Bifurcation of Traveling Wave Solution of Sakovich Equation with Beta Fractional Derivative
Abstract
:1. Introduction
2. Bifurcation Analysis
- (a)
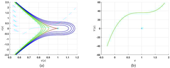
- If , then there is a unique equilibrium point for system (9). This point is a cusp since . The phase portrait and potential function for system (9) are shown in Figure 1a,b, respectively. For fixed values of the parameters , there are three type of phase orbits depending on whether , shown in blue, , shown in green, or , shown in red, where is the value of the conserved quantity at the cusp point . All the phase orbits in these cases are unbounded and, consequently, they will imply unbounded solutions.
- (b)
- If , then there are no equilibrium points for the Hamiltonian system (9). The phase plane consists of one family of unbounded phase orbits for any value of the parameter f as shown in Figure 2a. This type of phase orbit will lead to unbounded solutions. The potential function (11) is given by Figure 2b.
- (c)
- If , then there are two equilibrium points for the Hamiltonian system (9). They are . To determine the nature of these equilibrium points, we calculateSince reversing the signs of k and exchanges and , we may assume , hence . Under this assumption, will be a center while will be a saddle point. Figure 3a,b show the phase portrait and potential function (11), respectively. To describe the phase portrait for this case, we defined the two constants and , which are the values of the conserved quantity at the equilibrium points , i.e.,



3. Solutions
- (a)
- For the given range of the parameters, system (9) has two families of unbounded orbits shown in blue and in green in Figure 1a. This shows that the polynomial (18) has one real root and two complex conjugate roots , where denotes the complex conjugate. Note that if while if . The domain of the solution in both cases is . Assuming , and integrating both sides of Equation (17), we obtain the solution of Equation (2) given in (19).
- (b)
- For the selected range of the parameters, system (9) has a single phase orbit passing through the cusp point , shown in red in Figure 1a. This shows that the polynomial (18) has as a repeated root. Hence, . The domain of the solution is . Assuming , and integrating both sides of Equation (2) gives us the solution (20).
- (a)
- For the given range of the parameters, system (9) has a homoclinic orbit, shown in red in Figure 3a. This shows that the polynomial (18) has one double root, which is , and another simple root denoted by . Thus, . There are two possible domains of the solution . If and , then integrating both sides of Equation (17) gives the solution (21). If and , we obtain the solution (22) by integrating both sides of Equation (17).
- (b)
- The bifurcation analysis shows that for the given range of the parameters, the system (9) has two families of orbits; one is periodic and the other unbounded. This shows that the polynomial (18) has three real zeros, , where . Thus, . There are two possible domains of the solution, namely . Assuming , , and integrating both sides of Equation (17), we obtain a new solution (23) for Equation (2). On other hand, if , , then integrating both sides of Equation (13) yields to a new solution (24) for Equation (2).
- (c)
- The proof of this statement is completely analogous to the proof of part (a) in Theorem 1.
4. Graphical Representation
- (a)
- For , Equation (2) has either the solution (21) or (22) depending on the chosen domain of the solution. Thus, if we select , where are the zeros of the polynomial (18), then Equation (2) has the solution (22), which can be rewritten in the formSolution (26) is a solitary wave solution for Equation (2) corresponding to the homoclinic orbit in red as outlined by Figure 3a. This type of solutions is also named a compressive solitary wave solution; for more details, see, e.g., [36]. Figure 5a–c show the 3D-graphical representation of the solution (26) for several values of the order () while Figure 5d shows the 2D representation of the solutions. It should be noted that the amplitude of the solution is left approximately unchanged by changing the value of the order while the solution’s width decreases with the increasing of the order .
- (b)
- We take , which falls in the interval . From Theorem (3), Equation (2) has either the solution (23) or the solution (24) depending on the chosen domain of the solution. Direct calculations give , , and , which are the roots of the polynomial (18). Choosing the interval of the real solution as , will result in the solution for Equation (2) having the formThe solution (27) is a periodic solution for Equation (2) and this solution corresponds to the periodic family of orbit in blue around the equilibrium point as is clarified by Figure 3a. Figure 6a–c show the 3D-graphical representation of the solution (27) for different values of () while Figure 6d shows the 2D representation of the solution. Figure 6d shows that the amplitude of the solution (27) remains unchanged for changing values of the order while the solution’s width decreases as the value of the order increases.



5. Conclusions
Author Contributions
Funding
Data Availability Statement
Acknowledgments
Conflicts of Interest
Appendix A. β-Derivative
- 1.
- for all scalars .
- 2.
- .
- 3.
- For , we have .
- 4.
- For any constant c, .
- 1.
- 2.
- .
- 3.
- For , we have.
References
- Christiansen, P.; Sørensen, M.P.; Scott, A.C. Nonlinear Science at the Dawn of the 21st Century; Lecture Notes in Physics; Springer: Berlin/Heidelberg, Germany, 2000; Volume 542. [Google Scholar]
- Al Nuwairan, M.; Chaabelasri, E. Balanced Meshless Method for Numerical Simulation of Pollutant Transport by ShallowWater Flow over Irregular Bed: Application in the Strait of Gibraltar. Appl. Sci. 2022, 12, 6849. [Google Scholar] [CrossRef]
- Kilic, B.; Inc, M. Optical solitons for the Schrödinger–Hirota equation with power law nonlinearity by the Bäcklund transformation. Optik 2017, 138, 64–67. [Google Scholar] [CrossRef]
- İnç, M.; Kilic, B.; Baleanu, D. Optical soliton solutions of the pulse propagation generalized equation in parabolic-law media with space-modulated coefficients. Optik 2016, 127, 1056–1058. [Google Scholar] [CrossRef]
- Inc, M. New compacton and solitary pattern solutions of the nonlinear modified dispersive Klein–Gordon equations. CHaos Solitons Fractals 2007, 33, 1275–1284. [Google Scholar] [CrossRef]
- Hirota, R. Exact solution of the Kortewegde Vries equation for multiple collisions of solitons. Phys. Rev. Lett. 1971, 27, 1192. [Google Scholar] [CrossRef]
- Liu, S.; Fu, Z.; Liu, S.; Zhao, Q. Jacobi elliptic function expansion method and periodic wave solutions of nonlinear wave equations. Phys. Lett. A 2001, 289, 69–74. [Google Scholar] [CrossRef]
- Ma, W.X.; Batwa, S. A binary Darboux transformation for multicomponent NLS equations and their reductions. Anal. Math. Phys. 2021, 11, 44. [Google Scholar] [CrossRef]
- Kumar, S.; Dhiman, S.K.; Baleanu, D.; Osman, M.S.; Wazwaz, A.M. Lie symmetries, closed-form solutions, and various dynamical profiles of solitons for the variable coefficient (2+1)-dimensional KP equations. Symmetry 2022, 14, 597. [Google Scholar] [CrossRef]
- Fan, E.; Zhang, J. Applications of the Jacobi elliptic function method to special-type nonlinear equations. Phys. Lett. 2002, 305, 383–392. [Google Scholar] [CrossRef]
- Rabie, W.; Ahmed, H.; Hamdy, W. Exploration of New Optical Solitons in Magneto-Optical Waveguide with Coupled System of Nonlinear Biswas–Milovic Equation via Kudryashov’s Law Using Extended F-Expansion Method. Mathematics 2023, 11, 300. [Google Scholar] [CrossRef]
- Asghar, A.; Seadawy, A. Dispersive soliton solutions for shallow water wave system and modified Benjamin-Bona-Mahony equations via applications of mathematical methods. J. Ocean Eng. Sci. 2021, 6, 85–98. [Google Scholar]
- Aderyani, S.; Saadati, R.; O’Regan, D.; Alshammari, F. Describing Water Wave Propagation Using the G′/G2—Expansion Method. Mathematics 2023, 11, 191. [Google Scholar] [CrossRef]
- Darrigol, O. Worlds of Flow: A history of hydrodynamics from the Bernoullis to Prandtl; Oxford University Press: New York, NY, USA, 2009. [Google Scholar]
- Seadawy, A.R.; Iqbal, M.; Lu, D. Propagation of kink and anti-kink wave solitons for the nonlinear damped modified Korteweg–de Vries equation arising in ion-acoustic wave in an unmagnetized collisional dusty plasma. Phys. Stat. Mech. Its Appl. 2020, 544, 123560. [Google Scholar] [CrossRef]
- Sakovich, S. A New Painlevé-Integrable Equation Possessing KdV-Type Solitons. Nonlinear Phenom. Complex Syst. 2019, 22, 299–304. Available online: https://arxiv.org/abs/1907.01324 (accessed on 1 March 2023).
- Wang, G.; Wazwaz, A.M. Symmetry and Painlevé analysis for the extended Sakovich equation. Int. J. Numer. Methods Heat Fluid Flow 2020, 31, 541–547. [Google Scholar] [CrossRef]
- Wazwaz, A.M. Two new Painlevé integrable extended Sakovich equations with (2+1) and (3+1) dimensions. Int. J. Numer. Methods Heat Fluid Flow 2019, 30, 1379–1387. [Google Scholar] [CrossRef]
- Weiss, J.; Tabor, M.; Carnevale, G. The Painlevé property for partial differential equations. J. Math. Phys. 1983, 24, 522–526. [Google Scholar] [CrossRef]
- Caputo, M.; Fabricio, M. A new definition of fractional derivative without singular kernel. Prog. Fract. Differ. Appl. 2015, 1, 73–85. [Google Scholar]
- Atangana, A.; Secer, A. A note on fractional order derivatives and table of fractional derivatives of some special functions. Abstr. Appl. Anal. 2013, 2013, 279681. [Google Scholar] [CrossRef]
- Podlubny, I. Geometric and physical interpretation of fractional integration and fractional differentiation. Fract. Calc. Appl. Anal. 2002, 5, 367–386. [Google Scholar]
- Atangana, A.; Baleanu, D.; Alsaedi, A. Analysis of time-fractional hunter-saxton equation: A model of neumatic liquid crystal. Open Phys. 2016, 14, 145–149. [Google Scholar] [CrossRef]
- Das, S. Functional Fractional Calculus; Springer: Berlin/Heidelberg, Germany, 2011; Volume 1. [Google Scholar]
- Tarasov, V.E. Fractional Dynamics: Applications of Fractional Calculus to Dynamics of Particles, Fields and Media; Springer Science (Business Media): New York, NY, USA, 2011. [Google Scholar]
- Elmandouh, A.A.; Elbrolosy, M.E. New traveling wave solutions for Gilson–Pickering equation in plasma via bifurcation analysis and direct method. Math. Methods Appl. Sci. 2022, 2022, 1–15. [Google Scholar] [CrossRef]
- Al Nuwairan, M.; Elmandouh, A. Qualitative analysis and wave propagation of the nonlinear model for low-pass electrical transmission lines. Phys. Scr. 2021, 96, 095214. [Google Scholar] [CrossRef]
- Elmandouh, A.; Elbrolosy, M. Integrability, variational principal, bifurcation and new wave solutions for Ivancevic option pricing model. J. Math. 2022, 2022, 9354856. [Google Scholar] [CrossRef]
- Al Nuwairan, M. Bifurcation and Analytical Solutions of the Space-Fractional Stochastic Schrödinger Equation with White Noise. Fractal Fract. 2023, 7, 157. [Google Scholar] [CrossRef]
- Elbrolosy, M.E.; Elmandouh, A. Dynamical behaviour of conformable time-fractional coupled Konno-Oono equation in magnetic field. Math. Probl. Eng. 2022, 2022, 3157217. [Google Scholar] [CrossRef]
- Hassan, T.S.; Elmandouh, A.A.; Attiya, A.A.; Khedr, A.Y. Bifurcation Analysis and Exact Wave Solutions for the Double-Chain Model of DNA. J. Math. 2022, 2022, 7188118. [Google Scholar] [CrossRef]
- Alhamud, M.; Elbrolosy, M.; Elmandouh, A. New Analytical Solutions for Time-Fractional Stochastic (3+1)-Dimensional Equations for Fluids with Gas Bubbles and Hydrodynamics. Fractal Fract. 2023, 7, 16. [Google Scholar] [CrossRef]
- Aldhafeeri, A.; Al Nuwairan, M. Bifurcation of Some Novel Wave Solutions for Modified Nonlinear Schrödinger Equation with Time M-Fractional Derivative. Mathematics 2023, 11, 1219. [Google Scholar] [CrossRef]
- Du, L.; Sun, Y.; Wu, D. Bifurcations and solutions for the generalized nonlinear Schrödinger equation. Phys. Lett. A 2019, 383, 126028. [Google Scholar] [CrossRef]
- Han, T.; Li, Z.; Zhang, X. Bifurcation and new exact traveling wave solutions to time-space coupled fractional nonlinear Schrödinger equation. Phys. Lett. A 2021, 395, 127217. [Google Scholar] [CrossRef]
- Saha, A.; Banerjee, S. Dynamical Systems and Nonlinear Waves in Plasmas; CRC Press: Boca Raton, FL, USA, 2021; p. x+207. [Google Scholar]
- Nemytskii, V.V. Qualitative Theory of Differential Equations; Princeton University Press: Princeton, NJ, USA, 2015; Volume 2083. [Google Scholar]
- Miller, K.S.; Ross, B. An Introduction to the Fractional Calculus and Fractional Differential Equations; Wiley-Blackwell: Hoboken, NJ, USA, 1993. [Google Scholar]
- Artin, E. The Gamma Function; Library of Congress (English Translation): Washington, DC, USA, 1964.
- Atangana, A.; Alqahtani, R. Modelling the Spread of River Blindness Disease via the Caputo Fractional Derivative and the Beta-derivative. Entropy 2016, 18, 40. [Google Scholar] [CrossRef]

Disclaimer/Publisher’s Note: The statements, opinions and data contained in all publications are solely those of the individual author(s) and contributor(s) and not of MDPI and/or the editor(s). MDPI and/or the editor(s) disclaim responsibility for any injury to people or property resulting from any ideas, methods, instructions or products referred to in the content. |
© 2023 by the authors. Licensee MDPI, Basel, Switzerland. This article is an open access article distributed under the terms and conditions of the Creative Commons Attribution (CC BY) license (https://creativecommons.org/licenses/by/4.0/).
Share and Cite
Almulhim, M.A.; Al Nuwairan, M. Bifurcation of Traveling Wave Solution of Sakovich Equation with Beta Fractional Derivative. Fractal Fract. 2023, 7, 372. https://doi.org/10.3390/fractalfract7050372
Almulhim MA, Al Nuwairan M. Bifurcation of Traveling Wave Solution of Sakovich Equation with Beta Fractional Derivative. Fractal and Fractional. 2023; 7(5):372. https://doi.org/10.3390/fractalfract7050372
Chicago/Turabian StyleAlmulhim, Munirah A., and Muneerah Al Nuwairan. 2023. "Bifurcation of Traveling Wave Solution of Sakovich Equation with Beta Fractional Derivative" Fractal and Fractional 7, no. 5: 372. https://doi.org/10.3390/fractalfract7050372
APA StyleAlmulhim, M. A., & Al Nuwairan, M. (2023). Bifurcation of Traveling Wave Solution of Sakovich Equation with Beta Fractional Derivative. Fractal and Fractional, 7(5), 372. https://doi.org/10.3390/fractalfract7050372

