Numerical Simulation of Soliton Propagation Behavior for the Fractional-in-Space NLSE with Variable Coefficients on Unbounded Domain
Abstract
1. Introduction
2. Description of Method
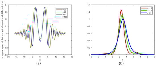
3. Numerical Experiment
4. Conclusions
Author Contributions
Funding
Data Availability Statement
Conflicts of Interest
References
- Hu, Y.; Kallianpur, G. Schrödinger equations with fractional Laplacians. Appl. Math. Optim. 2000, 42, 281–290. [Google Scholar] [CrossRef]
- Guo, X.; Xu, M. Some physical applications of fractional Schrödinger equation. J. Math. Phys. 2006, 47, 082104. [Google Scholar] [CrossRef]
- Guo, B.; Han, Y.; Xin, J. Existence of the global smooth solution to the period boundary value problem of fractional nonlinear Schrödinger equation. Appl. Math. Comput. 2008, 204, 468–477. [Google Scholar] [CrossRef]
- Li, C.P.; Yi, Q.; Chen, A. Finite difference methods with non-uniform meshes for nonlinear fractional differential equations. J. Comput. Phys. 2016, 316, 614–631. [Google Scholar] [CrossRef]
- Peranich, L. A finite difference scheme for solving a nonlinear Schrödinger equation with a linear damping term. J. Comput. Phys. 1987, 68, 501–505. [Google Scholar] [CrossRef]
- Ciegis, R.; Pakalnyte, V. The finite difference scheme for the solution of weakly damped non-linear Schrödinger equation. Int. J. Appl. Math. Comput. Sci. 2001, 8, 127–134. [Google Scholar]
- Liu, Q.; Zeng, F.H.; Li, C.P. Finite difference method for time-space-fractional Schrödinger equation. Int. J. Comput. Math. 2015, 92, 1439–1451. [Google Scholar] [CrossRef]
- Zhang, Y.; Feng, X.; Qian, L. A second-order L2-1σ difference scheme for the non-linear time-space fractional Schrödinger equation. Commun. Nonlinear Sci. Numer. Simul. 2024, 131, 107839. [Google Scholar] [CrossRef]
- Liu, Y.; Maohua, R. Arbitrarily high-order explicit energy-conserving methods for the generalized nonlinear fractional Schrödinger wave equations. Math. Comput. Simul. 2024, 216, 126–144. [Google Scholar] [CrossRef]
- Yuan, W.Q.; Zhang, C.J.; Li, D.F. Linearized fast time-stepping schemes for time-space frac-tional Schrödinger equations. Phys. D 2023, 454, 133865. [Google Scholar] [CrossRef]
- Li, Z.; Chen, Q.; Wang, Y.; Li, X. Solving two-sided fractional super-diffusive partial differential equations with variable coefficients in a class of new reproducing kernel spaces. Fractal Fract. 2022, 6, 492. [Google Scholar] [CrossRef]
- Li, H.W.; Chen, L.L. Numerical solution of nonlinear Schrödinger equation with damping term on unbounded domain. Appl. Math. Lett. 2024, 148, 108893. [Google Scholar] [CrossRef]
- Cai, J.; Chen, J. Efficient dissipation-preserving approaches for the damped nonlinear Schrödinger equation. Appl. Numer. Math. 2023, 183, 173–185. [Google Scholar] [CrossRef]
- Li, C.P.; Li, Z.Q. The blow-up and global existence of solution to Caputo-Hadamard fractional partial differential equation with fractional Laplacian. J. Nonlinear Sci. 2021, 31, 80. [Google Scholar] [CrossRef]
- Guo, S.; Yan, W.; Li, C.; Mei, L. Dissipation-preserving rational spectral-Galerkin method for strongly damped nonlinear wave system involving mixed fractional Laplacians in unbounded domain. J. Sci. Comput. 2022, 93, 53. [Google Scholar] [CrossRef]
- Bashan, A.; Yagmurlu, N.M.; Ucar, Y.; Esen, A. An effective approach to numerical soliton solu-tions for the Schrödinger equation via modified cubic B-spline differential quadrature method. Chaos Solitons Fractals 2017, 100, 45–56. [Google Scholar] [CrossRef]
- Braun, M. Numerical solution of the one dimensional Schrödinger equation using a basis set of scaled and shifted sinc functions on a finite interval. J. Comput. Appl. Math. 2023, 429, 115224. [Google Scholar] [CrossRef]
- Kulagin, A.E.; Shapovalov, A.V. A semiclassical approach to the nonlinear Schrödinger equation with a non-Hermitian term. Mathematics 2024, 12, 580. [Google Scholar] [CrossRef]
- Aldhafeeri, A.; Al Nuwairan, M. Bifurcation of some novel wave solutions for modified non-linear Schrödinger equation with time M-fractional derivative. Mathematics 2023, 11, 1219. [Google Scholar] [CrossRef]
- Liaqat, M.I.; Akgül, A. A novel approach for solving linear and nonline-ar time-fractional Schrödinger equations. Chaos Solitons Fractals 2022, 162, 112487. [Google Scholar] [CrossRef]
- He, J.H.; Jiao, M.L.; He, C.H. Homotopy perturbation method for fractal duffing oscilla-tors with arbitrary conditions. Fractals 2022, 30, 2250165. [Google Scholar] [CrossRef]
- Zhang, H.; Jiang, X.Y.; Wang, C.; Chen, S. Crank-Nicolson Fourier spectral methods for the space fractional nonlinear Schrödinger equation and its parameter estimation. Int. J. Comput. Math. 2019, 96, 238–263. [Google Scholar] [CrossRef]
- Abdolabadi, F.; Zakeri, A.; Amiraslani, A. A split-step Fourier pseudo-spectral method for solving the space fractional coupled nonlinear Schrödinger equations. Commun. Nonlinear Sci. Numer. Simul. 2023, 120, 107150. [Google Scholar] [CrossRef]
- Han, C.; Wang, Y.L.; Li, Z.Y. A high-precision numerical approach to solving space frac-tional Gray-Scott model. Appl. Math. Lett. 2022, 125, 107759. [Google Scholar] [CrossRef]
- Bai, D.M.; Wang, J.L. The time-splitting Fourier spectral method for the coupled Schrödinger-Boussinesq equations. Commun. Nonlinear Sci. Numer. Simul. 2012, 17, 1201–1210. [Google Scholar] [CrossRef]
- Liang, X.; Khaliq, A.Q.M. An efficient Fourier spectral exponential time differencing method for the space-fractional nonlinear Schrodinger equations. Comput. Math. Appl. 2018, 75, 4438–4457. [Google Scholar] [CrossRef]
- Farag, N.G.A.; Eltanboly, A.H.; El-Azab, M.S.; Obayya, S.S.A. Numerical solutions of the (2+1)-dimensional nonlinear and linear time-dependent Schrödingerr equations using three efficient approximate schemes. Fractal Fract. 2023, 7, 188. [Google Scholar] [CrossRef]
- Cheng, B.R.; Guo, Z.H. Regularized splitting spectral method for space-fractional logarithmic Schrödinger equation. Appl. Numer. Math. 2021, 167, 330–355. [Google Scholar] [CrossRef]
- Han, C.; Wang, Y.L.; Li, Z.Y. Novel patterns in a class of fractional reaction-diffusion models with the Riesz fractional derivative. Math. Comput. Simul. 2022, 202, 149–163. [Google Scholar]
- Ning, J.; Wang, Y.L. Fourier spectral method for solving fractional-in-space variable coeffi-cient KdV-Burgers equation. Indian J. Phys. 2023. [Google Scholar] [CrossRef]












| Imaginary Part | Real Part | Modulus | |
|---|---|---|---|
![]() | |||
![]() | |||
![]() | |||
| Initial Condition | Imaginary Part | Real Part | Modulus |
|---|---|---|---|
![]() | |||
![]() | |||
![]() | |||
Disclaimer/Publisher’s Note: The statements, opinions and data contained in all publications are solely those of the individual author(s) and contributor(s) and not of MDPI and/or the editor(s). MDPI and/or the editor(s) disclaim responsibility for any injury to people or property resulting from any ideas, methods, instructions or products referred to in the content. |
© 2024 by the authors. Licensee MDPI, Basel, Switzerland. This article is an open access article distributed under the terms and conditions of the Creative Commons Attribution (CC BY) license (https://creativecommons.org/licenses/by/4.0/).
Share and Cite
Tian, F.; Wang, Y.; Li, Z. Numerical Simulation of Soliton Propagation Behavior for the Fractional-in-Space NLSE with Variable Coefficients on Unbounded Domain. Fractal Fract. 2024, 8, 163. https://doi.org/10.3390/fractalfract8030163
Tian F, Wang Y, Li Z. Numerical Simulation of Soliton Propagation Behavior for the Fractional-in-Space NLSE with Variable Coefficients on Unbounded Domain. Fractal and Fractional. 2024; 8(3):163. https://doi.org/10.3390/fractalfract8030163
Chicago/Turabian StyleTian, Fengzhou, Yulan Wang, and Zhiyuan Li. 2024. "Numerical Simulation of Soliton Propagation Behavior for the Fractional-in-Space NLSE with Variable Coefficients on Unbounded Domain" Fractal and Fractional 8, no. 3: 163. https://doi.org/10.3390/fractalfract8030163
APA StyleTian, F., Wang, Y., & Li, Z. (2024). Numerical Simulation of Soliton Propagation Behavior for the Fractional-in-Space NLSE with Variable Coefficients on Unbounded Domain. Fractal and Fractional, 8(3), 163. https://doi.org/10.3390/fractalfract8030163







