 117–124. [Google Scholar] [CrossRef]
- Ma, X.; Wang, Y.; Zhu, X.; Liu, W.; Lan, Q.; Xiao, W. A Spectral Method for Two-Dimensional Ocean Acoustic Propagation. J. Mar. Sci. Eng. 2021, 9, 892. [Google Scholar] [CrossRef]
- Shen, J.; Tang, T. Spectral and High-Order Methods with Applications; Science Press: Beijing, China, 2006. [Google Scholar]
- Boyd, J.P. Chebyshev and Fourier Spectral Methods, 2nd ed.; Dover: New York, NY, USA, 2001. [Google Scholar]
- Gurney, W.S.C.; Nisbet, R.M. Ecological Dynamics; Oxford University Press: Oxford, UK, 1998. [Google Scholar]
- Canuto, C.; Hussaini, M.Y.; Quarteroni, A.; Zang, T.A. Spectral Methods: Fundamentals in Single Domains; Springer Series in Scientific Computation; Springer: New York, NY, USA, 2006. [Google Scholar]










| N | N | ||||
|---|---|---|---|---|---|
| 6 | 8 | ||||
| 10 | 12 | ||||
| 14 | 16 | ||||
| 18 | 20 |
| N | N | ||||
|---|---|---|---|---|---|
| 6 | 8 | ||||
| 10 | 12 | ||||
| 14 | 16 | ||||
| 18 | 20 |
Disclaimer/Publisher’s Note: The statements, opinions and data contained in all publications are solely those of the individual author(s) and contributor(s) and not of MDPI and/or the editor(s). MDPI and/or the editor(s) disclaim responsibility for any injury to people or property resulting from any ideas, methods, instructions or products referred to in the content. |
© 2024 by the author. Licensee MDPI, Basel, Switzerland. This article is an open access article distributed under the terms and conditions of the Creative Commons Attribution (CC BY) license (https://creativecommons.org/licenses/by/4.0/).
Share and Cite
Ali, I. Dynamical Analysis of Two-Dimensional Fractional-Order-in-Time Biological Population Model Using Chebyshev Spectral Method. Fractal Fract. 2024, 8, 325. https://doi.org/10.3390/fractalfract8060325
Ali I. Dynamical Analysis of Two-Dimensional Fractional-Order-in-Time Biological Population Model Using Chebyshev Spectral Method. Fractal and Fractional. 2024; 8(6):325. https://doi.org/10.3390/fractalfract8060325
Chicago/Turabian StyleAli, Ishtiaq. 2024. "Dynamical Analysis of Two-Dimensional Fractional-Order-in-Time Biological Population Model Using Chebyshev Spectral Method" Fractal and Fractional 8, no. 6: 325. https://doi.org/10.3390/fractalfract8060325
APA StyleAli, I. (2024). Dynamical Analysis of Two-Dimensional Fractional-Order-in-Time Biological Population Model Using Chebyshev Spectral Method. Fractal and Fractional, 8(6), 325. https://doi.org/10.3390/fractalfract8060325

