Investigation of the Time Fractional Higher-Dimensional Nonlinear Modified Equation of Wave Propagation
Abstract
1. Introduction
2. Symmetry Scheme of Equation (1)
3. Optimal System of Equation (1)
4. One-Parameter Lie Transformation Group of Equation (1)
5. Similarity Reduction and Similarity Solution of Equation (1)
5.1. Similarity Reduction of Equation (1)
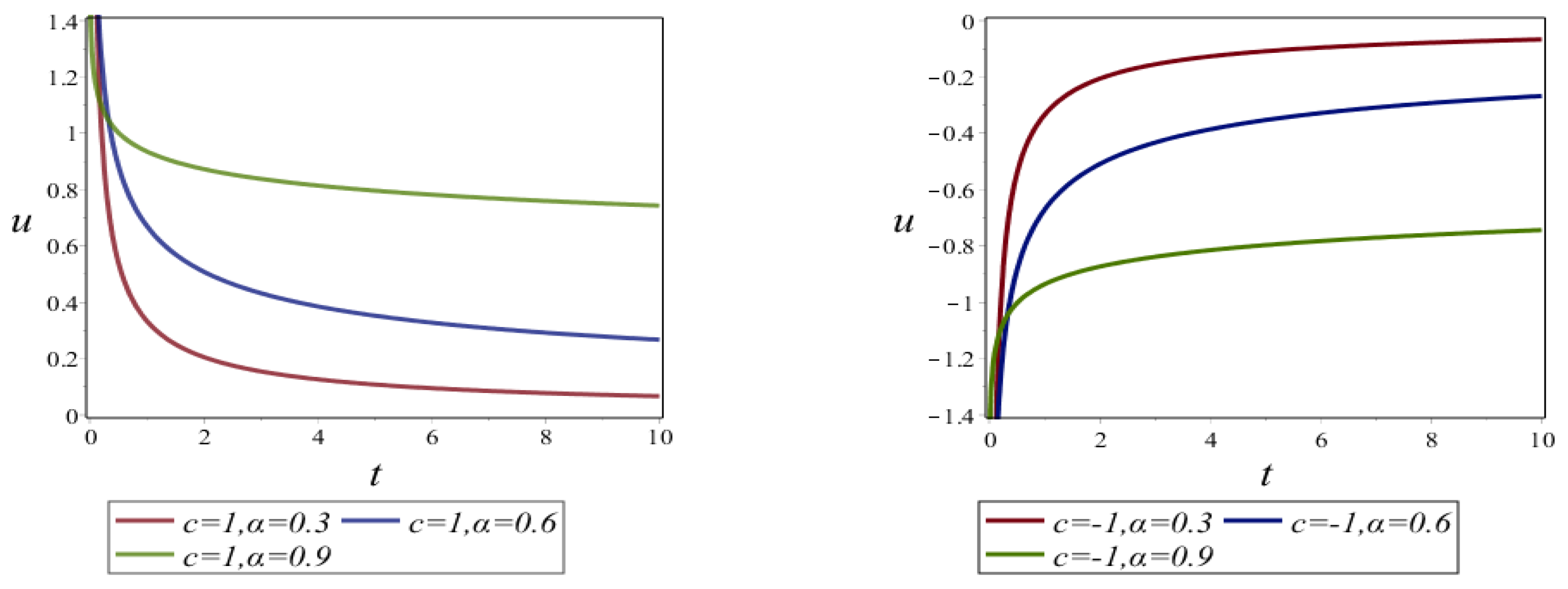
5.2. Similarity Solution of Equation (24)
6. Conclusions and Discussion
Author Contributions
Funding
Data Availability Statement
Acknowledgments
Conflicts of Interest
References
- Atangana, A.; Nieto, J.J. Numerical solution for the model of RLC circuit via the fractional derivative without singular kernel. Adv. Mech. Eng. 2015, 7, 1687814015613758. [Google Scholar] [CrossRef]
- Schaub, M.; Abadi, F. Integrated population models: A novel analysis framework for deeper insights into population dynamics. J. Ornithol. 2011, 152, 227–237. [Google Scholar] [CrossRef]
- Letellier, C.; Aziz-Alaoui, M.A. Analysis of the dynamics of a realistic ecological model. Chaos Solitons Fractals 2002, 13, 95–107. [Google Scholar] [CrossRef]
- Lax, P.D. Periodic solutions of the KdV equation. Commun. Pure Appl. Math. 1975, 28, 141–188. [Google Scholar] [CrossRef]
- Caraballo Garrido, T.; Ngoc, T.B.; Thach, T.N.; Tuan, N.H. On initial value and terminal value problems for subdiffusive stochastic Rayleigh-Stokes equation. Discret. Contin. Dyn. Syst. Ser. B 2020, 26, 4299–4323. [Google Scholar] [CrossRef]
- Wazwaz, A.-M. Exact soliton and kink solutions for new (3 + 1)-dimensional nonlinear modified equations of wave propagation. Open Eng. 2017, 7, 169–174. [Google Scholar] [CrossRef]
- Samko, S.; Kilbas, A.A.; Marichev, O. Fractional Integral and Derivatives: Theory and Applications; Gordon and Breach Science: Yverdon, Switzerland, 1993. [Google Scholar]
- Podlubny, I. Fractional Differential Equations; Academic Press: San Diego, CA, USA, 1999. [Google Scholar]
- Yang, X.J. General Fractional Derivatives: Theory, Methods and Applications; CRC Press: New York, NY, USA, 2019. [Google Scholar]
- Wang, K.-J. A fractal modification of the unsteady Korteweg–de Vries model and its generalized fractal variational principle and diverse exact solutions. Fractals 2022, 30, 2250192. [Google Scholar] [CrossRef]
- Henry, B.I.; Langlands, T.A.; Straka, P. An introduction to fractional diffusion. Complex Phys. Biophys. Econophys. Syst. 2010, 9, 37–89. [Google Scholar]
- Seadawy, A.R.; Ali, K.K.; Nuruddeen, R.I. Avariety of soliton solutions for the fractional Wazwaz-Benjamin-Bona-Mahony equations. Results Phys. 2019, 12, 2234–2241. [Google Scholar] [CrossRef]
- Liu, Q.; Zhou, Y.; Li, K.; Zhang, S. Application of the dynamical system method and the deep learning method to solve the new (3 + 1)-dimensional fractional modified Benjamin-Bona-Mahony equation. Nonlinear Dyn. 2022, 110, 3737–3750. [Google Scholar] [CrossRef]
- Shakeel, M.; Turki, N.B.; Shah, N.A.; Tag, S.M. Diversity of Soliton Solutions to the (3 + 1)-Dimensional Wazwaz-Benjamin-Bona-Mahony Equations Arising in Mathematical Physics. Results Phys. 2023, 51, 106624. [Google Scholar] [CrossRef]
- Bilal, M.; Younas, U.; Baskonus, H.M.; Younis, M. Investigation of shallow water waves and solitary waves to the conformable 3D-WBBM model by an analytical method. Phys. Lett. A 2021, 403, 127388. [Google Scholar] [CrossRef]
- Rezazadeh, H.; Inc, M.; Baleanu, D. New solitary wave solutions for variants of (3 + 1)-dimensional Wazwaz-Benjamin-Bona-Mahony equations. Front. Phys. 2020, 8, 332. [Google Scholar] [CrossRef]
- Adeyemo, O.D.; Zhang, L.; Khalique, C.M. Optimal solutions of Lie subalgebra, dynamical system, travelling wave solutions and conserved currents of (3 + 1)-dimensional generalized Zakharov-Kuznetsov equation type I. Eur. Phys. J. Plus 2022, 137, 954. [Google Scholar] [CrossRef]
- Liu, J.-G.; Zhang, Y.-F.; Wang, J.-J. Investigation of the time fractional generalized (2 + 1)-dimensional Zakharov-Kuznetsov equation with single-power law nonlinearity. Fractals 2023, 31, 2350033. [Google Scholar] [CrossRef]
- Liu, J.-G.; Yang, X.-J.; Feng, Y.-Y.; Cui, P.; Geng, L.-L. On integrability of the higher-dimensional time fractional KdV-type equation. J. Geom. Phys. 2021, 160, 104000. [Google Scholar] [CrossRef]
- Liu, J.-G.; Yang, X.-J.; Geng, L.-L.; Yu, X.-J. On fractional symmetry group scheme to the higher dimensional space and time fractional dissipative Burgers equation. Int. J. Geom. Methods Mod. Phys. 2022, 19, 2250173. [Google Scholar] [CrossRef]
- Liu, J.-G.; Geng, F.-Z.; Li, X. Supplement a high-dimensional time fractional diffusion equation. Alex. Eng. J. 2023, 15, 459–464. [Google Scholar] [CrossRef]
- Sahoo, S.; Ray, S.S. Analysis of Lie symmetries with conservation laws for the (3+1) dimensional time-fractional mKdV-ZK equation in ion-acoustic waves. Nonlinear Dyn. 2017, 90, 1105–1113. [Google Scholar] [CrossRef]
- Jiang, Z.; Zhang, Z.G.; Li, J.J.; Yang, H.W. Analysis of Lie symmetries with conservation laws and solutions of generalized (4 + 1)-dimensional time-fractional Fokas equation. Fractal Fract. 2022, 6, 108. [Google Scholar] [CrossRef]
- Zhu, H.-M.; Zhang, Z.-Y.; Zheng, J. The time-fractional (2 + 1)-dimensional Hirota-Satsuma-Ito equations: Lie symmetries, power series solutions and conservation laws. Commun. Nonlinear Sci. Numer. Simul. 2022, 115, 106724. [Google Scholar] [CrossRef]
- Bluman, G.W.; Anco, S. Symmetry and Integration Methods for Differential Equations; Springer: Berlin/Heidelberg, Germany, 2002. [Google Scholar]
- Olver, P.J. Applications of Lie Groups to Differential Equations; Springer: Berlin/Heidelberg, Germany, 1986. [Google Scholar]
- Kiryakova, V.S. Generalized Fractional Calculus and Applications; Longman Scientific & Technical, Longman Group: Harlow, UK, 1994. [Google Scholar]

| 0 | ||||
| 0 | 0 | 0 | ||
| 0 | 0 | 0 | ||
| 0 | 0 | 0 |
Disclaimer/Publisher’s Note: The statements, opinions and data contained in all publications are solely those of the individual author(s) and contributor(s) and not of MDPI and/or the editor(s). MDPI and/or the editor(s) disclaim responsibility for any injury to people or property resulting from any ideas, methods, instructions or products referred to in the content. |
© 2024 by the authors. Licensee MDPI, Basel, Switzerland. This article is an open access article distributed under the terms and conditions of the Creative Commons Attribution (CC BY) license (https://creativecommons.org/licenses/by/4.0/).
Share and Cite
Liu, J.-G.; Feng, Y.-Y. Investigation of the Time Fractional Higher-Dimensional Nonlinear Modified Equation of Wave Propagation. Fractal Fract. 2024, 8, 124. https://doi.org/10.3390/fractalfract8030124
Liu J-G, Feng Y-Y. Investigation of the Time Fractional Higher-Dimensional Nonlinear Modified Equation of Wave Propagation. Fractal and Fractional. 2024; 8(3):124. https://doi.org/10.3390/fractalfract8030124
Chicago/Turabian StyleLiu, Jian-Gen, and Yi-Ying Feng. 2024. "Investigation of the Time Fractional Higher-Dimensional Nonlinear Modified Equation of Wave Propagation" Fractal and Fractional 8, no. 3: 124. https://doi.org/10.3390/fractalfract8030124
APA StyleLiu, J.-G., & Feng, Y.-Y. (2024). Investigation of the Time Fractional Higher-Dimensional Nonlinear Modified Equation of Wave Propagation. Fractal and Fractional, 8(3), 124. https://doi.org/10.3390/fractalfract8030124
