Augmenting the Stability of Automatic Voltage Regulators through Sophisticated Fractional-Order Controllers
Abstract
1. Introduction
- A new modified hybrid FO (MHFO) controller is proposed for AVR applications in this paper. The new proposed MHFO AVR method is developed based on the FO tilt integral (FOTI) proportional derivative with a filter double derivative with a filter (PDND2N2) controller, namely FOTI-PDND2N2. The newly proposed controller merges the benefits of the FOPID, PIDF, and TID controllers, leading to better performance and enhanced characteristics. The tuning process of the control parameters is made offline, which benefits the power and speed of recent microprocessor technologies.
- The proposed FOTI-PDND2N2 controller combines the benefits of the FOTI controller with PDND2N2 for ensuring better dynamic performance and steady-state response, and for enhancing controller robustness and flexibility. Also, the inclusion of filters with derivative terms improves their responses, reduces noise, smooths the control action, and has better stability.
- New practical applications of the recently developed growth optimizer (GO) method is introduced in this paper for optimally optimizing the proposed FOTI-PDND2N2 controller’s parameters in a simultaneous manner. Both the recent GO algorithm’s benefits and the associated benefits of the proposed FOTI-PDND2N2 controller are combined to provide a more robust and wide-ranging, stable AVR control method. Moreover, the GO algorithm guarantees the optimum parameter set together for achieving minimization of the defined objective function.
2. Mathematical Representations of AVR Systems
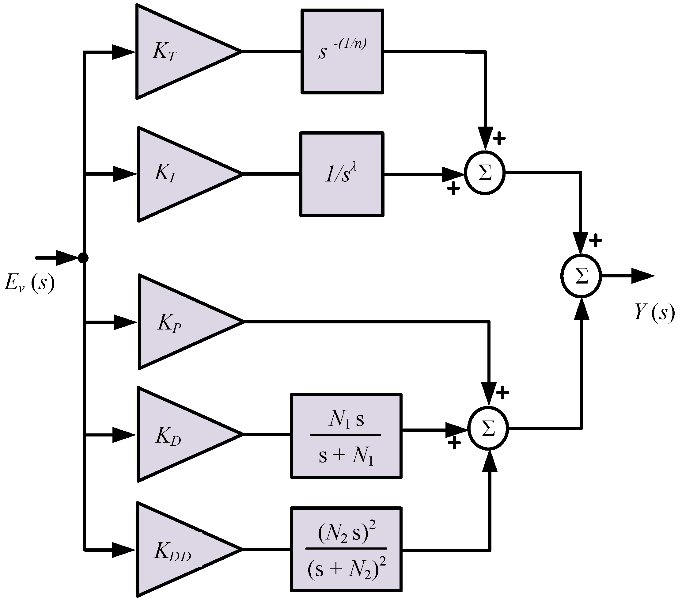
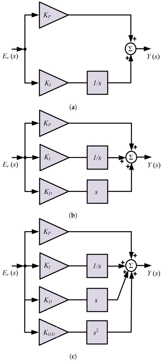
3. Proposed MHFO-AVR Controller
3.1. FOC Modeling and Theory
- Grunwald–Letnikov (GL)-based FOD representation: The FOD is represented by a function (f) within [a – t] boundaries as:where h refers to the sampling period, and n can be used for fulfilling ( and ). The associated binomials’ coefficients can be determined as:
- Riemann–Liouville (RL)-based FOD representation: In the RL-based FOD, summations and bounds are avoided and the IO-based derivative is employed. The FOD is defined as:
- Caputo-based FOD representation: The FOD based on the Caputo definition is defined as: Another representation of the FO derivative was made by Caputo, and it is defined as follows:
3.2. Some Related AVR Methods
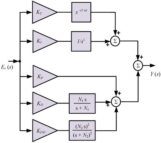
3.3. The Proposed MHFO AVR Controller
4. Optimum Design of Proposed MHFO-AVR Controller
4.1. Growth Optimization Algorithm
4.1.1. Learning Phase
4.1.2. Reflection Phase
4.2. Application to Optimum Design of Proposed MHFO AVR Controller
- Integral-squared error (ISE):
- Integral time-squared error (ITSE):
- Integral absolute error (IAE):
- Integral time absolute error (ITAE):
5. Simulation Results
5.1. Scenario 1: Full-Load Condition
5.2. Scenario 2: No-Load Condition
5.3. Scenario 3: Multi-Step Load Condition
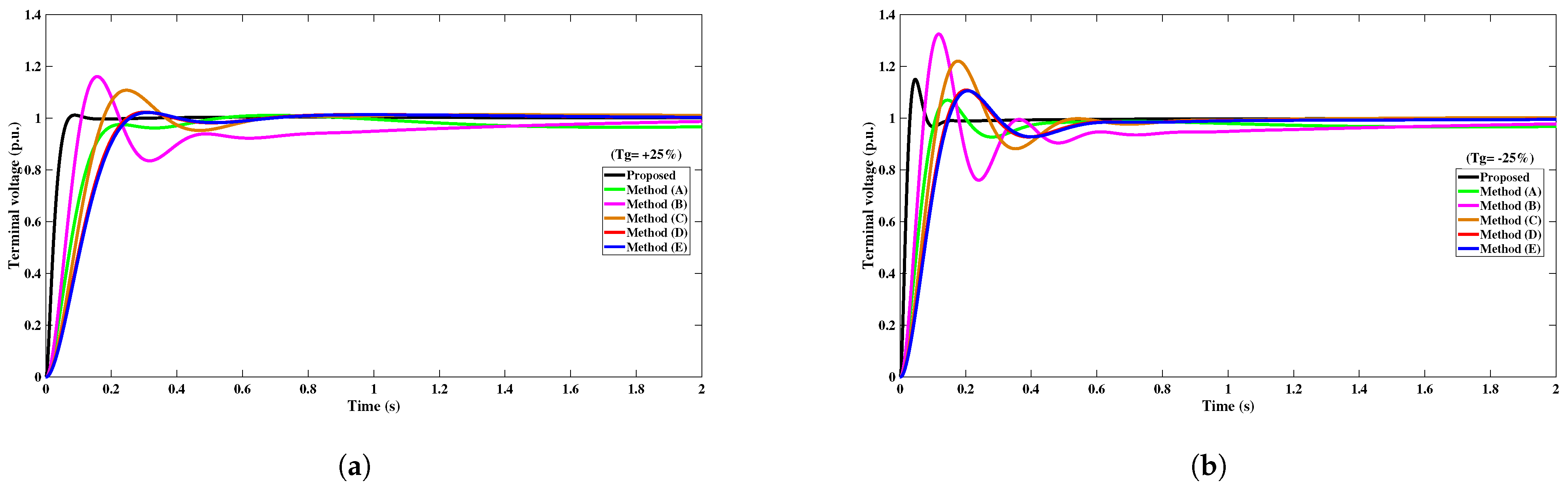
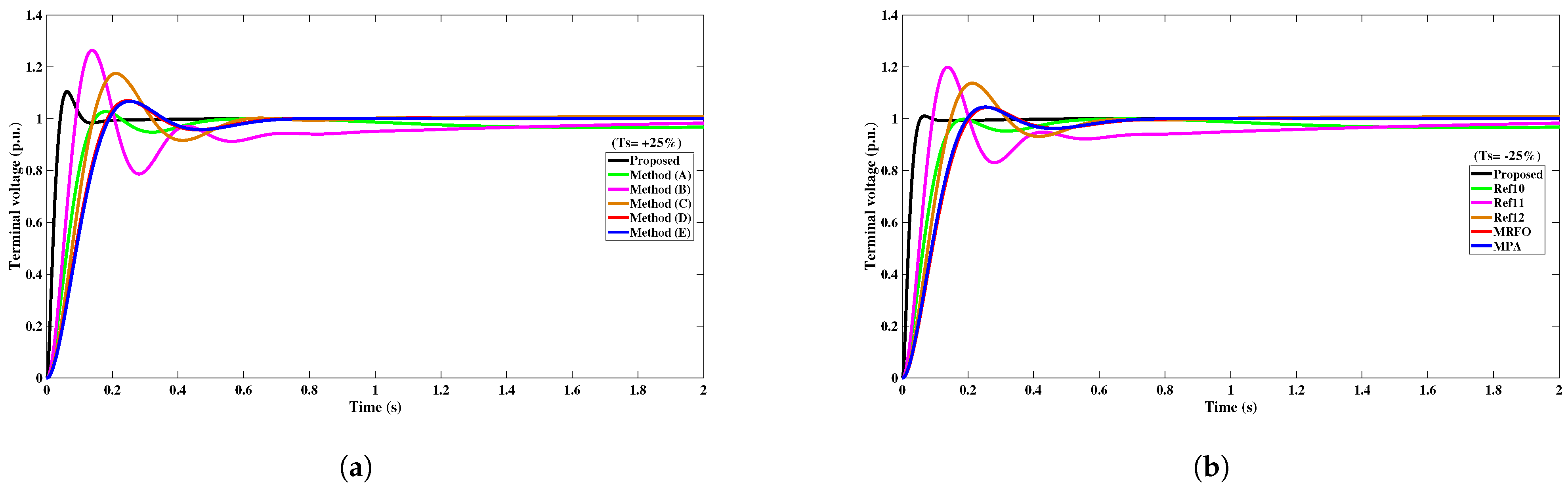
5.4. Scenario 4: Sensitivity Analysis
5.5. Scenario 5: Frequency Domain Analysis
5.6. Scenario 6: Frequency Domain Performance Comparisons
6. Conclusions
Author Contributions
Funding
Data Availability Statement
Conflicts of Interest
References
- Said, S.M.; Aly, M.; Hartmann, B.; Mohamed, E.A. Coordinated fuzzy logic-based virtual inertia controller and frequency relay scheme for reliable operation of low-inertia power system. IET Renew. Power Gener. 2021, 15, 1286–1300. [Google Scholar] [CrossRef]
- Amin, A.; Ebeed, M.; Nasrat, L.; Aly, M.; Ahmed, E.M.; Mohamed, E.A.; Alnuman, H.H.; Hamed, A.M.A.E. Techno-Economic Evaluation of Optimal Integration of PV Based DG with DSTATCOM Functionality with Solar Irradiance and Loading Variations. Mathematics 2022, 10, 2543. [Google Scholar] [CrossRef]
- Furat, M.; Cücü, G.G. Design, Implementation, and Optimization of Sliding Mode Controller for Automatic Voltage Regulator System. IEEE Access 2022, 10, 55650–55674. [Google Scholar] [CrossRef]
- Noman, A.M.; Almutairi, S.Z.; Aly, M.; Alqahtani, M.H.; Aljumah, A.S.; Mohamed, E.A. A Marine-Predator-Algorithm-Based Optimum FOPID Controller for Enhancing the Stability and Transient Response of Automatic Voltage Regulators. Fractal Fract. 2023, 7, 690. [Google Scholar] [CrossRef]
- Ekinci, S.; Hekimoğlu, B. Improved Kidney-Inspired Algorithm Approach for Tuning of PID Controller in AVR System. IEEE Access 2019, 7, 39935–39947. [Google Scholar] [CrossRef]
- Modabbernia, M.; Alizadeh, B.; Sahab, A.; Moghaddam, M.M. Robust control of automatic voltage regulator (AVR) with real structured parametric uncertainties based on H∞ and μ-analysis. ISA Trans. 2020, 100, 46–62. [Google Scholar] [CrossRef]
- Daraz, A.; Malik, S.A.; Basit, A.; Aslam, S.; Zhang, G. Modified FOPID Controller for Frequency Regulation of a Hybrid Interconnected System of Conventional and Renewable Energy Sources. Fractal Fract. 2023, 7, 89. [Google Scholar] [CrossRef]
- Alilou, M.; Azami, H.; Oshnoei, A.; Mohammadi-Ivatloo, B.; Teodorescu, R. Fractional-Order Control Techniques for Renewable Energy and Energy-Storage-Integrated Power Systems: A Review. Fractal Fract. 2023, 7, 391. [Google Scholar] [CrossRef]
- Alghamdi, S.; Sindi, H.F.; Rawa, M.; Alhussainy, A.A.; Calasan, M.; Micev, M.; Ali, Z.M.; Aleem, S.H.E.A. Optimal PID Controllers for AVR Systems Using Hybrid Simulated Annealing and Gorilla Troops Optimization. Fractal Fract. 2022, 6, 682. [Google Scholar] [CrossRef]
- Ghasemi, M.; Rahimnejad, A.; Gil, M.; Akbari, E.; Gadsden, S.A. A self-competitive mutation strategy for Differential Evolution algorithms with applications to Proportional–Integral–Derivative controllers and Automatic Voltage Regulator systems. Decis. Anal. J. 2023, 7, 100205. [Google Scholar] [CrossRef]
- Sahu, B.K.; Panda, S.; Mohanty, P.K.; Mishra, N. Robust analysis and design of PID controlled AVR system using Pattern Search algorithm. In Proceedings of the 2012 IEEE International Conference on Power Electronics, Drives and Energy Systems (PEDES), Bengaluru, India, 16–19 December 2012; pp. 1–6. [Google Scholar] [CrossRef]
- Gaing, Z.L. A particle swarm optimization approach for optimum design of PID controller in AVR system. IEEE Trans. Energy Convers. 2004, 19, 384–391. [Google Scholar] [CrossRef]
- Gozde, H.; Taplamacioglu, M. Comparative performance analysis of artificial bee colony algorithm for automatic voltage regulator (AVR) system. J. Frankl. Inst. 2011, 348, 1927–1946. [Google Scholar] [CrossRef]
- Köse, E. Optimal Control of AVR System With Tree Seed Algorithm-Based PID Controller. IEEE Access 2020, 8, 89457–89467. [Google Scholar] [CrossRef]
- Hekimoglu, B.; Ekinci, S. Grasshopper optimization algorithm for automatic voltage regulator system. In Proceedings of the 2018 5th International Conference on Electrical and Electronic Engineering (ICEEE), Istanbul, Turkey, 3–5 May 2018. [Google Scholar] [CrossRef]
- Mosaad, A.M.; Attia, M.A.; Abdelaziz, A.Y. Whale optimization algorithm to tune PID and PIDA controllers on AVR system. Ain Shams Eng. J. 2019, 10, 755–767. [Google Scholar] [CrossRef]
- Habib, S.; Abbas, G.; Jumani, T.A.; Bhutto, A.A.; Mirsaeidi, S.; Ahmed, E.M. Improved Whale Optimization Algorithm for Transient Response, Robustness, and Stability Enhancement of an Automatic Voltage Regulator System. Energies 2022, 15, 5037. [Google Scholar] [CrossRef]
- Dogruer, T.; Can, M.S. Design and robustness analysis of fuzzy PID controller for automatic voltage regulator system using genetic algorithm. Trans. Inst. Meas. Control 2022, 44, 1862–1873. [Google Scholar] [CrossRef]
- Hekimoğlu, B. Sine-cosine algorithm-based optimization for automatic voltage regulator system. Trans. Inst. Meas. Control 2018, 41, 1761–1771. [Google Scholar] [CrossRef]
- Çelik, E.; Durgut, R. Performance enhancement of automatic voltage regulator by modified cost function and symbiotic organisms search algorithm. Eng. Sci. Technol. Int. J. 2018, 21, 1104–1111. [Google Scholar] [CrossRef]
- Ekinci, S.; Hekimoğlu, B.; Kaya, S. Tuning of PID Controller for AVR System Using Salp Swarm Algorithm. In Proceedings of the 2018 International Conference on Artificial Intelligence and Data Processing (IDAP), Malatya, Turkey, 28–30 September 2018; pp. 1–6. [Google Scholar] [CrossRef]
- Anbarasi, S.; Muralidharan, S. Enhancing the Transient Performances and Stability of AVR System with BFOA Tuned PID Controller. J. Control Eng. Appl. Inform. 2016, 18, 20–29. [Google Scholar]
- Pradhan, R.; Majhi, S.K.; Pati, B.B. Design of PID controller for automatic voltage regulator system using Ant Lion Optimizer. World J. Eng. 2018, 15, 373–387. [Google Scholar] [CrossRef]
- Zamani, M.; Karimi-Ghartemani, M.; Sadati, N.; Parniani, M. Design of a fractional order PID controller for an AVR using particle swarm optimization. Control Eng. Pract. 2009, 17, 1380–1387. [Google Scholar] [CrossRef]
- Ortiz-Quisbert, M.E.; Duarte-Mermoud, M.A.; Milla, F.; Castro-Linares, R.; Lefranc, G. Optimal fractional order adaptive controllers for AVR applications. Electr. Eng. 2016, 100, 267–283. [Google Scholar] [CrossRef]
- ZHANG, D.L.; TANG, Y.G.; GUAN, X.P. Optimum Design of Fractional Order PID Controller for an AVR System Using an Improved Artificial Bee Colony Algorithm. Acta Autom. Sin. 2014, 40, 973–979. [Google Scholar] [CrossRef]
- Tang, Y.; Cui, M.; Hua, C.; Li, L.; Yang, Y. Optimum design of fractional order PIλDμ controller for AVR system using chaotic ant swarm. Expert Syst. Appl. 2012, 39, 6887–6896. [Google Scholar] [CrossRef]
- Zeng, G.Q.; Chen, J.; Dai, Y.X.; Li, L.M.; Zheng, C.W.; Chen, M.R. Design of fractional order PID controller for automatic regulator voltage system based on multi-objective extremal optimization. Neurocomputing 2015, 160, 173–184. [Google Scholar] [CrossRef]
- Sikander, A.; Thakur, P.; Bansal, R.; Rajasekar, S. A novel technique to design cuckoo search based FOPID controller for AVR in power systems. Comput. Electr. Eng. 2018, 70, 261–274. [Google Scholar] [CrossRef]
- Ayas, M.S.; Sahin, E. FOPID controller with fractional filter for an automatic voltage regulator. Comput. Electr. Eng. 2021, 90, 106895. [Google Scholar] [CrossRef]
- Pan, I.; Das, S. Frequency domain design of fractional order PID controller for AVR system using chaotic multi-objective optimization. Int. J. Electr. Power Energy Syst. 2013, 51, 106–118. [Google Scholar] [CrossRef]
- Khan, I.A.; Alghamdi, A.S.; Jumani, T.A.; Alamgir, A.; Awan, A.B.; Khidrani, A. Salp Swarm Optimization Algorithm-Based Fractional Order PID Controller for Dynamic Response and Stability Enhancement of an Automatic Voltage Regulator System. Electronics 2019, 8, 1472. [Google Scholar] [CrossRef]
- Shayeghi, H.; Younesi, A.; Hashemi, Y. Optimal design of a robust discrete parallel FP+FI+FD controller for the Automatic Voltage Regulator system. Int. J. Electr. Power Energy Syst. 2015, 67, 66–75. [Google Scholar] [CrossRef]
- Mohd Tumari, M.Z.; Ahmad, M.A.; Mohd Rashid, M.I. A fractional order PID tuning tool for automatic voltage regulator using marine predators algorithm. Energy Rep. 2023, 9, 416–421. [Google Scholar] [CrossRef]
- Sahib, M.A. A novel optimal PID plus second order derivative controller for AVR system. Eng. Sci. Technol. Int. J. 2015, 18, 194–206. [Google Scholar] [CrossRef]
- Izci, D.; Ekinci, S.; Zeynelgil, H.L.; Hedley, J. Fractional Order PID Design based on Novel Improved Slime Mould Algorithm. Electr. Power Components Syst. 2021, 49, 901–918. [Google Scholar] [CrossRef]
- Oziablo, P.; Mozyrska, D.; Wyrwas, M. Fractional-variable-order digital controller design tuned with the chaotic yellow saddle goatfish algorithm for the AVR system. ISA Trans. 2022, 125, 260–267. [Google Scholar] [CrossRef] [PubMed]
- Eke, I.; Saka, M.; Gozde, H.; Arya, Y.; Taplamacioglu, M.C. Heuristic optimization based dynamic weighted state feedback approach for 2DOF PI-controller in automatic voltage regulator. Eng. Sci. Technol. Int. J. 2021, 24, 899–910. [Google Scholar] [CrossRef]
- Ali Hussien Mary, A.H.M.; Miry, M.H. An Optimal Robust State Feedback Controller for the AVR System-Based Harris Hawks Optimization Algorithm. Electr. Power Components Syst. 2020, 48, 1684–1694. [Google Scholar] [CrossRef]
- Elsisi, M.; Tran, M.Q.; Hasanien, H.M.; Turky, R.A.; Albalawi, F.; Ghoneim, S.S.M. Robust Model Predictive Control Paradigm for Automatic Voltage Regulators against Uncertainty Based on Optimization Algorithms. Mathematics 2021, 9, 2885. [Google Scholar] [CrossRef]
- Elsisi, M. Optimal design of non-fragile PID controller. Asian J. Control 2021, 23, 729–738. [Google Scholar] [CrossRef]
- Das, S.; Pan, I. On the Mixed H2/H∞ Loop-Shaping Tradeoffs in Fractional-Order Control of the AVR System. IEEE Trans. Ind. Inform. 2014, 10, 1982–1991. [Google Scholar] [CrossRef]
- Aguila-Camacho, N.; Duarte-Mermoud, M.A. Fractional adaptive control for an automatic voltage regulator. ISA Trans. 2013, 52, 807–815. [Google Scholar] [CrossRef]
- Elsisi, M. Design of neural network predictive controller based on imperialist competitive algorithm for automatic voltage regulator. Neural Comput. Appl. 2019, 31, 5017–5027. [Google Scholar] [CrossRef]
- Yin, L.; Zhang, C.; Wang, Y.; Gao, F.; Yu, J.; Cheng, L. Emotional Deep Learning Programming Controller for Automatic Voltage Control of Power Systems. IEEE Access 2021, 9, 31880–31891. [Google Scholar] [CrossRef]
- Ayas, M.S.; Sahin, A.K. A reinforcement learning approach to Automatic Voltage Regulator system. Eng. Appl. Artif. Intell. 2023, 121, 106050. [Google Scholar] [CrossRef]
- Ekinci, S.; Izci, D.; Eker, E.; Abualigah, L. An Effective Control Design Approach Based on Novel Enhanced Aquila Optimizer for Automatic Voltage Regulator. Artif. Intell. Rev. 2022, 56, 1731–1762. [Google Scholar] [CrossRef]
- Ekinci, S.; Çetin, H.; Izci, D.; Köse, E. A Novel Balanced Arithmetic Optimization Algorithm-Optimized Controller for Enhanced Voltage Regulation. Mathematics 2023, 11, 4810. [Google Scholar] [CrossRef]
- Pan, I.; Das, S. Chaotic multi-objective optimization based design of fractional order PIλDμ controller in AVR system. Int. J. Electr. Power Energy Syst. 2012, 43, 393–407. [Google Scholar] [CrossRef]
- Bakir, H.; Guvenc, U.; Kahraman, H.T.; Duman, S. Improved Lévy flight distribution algorithm with FDB-based guiding mechanism for AVR system optimal design. Comput. Ind. Eng. 2022, 168, 108032. [Google Scholar] [CrossRef]
- Micev, M.; Ćalasan, M.; Oliva, D. Fractional Order PID Controller Design for an AVR System Using Chaotic Yellow Saddle Goatfish Algorithm. Mathematics 2020, 8, 1182. [Google Scholar] [CrossRef]
- Zhang, Q.; Gao, H.; Zhan, Z.H.; Li, J.; Zhang, H. Growth Optimizer: A powerful metaheuristic algorithm for solving continuous and discrete global optimization problems. Knowl.-Based Syst. 2023, 261, 110206. [Google Scholar] [CrossRef]
- Fatani, A.; Dahou, A.; Abd Elaziz, M.; Al-qaness, M.A.A.; Lu, S.; Alfadhli, S.A.; Alresheedi, S.S. Enhancing Intrusion Detection Systems for IoT and Cloud Environments Using a Growth Optimizer Algorithm and Conventional Neural Networks. Sensors 2023, 23, 4430. [Google Scholar] [CrossRef]
- Aribia, H.B.; El-Rifaie, A.M.; Tolba, M.A.; Shaheen, A.; Moustafa, G.; Elsayed, F.; Elshahed, M. Growth Optimizer for Parameter Identification of Solar Photovoltaic Cells and Modules. Sustainability 2023, 15, 7896. [Google Scholar] [CrossRef]


















| Method | Controller TF | Reference | Algorithm | No. of Tunable Parameters |
|---|---|---|---|---|
| PID | [11] | PSA | 3 () | |
| [12] | PSO | |||
| [13] | ABC | |||
| [14] | TSA | |||
| [15] | GOA | |||
| [16] | WOA | |||
| [17] | I-WOA | |||
| [18] | GA | |||
| [19] | SCA | |||
| [20] | SOS | |||
| [21] | SSA | |||
| [22] | BFOA | |||
| [23] | ALO | |||
| FOPID | [4] | MPA | 5 () | |
| [24] | PSO | |||
| [25] | GA | |||
| [26] | NC-ABC | |||
| [27] | CAS | |||
| [28] | MOEO | |||
| [29] | CS | |||
| [30] | SCA | |||
| [31] | NSGA-II | |||
| [25] | PSO | |||
| [32] | SSO | |||
| PIDF | [12] | BBO | 4 () | |
| PIDD2 | [47] | enAO | 4 () | |
| PIDND2N2 | [48] | b-AOA | 6 () | |
| Proposed | Proposed | GO | 9 () |
| Type | Reference | Cost Function |
|---|---|---|
| Single | [26] | |
| [26] | ||
| [32] | ||
| [25] | ||
| [24] | ||
| [27] | ||
| [25] | ||
| Multiples | [28] | , , |
| [31] | , | |
| [49] | , , |
| Method | Controller Optimizer | n | |||||||||
|---|---|---|---|---|---|---|---|---|---|---|---|
| A | PID-DE | 1.9499 | - | 0.4430 | 0.3427 | - | - | - | - | - | - |
| B | FOPID-SSA | 1.9982 | - | 1.1706 | 0.5749 | - | - | 1.14 | 1.17 | - | - |
| C | PIDD2-PSO | 2.7784 | - | 1.8521 | 0.9997 | 0.0739 | - | - | - | - | - |
| D | FOPID-MRFO | 1.6506 | - | 0.7878 | 0.3932 | - | - | 1.21 | 1.21 | - | - |
| E | FOPID-MPA | 1.7061 | - | 0.8068 | 0.4 | - | - | 1.13 | 1.22 | - | - |
| Proposed | MHFO-GO | 2.5105 | 2.9582 | 2.7086 | 1.9033 | 0.1558 | 7.19 | 1.12 | - | 92.23 | 375.2 |
| Scenario | Case | Peak Value (p.u.) | |||
|---|---|---|---|---|---|
| (1) | Full Load | 1.0545 | 0.0630 | 0.0293 | 0.0879 |
| (2) | No Load | 1.0007 | 0.3580 | 0.0514 | 0.0892 |
| (3) | MLP | 1.1004 | 8.0124 | 0.0293 | 8.0424 |
| Parameters | Percentage Change | Peak Value (p.u.) | |||
|---|---|---|---|---|---|
| Nominal | 1.0545 | 0.0630 | 0.0293 | 0.0879 | |
| 1.0670 | 0.1110 | 0.0458 | 0.2214 | ||
| 1.0521 | 0.0860 | 0.0377 | 0.1440 | ||
| 1.0945 | 0.0460 | 0.0213 | 0.1844 | ||
| 1.2035 | 0.0340 | 0.0142 | 0.2459 | ||
| 1.0084 | 0.6320 | 0.0542 | 0.0899 | ||
| 1.0117 | 0.0880 | 0.0408 | 0.0628 | ||
| 1.1498 | 0.0470 | 0.0202 | 0.1242 | ||
| 1.3495 | 0.0350 | 0.0131 | 0.1706 | ||
| 1.0172 | 0.1390 | 0.0521 | 0.0814 | ||
| 1.0206 | 0.0890 | 0.0401 | 0.0940 | ||
| 1.1388 | 0.0470 | 0.0204 | 0.1361 | ||
| 1.3203 | 0.0350 | 0.0133 | 0.2989 | ||
| 1.1532 | 0.0630 | 0.0268 | 0.1609 | ||
| 1.1039 | 0.0620 | 0.0278 | 0.0980 | ||
| 1.0099 | 0.0680 | 0.0321 | 0.0498 | ||
| 1.0005 | 0.0580 | 0.0372 | 0.0722 |
| Reference | Controller | Phase Margin PM (°) | Gain Margin GM (dB) | Bandwidth BW (rad/s) |
|---|---|---|---|---|
| [13] | PID based on DE | 36.1 | 371.5 | 12.8 |
| [21] | FOPID based on SSA | 51.5 | Inf. | 21.3 |
| [19] | PID based on SCA | 52.6 | 20.3 | 14.8 |
| [4] | FOPID based on MRFO | 62.9 | Inf. | 16.7 |
| [35] | PIDD2 based on PSO | 79.6 | Inf. | 23.5 |
| [36] | FOPID based on SMA | 49.1 | 20.2 | 22.9 |
| [16] | PIDA based on WOA | 67.7 | 26.1 | 6.7 |
| [48] | PIDND2N2 based on AOA | 69.8 | 23.4 | 57.8 |
| Proposed | MHFO-GO (FOTI-PDND2N2) | 64.3 | 26.8 | 62.4 |
Disclaimer/Publisher’s Note: The statements, opinions and data contained in all publications are solely those of the individual author(s) and contributor(s) and not of MDPI and/or the editor(s). MDPI and/or the editor(s) disclaim responsibility for any injury to people or property resulting from any ideas, methods, instructions or products referred to in the content. |
© 2024 by the authors. Licensee MDPI, Basel, Switzerland. This article is an open access article distributed under the terms and conditions of the Creative Commons Attribution (CC BY) license (https://creativecommons.org/licenses/by/4.0/).
Share and Cite
Mohamed, E.A.; Aly, M.; Alhosaini, W.; Ahmed, E.M. Augmenting the Stability of Automatic Voltage Regulators through Sophisticated Fractional-Order Controllers. Fractal Fract. 2024, 8, 300. https://doi.org/10.3390/fractalfract8050300
Mohamed EA, Aly M, Alhosaini W, Ahmed EM. Augmenting the Stability of Automatic Voltage Regulators through Sophisticated Fractional-Order Controllers. Fractal and Fractional. 2024; 8(5):300. https://doi.org/10.3390/fractalfract8050300
Chicago/Turabian StyleMohamed, Emad A., Mokhtar Aly, Waleed Alhosaini, and Emad M. Ahmed. 2024. "Augmenting the Stability of Automatic Voltage Regulators through Sophisticated Fractional-Order Controllers" Fractal and Fractional 8, no. 5: 300. https://doi.org/10.3390/fractalfract8050300
APA StyleMohamed, E. A., Aly, M., Alhosaini, W., & Ahmed, E. M. (2024). Augmenting the Stability of Automatic Voltage Regulators through Sophisticated Fractional-Order Controllers. Fractal and Fractional, 8(5), 300. https://doi.org/10.3390/fractalfract8050300

