Next Article in Journal
Numerical Method for the Variable-Order Fractional Filtration Equation in Heterogeneous Media
Next Article in Special Issue
Positive Solution Pairs for Coupled p-Laplacian Hadamard Fractional Differential Model with Singular Source Item on Time Variable
Previous Article in Journal
A Local Radial Basis Function Method for Numerical Approximation of Multidimensional Multi-Term Time-Fractional Mixed Wave-Diffusion and Subdiffusion Equation Arising in Fluid Mechanics
Previous Article in Special Issue
Application of Fractional-Order Multi-Wing Chaotic System to Weak Signal Detection
 
 
Font Type:
Arial Georgia Verdana
Font Size:
Aa Aa Aa
Line Spacing:
Column Width:
Background:
Article

Fractal-Fractional-Order Modeling of Liver Fibrosis Disease and Its Mathematical Results with Subinterval Transitions

1
Department of Mathematics, College of Science, University of Ha’il, Ha’il 55473, Saudi Arabia
2
Department of Mathematics, College of Science, Qassim University, Buraydah 52571, Saudi Arabia
3
Department of Mathematics, University of Malakand, Chakdara 18000, Khyber Pakhtunkhwa, Pakistan
4
Department of Mathematics, Turabah University College, Taif University, Taif 21944, Saudi Arabia
5
Department of Mathematics, Faculty of Science, Islamic University of Madinah, Madinah 42351, Saudi Arabia
6
Department of Mathematics, Faculty of Science, Northern Border University, Arar 73213, Saudi Arabia
*
Authors to whom correspondence should be addressed.
Fractal Fract. 2024, 8(11), 638; https://doi.org/10.3390/fractalfract8110638
Submission received: 12 October 2024 / Revised: 24 October 2024 / Accepted: 25 October 2024 / Published: 29 October 2024

Abstract

In this paper, we study human liver disease with a different approach of interval-based investigation by introducing subintervals. This investigation may be referred to as a short memory investigation. Such concepts are useful in problems where a transition is observed when transitioning from one subinterval to the other one. We use the classical and fractal-fractional-order derivative in each subinterval. We study the existence of solutions by using Banach’s and Krasnoselskii’s fixed-point theorems. Their stability is analyzed by adopting the Hyers–Ulam (H-U) stability approach. Also, using the extended Adams–Bashforth–Moulton (ABM) method, we simulate the results that visually present the numerical solutions for different fractal-fractional-order values.

1. Introduction

The liver, a crucial organ similar in importance to the heart and brain, is roughly triangular in shape and extends across the abdominal cavity [1]. It plays a pivotal role in various physiological processes, including hemostasis, blood clotting, and blood volume regulation. Additionally, the liver metabolizes drugs, detoxifies harmful substances like alcohol, and supports the immune system. It also contributes significantly to the regulation of glucose levels in the body.
Liver diseases, such as alcoholic and nonalcoholic liver diseases, hepatocellular carcinoma, cirrhosis, hepatitis B, and hepatitis C [2], have a substantial global impact. A 2017 review reported that cirrhosis alone resulted in over 1,320,000 deaths worldwide between 1990 and 2017. Notably, Sub-Saharan Africa, the lowest-income area, experienced the highest age-standardized death rate, while high-income areas had the lowest. Egypt recorded the highest age-standardized death rate during the same period [3].
Health professionals utilize liver profile tests to assess liver function comprehensively. These tests, which include measurements such as aspartate aminotransferase, serum bilirubin, alanine aminotransferase, alpha-fetoprotein, alkaline phosphatase, ceruloplasmin, and 50 nucleotidase, offer valuable insights. Thorough examination of liver biochemical substances and indicators enables doctors to take proactive measures to enhance patient care. Furthermore, the use of bromsulphthalein (BSP) is instrumental in identifying liver damage [4,5].
The concept of the existence theory is fundamental in mathematical analysis, particularly in differential equations (DEs) and dynamical systems. This theory is essential as it determines whether a system of DEs has a solution, providing a basis for further analysis. Additionally, the unique result guarantees the predictability of the solution. On the other hand, stability analysis stands as one of the most crucial and highly specialized areas of research. It has demonstrated its utility as a powerful tool in linear and nonlinear analysis, optimization theory, and qualitative theory. We can draw on various fixed-point and stability results to support these assertions [6,7,8,9,10].
Several attempts have been made to model the function and performance of the mentioned organ, but these attempts have been limited to classical differential equations. The works of ČelechovskáL [11], Calvetti and Kuceyeski [12], Repetto and Tweedy [13], and Friedman and Hao [14] are fundamental.
In [11], the author considered the following classical human liver model:
d X d t = a X ( t ) + b Y ( t ) , d Y d t = a X ( t ) ( b + c ) Y ( t ) , d Z d t = c Y ( t ) , X ( 0 ) = h > 0 ,   Y ( 0 ) = 0 ,   Z ( 0 ) = 0 ,
where the variables X ,  Y , and Z , and the parameters a ,  b ,  c, and h are defined in Table 1. The use of fractional calculus has proven to be an enormously good tool in this regard. A suitable mathematical model can better describe its performance. Some researchers have made great efforts and attempts to model it in a more realistic and accurate way using the non-integer-order calculus. In modeling various diseases and other phenomena, it has proven to be good; see, for instance [15,16,17,18,19]. It can change the model enormously in how we view it and manage its outcomes to compare them with the actual data. It is remarkably noticed that in the case of various classical models, the estimated amounts of BSP deviate from clinical data, but in the case of the fractional-order model, it shows closeness to the actual data. The additional inheritance and memory qualities of FDEs make them effective in analyzing and replicating actual occurrences. In fact, fractional differential equations (FDEs) possess memory and the analytical capabilities to comprehend actual evidence; this is one of its many valuable aspects (see [20]). In [21], Ameen et al. formulated a human liver model with modified parameters in the sense of a Caputo fractional derivative (CFD). The advancement in fractional calculus has proven to be more beneficial for developing our understanding of many phenomena and processes. The Caputo–Fabrizio (CF) fractional derivative [22] and the Atangana–Baleanu–Caputo (ABC) fractional derivative [23] were recently introduced and are highly used in the modeling of many processes and phenomena (see [24]). Similarly, many of the previous models have been reformulated in the sense of CF and ABC derivatives. In [25], fractals to fractional derivatives are integral to predicting complex systems. This approach gained importance from researchers and has been applied in many research problems; see [26,27,28,29]. In [30], Baleanu et al. used the CF derivative to study a human liver.
It is observed that many real-world phenomena show transitions when they are changing or shifting from one interval to another. In such a case, the phenomena cannot be accurately modeled via usual methods. To overcome this situation, Atangana and Araz [31] introduced the piecewise concept of derivatives and integrals. This concept is different from the conventional methods of modeling. In this approach, the phenomena are studied in subintervals of the whole time interval, with discontinuity at a point. Unlike traditional fractional derivatives, this approach has proven to be good in the mathematical description of crossover effects among various forms [32,33].
In this research paper, we consider a human liver model given in [11] and study it with subinterval transitions via the fractal-fractional Caputo derivative (FFCD). We reformulate the mode as
D r , ξ p X ( t ) = a X ( t ) + b Y ( t ) , D r , ξ p Y ( t ) = a X ( t ) ( b + c ) Y ( t ) , D r , ξ p Z ( t ) = c Y ( t ) , X ( 0 ) = h ,   Y ( 0 ) = 0 ,   Z ( 0 ) = 0 ,
where the variables X ,  Y , and Z , and parameters a ,  b ,  c, and h are the same as those given in (1). Our model is dimensional as the case of the basic classical model in [11].
In (2), looking at the terms, it is obvious that by adding the equations, we obtain
D r , ξ p X ( t ) + D r , ξ p Y ( t ) + D r , ξ p Z ( t ) = 0
and
X ( 0 ) + Y ( 0 ) + Z ( 0 ) = h .
This implies that
X ( t ) + Y ( t ) + Z ( t ) = h ,   t 0 .
This means that
Z ( t ) = h X ( t ) Y ( t ) ,   t 0 .
The value of Z can be calculated from the values of X and Y. Thus, it is enough to take the lower dimensional system of DEs as
D r , ξ p X ( t ) = a X ( t ) + b Y ( t ) , D r , ξ p Y ( t ) = a X ( t ) ( b + c ) Y ( t ) , X ( 0 ) = h , Y ( 0 ) = 0 .
As in [11], we find the equilibrium points of system (7) by solving the following algebraic system:
a X ( t ) + b Y ( t ) = 0 , a X ( t ) ( b + c ) Y ( t ) = 0 .
The parameters a, b, and c in system (2) express the rates of decay of BSP from the blood and the liver. Hence, they have to be positive. Therefore, we assume that a > 0 , b > 0 , and c > 0 . Under this assumption, there is only one equilibrium point: P = ( 0 , 0 ) . Similarly, to find the steady state of our proposed system, we compare the right-hand side of the system of equations equal to 0, which, by a similar argument of the parameters a , b , c > 0 , we obtain ( X , Y , Z ) = ( 0 , 0 , 0 ) . Now, we study the stability of system (7) at the equilibrium point. The matrix of the parameters of system (7) is
M = a b a b c .
Its characteristic values are given by the algebraic equation
d e t ( M λ I ) = λ 2 + λ ( a + b + c ) + a d = 0 ,
as
λ 1 , 2 = ( a + b + c ) ± ( a + b + c ) 2 4 a d 2 .
Since a , b , and c are assumed to be positive,
| a + b + c | 2 > ( a + b + c ) 2 4 a d 0 .
Thus, the characteristic values λ 1 , 2 are negative, which means that the solution X ( t ) = 0 ,  Y ( t ) = 0 at the equilibrium point of (7) is globally asymptotically stable. Also, it is stable at the steady state: ( X , Y , Z ) = ( 0 , 0 , 0 ) . This means that the human liver model has a unique and stable steady state at the equilibrium and steady point.
To investigate the local stability of system (2), we analyze the eigenvalues of the Jacobian matrix. Compute the Jacobian matrix by taking partial derivatives of the model equations with respect to X, Y, and Z:
J = a b 0 a b c 0 0 c 0
Find the eigenvalues ( λ ) by solving the characteristic equation:
d e t ( J λ I ) = 0 ,
where I is the identity matrix. Solving (14) for ( λ ) , we obtain λ 1 = a ,   λ 2 = ( b + c ) , λ 3 = 0 . For local stability, all the eigenvalues must have negative real parts, but here, R e ( λ 3 ) = 0 . This zero eigenvalue indicates a neutrally stable direction. In such a case, the Center Manifold Theory can be applied, which confirms the local stability of the proposed system.
The system of Equation (2) may be written as
D r , ξ p ψ ( t ) = v ( t , ψ ( t ) ) , ψ ( 0 ) = ψ 0 ,   t [ 0 , T ] ,
where the vector ψ ( t ) = ( X , Y , Z ) denotes the variable, ψ 0 is a given initial condition, and the variable function v is given by
v ( t , ψ ( t ) ) = Φ 1 ( t , X , Y , Z ) Φ 2 ( t , X , Y , Z ) Φ 3 ( t , X , Y , Z ) ,
ψ ( t ) = X ( t ) Y ( t ) Z ( t ) = a X ( t ) + b Y ( t ) a X ( t ) ( b + c ) Y ( t ) c Y ( t ) ,   ψ 0 = X 0 Y 0 Z 0 .
In view of (16) and (17), problem (15) may be written as
D r , ξ p X ( t ) = Φ 1 ( t , X , Y , Z ) D r , ξ p Y ( t ) = Φ 2 ( t , X , Y , Z ) D r , ξ p Z ( t ) = Φ 3 ( t , X , Y , Z ) ,
where Φ 1 , Φ 2 , Φ 3 : [ 0 , T ] × R 3 R are piecewise continuous. The recent set of equations takes the compact form as follows:
D r , ξ p ψ ( t ) = Φ 1 ( t , ψ ( t ) ) Φ 2 ( t , ψ ( t ) ) Φ 3 ( t , ψ ( t ) ) , ψ ( 0 ) = ψ 0 ,   t [ 0 , T ] .
This research work is innovative in that it gives an accurate prediction of the variation in the amount of X ( t ) , Y ( t ) , and Z ( t ) in a time interval [ 0 , T ] in the human liver and can study the process of the BSP test more accurately. The findings of this work will be useful in the fields of drug theory, biochemistry, health care, computational chemistry, computational biology, and others.
This paper is structured in the following manner: In Section 2, the basic definitions with preliminary results are provided. Section 3 is allocated for the existence of unique solution and stability results. In Section 4, a numerical scheme for numerical solutions is developed. In Section 5, the numerical solutions are simulated, which graphically present the main outcomes. In Section 6, we discuss and illustrate the simulated results. In Section 7, we give a conclusion of the established results.

2. Elementary Results

Let the sup norm denoted by . [ 0 , T ] be described by
g ( t ) [ 0 , T ] = sup [ 0 , T ] g ( t ) ,   g ( t ) C ( [ 0 , T ] , R 3 ) .
Here, C ( [ 0 , T ] , R 3 ) : = I with the norm . [ 0 , T ] is Banach space. We give the following definitions adopted from [20,25,31].
Definition 1. 
Let y be a continuous and fractal differentiable mapping on [ 0 , T ] , then the interval-based integral is defined by
I r p y ( t ) = I r y ( t ) ,   i f t [ 0 , t 1 ] , I r , ξ F F y ( t ) ,   t [ t 1 , t 2 ] , I r y ( t ) ,   i f t [ t 2 , t 3 ] , I r , ξ F F y ( t ) ,   t [ t 3 , T ] ,
where I r is a classical integral while I r , ξ F F is a fractal-fractional integral in the Riemann–Liouville sense, which is defined as follows.
Definition 2. 
I r y ( t ) = a t y ( θ ) d θ , I r , ξ F F y ( t ) = ξ Γ ( r ) a t θ ξ 1 ( t θ ) r 1 y ( θ ) d θ .
Definition 3. 
For y C [ 0 , T ] , the interval-based derivative is defined by
D r p y ( t ) = D r y ( t ) ,   i f t [ 0 , t 1 ] , I r , ξ F F C y ( t ) ,   0 < r , ξ 1 ,   t [ t 1 , t 2 ] , D r y ( t ) ,   i f t [ t 2 , t 3 ] , I r , ξ F F C y ( t ) ,   0 < r , ξ 1 ,   t [ t 3 , T ] ,
where D r is a classical derivative of order r and I r , ξ F F C is a fractal-fractional Caputo derivative of fractal dimension ξ and fractional order r, which is defined as follows.
Definition 4. 
For y C [ 0 , T ] , the classical and fractal-fractional Caputo derivatives are defined by
D r y ( t ) = d y d t ,   I r , ξ F F C y ( t ) = 1 Γ ( 1 r ) a t ( t θ ) r d d t ξ y ( θ ) d θ ,   0 < r , ξ 1 .
Definition 5. 
The ABM for ordinary problems is formulated as
z n + 1 = z n + h i = 1 r b i f ( τ n + i h , z n + i h ) ,
where z n , h, f ( z , τ ) , and b i represent the approximate solution, the step size, ODE, and the coefficients, respectively.

3. Existence and Stability Analysis

This section is divided into two subsections. In the first subsection, we provide a lemma and a corollary result and investigate the existence of a unique solution of the proposed model. In the second subsection, using the H-U concept of stability, we analyze the stability results.

3.1. Existence of a Unique Solution

Lemma 1. 
The solution of
D r p ψ ( t ) = h ( t ) ,   r ( 0 , 1 ] , ψ ( 0 ) = ψ 0 ,   ψ ( t 1 ) = ψ t 1 ,   ψ ( t 2 ) = ψ t 2 ,   ψ ( t 3 ) = ψ t 3
is given by
ψ ( t ) = ψ 0 + 0 t h ( θ ) d θ ,   i f   t [ 0 , t 1 ] , ψ t 1 + ξ Γ ( r ) t 1 t θ ξ 1 ( t θ ) r 1 h ( θ ) d θ ,   t [ t 1 , t 2 ] ψ t 2 + t 2 t h ( θ ) d θ ,   i f   t [ t 2 , t 3 ] , ψ t 3 + ξ Γ ( r ) t 3 t θ ξ 1 ( t θ ) r 1 h ( θ ) d θ ,   t [ t 3 , T ] .
Proof. 
As it is easy to prove, we thus omit it. □
Corollary 1. 
The equivalent integral equations of problem (15) are given, via Lemma 1, as
ψ ( t ) = ψ 0 + 0 t v ( θ , ψ ( θ ) ) d θ ,   i f   t [ 0 , t 1 ] , ψ t 1 + ξ Γ ( r ) t 1 t θ ξ 1 ( t θ ) r 1 v ( θ , ψ ( θ ) ) d θ ,   t [ t 1 , t 2 ] ψ t 2 + t 2 t v ( θ , ψ ( θ ) ) d θ ,   i f   t [ t 2 , t 3 ] , ψ t 3 + ξ Γ ( r ) t 3 t θ ξ 1 ( t θ ) r 1 v ( θ , ψ ( θ ) ) d θ ,   t [ t 3 , T ] .
We define an operator P : I I by
P ( ψ ) = ψ 0 + 0 t v ( θ , ψ ( θ ) ) d θ ,   i f   t [ 0 , t 1 ] , ψ t 1 + ξ Γ ( r ) t 1 t θ ξ 1 ( t θ ) r 1 v ( θ , ψ ( θ ) ) d θ ,   t [ t 1 , t 2 ] ψ t 2 + t 2 t v ( θ , ψ ( θ ) ) d θ ,   i f   t [ t 2 , t 3 ] , ψ t 3 + ξ Γ ( r ) t 3 t θ ξ 1 ( t θ ) r 1 v ( θ , ψ ( θ ) ) d θ ,   t [ t 3 , T ] .
Let the following given assumptions hold true:
( D 1 )
Let there be, for ψ , ψ ¯ I ,  K v > 0 , satisfying
| v ( t , ψ ( t ) ) v ( t , ψ ¯ ( t ) ) | K v | ψ ( t ) ψ ¯ ( t ) | .
( D 2 )
The real values N 0 , N 1 > 0 , satisfy
| v ( t , ψ ( t ) ) | N 0 + N 1 | ψ ( t ) | .
Theorem 1. 
Under the assumption ( D 1 ) and if max t 1 K v , t 3 K v , ζ 1 K v β ( r , ξ ) , ζ 2 K v β ( r , ξ ) < 1 holds, then problem (15) has a unique solution.
Proof. 
For this result, we take two cases:
C a s e -I: If t lies in the first interval, i.e., [ 0 , t 1 ] , then
| P ( ψ ) ( t ) P ( ψ ¯ ) ( t ) | 0 t | v ( θ , ψ ( θ ) ) v ( θ , ψ ¯ ( θ ) ) | d θ .
Using assumption ( D 1 ) and applying the norm, we have
P ( ψ ) P ( ψ ¯ ) t 1 K v ψ ψ ¯ .
C a s e - I I : t [ t 1 , t 2 ] .
| P ( ψ ) ( t ) P ( ψ ¯ ) ( t ) | ξ Γ ( r ) t 1 t θ ξ 1 ( t θ ) r 1 | v ( θ , ψ ( θ ) ) v ( θ , ψ ¯ ( θ ) ) | d θ ξ K v Γ ( r ) t 1 t θ ξ 1 ( t θ ) r 1 ψ ψ ¯ d θ .
Consider the integral t 1 t θ ξ 1 ( t θ ) r 1 d θ . Let θ = t w . This implies that d θ = t d w . If θ = t 1 , then w = t 1 t , and if θ = t , then w = 1 . Thus, we have
t 1 t θ ξ 1 ( t θ ) r 1 d θ = t ξ + r 1 t 1 t 1 w ξ 1 ( 1 w ) r 1 d w t ξ + r 1 0 1 w ξ 1 ( 1 w ) r 1 d w = t ξ + r 1 β ( r , ξ ) ,
where β ( r , ξ ) is a beta function. Hence, from (30), we obtain
| P ( ψ ) ( t ) P ( ψ ¯ ) ( t ) | ξ K v t ξ + r 1 Γ ( r ) β ( r , ξ ) ψ ψ ¯ ξ K v t 2 ξ + r 1 Γ ( r ) β ( r , ξ ) ψ ψ ¯ .
Let us denote ξ t 2 ξ + r 1 Γ ( r ) by ζ 1 . Then,
| P ( ψ ) ( t ) P ( ψ ¯ ) ( t ) | ζ 1 K v β ( r , ξ ) ψ ψ ¯ .
C a s e - I I I : t [ t 2 , t 3 ] .
| P ( ψ ) ( t ) P ( ψ ¯ ) ( t ) | t 2 t | v ( θ , ψ ( θ ) ) v ( θ , ψ ¯ ( θ ) ) | d θ .
Using assumption ( D 1 ) and applying the norm, we have
P ( ψ ) P ( ψ ¯ ) t 3 K v ψ ψ ¯ .
C a s e I V : t [ t 3 , T ] . By an analysis similar to Case-II, we obtain
| P ( ψ ) ( t ) P ( ψ ¯ ) ( t ) | | P ( ψ ) ( t ) P ( ψ ¯ ) ( t ) | ζ 2 K v β ( r , ξ ) ψ ψ ¯ .
where ζ 2 = ξ T ξ + r 1 Γ ( r ) . Now, max t 1 K v , t 3 K v , ζ 1 K v β ( r , ξ ) , ζ 2 K v β ( r , ξ ) < 1 . Therefore, from (29), (33), (35), and (36), we deduce that the fixed point of the operator P is unique. □
Theorem 2. 
Under the assumed conditions ( D 1 ) , problem (15) has one or more solutions.
Proof. 
To carry out this result, let us define two operators, namely P 1 and P 2 , such that P = P 1 + P 2 as
P 1 ( ψ ) = ψ 0 + 0 t v ( θ , ψ ( θ ) ) d θ ,   i f   t [ 0 , t 1 ] , 0 ,   i f   t [ t 1 , t 2 ] , ψ ( t 2 ) + t 2 t v ( θ , ψ ( θ ) ) d θ ,   i f   t [ t 2 , t 3 ] , 0 ,   i f   t [ t 3 , T ]
and
P 2 ( ψ ) = 0 ,   i f   t [ 0 , t 1 ] , ψ ( t 1 ) + ξ Γ ( r ) t 1 t θ ξ 1 ( t θ ) r 1 v ( θ , ψ ( θ ) ) d θ ,   i f   t [ t 1 , t 2 ] 0 ,   i f   t [ t 2 , t 3 ] ψ ( t 3 ) + ξ Γ ( r ) t 3 t θ ξ 1 ( t θ ) r 1 v ( θ , ψ ( θ ) ) d θ ,   i f   t [ t 3 , T ] .
We take a closed ball δ = ψ I : ψ δ , satisfying
δ max { ψ ( 0 ) + N 0 t 1 + N 1 δ t 1 , ψ ( 2 ) + N 0 t 3 + N 1 δ t 3 , ψ ( t 1 ) + ξ t 2 ξ + r 1 β ( r , ξ ) Γ ( r ) ( N 0 + N 1 δ ) , ψ ( t 3 ) + ξ T ξ + r 1 β ( r , ξ ) Γ ( r ) ( N 0 + N 1 δ ) } .
We now present a number of steps to complete the proof.
Step 1:
P 1 ψ ( t ) + P 2 ψ ( t ) δ . For t 0 , t 1 ,  ψ δ ,   we have
P 1 ψ ( t ) + P 2 ψ ( t ) = ψ 0 + 0 t v ( θ , ψ ( θ ) ) d θ ψ 0 + 0 t v ( θ , ψ ( θ ) ) d θ ψ 0 + 0 t N 0 + N 1 | ψ ( t ) | d θ .
Using ( D 2 ) , we obtain
P 1 ψ ( t ) + P 2 ψ ( t ) ψ 0 + 0 t N 0 + N 1 | ψ ( t ) | d θ ψ 0 + sup t 0 , t 1 N 0 t + sup t 0 , t 1 N 1 | ψ ( t ) | t ψ 0 + N 0 t 1 + N 1 δ t 1 δ .
Hence,
P 1 ψ + P 2 ψ ψ ( 0 ) + N 0 t 1 + N 1 δ t 1 δ .
Similarly, for t t 2 , t 3 , we obtain
P 1 ψ + P 2 ψ ψ ( 2 ) + N 0 t 3 + N 1 δ t 3 δ .
For t t 1 , t 2 , taking ψ δ , we have
P 1 ψ ( t ) + P 2 ψ ( t ) = ψ ( t 1 ) + ξ Γ ( r ) t 1 t θ ξ 1 ( t θ ) r 1 v ( θ , ψ ( θ ) ) d θ ψ ( t 1 ) + ξ Γ ( r ) t 1 t θ ξ 1 ( t θ ) r 1 v ( θ , ψ ( θ ) ) d θ ψ ( t 1 ) + ξ Γ ( r ) t 1 t θ ξ 1 ( t θ ) r 1 N 0 + N 1 | ψ ( t ) | d θ .
As in (31), using the transformation
t 1 t θ ξ 1 ( t θ ) r 1 d θ = t ξ + r 1 t 1 t 1 w ξ 1 ( 1 w ) r 1 d w t ξ + r 1 0 1 w ξ 1 ( 1 w ) r 1 d w = t ξ + r 1 β ( r , ξ ) ,
from (43), we have
P 1 ψ ( t ) + P 2 ψ ( t ) ψ ( t 1 ) + ξ t ξ + r 1 N 0 Γ ( r ) β ( r , ξ ) + ξ t ξ + r 1 N 1 δ Γ ( r ) β ( r , ξ ) δ .
This implies that
P 1 ψ + P 2 ψ ψ ( t 1 ) + ξ t 2 ξ + r 1 β ( r , ξ ) Γ ( r ) ( N 0 + N 1 δ ) δ .
Similarly, for t t 3 , T , we obtain
P 1 ψ + P 2 ψ ψ ( t 3 ) + ξ T ξ + r 1 β ( r , ξ ) Γ ( r ) ( N 0 + N 1 δ ) δ .
Therefore, P 1 ψ ( t ) + P 2 ψ ( t ) δ .
Step 2:
P 1 is a contraction.
Let ψ , ψ ¯ δ . First, we consider the result for t 0 , t 1 .
| P 1 ( ψ ) ( t ) P 1 ( ψ ¯ ) ( t ) | 0 t | v ( θ , ψ ( θ ) ) v ( θ , ψ ¯ ( θ ) ) | d θ .
Using assumption ( D 1 ) and applying the norm, we have
P 1 ( ψ ) P 1 ( ψ ¯ ) t 1 K v ψ ψ ¯ .
Similarly, for t t 2 , t 3 , we have
P 1 ( ψ ) P 1 ( ψ ¯ ) t 3 K v ψ ψ ¯ .
Thus, P 1 is a contraction in 0 , t 1 and t 2 , t 3 . Also, the result is obvious for t t 1 , t 2 and t t 3 , T . Therefore, P 1 is a contraction in 0 , T .
Step 3:
In the third step, we need to show that the sub-operator P 2 is relatively compact. As v ( t , ψ ( t ) ) is continuous, P 2 is thus also continuous.
Next, we need to show that P 2 is uniformly bounded on the closed ball δ . For t 0 , t 1 ,  t t 2 , t 3 , the case is obvious. Hence, we consider for t t 1 , t 2 and t t 3 , T .
For t t 1 , t 2 ,  ψ δ .
P 2 ψ ( t ) ψ ( t 1 ) + sup t t 1 , T ξ Γ ( r ) t 1 t θ ξ 1 ( t θ ) r 1 v ( θ , ψ ( θ ) ) d θ .
Using assumption ( D 2 ) and the transformation given in (31), we have
P 2 ψ ( t ) ψ ( t 1 ) + ξ t 2 ξ + r 1 N 0 + N 1 δ Γ ( r ) β ( r , ξ ) δ   ψ ( t 1 ) + ξ T ξ + r 1 N 0 + N 1 δ Γ ( r ) β ( r , ξ ) δ .
Similarly, for t t 3 , T , we obtain
P 2 ψ ( t ) ψ ( t 3 ) + ξ T ξ + r 1 N 0 + N 1 δ Γ ( r ) β ( r , ξ ) δ .
Thus, P 2 is uniformly bounded on the closed ball δ . Now, it remains to show that P 2 is equi-continuous. For ψ δ and any t a , t b 0 , t 1 ,   t a , t b t 2 , t 3 , with t a < t b , the case is obvious. We consider the result for t a , t b t 1 , t 2 and t a , t b t 3 , T , with, t a < t b and ψ δ .
P 2 ψ t b P 2 ψ t a | ξ Γ ( r ) t 1 t b θ ξ 1 ( t b θ ) r 1 v ( θ , ψ ( θ ) ) d θ t 1 t a θ ξ 1 ( t a θ ) r 1 v ( θ , ψ ( θ ) ) d θ | .
In the integral t 1 t b θ ξ 1 ( t b θ ) r 1 d θ , let θ = t b x . Then, d θ = t b d x . We obtain x = t 1 t b for θ = t 1 and x = 1 for θ = t b . The integral transforms into the form t b ξ + r 1 t 1 t b 1 x ξ 1 ( 1 x ) r 1 d x . Similarly, in integral t 1 t a θ ξ 1 ( t a θ ) r 1 v ( θ , ψ ( θ ) ) d θ , by taking θ = t a x , the integral obtains the form t a ξ + r 1 t 1 t a 1 x ξ 1 ( 1 x ) r 1 d x . Using these transformations and assumption ( D 2 ) , (50) takes the form
P 2 ψ t b P 2 ψ t a ξ N 0 + N 1 δ Γ ( r ) t b ξ + r 1 t 1 t b 1 x ξ 1 ( 1 x ) r 1 d x t a ξ + r 1 t 1 t a 1 x ξ 1 ( 1 x ) r 1 d x 0 a s t a t b .
Similarly, for t a , t b t 3 , T , with, t a < t b and ψ δ , we obtain
P 2 ψ t b P 2 ψ t a ξ N 0 + N 1 δ Γ ( r ) t b ξ + r 1 t 3 t b 1 x ξ 1 ( 1 x ) r 1 d x t a ξ + r 1 t 3 t a 1 x ξ 1 ( 1 x ) r 1 d x 0  a s  t a t b .
This proves the equi-continuity of the sub-operator P 2 . Therefore, using the Arzelá–Ascoli theorem and the above steps, the relative compactness and, consequently, the complete continuity of P are proven. Therefore, by Krasnoselskii’s fixed-point theorem, there is one or more solutions of the proposed problem (15). □

3.2. Stability Results

In this section, we use the H-U approach of the stability analysis to derive stable criteria for the proposed problem. We have adopted the following definitions of stability from [34].
Definition 6. 
The model (15) is H-U-stable if there exists a real number C = max C 1 , C 2 , C 3 > 0 such that for each ϵ = max ϵ 1 , ϵ 2 , ϵ 3 > 0 , there is a solution ψ ¯ I of (53)
D r , ξ p ψ ¯ ( t ) v ( t , ψ ¯ ( t ) ) ϵ , t J
corresponding to a unique solution ψ I of model (15), such that
ψ ¯ ψ C ϵ ,   t J ,  
where 
ψ ¯ ( t ) = ψ ¯ 1 ψ ¯ 2 ψ ¯ 3 = a X ¯ ( t ) + b Y ¯ ( t ) a X ¯ ( t ) ( b + c ) Y ¯ ( t ) c Y ¯ ( t ) ,
v ( t , ψ ¯ ( t ) ) = Φ ¯ 1 ( t , X ¯ , Y ¯ , Z ¯ ) Φ ¯ 2 ( t , X ¯ , Y ¯ , Z ¯ ) Φ ¯ 3 ( t , X ¯ , Y ¯ , Z ¯ ) , ψ ¯ 0 = X ¯ 0 Y ¯ 0 Z ¯ 0 .
Remark 1. 
The function ψ ¯ I is a solution of the inequality
D r , ξ p ψ ¯ ( t ) v ( t , ψ ¯ ( t ) ) ϵ , t J ,
if and only if there is a small perturbation I that satisfies the following:
(i)
| ( t ) | ϵ , t J ;
(ii)
D r , ξ p ψ ¯ ( t ) = v ( t , ψ ¯ ( t ) ) + ( t ) ,   t J ,
where  ( t ) = t , 1 ( t ) , 2 ( t ) , 3 ( t ) .
By Remark 1, we have the following problem with a small perturbation function ( t ) ,
D r , ξ p ψ ¯ ( t ) = v ( t , ψ ¯ ( t ) ) + ( t ) ,   r ( 0 , 1 ] , ψ ¯ ( 0 ) = ψ ¯ 0 ,   ψ ¯ ( t 1 ) = ψ ¯ t 1 ,   ψ ¯ ( t 2 ) = ψ ¯ t 2 ,   ψ ¯ ( t 3 ) = ψ ¯ t 3 .
Lemma 2. 
Problem (54) with the perturbation function ( t ) has the following solution:
ψ ¯ ( t ) = ψ ¯ 0 + 0 t ( v ( θ , ψ ¯ ( θ ) ) + ( θ ) ) d θ ,   i f   t [ 0 , t 1 ] , ψ ¯ t 1 + ξ Γ ( r ) t 1 t θ ξ 1 ( t θ ) r 1 ( v ( θ , ψ ¯ ( θ ) ) + ( θ ) ) d θ ,   t [ t 1 , t 2 ] ψ ¯ t 2 + t 2 t ( v ( θ , ψ ¯ ( θ ) ) + ( θ ) ) d θ ,   i f   t [ t 2 , t 3 ] , ψ ¯ t 3 + ξ Γ ( r ) t 3 t θ ξ 1 ( t θ ) r 1 ( v ( θ , ψ ¯ ( θ ) ) + ( θ ) ) d θ ,   t [ t 3 , T ] .
Theorem 3. 
Under the assumption ( D 1 ) and if max t 1 K v , ζ K v β ( r , ξ ) < 1 holds, then problem (15) is H-U-stable.
Proof. 
For any solution ψ ¯ I of inequality (53) and unique solution ψ I of model (15), we consider, for this result, two cases:
Case-I: For t [ 0 , t 1 ] , we have
| ψ ¯ ( t ) ψ ( t ) | 0 t | v ( θ , ψ ¯ ( θ ) ) v ( θ , ψ ( θ ) ) | d θ + 0 t ( θ ) d θ .
Using assumption ( D 1 ) , part ( i ) of Remark 1 and applying the norm, we have
ψ ¯ ψ t 1 K v ψ ¯ ( t ) ψ ( t ) + t 1 ϵ .
This implies that
ψ ¯ ( t ) ψ ( t ) t 1 1 t 1 K v ϵ .
Similarly, for t [ t 2 , t 3 ] , we obtain
ψ ¯ ( t ) ψ ( t ) t 3 1 t 3 K v ϵ .
Case-II:  t [ t 1 , t 2 ] .
| ψ ¯ ( t ) ψ ( t ) | ξ Γ ( r ) t 1 t θ ξ 1 ( t θ ) r 1 | v ( θ , ψ ¯ ( θ ) ) v ( θ , ψ ( θ ) ) | d θ + ξ Γ ( r ) t 1 t θ ξ 1 ( t θ ) r 1 | ( θ ) | d θ ξ K v Γ ( r ) t 1 t θ ξ 1 ( t θ ) r 1 | ψ ¯ ( θ ) ψ ( θ ) | d θ + ξ ϵ Γ ( r ) t 1 t θ ξ 1 ( t θ ) r 1 d θ .
Using the transformation given in (31), the last inequality implies that
| ψ ¯ ( t ) ψ ( t ) | ξ K v Γ ( r ) t ξ + r 1 β ( r , ξ ) | ψ ¯ ( θ ) ψ ( θ ) | + ξ ϵ Γ ( r ) t ξ + r 1 β ( r , ξ ) ξ K v Γ ( r ) t 2 ξ + r 1 β ( r , ξ ) | ψ ¯ ( θ ) ψ ( θ ) | + ξ ϵ Γ ( r ) t 2 ξ + r 1 β ( r , ξ ) .
Denote ξ Γ ( r ) t 2 ξ + r 1 by ζ 1 , and then we have
| ψ ¯ ( t ) ψ ( t ) | ζ 1 K v β ( r , ξ ) | ψ ¯ ( t ) ψ ( t ) | + ζ 1 β ( r , ξ ) ϵ .
Taking the maximum and simplifying the result, we have
ψ ¯ ψ ζ 1 β ( r , ξ ) 1 ζ 1 K v β ( r , ξ ) ϵ .
Similarly, for t [ t 3 , T ] , we obtain
ψ ¯ ψ ζ 2 β ( r , ξ ) 1 ζ 2 K v β ( r , ξ ) ϵ ,
where C > 0 is chosen, such that
C = t 1 1 t 1 K v ,   i f   t [ 0 , t 1 ] , ζ 1 β ( r , ξ ) 1 ζ 1 K v β ( r , ξ ) ,   i f   t [ t 1 , t 2 ] t 3 1 t 3 K v ,   i f   t [ t 2 , t 3 ] , ζ 2 β ( r , ξ ) 1 ζ 2 K v β ( r , ξ ) ,   i f   t [ t 3 , T ] .
Hence,
ψ ¯ ψ C ϵ .
Therefore, model (15) is H-U-stable. □

4. Numerical Scheme

In this section, we will establish a numerical scheme for the proposed human liver model under piecewise FFCD by using the extended ADM numerical method and Lagrangian piecewise interpolation [35]. This method has increasingly been applied to approximate the solutions of nonlinear fractal-fractional-order problems. This method has also extensively been used in epidemic models; see [36,37]. Its convergence depends on fractional order, time step size, and spatial grid size.
First, we present the equivalent integral form of our proposed problem at t = t q + 1 as
X q + 1 = X ( 0 ) + 0 t q + 1 Φ 1 ( θ , X , Y , Z ) d θ ,   i f   t q + 1 [ 0 , t 1 ] , X ( t 1 ) + ξ Γ ( r ) t 1 t q + 1 θ ξ 1 ( t q + 1 θ ) r 1 Φ 1 ( θ , X , Y , Z ) d θ ,   t q + 1 [ t 1 , t 2 ] , X ( t 2 ) + t 2 t q + 1 Φ 1 ( θ , X , Y , Z ) d θ ,   i f   t q + 1 [ t 2 , t 3 ] , X ( t 3 ) + ξ Γ ( r ) t 3 t q + 1 θ ξ 1 ( t q + 1 θ ) r 1 Φ 1 ( θ , X , Y , Z ) d θ ,   t q + 1 [ t 3 , T ] , Y q + 1 = Y ( 0 ) + 0 t q + 1 Φ 2 ( θ , X , Y , Z ) d θ ,   i f   t q + 1 [ 0 , t 1 ] , Y ( t 1 ) + ξ Γ ( r ) t 1 t q + 1 θ ξ 1 ( t q + 1 θ ) r 1 Φ 2 ( θ , X , Y , Z ) d θ ,   t q + 1 [ t 1 , t 2 ] , Y ( t 2 ) + t 2 t q + 1 Φ 2 ( θ , X , Y , Z ) d θ ,   i f   t q + 1 [ t 2 , t 3 ] , Y ( t 3 ) + ξ Γ ( r ) t 3 t q + 1 θ ξ 1 ( t q + 1 θ ) r 1 Φ 2 ( θ , X , Y , Z ) d θ ,   t q + 1 [ t 3 , T ] , Z q + 1 = Z ( 0 ) + 0 t q + 1 Φ 3 ( θ , X , Y , Z ) d θ ,   i f   t q + 1 [ 0 , t 1 ] , Z ( t 1 ) + ξ Γ ( r ) t 1 t q + 1 θ ξ 1 ( t q + 1 θ ) r 1 Φ 3 ( θ , X , Y , Z ) d θ ,   t q + 1 [ t 1 , t 2 ] , Z ( t 2 ) + t 2 t q + 1 Φ 3 ( θ , X , Y , Z ) d θ ,   i f   t q + 1 [ t 2 , t 3 ] , Z ( t 3 ) + ξ Γ ( r ) t 3 t q + 1 θ ξ 1 ( t q + 1 θ ) r 1 Φ 3 ( θ , X , Y , Z ) d θ ,   t q + 1 [ t 3 , T ] .
An approximation of the system of equations (66) is given as
X q + 1 = X ( 0 ) + 0 t q + 1 Φ 1 ( θ , X , Y , Z ) d θ ,   i f   t q + 1 [ 0 , t 1 ] , X ( t 1 ) + ξ Γ ( r ) ϱ = 1 q t ϱ t q + 1 θ ξ 1 ( t q + 1 θ ) r 1 Φ 1 ( θ , X , Y , Z ) d θ ,   t q + 1 [ t 1 , t 2 ] , X ( t 2 ) + t 2 t q + 1 Φ 1 ( θ , X , Y , Z ) d θ ,   i f   t q + 1 [ t 2 , t 3 ] , X ( t 3 ) + ξ Γ ( r ) ϱ = 3 q t ϱ t q + 1 θ ξ 1 ( t q + 1 θ ) r 1 Φ 1 ( θ , X , Y , Z ) d θ ,   t q + 1 [ t 3 , T ] , Y q + 1 = Y ( 0 ) + 0 t q + 1 Φ 2 ( θ , X , Y , Z ) d θ ,   i f   t q + 1 [ 0 , t 1 ] , Y ( t 1 ) + ξ Γ ( r ) ϱ = 1 q t ϱ t q + 1 θ ξ 1 ( t q + 1 θ ) r 1 Φ 2 ( θ , X , Y , Z ) d θ ,   t q + 1 [ t 1 , t 2 ] , Y ( t 2 ) + t 2 t q + 1 Φ 2 ( θ , X , Y , Z ) d θ ,   i f   t q + 1 [ t 2 , t 3 ] , Y ( t 3 ) + ξ Γ ( r ) ϱ = 3 q t ϱ t q + 1 θ ξ 1 ( t q + 1 θ ) r 1 Φ 2 ( θ , X , Y , Z ) d θ ,   t q + 1 [ t 3 , T ] , Z q + 1 = Z ( 0 ) + 0 t q + 1 Φ 3 ( θ , X , Y , Z ) d θ ,   i f   t q + 1 [ 0 , t 1 ] , Z ( t 1 ) + ξ Γ ( r ) ϱ = 1 q t ϱ t q + 1 θ ξ 1 ( t q + 1 θ ) r 1 Φ 3 ( θ , X , Y , Z ) d θ ,   t q + 1 [ t 1 , t 2 ] , Z ( t 2 ) + t 2 t q + 1 Φ 3 ( θ , X , Y , Z ) d θ ,   i f   t q + 1 [ t 2 , t 3 ] , Z ( t 3 ) + ξ Γ ( r ) ϱ = 3 q t ϱ t q + 1 θ ξ 1 ( t q + 1 θ ) r 1 Φ 3 ( θ , X , Y , Z ) d θ ,   t q + 1 [ t 3 , T ] .
We now use the Lagrangian polynomial piecewise interpolation in the interval [ t q , t q + 1 ] to approximate the kernels within the integrals as follows:
U q ( θ ) = θ t q 1 t q t q 1 t q ξ 1 Φ 1 ( t q , X q , Y q , Z q ) , θ t q t q t q 1 t q 1 ξ 1 Φ 1 ( t q 1 , X q 1 , Y q 1 , Z q 1 ) , V q ( θ ) = θ t q 1 t q t q 1 t q ξ 1 Φ 2 ( t q , X q , Y q , Z q ) , θ t q t q t q 1 t q 1 ξ 1 Φ 2 ( t q 1 , X q 1 , Y q 1 , Z q 1 ) , W q ( θ ) = θ t q 1 t q t q 1 t q ξ 1 Φ 3 ( t q , X q , Y q , Z q ) , θ t q t q t q 1 t q 1 ξ 1 Φ 3 ( t q 1 , X q 1 , Y q 1 , Z q 1 ) .
By using these approximations, the system of Equation (67), takes the form
X q + 1 = X ( 0 ) + 0 t q + 1 Φ 1 ( θ , X , Y , Z ) d θ ,   i f   t q + 1 [ 0 , t 1 ] , X ( t 1 ) + ξ Γ ( r ) ϱ = 1 q t ϱ t q + 1 θ ξ 1 ( t q + 1 θ ) r 1 U q ( θ ) d θ ,   t q + 1 [ t 1 , t 2 ] , X ( t 2 ) + t 2 t q + 1 Φ 1 ( θ , X , Y , Z ) d θ ,   i f   t q + 1 [ t 2 , t 3 ] , X ( t 3 ) + ξ Γ ( r ) ϱ = 3 q t ϱ t q + 1 θ ξ 1 ( t q + 1 θ ) r 1 U q ( θ ) d θ ,   t q + 1 [ t 3 , T ] , Y q + 1 = Y ( 0 ) + 0 t q + 1 Φ 2 ( θ , X , Y , Z ) d θ ,   i f   t q + 1 [ 0 , t 1 ] , Y ( t 1 ) + ξ Γ ( r ) ϱ = 1 q t ϱ t q + 1 θ ξ 1 ( t q + 1 θ ) r 1 V q ( θ ) d θ ,   t q + 1 [ t 1 , t 2 ] , Y ( t 2 ) + t 2 t q + 1 Φ 2 ( θ , X , Y , Z ) d θ ,   i f   t q + 1 [ t 2 , t 3 ] , Y ( t 3 ) + ξ Γ ( r ) ϱ = 3 q t ϱ t q + 1 θ ξ 1 ( t q + 1 θ ) r 1 V q ( θ ) d θ ,   t q + 1 [ t 3 , T ] , Z q + 1 = Z ( 0 ) + 0 t q + 1 Φ 3 ( θ , X , Y , Z ) d θ ,   i f   t q + 1 [ 0 , t 1 ] , Z ( t 1 ) + ξ Γ ( r ) ϱ = 1 q t ϱ t q + 1 θ ξ 1 ( t q + 1 θ ) r 1 W q ( θ ) d θ ,   t q + 1 [ t 1 , t 2 ] , Z ( t 2 ) + t 2 t q + 1 Φ 3 ( θ , X , Y , Z ) d θ ,   i f   t q + 1 [ t 2 , t 3 ] , Z ( t 3 ) + ξ Γ ( r ) ϱ = 3 q t ϱ t q + 1 θ ξ 1 ( t q + 1 θ ) r 1 W q ( θ ) d θ ,   t q + 1 [ t 3 , T ] .
Using the Lagrangian polynomial piecewise interpolation and integration, we derive the numerical scheme for the proposed problem as follows:
X q + 1 = X ( 0 ) + 3 Δ t 2 Φ 1 ( t q , X q , Y q , Z q ) Δ t 2 Φ 1 ( t q 1 , X q 1 , Y q 1 , Z q 1 ) ;   t q , t q 1 [ 0 , t 1 ] , X ( t 1 ) + ξ h r Γ ( r + 2 ) ϱ = 1 q [ t ϱ ξ 1 Φ 1 ( t ϱ , X ϱ , Y ϱ , Z ϱ ) ( ( q + 1 ϱ ) r ( q ϱ + 2 + r ) ( q ϱ ) r ( q ϱ + 2 + 2 r ) ) t ϱ 1 ξ 1 Φ 1 ( t ϱ 1 , X ϱ 1 , Y ϱ 1 , Z ϱ 1 ) × ( q ϱ + 1 ) r 1 ( q ϱ ) r ( q ϱ + 1 + r ) ] ;   t ϱ , t ϱ 1 [ t 1 , t 2 ] , X ( t 2 ) + 3 Δ t 2 Φ 1 ( t q , X q , Y q , Z q ) Δ t 2 Φ 1 ( t q 1 , X q 1 , Y q 1 , Z q 1 ) ;   t q , t q 1 [ t 2 , t 3 ] , X ( t 3 ) + ξ h r Γ ( r + 2 ) ϱ = 3 q [ t ϱ ξ 1 Φ 1 ( t ϱ , X ϱ , Y ϱ , Z ϱ ) ( ( q + 1 ϱ ) r ( q ϱ + 2 + r ) ( q ϱ ) r ( q ϱ + 2 + 2 r ) ) t ϱ 1 ξ 1 Φ 1 ( t ϱ 1 , X ϱ 1 , Y ϱ 1 , Z ϱ 1 ) × ( q ϱ + 1 ) r 1 ( q ϱ ) r ( q ϱ + 1 + r ) ] ;   t ϱ , t ϱ 1 [ t 3 , T ] , Y q + 1 = Y ( 0 ) + 3 Δ t 2 Φ 2 ( t q , X q , Y q , Z q ) Δ t 2 Φ 2 ( t q 1 , X q 1 , Y q 1 , Z q 1 ) ;   t q , t q 1 [ 0 , t 1 ] , Y ( t 1 ) + ξ h r Γ ( r + 2 ) ϱ = 1 q [ t ϱ ξ 1 Φ 2 ( t ϱ , X ϱ , Y ϱ , Z ϱ ) ( ( q + 1 ϱ ) r ( q ϱ + 2 + r ) ( q ϱ ) r ( q ϱ + 2 + 2 r ) ) t ϱ 1 ξ 1 Φ 2 ( t ϱ 1 , X ϱ 1 , Y ϱ 1 , Z ϱ 1 ) × ( q ϱ + 1 ) r 1 ( q ϱ ) r ( q ϱ + 1 + r ) ] ;   t ϱ , t ϱ 1 [ t 1 , t 2 ] , Y ( t 2 ) + 3 Δ t 2 Φ 2 ( t q , X q , Y q , Z q ) Δ t 2 Φ 2 ( t q 1 , X q 1 , Y q 1 , Z q 1 ) ;   t q , t q 1 [ t 2 , t 3 ] , Y ( t 3 ) + ξ h r Γ ( r + 2 ) ϱ = 3 q [ t ϱ ξ 1 Φ 2 ( t ϱ , X ϱ , Y ϱ , Z ϱ ) ( ( q + 1 ϱ ) r ( q ϱ + 2 + r ) ( q ϱ ) r ( q ϱ + 2 + 2 r ) ) t ϱ 1 ξ 1 Φ 2 ( t ϱ 1 , X ϱ 1 , Y ϱ 1 , Z ϱ 1 ) × ( q ϱ + 1 ) r 1 ( q ϱ ) r ( q ϱ + 1 + r ) ] ;   t ϱ , t ϱ 1 [ t 3 , T ] , Z q + 1 = Z ( 0 ) + 3 Δ t 2 Φ 3 ( t q , X q , Y q , Z q ) Δ t 2 Φ 3 ( t q 1 , X q 1 , Y q 1 , Z q 1 ) ;   t q , t q 1 [ 0 , t 1 ] , Y ( t 1 ) + ξ h r Γ ( r + 2 ) ϱ = 1 q [ t ϱ ξ 1 Φ 3 ( t ϱ , X ϱ , Y ϱ , Z ϱ ) ( ( q + 1 ϱ ) r ( q ϱ + 2 + r ) ( q ϱ ) r ( q ϱ + 2 + 2 r ) ) t ϱ 1 ξ 1 Φ 3 ( t ϱ 1 , X ϱ 1 , Y ϱ 1 , Z ϱ 1 ) × ( q ϱ + 1 ) r 1 ( q ϱ ) r ( q ϱ + 1 + r ) ] ;   t ϱ , t ϱ 1 [ t 1 , t 2 ] , Z ( t 2 ) + 3 Δ t 2 Φ 3 ( t q , X q , Y q , Z q ) Δ t 2 Φ 3 ( t q 1 , X q 1 , Y q 1 , Z q 1 ) ;   t q , t q 1 [ t 2 , t 3 ] , Z ( t 3 ) + ξ h r Γ ( r + 2 ) ϱ = 3 q [ t ϱ ξ 1 Φ 3 ( t ϱ , X ϱ , Y ϱ , Z ϱ ) ( ( q + 1 ϱ ) r ( q ϱ + 2 + r ) ( q ϱ ) r ( q ϱ + 2 + 2 r ) ) t ϱ 1 ξ 1 Φ 3 ( t ϱ 1 , X ϱ 1 , Y ϱ 1 , Z ϱ 1 ) × ( q ϱ + 1 ) r 1 ( q ϱ ) r ( q ϱ + 1 + r ) ] ;   t ϱ , t ϱ 1 [ t 3 , T ] ,

5. Simulations of the Numerical Results

In this portion of the manuscript, simulations of the numerical results derived in Section 4 are performed. We take the initial values as X ( 0 ) = 250 ,   Y ( 0 ) = 0 ,   Z ( 0 ) = 0 , and a = 0.054736,   b = 0.0152704,   c = 0.0093906 [11]. We present the numerical results graphically in Figure 1, Figure 2 and Figure 3 for different fractional orders using the fractal order ξ = 1 .
Here, we present the numerical solutions for various classes of the proposed model against different fractal-fractional-order values in Figure 4, Figure 5 and Figure 6.
Here, we present the numerical solutions for various classes of the proposed model against different fractal-fractional-order values in Figure 7, Figure 8 and Figure 9.
To make a comparison between the proposed fractal-fractional model and its equivalent integer-order variant, we present the plots for integer order as follows.

6. Discussion

We used a numerical method based on the procedure of the Adam Bashforth method. This method has increasingly been applied to approximate the solutions of nonlinear fractal-fractional-order problems. This method has also extensively been used in epidemic models. However, this method has some limitations as well. For instance, in the case of oscillatory phenomena, the proposed numerical method suffers from instability like RK-4 (the Runge–Kutta method of order 4). In such a situation, short time intervals should be used. Moreover, this method does not converge unconditionally. Its convergence depends on fractional order, time step size, and spatial grid size.
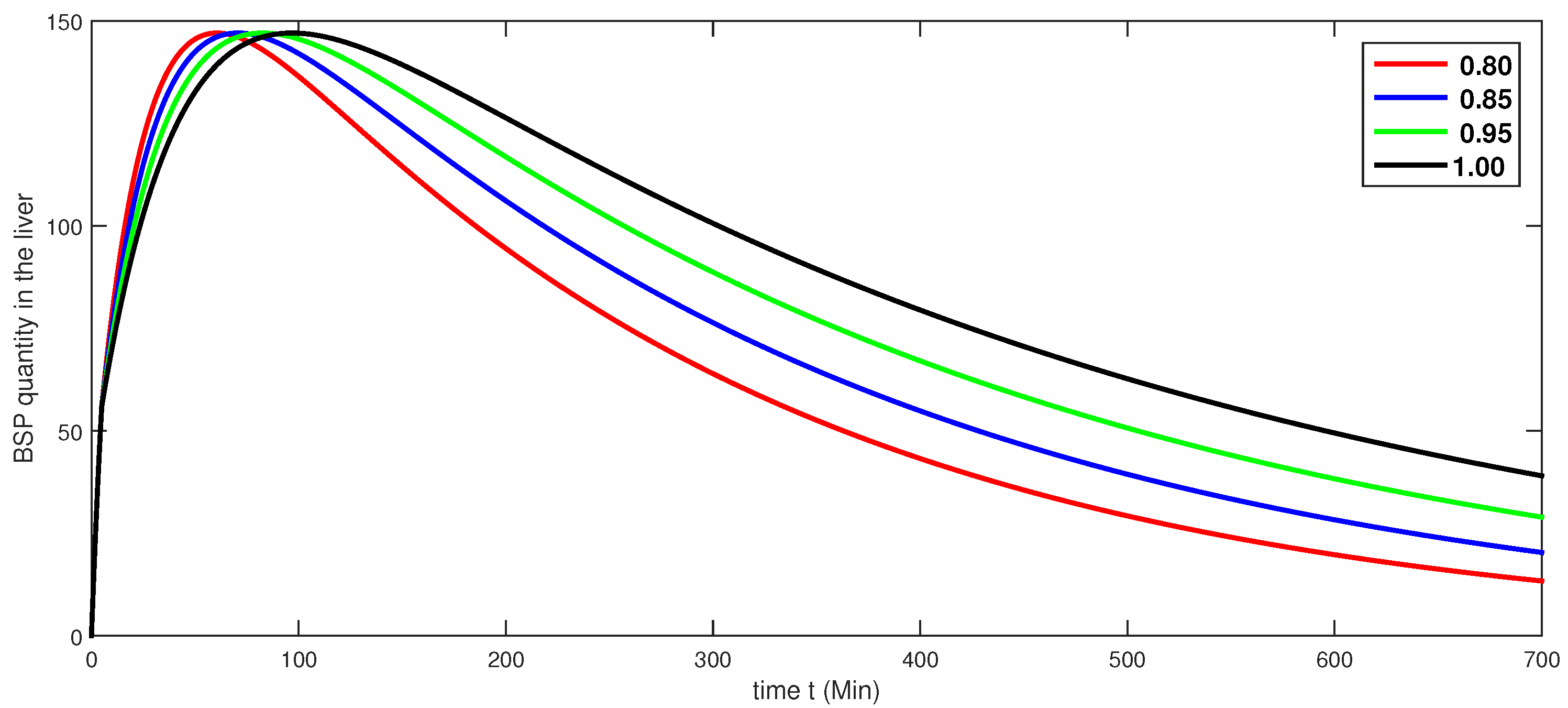
We take different values of fractal-fractional order to simulate and illustrate the result as shown in the figures. In Figure 1, Figure 2 and Figure 3, BSP levels in blood, liver, and bile are graphically shown for a fixed fractal order ξ = 1 and various fractional orders. In Figure 4, Figure 5, Figure 6, Figure 7, Figure 8 and Figure 9, BSP levels in blood, liver, and bile are graphically shown for various sets of fractal-fractional orders. From these simulations, we observe the crossover effects in the BSP level at some instants of the given time intervals for various values of fractal dimension and fractional order. In Figure 1, we see that the BSP level in blood quickly decreases in the first 50 min and then it suddenly changes towards stability. In Figure 4, we observe a fast decline in the quantity of BSP levels in blood for varying ξ in the interval ( 0 , 1 ) and taking the same fractional order as in Figure 1. In Figure 2, we see that the quantity of the BSP level in the liver first increases and then shows a decline after observing crossover effects for a fixed fractal order ξ = 1 and various fractional orders. In Figure 5, we observe a fast decline in the quantity of the BSP level in the liver for varying ξ in the interval ( 0 , 1 ) and taking the same fractional order as in Figure 3. In Figure 3, we see that the quantity of the BSP level in bile smoothly increases and reaches its peak at point 700 for a fixed fractal order ξ = 1 and various fractional orders. In Figure 6, we observe that the quantity of the BSP level in bile reaches its peak earlier for varying ξ in the interval ( 0 , 1 ) and taking the same fractional order as in Figure 3. From Figure 4, Figure 5, Figure 6, Figure 7, Figure 8 and Figure 9, it is obvious that the decay process is faster at a lower-order fractional value and larger fractal values. In the same way, the growth process is faster at a higher fractional order and lower fractal values and vice versa.
We compare the proposed fractal-fractional model and its equivalent integer-order variant graphically. We see that in the integer-order plot given in Figure 10, there is only one option to be considered, while in the case of the fractal-fractional-order model, we obtain multiple choice graphs for each class of the considered model for various fractal-fractional values. The fractal-fractional values are arbitrary. We can choose any value to simulate the results. From this discussion and interpretation, the significance of fractal-fractional order derivatives is obvious.

7. Conclusions

In this research paper, we extended the concept of piecewise fractal-fractional derivative to a human liver model that was previously studied in various forms. Conditions for unique solutions and stability results are carried out for the model under consideration. We established numerical schemes for both classical and power law kernels of the proposed problem by using the extended method of ABM and Lagrangian polynomial piecewise interpolation and simulated the numerical results that visually represent the numerical solutions at different fractal and fractional values. Our obtained results have the property of crossover and memory effects that make the results interesting.
In the future, a more realistic model can be considered by adding the recruitment rate to the model and by modifying the parameters involved in the proposed model.

Author Contributions

Conceptualization, O.O.; Software, A.M.; Formal analysis, A.A. (Amer Alsulami); Investigation, A.A. (Amer Alsulami); Writing—original draft, A.A. (Arshad Ali); Writing—review & editing, A.E.H., K.A. and H.S.; Project administration, K.A.; Funding acquisition, O.O. All authors have read and agreed to the published version of the manuscript.

Funding

This research received no external funding.

Data Availability Statement

All data are included in paper.

Acknowledgments

The researchers would like to thank the Deanship of Graduate Studies and Scientific Research at Qassim University for financial support (QU-APC-2024-9/1).

Conflicts of Interest

The authors declare no conflicts of interest.

Correction Statement

This article has been republished with a minor correction to the Acknowledgments. This change does not affect the scientific content of the article.

References

  1. Abdel-Misih, S.R.Z.; Bloomston, M. Liver anatomy. Surg. Clin. N. Am. 2010, 90, 643–653. [Google Scholar] [PubMed]
  2. Sepanlou, S.G.; Safiri, S.; Bisignano, C.; Ikuta, K.S.; Merat, S.; Saberifiroozi, M.; Padubidri, J.R. The global, regional, and national burden of cirrhosis by cause in 195 countries and territories, 1990–2017: A systematic analysis for the Global Burden of Disease Study 2017. Lancet Gastroenterol. Hepatol. 2020, 5, 245–266. [Google Scholar] [CrossRef] [PubMed]
  3. Lehman, E.M.; Wilson, M.L. Epidemiology of hepatitis viruses among hepatocellular carcinoma cases and healthy people in Egypt: A systematic review and meta-analysis. Int. J. Cancer 2009, 124, 690–697. [Google Scholar] [CrossRef] [PubMed]
  4. Lumeij, J.T. Avian clinical biochemistry. In Clinical Biochemistry of Domestic Animals; Academic Press: Cambridge, MA, USA, 1997; pp. 857–883. [Google Scholar]
  5. Islam, R.; Alam, M.J. Evaluation of liver protective activity of Moringa oleifera bark extract in paracetamol induced hepatotoxicity in rats. BioRxiv 2019, 513002. [Google Scholar]
  6. Latrach, K.; Taoudi, M.A.; Zeghal, A. Some fixed point theorems of the Schauder and the Krasnosel’skii type and application to nonlinear transport equations. J. Differ. Equ. 2006, 221, 256–271. [Google Scholar] [CrossRef]
  7. Ahmad, B.; Ntouyas, S.K.; Alsaedi, A. New existence results for nonlinear fractional differential equations with three-point integral boundary conditions. Adv. Differ. Equ. 2011, 2011, 107384. [Google Scholar]
  8. Dhage, B.C.; Dhage, S.B.; Buvaneswari, K. Existence of mild solutions of nonlinear boundary value problems of coupled hybrid fractional integro differential equations. J. Fract. Calc. Appl. 2019, 10, 191–206. [Google Scholar]
  9. Devi, A.; Kumar, A. Hyers-Ulam stability and existence of solution for hybrid fractional differential equation with p-Laplacian operator. Chaos Solitons Fractals 2022, 156, 111859. [Google Scholar] [CrossRef]
  10. Vu, H.; Rassias, J.M.; Hoa, N.V. Hyers-Ulam stability for boundary value problem of fractional differential equations with ψ-Caputo fractional derivative. Math. Methods Appl. Sci. 2023, 46, 438–460. [Google Scholar] [CrossRef]
  11. Čelechovská, L. A simple mathematical model of the human liver. Appl. Math. 2004, 49, 227–246. [Google Scholar] [CrossRef]
  12. Calvetti, D.; Kuceyeski, A.; Somersalo, E. A mathematical model of liver metabolism: From steady state to dynamic. J. Phys. Conf. Ser. 2008, 124, 012012. [Google Scholar] [CrossRef]
  13. Repetto, R.; Tweedy, J.H. Mathematical modelling of the circulation in the liver lobule. J. Biomech. Eng. 2010, 132, 111011. [Google Scholar]
  14. Friedman, A.; Hao, W. Mathematical modelling of liver fibrosis. Math. Biosci. Eng. 2017, 14, 143–164. [Google Scholar] [CrossRef]
  15. Shah, K.; Alqudah, M.A.; Jarad, F.; Abdeljawad, T. Semi-analytical study of Pine Wilt Disease modelwith convex rate under Caputo-Febrizio fractional order derivative. Chaos Soliton Fractals 2020, 135, 109754. [Google Scholar] [CrossRef]
  16. Khan, H.; Alzabut, J.; Shah, A.; He, Z.Y.; Etemad, S.; Rezapour, S.; Zada, A. On fractal-fractional waterborne disease model: A study on theoretical and numerical aspects of solutions via simulations. Fractals 2023, 31, 2340055. [Google Scholar] [CrossRef]
  17. Aldwoah, K.A.; Almalahi, M.A.; Shah, K. Theoretical and Numerical Simulations on the Hepatitis B Virus Model through a Piecewise Fractional Order. Fractal Fract. 2023, 7, 844. [Google Scholar] [CrossRef]
  18. Aldwoah, K.A.; Almalahi, M.A.; Hleili, M.; Alqarni, F.A.; Aly, E.S.; Shah, K. Analytical study of a modified-ABC fractional order breast cancer model. J. Appl. Math. Comput. 2024, 70, 3685–3716. [Google Scholar] [CrossRef]
  19. Aldwoah, K.A.; Almalahi, M.A.; Shah, K.; Awadalla, M.; Egami, R.H. Dynamics analysis of dengue fever model with harmonic mean type under fractal-fractional derivative. AIMS Math. 2024, 9, 13894–13926. [Google Scholar] [CrossRef]
  20. Podlubny, L. Fractional Differential Equations. In An Introduction to Fractional Derivatives, Fractional Differential Equations, to Methods of Their Solution and Some of Their Applications; Academic Press: San Diego, CA, USA, 1999; Volume 198. [Google Scholar]
  21. Ameen, I.G.; Sweilam, N.H.; Ali, H.M. A fractional-order model of human liver: Analytic-approximate and numerical solutions comparing with clinical data. Alex. Eng. J. 2021, 60, 4797–4808. [Google Scholar] [CrossRef]
  22. Caputo, M.; Fabrizio, M. A new definition of fractional derivative without singular kernel. Prog. Fract. Differ. Appl. 2015, 1, 73–85. [Google Scholar]
  23. Atangana, A.; Baleanu, D. New fractional derivative with non-local and non-singular kernel. Therm. Sci. 2016, 20, 757–763. [Google Scholar] [CrossRef]
  24. Rezapour, S.; Etemad, S.; Mohammadi, H. A mathematical analysis of a system of Caputo-Fabrizio fractional differential equations for the anthrax disease model in animals. Adv. Diff. Equ. 2020, 2020, 481. [Google Scholar] [CrossRef]
  25. Atangana, A. Fractal-fractional differentiation and integration: Connecting fractal calculus and fractional calculus to predict complex system. Chaos Solitons Fractals 2017, 102, 396–406. [Google Scholar] [CrossRef]
  26. Shah, K.; Abdeljawad, T. Study of radioactive decay process of uranium atoms via fractals-fractional analysis. S. Afr. J. Chem. Eng. 2024, 48, 63–70. [Google Scholar] [CrossRef]
  27. Khan, H.; Aslam, M.; Rajpar, A.E.H.; Chu, Y.M.; Etemad, S.; Rezapour, S.; Ahmad, H. A new fractal-fractional hybrid model for studying climate change on coastal ecosystems from the mathematical point of view. Fractals 2024, 32, 2440015. [Google Scholar] [CrossRef]
  28. Shah, A.; Khan, H.; De la Sen, M.; Alzabut, J.; Etemad, S.; Deressa, C.T.; Rezapour, S. On non-symmetric fractal-fractional modeling for ice smoking: Mathematical analysis of solutions. Symmetry 2022, 15, 87. [Google Scholar] [CrossRef]
  29. Alraqad, T.; Almalahi, M.A.; Mohammed, N.; Alahmade, A.; Aldwoah, K.A.; Saber, H. Modeling Ebola Dynamics with a Piecewise Hybrid Fractional Derivative Approach. Fractal Fract. 2024, 8, 596. [Google Scholar] [CrossRef]
  30. Baleanu, D.; Jajarmi, A.; Mohammadi, H.; Rezapour, S. A new study on the mathematical modelling of human liver with Caputo-Fabrizio fractional derivative. Chaos Solitons Fractals 2020, 134, 109705. [Google Scholar] [CrossRef]
  31. Atangana, A.; Araz, S.I. New concept in calculus: Piecewise differential and integral operators. Chaos Solitons Fractals 2021, 145, 110638. [Google Scholar] [CrossRef]
  32. Atangana, A.; Araz, S.I. Piecewise derivatives versus short memory concept: Analysis and application. AIMs Math. 2022, 19, 8601–8620. [Google Scholar]
  33. Ansari, K.J.; Asma; Ilyas, F.; Shah, K.; Khan, A.; Abdeljawad, T. On new updated concept for delay differential equations with piecewise Caputo fractional-order derivative. Waves Random Complex Media 2023, 2023, 1–20. [Google Scholar] [CrossRef]
  34. Rus, I.A. Ulam stabilities of ordinary differential equations in a Banach space. Carpath. J. Math. 2010, 26, 103–107. [Google Scholar]
  35. Khan, M.A.; Atangana, A. Numerical Methods for Fractal-Fractional Differential Equations and Engineering Simulations and Modeling; Simulations and Modeling; CRC Press: Boca Raton, FL, USA, 2023. [Google Scholar]
  36. Riaz, M.; Alqarni, F.A.; Aldwoah, K.; Birkea, F.M.O.; Hleili, M. Analyzing a Dynamical System with Harmonic Mean Incidence Rate Using Volterra-Lyapunov Matrices and Fractal-Fractional Operators. Fractal Fract. 2024, 8, 321. [Google Scholar] [CrossRef]
  37. Arfan, M.; Alrabaiah, H.; Rahman, M.U.; Yu-Liang Sun, Y.L.; Hashim, A.S.; Pansera, B.A.; Ahmadian, A.; Salahshour, S. Investigation of fractal-fractional order model of COVID-19 in Pakistan under Atangana-Baleanu Caputo (ABC) derivative. Results Phys. 2021, 24, 104046. [Google Scholar] [CrossRef]
Figure 1. Simulation of BSP quantity in blood over time, corresponding to different fractional-order values using fractal order ξ = 1 .
Figure 1. Simulation of BSP quantity in blood over time, corresponding to different fractional-order values using fractal order ξ = 1 .
Fractalfract 08 00638 g001
Figure 2. Simulation of BSP quantity in the liver over time, corresponding to different fractional-order values using fractal order ξ = 1 .
Figure 2. Simulation of BSP quantity in the liver over time, corresponding to different fractional-order values using fractal order ξ = 1 .
Fractalfract 08 00638 g002
Figure 3. Simulation of BSP quantity in bile over time, corresponding to different fractional-order values using fractal order ξ = 1 .
Figure 3. Simulation of BSP quantity in bile over time, corresponding to different fractional-order values using fractal order ξ = 1 .
Fractalfract 08 00638 g003
Figure 4. Simulation of BSP quantity in blood over time, corresponding to different fractal-fractional-order values.
Figure 4. Simulation of BSP quantity in blood over time, corresponding to different fractal-fractional-order values.
Fractalfract 08 00638 g004
Figure 5. Simulation of BSP quantity in the liver over time, corresponding to different fractal-fractional-order values.
Figure 5. Simulation of BSP quantity in the liver over time, corresponding to different fractal-fractional-order values.
Fractalfract 08 00638 g005
Figure 6. Simulation of BSP quantity in bile over time, corresponding to different fractal-fractional-order values.
Figure 6. Simulation of BSP quantity in bile over time, corresponding to different fractal-fractional-order values.
Fractalfract 08 00638 g006
Figure 7. Simulation of BSP quantity in blood over time, corresponding to different fractal-fractional-order values.
Figure 7. Simulation of BSP quantity in blood over time, corresponding to different fractal-fractional-order values.
Fractalfract 08 00638 g007
Figure 8. Simulation of BSP quantity in the liver over time, corresponding to different fractal-fractional-order values.
Figure 8. Simulation of BSP quantity in the liver over time, corresponding to different fractal-fractional-order values.
Fractalfract 08 00638 g008
Figure 9. Simulation of BSP quantity in bile over time, corresponding to different fractal-fractional-order values.
Figure 9. Simulation of BSP quantity in bile over time, corresponding to different fractal-fractional-order values.
Fractalfract 08 00638 g009
Figure 10. Numerical simulations of the integer-order model for all three classes of the considered model.
Figure 10. Numerical simulations of the integer-order model for all three classes of the considered model.
Fractalfract 08 00638 g010
Table 1. Parameters and their description.
Table 1. Parameters and their description.
ParametersParameter Definition
X ( t ) BSP quantity in the blood at time t.
Y ( t ) BSP quantity in the the liver at time t.
Z ( t ) BSP quantity in the bile at time t.
atransferring rate of BSP from the blood to the liver.
btransferring rate of BSP from liver to the bile.
crefluxing rate of BSP from the liver into the blood.
hpositive bounded real number.
Disclaimer/Publisher’s Note: The statements, opinions and data contained in all publications are solely those of the individual author(s) and contributor(s) and not of MDPI and/or the editor(s). MDPI and/or the editor(s) disclaim responsibility for any injury to people or property resulting from any ideas, methods, instructions or products referred to in the content.

Share and Cite

MDPI and ACS Style

Hamza, A.E.; Osman, O.; Ali, A.; Alsulami, A.; Aldwoah, K.; Mustafa, A.; Saber, H. Fractal-Fractional-Order Modeling of Liver Fibrosis Disease and Its Mathematical Results with Subinterval Transitions. Fractal Fract. 2024, 8, 638. https://doi.org/10.3390/fractalfract8110638

AMA Style

Hamza AE, Osman O, Ali A, Alsulami A, Aldwoah K, Mustafa A, Saber H. Fractal-Fractional-Order Modeling of Liver Fibrosis Disease and Its Mathematical Results with Subinterval Transitions. Fractal and Fractional. 2024; 8(11):638. https://doi.org/10.3390/fractalfract8110638

Chicago/Turabian Style

Hamza, Amjad E., Osman Osman, Arshad Ali, Amer Alsulami, Khaled Aldwoah, Alaa Mustafa, and Hicham Saber. 2024. "Fractal-Fractional-Order Modeling of Liver Fibrosis Disease and Its Mathematical Results with Subinterval Transitions" Fractal and Fractional 8, no. 11: 638. https://doi.org/10.3390/fractalfract8110638

APA Style

Hamza, A. E., Osman, O., Ali, A., Alsulami, A., Aldwoah, K., Mustafa, A., & Saber, H. (2024). Fractal-Fractional-Order Modeling of Liver Fibrosis Disease and Its Mathematical Results with Subinterval Transitions. Fractal and Fractional, 8(11), 638. https://doi.org/10.3390/fractalfract8110638

Article Metrics

Back to TopTop