Fractional Partial Differential Equation Modeling for Solar Cell Charge Dynamics
Abstract
1. Introduction
2. Formulation of the Problem
2.1. Fractional Continuity Equation for Electrons
2.2. Fractional Continuity Equation for Holes
2.3. Poisson’s Equation
2.4. Charge Pair Density Equation
2.5. Current Density Equations
3. Method of Solution
3.1. Caputo’s Fractional Derivative
3.2. Using Lagrange Polynomials Within the Differential Quadrature Method (PDQM)
3.3. Using Cardinal Sine Within the Differential Quadrature Method (SDQM)
3.4. Differential Quadrature Discretization via the Block-Marching Method
- 1-
- The initial step involves solving Equations (38)–(41) as a linear system:
- 2-
- Subsequently, an iterative solution procedure is implemented to solve the system of equations. This iterative process continues until a pre-defined convergence criterion is satisfied.where
4. Study Results
- ▪
- Number of blocks : This controls the overall number of subintervals in the time domain. The error norms generally decrease as the number of blocks increases for a fixed number of time levels (L) and temporal discretization (δt). This suggests that using more blocks can improve the accuracy of the non-uniform PDQM method. However, the CPU time also increases with the number of blocks, as there are more subintervals to compute over.
- ▪
- Time levels associated with each block (L): This determines the number of grid points within each block. The error norms generally decrease as the number of time levels (L) increases for a fixed number of blocks and temporal discretization (δt). This indicates that using more time levels within each block refines the grid and leads to higher accuracy. As with block numbers, this improvement in accuracy comes at the cost of increased CPU time.
- ▪
- Temporal discretization (δt): This represents the size of the time steps used in the computations. The error norms decrease as the temporal discretization (δt) gets smaller (finer grid) for all values of and L shown in the table. This confirms that the non-uniform PDQM method is convergent for the given conditions. There is a trade-off here as well, with a finer grid size leading to more accurate results but requiring more computational resources.
- ▪
- Number of blocks : The error norms generally decrease as the number of blocks increases for all values of L and δt. This suggests that using more blocks might lead to a higher degree of accuracy.
- ▪
- Time levels associated with each block (L): The effect of varying time levels (L) on the error norms is not entirely clear from the table. While some trends are observed (e.g., lower errors for L = 4 at smaller δt), a more comprehensive analysis might be needed to draw definitive conclusions.
- ▪
- Temporal discretization (δt): As expected, the error norms generally decrease with a finer temporal discretization (smaller δt) for all values of and L. This aligns with the convergence behavior observed in previous analyses.
- ▪
- Computational Cost: The CPU times for the non-uniform PDQM method significantly increase as the number of blocks () increases for all values of L and δt.
- ▪
- Spatial Discretization The error norms generally decrease as the spatial discretization gets finer (smaller ) for different fractional orders. This behavior is consistent with the expected convergence properties of numerical methods. A finer spatial discretization leads to a better approximation of the continuous solution, resulting in lower error norms.
- ▪
- Comparison of Fractional Orders (β): For most values of , the error norms are lower for β = 1.9 compared to β = 1.7. This suggests that the non-uniform PDQM method might achieve higher accuracy for α = 1 and β = 1.9 under these specific simulation conditions
- ▪
- Computational Cost: The computational cost, measured by CPU time, exhibits a positive correlation with decreasing spatial discretization (Δx). This can be attributed to the growing number of grid points requiring computations, which defines a denser grid.
- 1-
- Reduced Error Norms: The non-uniform PDQM achieves significantly lower error norms, indicating a superior ability to approximate the exact solution
- 2-
- Computational Efficiency: The method requires a lower number of grid points due to its non-uniform distribution. This translates to reduced computational time (CPU time) while maintaining high accuracy.
- ▪
- Confirmation of convergence: We acknowledge the expected convergence behavior of SDQM seen in the decreasing error norms with increasing blocks.
- ▪
- Comparison with previous methods: We specifically highlight the advantage of SDQM over the non-uniform PDQM by comparing error norms at lower block numbers .
- ▪
- Classical Diffusion (α =1, β = 2): This model represents integer-order derivatives and assumes a random walk for electron movement. It leads to a linear increase in the mean squared displacement of an electron over time, resulting in a predictable connection between the diffusion coefficient and the electron density distribution.
- ▪
- Fractional-Order Diffusion (0 < α ≤ 1, 1 < β ≤ 2): This model introduces a memory effect, allowing for a more complex description of electron transport. The influence on electron density depends on the specific values of α and β:
- 1-
- Subdiffusion (α < 0.5, β < 1.5): This describes hindered or trapped electron motion. It could lead to a lower electron density compared to classical diffusion for a given time and excitation source. This might occur due to:
- ▪
- Electrons get trapped in localized energy levels within the material, reducing their contribution to the overall density.
- ▪
- Frequent collisions with impurities or phonons limit electron movement, leading to a more localized distribution.
- 2-
- Superdiffusion (0.5 < α ≤ 1, 1 < β ≤ 2): This describes a more ballistic or long-range electron movement. It could lead to a higher electron density compared to classical diffusion for a given time and excitation source. This occurs due to:
- ▪
- Electrons can hop between distant sites within the material with less frequent scattering events, leading to a more spread-out distribution.
- ▪
- In some cases, electrons might exhibit wave-like behavior, resulting in a more delocalized state and potentially higher overall density.
- ▪
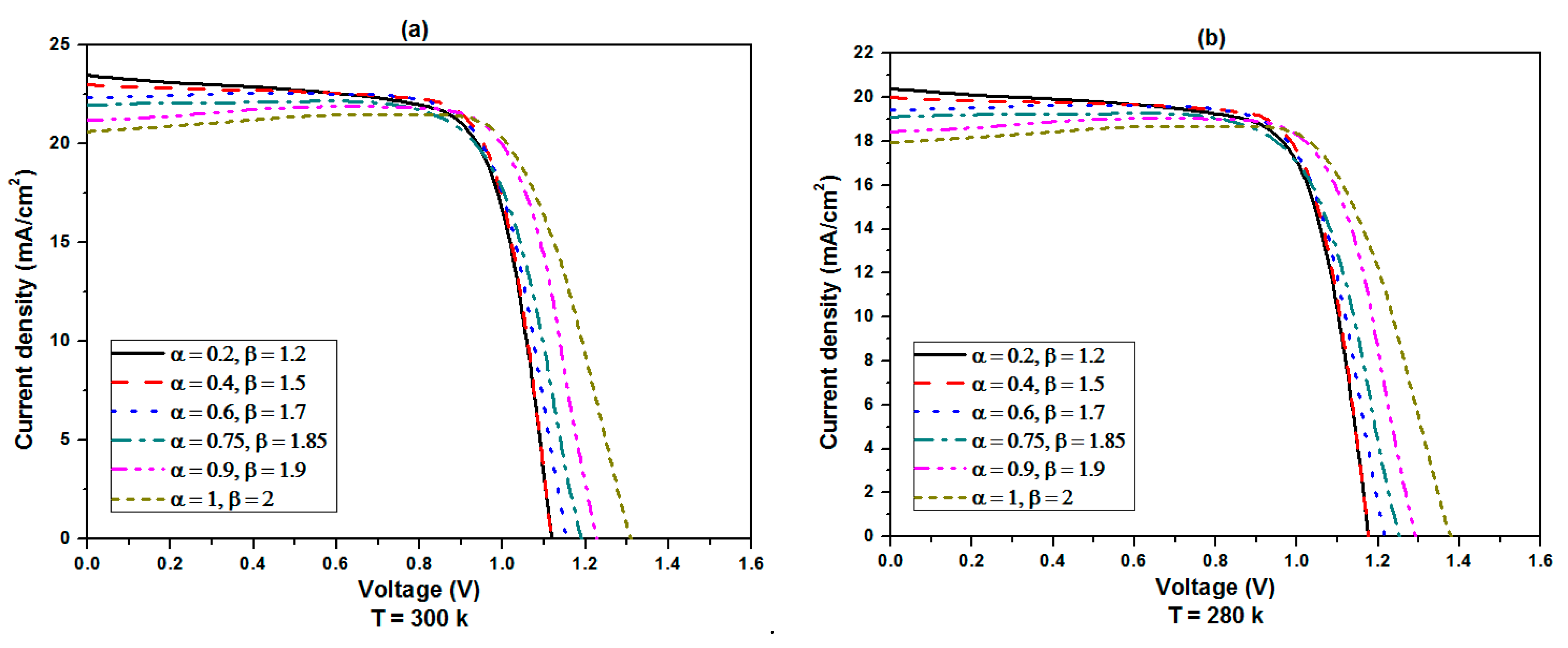
- Classical Diffusion (α = 1, β = 2): This model assumes a random walk process for electron movement and utilizes integer-order derivatives. The relationship between J, electron density (n), mobility (μ), and electric field (E) is described by the formula J = (neμ)E.
- ▪
- Fractional-Order Diffusion (0 < α ≤ 1, 1 < β ≤ 2): This model introduces a memory effect, capturing complex transport phenomena. The effect on J depends on the specific values of α and β:
- 1-
- Subdiffusion (α < 0.5, β < 1.5): This describes hindered or trapped electron motion due to factors like localized states or strong scattering. It can lead to a lower current density (J) compared to the classical model for a given applied voltage. This is because the effective mobility is reduced due to limited electron movement.
- 2-
- Superdiffusion (0.5 < α ≤ 1, 1 < β ≤ 2): This describes a more ballistic or long-range electron movement due to factors like long-range hopping or wave-like propagation. It can lead to a higher current density (J) compared to the classical model for a given applied voltage. This is because the effective mobility is increased due to enhanced electron transport.
- ▪
- Carrier mobility: As mentioned previously, α and β can impact the effective mobility of charge carriers (electrons/holes). Subdiffusion (α < 0.5, β < 1.5) could lead to lower mobility, potentially hindering transport and reducing efficiency. Conversely, superdiffusion (0.5 < α ≤ 1, 1 < β ≤ 2) could lead to higher mobility, potentially improving efficiency.
- ▪
- Recombination Rates: Fractional-order models might offer a more accurate representation of recombination processes, which significantly affect efficiency. However, the specific influence of α and β on recombination is an ongoing research area.
5. Discussion
6. Conclusions
- ▪
- Extension to More Complex Problems: The proposed method can be extended to tackle even more intricate problems involving fractional derivatives, expanding its applicability in various scientific domains.
- ▪
- Application to Diverse Solar Cell Types: Investigating the applicability of this method to other solar cell technologies, such as perovskite and dye-sensitized cells, could provide valuable insights into their behavior.
- ▪
- Performance Optimization Studies: By employing this method to systematically study the impact of different device parameters on performance, researchers can gain crucial knowledge for optimizing the design and fabrication of organic polymer solar cells.
Author Contributions
Funding
Data Availability Statement
Acknowledgments
Conflicts of Interest
References
- Jäger-Waldau, A. PV Status Report 2003; European Commission: Brussel, Belgium, 2007. [Google Scholar]
- MacKenzie, R.C.I.; Balderrama, V.S.; Schmeisser, S.; Stoof, R.; Greedy, S.; Pallarès, J.; Marsal, L.F.; Chanaewa, A.; Von Hauff, E. Loss Mechanisms in High Efficiency Polymer Solar Cells. Adv. Energy Mater. 2016, 6, 1501742. [Google Scholar] [CrossRef]
- Deibel, C.; Dyakonov, V. Polymer–Fullerene Bulk Heterojunction Solar Cells. Rep. Prog. Phys. 2010, 73, 96401. [Google Scholar] [CrossRef]
- Jørgensen, M.; Norrman, K.; Krebs, F.C. Stability/Degradation of Polymer Solar Cells. Sol. Energy Mater. Sol. Cells 2008, 92, 686–714. [Google Scholar] [CrossRef]
- Green, M.A. Third Generation Photovoltaics; Springer: Berlin/Heidelberg, Germany, 2006. [Google Scholar]
- Mayer, A.C.; Scully, S.R.; Hardin, B.E.; Rowell, M.W.; McGehee, M.D. Polymer-Based Solar Cells. Mater. Today 2007, 10, 28–33. [Google Scholar] [CrossRef]
- Günes, S.; Neugebauer, H.; Sariciftci, N.S. Conjugated Polymer-Based Organic Solar Cells. Chem. Rev. 2007, 107, 1324–1338. [Google Scholar] [CrossRef]
- Grätzel, M. Solar Energy Conversion by Dye-Sensitized Photovoltaic Cells. Inorg. Chem. 2005, 44, 6841–6851. [Google Scholar] [CrossRef]
- Bai, Y.; Cao, Y.; Zhang, J.; Wang, M.; Li, R.; Wang, P.; Zakeeruddin, S.M.; Grätzel, M. High-Performance Dye-Sensitized Solar Cells Based on Solvent-Free Electrolytes Produced from Eutectic Melts. Nat. Mater. 2008, 7, 626–630. [Google Scholar] [CrossRef]
- Krebs, F.C. All Solution Roll-to-Roll Processed Polymer Solar Cells Free from Indium-Tin-Oxide and Vacuum Coating Steps. Org. Electron. 2009, 10, 761–768. [Google Scholar] [CrossRef]
- Krebs, F.C.; Senkovskyy, V.; Kiriy, A. Preorganization of Nanostructured Inks for Roll-to-Roll-Coated Polymer Solar Cells. IEEE J. Sel. Top. Quantum Electron. 2010, 16, 1821–1826. [Google Scholar] [CrossRef]
- Hu, C.; Dai, Q.; Dai, L. Multifunctional Carbon-Based Metal-Free Catalysts for Advanced Energy Conversion and Storage. Cell Rep. Phys. Sci. 2021, 2, 100328. [Google Scholar] [CrossRef]
- Liang, C.; Wang, Y.; Li, D.; Ji, X.; Zhang, F.; He, Z. Modeling and Simulation of Bulk Heterojunction Polymer Solar Cells. Sol. Energy Mater. Sol. Cells 2014, 127, 67–86. [Google Scholar] [CrossRef]
- Wagner, J.; Fritz, T.; Böttcher, H. Computer Modelling of Organic Thin Film Solar Cells. i. Exciton Model of Photocurrent Generation. Phys. Status Solidi A 1993, 136, 423–432. [Google Scholar] [CrossRef]
- Akaike, K. Distributions of Potential and Contact-Induced Charges in Conventional Organic Photovoltaics. Materials 2020, 13, 2411. [Google Scholar] [CrossRef] [PubMed]
- Mustafa, A.; Ragb, O.; Salah, M.; Salama, R.S.; Mohamed, M. Distinctive Shape Functions of Fractional Differential Quadrature for Solving Two-Dimensional Space Fractional Diffusion Problems. Fractal Fract. 2023, 7, 668. [Google Scholar] [CrossRef]
- De Falco, C.; Sacco, R.; Verri, M. Analytical and Numerical Study of Photocurrent Transients in Organic Polymer Solar Cells. Comput. Methods Appl. Mech. Eng. 2010, 199, 1722–1732. [Google Scholar] [CrossRef][Green Version]
- Buxton, G.A.; Clarke, N. Computer Simulation of Polymer Solar Cells. Model. Simul. Mater. Sci. Eng. 2006, 15, 13. [Google Scholar] [CrossRef]
- Hwang, I.; Greenham, N.C. Modeling Photocurrent Transients in Organic Solar Cells. Nanotechnology 2008, 19, 424012. [Google Scholar] [CrossRef]
- Van Mensfoort, S.L.M.; Coehoorn, R. Effect of Gaussian Disorder on the Voltage Dependence of the Current Density in Sandwich-Type Devices Based on Organic Semiconductors. Phys. Rev. B 2008, 78, 85207. [Google Scholar] [CrossRef]
- Koster, L.J.A.; Smits, E.C.P.; Mihailetchi, V.D.; Blom, P.W.M. Device Model for the Operation of Polymer/Fullerene Bulk Heterojunction Solar Cells. Phys. Rev. B 2005, 72, 85205. [Google Scholar] [CrossRef]
- Gatti, E.; Micheletti, S.; Sacco, R. A New Galerkin Framework for the Drift-Diffusion Equation in Semiconductors. East-West J. Numer. Math. 1998, 2, 101–135. [Google Scholar]
- Lazarov, R.D.; Zikatanov, L.T. An Exponential Fitting Scheme for General Convection-Diffusion Equations on Tetrahedral Meshes. arXiv 2012, arXiv:1211.0869. [Google Scholar]
- Fomin, S.; Chugunov, V.; Hashida, T. Application of Fractional Differential Equations for Modeling the Anomalous Diffusion of Contaminant from Fracture into Porous Rock Matrix with Bordering Alteration Zone. Transp. Porous Media 2010, 81, 187–205. [Google Scholar] [CrossRef]
- Wang, K.; Wang, H. A Fast Characteristic Finite Difference Method for Fractional Advection–Diffusion Equations. Adv. Water Resour. 2011, 34, 810–816. [Google Scholar] [CrossRef]
- Maamri, N.; Trigeassou, J.-C. A Comparative Analysis of Two Algorithms for the Simulation of Fractional Differential Equations. Int. J. Dyn. Control 2020, 8, 302–311. [Google Scholar] [CrossRef]
- Mohamed, M.; Mabrouk, S.M.; Rashed, A.S. Mathematical Investigation of the Infection Dynamics of COVID-19 Using the Fractional Differential Quadrature Method. Computation 2023, 11, 198. [Google Scholar] [CrossRef]
- Metzler, R.; Klafter, J. The Random Walk’s Guide to Anomalous Diffusion: A Fractional Dynamics Approach. Phys. Rep. 2000, 339, 1–77. [Google Scholar] [CrossRef]
- Mirza, I.A.; Akram, M.S.; Shah, N.A.; Imtiaz, W.; Chung, J.D. Analytical Solutions to the Advection-Diffusion Equation with Atangana-Baleanu Time-Fractional Derivative and a Concentrated Loading. Alex. Eng. J. 2021, 60, 1199–1208. [Google Scholar] [CrossRef]
- Khan, H.; Kumam, P.; Khan, Q.; Tchier, F.; Sitthithakerngkiet, K.; Dassios, I. A New Modified Analytical Approach for the Solution of Time-Fractional Convection–Diffusion Equations With Variable Coefficients. Front. Phys. 2022, 10, 900502. [Google Scholar] [CrossRef]
- Attar, M.A.; Roshani, M.; Hosseinzadeh, K.; Ganji, D.D. Analytical Solution of Fractional Differential Equations by Akbari–Ganji’s Method. Partial Differ. Equ. Appl. Math. 2022, 6, 100450. [Google Scholar]
- Shah, R.; Khan, H.; Mustafa, S.; Kumam, P.; Arif, M. Analytical Solutions of Fractional-Order Diffusion Equations by Natural Transform Decomposition Method. Entropy 2019, 21, 557. [Google Scholar] [CrossRef]
- Maldon, B.; Thamwattana, N. A Fractional Diffusion Model for Dye-Sensitized Solar Cells. Molecules 2020, 25, 2966. [Google Scholar] [CrossRef]
- Aboelenen, T. A Direct Discontinuous Galerkin Method for Fractional Convection-Diffusion and Schrödinger-Type Equations. Eur. Phys. J. Plus 2018, 133, 316. [Google Scholar] [CrossRef]
- Parvizi, M.; Eslahchi, M.R.; Dehghan, M. Numerical Solution of Fractional Advection-Diffusion Equation with a Nonlinear Source Term. Numer. Algorithms 2015, 68, 601–629. [Google Scholar] [CrossRef]
- Singh, J.; Swroop, R.; Kumar, D. A Computational Approach for Fractional Convection-Diffusion Equation via Integral Transforms. Ain Shams Eng. J. 2018, 9, 1019–1028. [Google Scholar] [CrossRef]
- Bi, Y.; Jiang, Z. The Finite Volume Element Method for the Two-Dimensional Space-Fractional Convection–Diffusion Equation. Adv. Differ. Equ. 2021, 2021, 379. [Google Scholar] [CrossRef]
- Ding, H.; Zhang, Y. New Numerical Methods for the Riesz Space Fractional Partial Differential Equations. Comput. Math. Appl. 2012, 63, 1135–1146. [Google Scholar] [CrossRef]
- Anley, E.F.; Zheng, Z. Finite Difference Approximation Method for a Space Fractional Convection–Diffusion Equation with Variable Coefficients. Symmetry 2020, 12, 485. [Google Scholar] [CrossRef]
- Liu, J.; Zhang, J.; Zhang, X. Semi-Discretized Numerical Solution for Time Fractional Convection–Diffusion Equation by RBF-FD. Appl. Math. Lett. 2022, 128, 107880. [Google Scholar] [CrossRef]
- Saadeh, R. Numerical Solutions of Fractional Convection-Diffusion Equation Using Finite-Difference and Finite-Volume Schemes. J. Math. Comput. Sci. 2021, 11, 7872–7891. [Google Scholar]
- Ragb, O.; Mohamed, M.; Matbuly, M.S.; Civalek, O. Sinc and Discrete Singular Convolution for Analysis of Three-layer Composite of Perovskite Solar Cell. Int. J. Energy Res. 2022, 4, 4279–4300. [Google Scholar] [CrossRef]
- Mustafa, A.; Salama, R.S.; Mohamed, M. Analysis of Generalized Nonlinear Quadrature for Novel Fractional-Order Chaotic Systems Using Sinc Shape Function. Mathematics 2023, 11, 1932. [Google Scholar] [CrossRef]
- Yang, Y.; Nawrocki, R.A.; Voyles, R.M.; Zhang, H.H. A Fractional Drift Diffusion Model for Organic Semiconductor Devices. Comput. Mater. Contin. 2021, 69, 237–266. [Google Scholar] [CrossRef]
- Choo, K.Y.; Muniandy, S.V.; Woon, K.L.; Gan, M.T.; Ong, D.S. Modeling Anomalous Charge Carrier Transport in Disordered Organic Semiconductors Using the Fractional Drift-Diffusion Equation. Org. Electron. 2017, 41, 157–165. [Google Scholar] [CrossRef]
- Tress, W.; Leo, K.; Riede, M. Optimum Mobility, Contact Properties, and Open-Circuit Voltage of Organic Solar Cells: A Drift-Diffusion Simulation Study. Phys. Rev. B 2012, 85, 155201. [Google Scholar] [CrossRef]
- Fallahpour, A.H.; Di Carlo, A.; Lugli, P. Sensitivity of the Drift-Diffusion Approach in Estimating the Power Conversion Efficiency of Bulk Heterojunction Polymer Solar Cells. Energies 2017, 10, 285. [Google Scholar] [CrossRef]
- Caputo, M. Linear Models of Dissipation Whose Q Is Almost Frequency Independent—II. Geophys. J. Int. 1967, 13, 529–539. [Google Scholar] [CrossRef]
- Weilbeer, M. Efficient Numerical Methods for Fractional Differential Equations and Their Analytical Background; Papierflieger: Clausthal-Zellerfeld, Germany, 2006. [Google Scholar]
- Shu, C. Differential Quadrature and Its Application in Engineering; Springer Science & Business Media: Berlin/Heidelberg, Germany, 2012; ISBN 1447104072. [Google Scholar]
- Ragb, O.; Mohamed, M.; Matbuly, M.S.; Civalek, O. Nonlinear Analysis of Organic Polymer Solar Cells Using Differential Quadrature Technique with Distinct and Unique Shape Function. CMES Comput. Model. Eng. Sci 2023, 137, 8992. [Google Scholar] [CrossRef]
- Abdelfattah, W.M.; Ragb, O.; Salah, M.; Mohamed, M. A Robust and Versatile Numerical Framework for Modeling Complex Fractional Phenomena: Applications to Riccati and Lorenz Systems. Fractal Fract. 2024, 8, 647. [Google Scholar] [CrossRef]
- Shu, C.; Yao, Q.; Yeo, K.S. Block-Marching in Time with DQ Discretization: An Efficient Method for Time-Dependent Problems. Comput. Methods Appl. Mech. Eng. 2002, 191, 4587–4597. [Google Scholar] [CrossRef]
- Shu, C.; Richards, B.E. Application of Generalized Differential Quadrature to Solve Two-dimensional Incompressible Navier-Stokes Equations. Int. J. Numer. Methods Fluids 1992, 15, 791–798. [Google Scholar] [CrossRef]
- Ahmad, S.W.; Sarwar, M.; Shah, K.; Ahmadian, A.; Salahshour, S. Fractional Order Mathematical Modeling of Novel Corona Virus (COVID-19). Math. Methods Appl. Sci. 2023, 46, 7847–7860. [Google Scholar] [CrossRef]
- Anley, E.F.; Zheng, Z. Finite Difference Method for Two-Sided Two Dimensional Space Fractional Convection-Diffusion Problem with Source Term. Mathematics 2020, 8, 1878. [Google Scholar] [CrossRef]
- Ragb, O.; Mohamed, M.; Matbuly, M.S.; Civalek, O. An Accurate Numerical Approach for Studying Perovskite Solar Cells. Int. J. Energy Res. 2021, 45, 16456–16477. [Google Scholar] [CrossRef]







| Non-Uniform PDQM | CPU Time | Previous Studies [19,44] | CPU Time | Non-Uniform PDQM | CPU Time | Previous Studies [19,44] | CPU Time | ||||
|---|---|---|---|---|---|---|---|---|---|---|---|
| 1/5 | 0.0006 | 1.15 | 1/100 | 1.118 × 10−4 | 15.8 | 1/5 | 0.0003 | 1.18 | 1/100 | 4.443 × 10−5 | 16.1 |
| 1/10 | 3.6325 × 10−5 | 1.17 | 1/200 | 5.416 × 10−5 | 26.4 | 1/10 | 1.0445 × 10−5 | 1.205 | 1/200 | 1.277 × 10−5 | 27.3 |
| 1/15 | 2.2635 × 10−5 | 1.2 | 1/400 | 2.300 × 10−5 | 49.0 | 1/15 | 8.2147 × 10−6 | 1.22 | 1/400 | 3.033 × 10−6 | 49.6 |
| 1/20 | 7.5990 × 10−5 | 1.23 | 1/800 | 6.886 × 10−6 | 89.5 | 1/20 | 5.1110 × 10−6 | 1.25 | 1/800 | 1.103 × 10−6 | 91.4 |
| 1/25 | 4.0251 × 10−6 | 1.3 | 1/1600 | 2.005 × 10−6 | 156.8 | 1/25 | 1.3281 × 10−6 | 1.33 | 1/1600 | 3.946 × 10−7 | 162.8 |
| 1/30 | 3.9523 × 10−6 | 1.35 | --- | --- | --- | 1/30 | 9.0147 × 10−7 | 1.4 | --- | --- | --- |
| L | Previous Studies [19,44] | CPU Time | ||||||||||
|---|---|---|---|---|---|---|---|---|---|---|---|---|
| Non-Uniform PDQM | CPU Time | Non-Uniform PDQM | CPU Time | Non-Uniform PDQM | CPU Time | Non-Uniform PDQM | CPU Time | |||||
| 1/5 | 0.005 | 0.90 | 0.00099 | 1.20 | 0.0003 | 1.23 | 1.9717 × 10−5 | 1.26 | 1/100 | 7.443 × 10−5 | 15.6 | |
| 1/10 | 9.8250 × 10−4 | 1.05 | 5.3124 × 10−5 | 1.25 | 1.0616 × 10−5 | 1.27 | 8.5178 × 10−6 | 130 | 1/200 | 3.085 × 10−5 | 26.2 | |
| 1/15 | 5.8749 × 10−4 | 1.10 | 4.0198 × 10−5 | 1.30 | 8.2288 × 10−6 | 1.33 | 5.8777 × 10−6 | 1.37 | 1/400 | 8.391 × 10−6 | 48.9 | |
| 1/20 | 9.0230 × 10−5 | 1.15 | 6.3132 × 10−6 | 1.35 | 5.2317 × 10−6 | 1.38 | 1.9466 × 10−6 | 1.41 | 1/800 | 3.141 × 10−6 | 88.7 | |
| 1/25 | 6.8764 × 10−5 | 1.20 | 4.8327 × 10−6 | 1.42 | 1.3660 × 10−6 | 1.46 | 9.9989 × 10−7 | 1.49 | 1/1600 | 9.358 × 10−7 | 155.2 | |
| 1/30 | 4.0005 × 10−5 | 1.25 | 2.2222 × 10−6 | 1.47 | 9.1489 × 10−7 | 1.51 | 6.7713 × 10−7 | 1.54 | --- | --- | --- | |
| 1/5 | 0.00099 | 1.15 | 0.00007 | 1.28 | 8.9470 × 10−5 | 1.32 | 9.1397 × 10−6 | 1.35 | 1/100 | 7.443 × 10−5 | 15.6 | |
| 1/10 | 4.7315 × 10−5 | 1.17 | 1.7146 × 10−5 | 1.36 | 9.8732 × 10−6 | 1.37 | 6.7486 × 10−6 | 141 | 1/200 | 3.085 × 10−5 | 26.2 | |
| 1/15 | 3.7195 × 10−5 | 1.20 | 9.7412 × 10−6 | 1.41 | 5.9702 × 10−6 | 1.45 | 4.0877 × 10−6 | 1.50 | 1/400 | 8.391 × 10−6 | 48.9 | |
| 1/20 | 7.4700 × 10−6 | 1.23 | 4.1415 × 10−6 | 1.47 | 3.0017 × 10−6 | 1.54 | 9.1486 × 10−7 | 1.58 | 1/800 | 3.141 × 10−6 | 88.7 | |
| 1/25 | 4.6233 × 10−6 | 1.30 | 2.0337 × 10−6 | 1.53 | 9.8200 × 10−7 | 1.60 | 6.3144 × 10−7 | 1.63 | 1/1600 | 9.358 × 10−7 | 155.2 | |
| 1/30 | 2.9583 × 10−6 | 1.35 | 9.8714 × 10−7 | 1.60 | 7.1739 × 10−7 | 1.66 | 4.0053 × 10−7 | 1.72 | --- | --- | --- | |
| 1/5 | 0.00045 | 1.18 | 3.8215 × 10−5 | 1.35 | 1.7493 × 10−5 | 1.40 | 7.0805 × 10−6 | 1.42 | 1/100 | 7.443 × 10−5 | 15.6 | |
| 1/10 | 2.1375 × 10−5 | 1.19 | 8.7657 × 10−6 | 1.40 | 7.0355 × 10−6 | 1.44 | 4.6245 × 10−6 | 147 | 1/200 | 3.085 × 10−5 | 26.2 | |
| 1/15 | 1.0009 × 10−5 | 1.20 | 6.0247 × 10−6 | 1.48 | 3.6974 × 10−6 | 1.53 | 1.9143 × 10−6 | 1.55 | 1/400 | 8.391 × 10−6 | 48.9 | |
| 1/20 | 6.1240 × 10−6 | 1.24 | 2.0522 × 10−6 | 1.56 | 1.8179 × 10−6 | 1.63 | 8.8887 × 10−7 | 1.70 | 1/800 | 3.141 × 10−6 | 88.7 | |
| 1/25 | 2.9140 × 10−6 | 1.31 | 9.3414 × 10−7 | 1.61 | 6.8397 × 10−7 | 1.67 | 3.4422 × 10−7 | 1.75 | 1/1600 | 9.358 × 10−7 | 155.2 | |
| 1/30 | 1.9975 × 10−6 | 1.37 | 7.0329 × 10−7 | 1.66 | 3.9274 × 10−7 | 1.72 | 1.8005 × 10−7 | 1.80 | --- | --- | --- | |
| Non-Uniform PDQM | CPU Time | Previous Studies [19,44] | CPU Time | Non-Uniform PDQM | CPU Time | Previous Studies [19,44] | CPU Time | ||||
|---|---|---|---|---|---|---|---|---|---|---|---|
| 1/5 | 0.0006 | 1.33 | 1/100 | 5.936 × 10−4 | 18.2 | 1/5 | 0.0009 | 1.35 | 1/100 | 8.828 × 10−4 | 18.7 |
| 1/10 | 8.7238 × 10−5 | 1.40 | 1/200 | 5.639 × 10−4 | 27.9 | 1/10 | 1.8471 × 10−4 | 1.43 | 1/200 | 8.590 × 10−4 | 31.7 |
| 1/15 | 8.544 × 10−5 | 1.47 | 1/400 | 5.485 × 10−4 | 55.8 | 1/15 | 1.8102 × 10−4 | 1.50 | 1/400 | 8.472 × 10−4 | 58.4 |
| 1/20 | 8.3050 × 10−5 | 1.53 | 1/800 | 5.407 × 10−4 | 111.5 | 1/20 | 1.7887 × 10−4 | 1.56 | 1/800 | 8.413 × 10−4 | 109.1 |
| 1/25 | 8.1201 × 10−5 | 1.60 | 1/1600 | 5.368 × 10−4 | 181.4 | 1/25 | 1.7524 × 10−4 | 1.64 | 1/1600 | 8.384 × 10−4 | 201.5 |
| 1/30 | 7.9003 × 10−5 | 1.65 | --- | --- | --- | 1/30 | 1.7093 × 10−4 | 1.70 | --- | --- | --- |
| l | Previous Studies [19,44] | CPU Time | ||||||||||
|---|---|---|---|---|---|---|---|---|---|---|---|---|
| Non-Uniform PDQM | CPU Time | Non-Uniform PDQM | CPU Time | Non-Uniform PDQM | CPU Time | Non-Uniform PDQM | CPU Time | |||||
| 1/5 | 0.009 | 1.33 | 0.0018 | 1.40 | 0.00045 | 1.47 | 9.7302 × 10−5 | 1.52 | 1/100 | 8.205 × 10−4 | 17.8 | |
| 1/10 | 5.0234 × 10−4 | 1.40 | 1.5127 × 10−4 | 1.47 | 8.3210 × 10−5 | 1.52 | 6.3321 × 10−5 | 1.58 | 1/200 | 7.976 × 10−4 | 28.7 | |
| 1/15 | 4.8442 × 10−4 | 1.47 | 1.3021 × 10−4 | 1.53 | 8.1112 × 10−5 | 1.59 | 6.1457 × 10−5 | 1.64 | 1/400 | 7.860 × 10−4 | 53.4 | |
| 1/20 | 4.6088 × 10−4 | 1.53 | 1.1325 × 10−4 | 1.61 | 7.8974 × 10−5 | 1.68 | 5.8744 × 10−5 | 1.72 | 1/800 | 7.802 × 10−4 | 104.2 | |
| 1/25 | 4.3551 × 10−4 | 1.60 | 9.8799 × 10−5 | 1.68 | 7.6021 × 10−5 | 1.75 | 5.5911 × 10−5 | 1.82 | 1/1600 | 7.773 × 10−4 | 194.5 | |
| 1/30 | 4.1903 × 10−4 | 1.65 | 9.6555 × 10−5 | 1.75 | 7.4503 × 10−5 | 1.83 | 5.2784 × 10−5 | 1.88 | --- | --- | --- | |
| 1/5 | 0.001 | 1.52 | 0.0005 | 1.60 | 0.0001 | 1.65 | 5.7302 × 10−5 | 1.68 | 1/100 | 8.205 × 10−4 | 17.8 | |
| 1/10 | 2.8140 × 10−4 | 1.57 | 9.3331 × 10−5 | 1.65 | 6.0178 × 10−5 | 1.71 | 4.2210 × 10−5 | 1.75 | 1/200 | 7.976 × 10−4 | 28.7 | |
| 1/15 | 2.6024 × 10−4 | 1.63 | 9.1222 × 10−5 | 1.70 | 5.9012 × 10−5 | 1.77 | 3.8974 × 10−5 | 1.83 | 1/400 | 7.860 × 10−4 | 53.4 | |
| 1/20 | 2.3874 × 10−4 | 1.69 | 8.7584 × 10−5 | 1.76 | 5.6147 × 10−5 | 1.82 | 3.7145 × 10−5 | 1.87 | 1/800 | 7.802 × 10−4 | 104.2 | |
| 1/25 | 2.1009 × 10−4 | 1.74 | 8.5031 × 10−5 | 1.83 | 7.3555 × 10−5 | 1.89 | 3.5478 × 10−5 | 1.93 | 1/1600 | 7.773 × 10−4 | 194.5 | |
| 1/30 | 1.8974 × 10−4 | 1.80 | 8.1111 × 10−5 | 1.90 | 7.1150 × 10−5 | 1.98 | 3.3021 × 10−5 | 2.00 | --- | --- | --- | |
| 1/5 | 0.0008 | 1.60 | 1.0012 × 10−4 | 1.60 | 9.8741 × 10−5 | 1.72 | 1.6666 × 10−5 | 1.75 | 1/100 | 8.205 × 10−4 | 17.8 | |
| 1/10 | 1.0311 × 10−4 | 1.63 | 7.8745 × 10−5 | 1.65 | 5.9988 × 10−5 | 1.80 | 9.4488 × 10−6 | 1.85 | 1/200 | 7.976 × 10−4 | 28.7 | |
| 1/15 | 9.8671 × 10−5 | 1.70 | 7.6254 × 10−5 | 1.70 | 5.7321 × 10−5 | 1.85 | 9.2147 × 10−6 | 1.90 | 1/400 | 7.860 × 10−4 | 53.4 | |
| 1/20 | 9.5789 × 10−5 | 1.75 | 6.4023 × 10−5 | 1.76 | 5.5214 × 10−5 | 1.91 | 9.0077 × 10−6 | 1.97 | 1/800 | 7.802 × 10−4 | 104.2 | |
| 1/25 | 9.2574 × 10−5 | 1.82 | 6.2001 × 10−5 | 1.83 | 5.3647 × 10−5 | 1.98 | 8.8127 × 10−6 | 2.03 | 1/1600 | 7.773 × 10−4 | 194.5 | |
| 1/30 | 9.0025 × 10−5 | 1.89 | 6.0000 × 10−5 | 1.90 | 5.0897 × 10−5 | 2.03 | 8.8796 × 10−6 | 2.10 | --- | --- | --- | |
| Non-Uniform PDQM | CPU Time | Previous Studies [19,44] | CPU Time | Non-Uniform PDQM | CPU Time | Previous Studies [19,44] | CPU Time | ||||
|---|---|---|---|---|---|---|---|---|---|---|---|
| 5 | 1.0345 × 10−4 | 1.30 | 0.2 | 9.323 × 10−3 | 48.3 | 5 | 3.0025 × 10−4 | 1.34 | 0.2 | 1.522 × 10−2 | 52.2 |
| 10 | 9.8736 × 10−5 | 1.38 | 0.1 | 4.146 × 10−3 | 158.3 | 10 | 1.1006 × 10−4 | 1.40 | 0.1 | 7.220 × 10−3 | 175.8 |
| 15 | 5.8247 × 10−5 | 1.45 | 0.05 | 2.182 × 10−3 | 343.2 | 15 | 9.0517 × 10−5 | 1.48 | 0.05 | 3.716 × 10−3 | 396.4 |
| 20 | 2.5258 × 10−5 | 1.51 | --- | --- | --- | 20 | 6.5778 × 10−5 | 1.53 | --- | --- | --- |
| 25 | 1.0001 × 10−5 | 1.58 | --- | --- | --- | 25 | 3.8261 × 10−5 | 1.61 | --- | --- | --- |
| 30 | 8.8777 × 10−6 | 1.63 | --- | --- | --- | 30 | 1.2797 × 10−5 | 1.66 | --- | --- | --- |
| SDQM | CPU Time | Previous Studies [19,44] | CPU Time | SDQM | CPU Time | Previous Studies [19,44] | CPU Time | ||||
|---|---|---|---|---|---|---|---|---|---|---|---|
| 1/5 | 2.2547 × 10−5 | 0.7 | 1/100 | 1.118 × 10−4 | 15.8 | 1/5 | 1.9874 × 10−5 | 0.62 | 1/100 | 4.443 × 10−5 | 16.1 |
| 1/10 | 1.0005 × 10−5 | 0.8 | 1/200 | 5.416 × 10−5 | 26.4 | 1/10 | 9.8749 × 10−6 | 0.69 | 1/200 | 1.277 × 10−5 | 27.3 |
| 1/15 | 8.4445 × 10−6 | 0.9 | 1/400 | 2.300 × 10−5 | 49.0 | 1/15 | 6.8897 × 10−6 | 0.75 | 1/400 | 3.033 × 10−6 | 49.6 |
| 1/20 | 6.1122 × 10−6 | 1.0 | 1/800 | 6.886 × 10−6 | 89.5 | 1/20 | 4.6772 × 10−6 | 0.82 | 1/800 | 1.103 × 10−6 | 91.4 |
| 1/25 | 3.5174 × 10−6 | 1.1 | 1/1600 | 2.005 × 10−6 | 156.8 | 1/25 | 2.0784 × 10−6 | 0.90 | 1/1600 | 3.946 × 10−7 | 162.8 |
| 1/30 | 1.0278 × 10−6 | 1.2 | --- | --- | --- | 1/30 | 9.8881 × 10−7 | 0.97 | --- | --- | --- |
| L | Previous Studies [19,44] | CPU Time | ||||||||||
|---|---|---|---|---|---|---|---|---|---|---|---|---|
| SDQM | CPU Time | SDQM | CPU Time | SDQM | CPU Time | SDQM | CPU Time | |||||
| 1/5 | 4.0025 × 10−5 | 0.68 | 2.9315 × 10−5 | 0.75 | 1.0005 × 10−5 | 0.83 | 8.7469 × 10−6 | 0.92 | 1/100 | 7.443 × 10−5 | 15.6 | |
| 1/10 | 2.3145 × 10−5 | 0.78 | 1.0241 × 10−5 | 0.84 | 8.1479 × 10−6 | 0.93 | 6.2178 × 10−6 | 1.10 | 1/200 | 3.085 × 10−5 | 26.2 | |
| 1/15 | 9.5241 × 10−6 | 0.88 | 8.1987 × 10−6 | 0.92 | 6.1789 × 10−6 | 1.11 | 4.1125 × 10−6 | 1.20 | 1/400 | 8.391 × 10−6 | 48.9 | |
| 1/20 | 7.2314 × 10−6 | 0.96 | 5.0987 × 10−6 | 1.10 | 3.5786 × 10−6 | 1.19 | 1.8745 × 10−6 | 1.30 | 1/800 | 3.141 × 10−6 | 88.7 | |
| 1/25 | 5.2178 × 10−6 | 1.0 | 2.7198 × 10−6 | 1.18 | 1.0023 × 10−6 | 1.23 | 9.3745 × 10−7 | 1.40 | 1/1600 | 9.358 × 10−7 | 155.2 | |
| 1/30 | 2.9874 × 10−6 | 1.15 | 1.1234 × 10−6 | 1.22 | 9.8877 × 10−7 | 1.29 | 7.1447 × 10−7 | 1.50 | --- | --- | --- | |
| 1/5 | 2.2258 × 10−5 | 0.75 | 1.0005 × 10−6 | 0.84 | 8.7498 × 10−6 | 0.95 | 6.2579 × 10−6 | 1.08 | 1/100 | 7.443 × 10−5 | 15.6 | |
| 1/10 | 1.3214 × 10−5 | 0.85 | 8.9869 × 10−6 | 0.92 | 6.0214 × 10−6 | 1.15 | 4.1875 × 10−6 | 1.19 | 1/200 | 3.085 × 10−5 | 26.2 | |
| 1/15 | 7.7894 × 10−6 | 0.95 | 5.1667 × 10−6 | 1.11 | 4.3002 × 10−6 | 1.22 | 2.3647 × 10−6 | 1.28 | 1/400 | 8.391 × 10−6 | 48.9 | |
| 1/20 | 5.5478 × 10−6 | 1.05 | 3.0024 × 10−6 | 1.18 | 1.8794 × 10−6 | 1.26 | 9.8876 × 10−7 | 1.36 | 1/800 | 3.141 × 10−6 | 88.7 | |
| 1/25 | 3.0021 × 10−6 | 1.12 | 1.3290 × 10−6 | 1.22 | 9.7849 × 10−7 | 1.30 | 7.4545 × 10−7 | 1.43 | 1/1600 | 9.358 × 10−7 | 155.2 | |
| 1/30 | 1.2314 × 10−6 | 1.23 | 9.9987 × 10−6 | 1.30 | 7.1577 × 10−7 | 1.37 | 5.0003 × 10−7 | 1.53 | --- | --- | --- | |
| 1/5 | 2.0123 × 10−5 | 0.83 | 1.0005 × 10−5 | 0.92 | 7.0147 × 10−6 | 1.15 | 4.7922 × 10−6 | 1.20 | 1/100 | 7.443 × 10−5 | 15.6 | |
| 1/10 | 1.0000 × 10−5 | 0.92 | 8.9869 × 10−6 | 1.10 | 4.8736 × 10−6 | 1.22 | 2.4685 × 10−6 | 1.28 | 1/200 | 3.085 × 10−5 | 26.2 | |
| 1/15 | 7.6147 × 10−6 | 1.05 | 5.1667 × 10−6 | 1.17 | 2.3147 × 10−6 | 1.26 | 9.7727 × 10−7 | 1.34 | 1/400 | 8.391 × 10−6 | 48.9 | |
| 1/20 | 5.3434 × 10−6 | 1.13 | 3.0024 × 10−6 | 1.23 | 9.9985 × 10−7 | 1.32 | 6.8976 × 10−7 | 1.40 | 1/800 | 3.141 × 10−6 | 88.7 | |
| 1/25 | 2.8794 × 10−6 | 1.20 | 1.3290 × 10−6 | 1.31 | 8.0213 × 10−7 | 1.39 | 4.7745 × 10−7 | 1.47 | 1/1600 | 9.358 × 10−7 | 155.2 | |
| 1/30 | 1.0002 × 10−6 | 1.28 | 9.9987 × 10−7 | 1.37 | 6.0189 × 10−7 | 1.45 | 2.0303 × 10−7 | 1.56 | --- | --- | --- | |
| SDQM | CPU Time | Previous Studies [19,44] | CPU Time | SDQM | CPU Time | Previous Studies [19,44] | CPU Time | ||||
|---|---|---|---|---|---|---|---|---|---|---|---|
| 1/5 | 3.2315 × 10−5 | 0.70 | 1/100 | 5.936 × 10−4 | 18.2 | 1/5 | 5.8972 × 10−5 | 0.73 | 1/100 | 8.828 × 10−4 | 18.7 |
| 1/10 | 3.0055 × 10−5 | 0.80 | 1/200 | 5.639 × 10−4 | 27.9 | 1/10 | 5.6655 × 10−5 | 0.83 | 1/200 | 8.590 × 10−4 | 31.7 |
| 1/15 | 2.8235 × 10−5 | 0.90 | 1/400 | 5.485 × 10−4 | 55.8 | 1/15 | 5.4021 × 10−5 | 0.94 | 1/400 | 8.472 × 10−4 | 58.4 |
| 1/20 | 2.5824 × 10−5 | 0.98 | 1/800 | 5.407 × 10−4 | 111.5 | 1/20 | 5.1987 × 10−5 | 1.02 | 1/800 | 8.413 × 10−4 | 109.1 |
| 1/25 | 2.3332 × 10−5 | 1.05 | 1/1600 | 5.368 × 10−4 | 181.4 | 1/25 | 4.9821 × 10−5 | 1.10 | 1/1600 | 8.384 × 10−4 | 201.5 |
| 1/30 | 2.1257 × 10−5 | 1.20 | --- | --- | --- | 1/30 | 4.7720 × 10−5 | 1.24 | --- | --- | --- |
| SDQM | CPU Time | Previous Studies [19,44] | CPU Time | SDQM | CPU Time | Previous Studies [19,44] | CPU Time | ||||
|---|---|---|---|---|---|---|---|---|---|---|---|
| 5 | 5.3215 × 10−6 | 1.20 | 0.2 | 9.323 × 10−3 | 48.3 | 5 | 7.0129 × 10−6 | 1.23 | 0.2 | 1.522 × 10−2 | 52.2 |
| 10 | 3.4648 × 10−6 | 1.28 | 0.1 | 4.146 × 10−3 | 158.3 | 10 | 5.8248 × 10−6 | 1.31 | 0.1 | 7.220 × 10−3 | 175.8 |
| 15 | 1.0871 × 10−6 | 1.34 | 0.05 | 2.182 × 10−3 | 343.2 | 15 | 3.1298 × 10−6 | 1.37 | 0.05 | 3.716 × 10−3 | 396.4 |
| 20 | 9.8048 × 10−7 | 1.40 | --- | --- | --- | 20 | 5.1188 × 10−6 | 1.43 | --- | --- | --- |
| 25 | 6.9328 × 10−7 | 1.47 | --- | --- | --- | 25 | 6.9824 × 10−6 | 1.50 | --- | --- | --- |
| 30 | 5.0066 × 10−7 | 1.56 | --- | --- | --- | 30 | 9.0001 × 10−6 | 1.60 | --- | --- | --- |
Disclaimer/Publisher’s Note: The statements, opinions and data contained in all publications are solely those of the individual author(s) and contributor(s) and not of MDPI and/or the editor(s). MDPI and/or the editor(s) disclaim responsibility for any injury to people or property resulting from any ideas, methods, instructions or products referred to in the content. |
© 2024 by the authors. Licensee MDPI, Basel, Switzerland. This article is an open access article distributed under the terms and conditions of the Creative Commons Attribution (CC BY) license (https://creativecommons.org/licenses/by/4.0/).
Share and Cite
Abdelfattah, W.M.; Ragb, O.; Salah, M.; Matbuly, M.S.; Mohamed, M. Fractional Partial Differential Equation Modeling for Solar Cell Charge Dynamics. Fractal Fract. 2024, 8, 729. https://doi.org/10.3390/fractalfract8120729
Abdelfattah WM, Ragb O, Salah M, Matbuly MS, Mohamed M. Fractional Partial Differential Equation Modeling for Solar Cell Charge Dynamics. Fractal and Fractional. 2024; 8(12):729. https://doi.org/10.3390/fractalfract8120729
Chicago/Turabian StyleAbdelfattah, Waleed Mohammed, Ola Ragb, Mohamed Salah, Mohamed S. Matbuly, and Mokhtar Mohamed. 2024. "Fractional Partial Differential Equation Modeling for Solar Cell Charge Dynamics" Fractal and Fractional 8, no. 12: 729. https://doi.org/10.3390/fractalfract8120729
APA StyleAbdelfattah, W. M., Ragb, O., Salah, M., Matbuly, M. S., & Mohamed, M. (2024). Fractional Partial Differential Equation Modeling for Solar Cell Charge Dynamics. Fractal and Fractional, 8(12), 729. https://doi.org/10.3390/fractalfract8120729

