On the Impacts of the Global Sea Level Dynamics
Abstract
1. Introduction
2. Materials and Methods
- (1)
- The first step is to integrate the time series y(i) over time by calculating the differences of the N observations y(i) from their average.
- (2)
- The next step is to divide the integrated time series, x(i), into completely separate boxes of equal length, τ, and repeat the same algorithm starting this time from the end of the profile, thus obtaining 2Nτ boxes (where Nτ is the integer part of the number N/τ).
- (3)
- The third step is to calculate the polynomial least-square fit (of order l) in each box and the corresponding variance obtained from the below formulas (see a more detailed description in [30]):
- for each box j = 1, …, Nτ:
- for each box j = Nτ + 1, …, 2Nτ:where t(i) is a locally best polynomial fitted trend (of second degree) to the τ data.
- (4)
- In the following, the q-th order fluctuation function is estimated by averaging the variances over all boxes:where q is the variable moment.
- (5)
- The last step is to depict Fq(τ) vs. τ (in log-log plot) for different values of q and in the case of multi-scaling behavior, a power-law behavior for Fq(τ) is observed:where h(q) stands for the generalized Hurst exponent (the slope of the regression line).
3. Results
3.1. GMSL Derived from Satellite Altimeter Data
3.1.1. Application of the DFA Method to the GMSL Derived from SAD

3.1.2. Application of the MF-DFA Method on the GMSL Derived from SAD

3.2. GMSL Derived from Reconstructed Data
3.2.1. Application of the DFA Method on the GMSL Data Derived from RD
3.2.2. Application of the MF-DFA Method on the GMSL Data Derived from RD

3.2.3. Application of the MultiFractal Centered Moving Average (MFCMA) Method
3.3. GMSL Derived from Reconstructed and Satellite Data, during the Common Period
4. Conclusions
- Applying the DFA technique to the D&D GMSL time series from the satellite altimeter dataset (reconstructed dataset) during the period 1993–2020 (1880–2013) gives a scaling exponent a = 0.77 ± 0.02 (a = 0.76 ± 0.02), thus revealing that the fluctuations in mean sea-level values from short to longer time intervals are positively correlated.
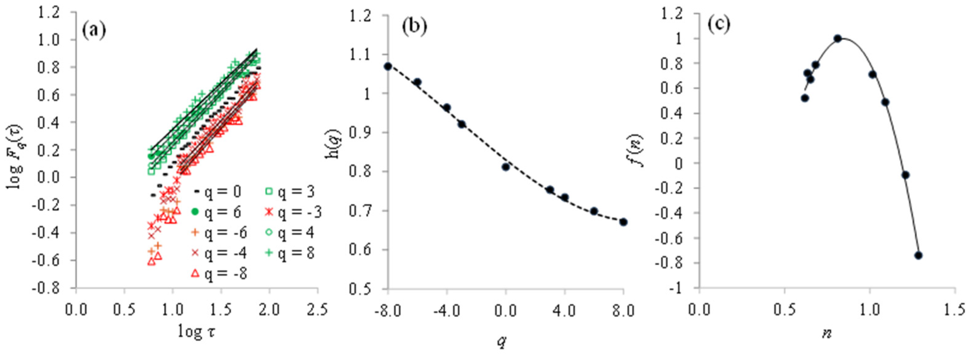
- The application of the MF-DFA technique to both GMSL time series used suggested the power-law scaling behavior of Fd(τ) on large scales τ for all the selected positive and negative moments. Additionally, the generalized Hurst exponent h(q) appears to depend on q, and the h(q) values were higher than 0.5, revealing multifractality and persistent long-range correlations.
- A comparison of the trends and scaling properties of both GMSL time series was carried out for the common period (i.e., January 1993–December 2013). Similar scaling properties were revealed for the two-time series, thus suggesting that the historic data set could be used in any way to validate the satellite altimeter dataset.
Author Contributions
Funding
Data Availability Statement
Conflicts of Interest
References
- Thomas, Z.A.; Jones, R.T.; Turney, C.S.; Golledge, N.; Fogwill, C.; Bradshaw, C.J.; Menviel, L.; McKay, N.P.; Bird, M.; Palmer, J.; et al. Tipping elements and amplified polar warming during the Last Interglacial. Quat. Sci. Rev. 2020, 233, 106222. [Google Scholar] [CrossRef]
- Chattopadhyay, S.; Jhajharia, D.; Chattopadhyay, G. Univariate modelling of monthly maximum temperature time series over northeast India: Neural network versus Yule–Walker equation based approach. Meteorol. Appl. 2011, 18, 70–82. [Google Scholar] [CrossRef]
- Ebel, A.; Memmesheimer, M.; Jakobs, H.J. Chemical perturbations in the planetary boundary layer and their relevance for chemistry transport modelling. In Atmospheric Boundary Layers; Baklanov, A., Grisogono, B., Eds.; Springer: New York, NY, USA, 2007; pp. 109–122. [Google Scholar] [CrossRef]
- Yang, A. Long-term global sea-level change due to dynamic topography since 410 MA. Deep Sea Res. Part I Oceanogr. Res. Pap. 2023, 191, 103944. [Google Scholar] [CrossRef]
- Varotsos, C.A.; Golitsyn, G.S.; Xue, Y.; Efstathiou, M.; Sarlis, N.; Voronova, T. On the relation between rain, clouds, and cosmic rays. Remote Sens. Lett. 2023, 14, 301–312. [Google Scholar] [CrossRef]
- Xue, Y.; Ai, J.; Wan, W.; Guo, H.; Li, Y.; Wang, Y.; Guang, J.; Mei, L.; Xu, H. Grid-enabled high-performance quantitative aerosol retrieval from remotely sensed data. Comput. Geosci. 2011, 37, 202–206. [Google Scholar] [CrossRef]
- Reese, A. The Atlantic is being ringed with tiny sensors in an ambitious effort to track climate change. Science 2023, 382, 6670. [Google Scholar] [CrossRef]
- Hu, A.; Bates, S.C. Internal climate variability and projected future regional steric and dynamic sea level rise. Nat. Commun. 2018, 9, 1068. [Google Scholar] [CrossRef]
- Vousdoukas, M.I.; Mentaschi, L.; Voukouvalas, E.; Verlaan, M.; Jevrejeva, S.; Jackson, L.P.; Feyen, L. Global probabilistic projections of extreme sea levels show intensification of coastal flood hazard. Nat. Commun. 2018, 9, 2360. [Google Scholar] [CrossRef]
- Nerem, R.S.; Beckley, B.D.; Fasullo, J.T.; Hamlington, B.D.; Masters, D.; Mitchum, G.T. Climate-change–driven accelerated sea-level rise detected in the altimeter era. Proc. Natl. Acad. Sci. USA 2018, 115, 2022–2025. [Google Scholar] [CrossRef]
- Nerem, R.S.; Chambers, D.P.; Leuliette, E.W.; Mitchum, G.T.; Giese, B.S. Variations in global mean sea level associated with the 1997-1998 ENSO event: Implications for measuring long term sea level change. Geophys. Res. Lett. 1999, 26, 3005–3008. [Google Scholar] [CrossRef]
- Church, J.A.; White, N.J. Sea-level rise from the late 19th to the early 21st century. Surv. Geophys. 2011, 32, 585–602. [Google Scholar] [CrossRef]
- Gregory, J.M.; White, N.J.; Church, J.A.; Bierkens, M.F.; Box, J.E.; Van den Broeke, M.R.; Cogley, J.G.; Fettweis, X.; Hanna, E.; Huybrechts, P.; et al. Twentieth-century global-mean sea level rise: Is the whole greater than the sum of the parts? J. Clim. 2013, 26, 4476–4499. [Google Scholar] [CrossRef]
- Marzeion, B.; Cogley, J.G.; Richter, K.; Parkes, D. Attribution of global glacier mass loss toanthropogenic and natural causes. Science 2014, 345, 919–921. [Google Scholar] [CrossRef] [PubMed]
- Jevrejeva, S.; Grinsted, A.; Moore, J.C. Anthropogenic forcing dominates sea level rise since 1850. Geophys. Res. Let. 2009, 36, L20706. [Google Scholar] [CrossRef]
- Slangen, A.B.; Church, J.A.; Agosta, C.; Fettweis, X.; Marzeion, B.; Richter, K. Anthropogenic forcing dominates global mean sea-level rise since 1970. Nat. Clim. Chang. 2016, 6, 701–705. [Google Scholar] [CrossRef]
- Marcos, M.; Marzeion, B.; Dangendorf, S.; Slangen, A.B.A.; Palanisamy, H.; Fenoglio-Marc, L. Internal Variability versus Anthropogenic Forcing on Sea Level and Its Components. In Integrative Study of the Mean Sea Level and Its Components; Springer: Berlin/Heidelberg, Germany, 2017; pp. 337–356. [Google Scholar] [CrossRef]
- Fraedrich, K.; Blender, R. Scaling of Atmosphere and Ocean Temperature Correlations in Observations and Climate Models. Phys. Rev. Let. 2003, 90, 108501. [Google Scholar] [CrossRef] [PubMed]
- Monetti, A.R.; Havlin, S.; Bunde, A. Long-term persistence in the sea surface temperature fluctuations. Phys. A Stat. Mech. Its Appl. 2003, 320, 581–589. [Google Scholar] [CrossRef]
- Dangendorf, S.; Rybski, D.; Mudersbach, C.; Müller, A.; Kaufmann, E.; Zorita, E.; Jensen, J. Evidence for long-term memory in sea level. Geophys. Res. Let. 2014, 41, 5530–5537. [Google Scholar] [CrossRef]
- Becker, M.; Karpytchev, M.; Lennartz-Sassinek, S. Long-term sea level trends: Natural or anthropogenic? Geophys. Res. Lett. 2014, 41, 5571–5579. [Google Scholar] [CrossRef]
- Tomasicchio, G.R.; Lusito, L.; D’Alessandro, F.; Frega, F.; Francone, A.; De Bartolo, S. A direct scaling analysis for the sea level rise. Stoch. Environ. Res. Risk A 2018, 32, 3397–3408. [Google Scholar] [CrossRef]
- Gao, M.; Zhang, A.; Zhang, H.; Pang, Y.; Wang, Y. Multifractality of global sea level heights in the satellite altimeter-era. Phys. A Stat. Mech. Its Appl. 2022, 604, 127923. [Google Scholar] [CrossRef]
- Varotsos, C.A.; Cracknell, A.P. Remote Sensing Letters contribution to the success of the Sustainable Development Goals-UN 2030 agenda. Remote Sens. Lett. 2020, 11, 715–719. [Google Scholar] [CrossRef]
- Church, J.A.; White, N.J.; Coleman, R.; Lambeck, K.; Mitrovica, J.X. Estimates of the regional distribution of sea level rise over the 1950–2000 period. J. Clim. 2004, 17, 2609–2625. [Google Scholar] [CrossRef]
- Calafat, F.M.; Chambers, D.P.; Tsimplis, M.N. On the ability of global sea level reconstructions to determine trends and variability. J. Geophys. Res. Oceans 2014, 119, 1572–1592. [Google Scholar] [CrossRef]
- Woodworth, P.L.; Player, R. The permanent service for mean sea level: An update to the 21st century. J. Coast. Res. 2003, 19, 287–295. [Google Scholar]
- Peng, C.K.; Buldyrev, S.V.; Havlin, S.; Simons, M.; Stanley, H.E.; Goldberger, A.L. Mosaic organization of DNA nucleotides. Phys. Rev. E 1994, 49, 1685–1689. [Google Scholar] [CrossRef] [PubMed]
- Weber, R.O.; Talkner, P. Spectra and correlations of climate data from days to decades. J. Geophys. Res. 2001, 106, 20131–20144. [Google Scholar] [CrossRef]
- Kantelhardt, J.W.; Zschiegner, A.; Koscielny-Bunde, E.; Havlin, S.; Bunde, A.; Stanley, H.E. Multifractal detrended fluctuation analysis of nonstationary time series. Phys. A Stat. Mech. Its Appl. 2002, 316, 87–114. [Google Scholar] [CrossRef]
- Varotsos, C.A.; Tzanis, C.G.; Sarlis, N.V. On the progress of the 2015–2016 El Niño event. Atmos. Chem. Phys. 2016, 16, 2007–2011. [Google Scholar] [CrossRef]
- Efstathiou, M.N.; Varotsos, C.A. Intrinsic properties of Sahel precipitation anomalies and rainfall. Theor. Appl. Climatol. 2012, 109, 627–633. [Google Scholar] [CrossRef]
- Efstathiou, M.N.; Tzanis, C.; Cracknell, A.P.; Varotsos, C.A. New features of land and sea surface temperature anomalies. Int. J. Remote Sens. 2011, 32, 3231–3238. [Google Scholar] [CrossRef]
- Mintzelas, A.; Sarlis, N.V.; Christopoulos, S.-R.G. Estimation of multifractality based on natural time analysis. Phys. A Stat. Mech. Its Appl. 2018, 512, 153–164. [Google Scholar] [CrossRef]
- Nikolopoulos, D.; Moustris, K.; Petraki, E.; Cantzos, D. Long-memory traces in PM 10 time series in Athens, Greece: Investigation through DFA and R/S analysis. Meteorol. Atmos. Phys. 2021, 133, 261–279. [Google Scholar] [CrossRef]
- Nikolopoulos, D.; Alam, A.; Petraki, E.; Yannakopoulos, P.; Moustris, K. Multifractal Patterns in 17-Year PM10 Time Series in Athens, Greece. Environments 2022, 10, 9. [Google Scholar] [CrossRef]
- Kantelhardt, J.W.; Berkovits, R.; Havlin, S.; Bunde, A. Are the phases in the Anderson model long-range correlated? Phys. A Stat. Mech. Its Appl. 1999, 266, 461–464. [Google Scholar] [CrossRef]
- Hu, K.; Ivanov, P.C.; Chen, Z.; Carpena, P.; Stanley, H.E. Effect of trends on detrended fluctuation analysis. Phys. Rev. E 2001, 64, 011114. [Google Scholar] [CrossRef]
- Wiener, N. Extrapolation, Interpolation and Smoothing of Stationary Time Series; MIT Technology Press; John Wiley and Sons: New York, NY, USA, 1950. [Google Scholar]
- Zwillinger, D. CRC Standard Mathematical Tables and Formulae, 31st ed.; Chapman & Hall/CRC: Boca Raton, FL, USA, 2002. [Google Scholar]
- Anderson, T.W.; Darling, D.A. A test of goodness of fit. J. Am. Stat. Assoc. 1954, 49, 765–769. [Google Scholar] [CrossRef]
- Stephens, M.A. EDF statistics for goodness of fit and some comparisons. J. Am. Stat. Assoc. 1974, 69, 730–737. [Google Scholar] [CrossRef]
- Bowen, K.J.; Ebi, K.L.; Woodward, A.; McIver, L.; Tukuitonga, C.; Nayna Schwerdtle, P. Human health and climate change in the Pacific: A review of current knowledge. Clim. Dev. 2023, 1–15. [Google Scholar] [CrossRef]
- Ihlen, E.A.F. Introduction to multifractal detrended fluctuation analysis in Matlab. Front. Physiol. 2012, 3, 141. [Google Scholar] [CrossRef]
- Maraun, D.; Rust, H.W.; Timmer, J. Tempting long-memory—On the interpretation of DFA results. Nonlinear Process. Geophys. 2004, 11, 495–503. [Google Scholar] [CrossRef]
- Schumann, A.Y.; Kantelhardt, J.W. Multifractal moving average analysis and test of multifractal model with tuned correlations. Phys. A Stat. Mech. Its Appl. 2011, 390, 2637–2654. [Google Scholar] [CrossRef]
- Alvarez-Ramirez, J.; Rodriguez, E.; Carlos Echeverría, J. Detrending fluctuation analysis based on moving average filtering. Phys. A Stat. Mech. Its Appl. 2005, 354, 199–219. [Google Scholar] [CrossRef]
- Bashan, A.; Bartsch, R.; Kantelhardt, J.W.; Havlin, S. Comparison of detrending methods for fluctuation analysis. Phys. A Stat. Mech. Its Appl. 2008, 387, 5080–5090. [Google Scholar] [CrossRef]
- Dangendorf, S.; Marcos, M.; Müller, A.; Zorita, E.; Riva, R.; Berk, K.; Jensen, J. Detecting anthropogenic footprints in sea level rise. Nat. Commun. 2015, 6, 7849. [Google Scholar] [CrossRef] [PubMed]
- Frederikse, T.; Landerer, F.; Caron, L.; Adhikari, S.; Parkes, D.; Humphrey, V.W.; Dangendorf, S.; Hogarth, P.; Zanna, L.; Cheng, L.; et al. The causes of sea-level rise since 1900. Nature 2020, 584, 393–397. [Google Scholar] [CrossRef] [PubMed]
- Vahsen, M.L.; Blum, M.J.; Megonigal, J.P.; Emrich, S.J.; Holmquist, J.R.; Stiller, B.; Todd-Brown, K.E.O.; McLachlan, J.S. Rapid plant trait evolution can alter coastal wetland resilience to sea level rise. Science 2023, 379, 393–398. [Google Scholar] [CrossRef]
- Fagherazzi, S.; Mariotti, G.; Leonardi, N.; Canestrelli, A.; Nardin, W.; Kearney, W.S. Salt marsh dynamics in a period of accelerated sea level rise. J. Geophys. Res. Earth Surf. 2020, 125, e2019JF005200. [Google Scholar] [CrossRef]
- Saintilan, N.; Khan, N.S.; Ashe, E.; Kelleway, J.J.; Rogers, K.; Woodroffe, C.D.; Horton, B.P. Thresholds of mangrove survival under rapid sea level rise. Science 2020, 368, 1118–1121. [Google Scholar] [CrossRef]
- Steele, R.E.; Reinhardt, E.G.; Devos, F.; Meacham, S.; LeMaillot, C.; Gabriel, J.J.; Rissolo, D.; Vera, C.A.; Peros, M.C.; Kim, S.T.; et al. Evidence of recent sea-level rise and the formation of a classic Maya canal system inferred from Boca Paila cave sediments, Sian Ka’an biosphere, Mexico. Quat. Sci. Rev. 2023, 310, 108117. [Google Scholar] [CrossRef]




Disclaimer/Publisher’s Note: The statements, opinions and data contained in all publications are solely those of the individual author(s) and contributor(s) and not of MDPI and/or the editor(s). MDPI and/or the editor(s) disclaim responsibility for any injury to people or property resulting from any ideas, methods, instructions or products referred to in the content. |
© 2024 by the authors. Licensee MDPI, Basel, Switzerland. This article is an open access article distributed under the terms and conditions of the Creative Commons Attribution (CC BY) license (https://creativecommons.org/licenses/by/4.0/).
Share and Cite
Varotsos, C.; Mazei, Y.; Sarlis, N.V.; Saldaev, D.; Efstathiou, M. On the Impacts of the Global Sea Level Dynamics. Fractal Fract. 2024, 8, 39. https://doi.org/10.3390/fractalfract8010039
Varotsos C, Mazei Y, Sarlis NV, Saldaev D, Efstathiou M. On the Impacts of the Global Sea Level Dynamics. Fractal and Fractional. 2024; 8(1):39. https://doi.org/10.3390/fractalfract8010039
Chicago/Turabian StyleVarotsos, Costas, Yuri Mazei, Nicholas V. Sarlis, Damir Saldaev, and Maria Efstathiou. 2024. "On the Impacts of the Global Sea Level Dynamics" Fractal and Fractional 8, no. 1: 39. https://doi.org/10.3390/fractalfract8010039
APA StyleVarotsos, C., Mazei, Y., Sarlis, N. V., Saldaev, D., & Efstathiou, M. (2024). On the Impacts of the Global Sea Level Dynamics. Fractal and Fractional, 8(1), 39. https://doi.org/10.3390/fractalfract8010039

