Abstract
In this study, we take into account the fractional stochastic Kraenkel–Manna–Merle system (FSKMMS). The mapping approach may be used to produce various type of stochastic fractional solutions, such as elliptic, hyperbolic, and trigonometric functions. Solutions to the Kraenkel–Manna–Merle system equation, which explains the propagation of a magnetic field in a zero-conductivity ferromagnet, may provide insight into a variety of fascinating scientific phenomena. Moreover, we construct a variety of 3D and 2D graphics in MATLAB to illustrate the influence of the stochastic term and the conformable derivative on the exact solutions of the FSKMMS.
MSC:
60H15; 26A33; 34A08; 34A34; 83C15; 35Q51; 60H10
1. Introduction
Due to the strong progress in information technology and the need for massive data and high-density storage, a considerable amount of research on ferromagnetic materials has been publicly accessible in recent decades. Tiny ferromagnetic particles may now be produced due to recent technical advancements. It is crucial to comprehend the characteristics of microstructures and super microstructures in nanoscale ferrous metals. A magnetic moment may be used to conceptually describe the magnetization of a population of nanoparticles if they are all around the same size. Magnetic moments in ferromagnetic particles move in opposite directions, allowing them to exchange information with one another. These interactions perpetually generate solitons. As a result, many different types of events related to the spread of solitary waves have been studied.
The exact solution of the differential equation must be discovered in order to determine whether the soliton is destroyed after the impact. However, it has long been a difficult but important task to solve nonlinear partial differential equations. Numerous powerful methods for finding exact solutions, such as the generalized Kudryashov approach [1], the ()-expansion [2,3], the extended simple equation [4], the modified stretched mapping technique [5], the improved -expansion [6], the Bernoulli subequation function [7], the Ricatti equation expansion [8], Lie symmetry [9], the Exp-function [10], and the sine-Gordon expansion [11,12], have been created by experts in the fields of science and engineering.
Recently, stochastic partial differential equations (SPDEs) have been employed to analyze chemical, biological, and physical systems that are affected by random factors. The importance of taking random impacts into account when modeling complex systems has been emphasized. SPDEs are used more and more in information systems, condensed matter physics, finance, biophysics, mechanical and electrical engineering, materials sciences, and climate system modeling to create mathematical models of complicated processes [13,14]. As a result, finding exact solutions to fractional or stochastic differential equations is crucial. For the purpose of solving these equations, several analytical and numerical techniques, such as the modified expansion method [15], the extended tanh–coth method [16], the Riccati–Bernoulli sub-ODE [17], the mapping method [18], the -expansion method [19], etc., have been developed. On the other side, many branches of physics, including solid-state physics, optical fibers, fluid mechanics, plasma physics, neural physics, quantum field theory, and mathematical biology [20,21,22,23], make use of fractional differential equations (FDEs). Furthermore, the concept of a fractional derivative has been used to define a wide range of phenomena in fields as diverse as nuclear physics, plasma physics, optical fiber communication, photonics, chaotic systems, wave propagation, electromagnetism, signal processing, ocean waves, fluid dynamics, and porous media.
In this study, we take into account the fractional stochastic Kraenkel–Manna–Merle system (FSKMMS):
where the magnetization, represented by , and the external magnetic fields, represented by , are related to the ferrite, is the conformable derivative operator for , represents the damping coefficient, is the noise intensity, is the Brownian motion, and .
If we put and then the Kraenkel–Manna–Merle system (KMMS) is obtained:
which may characterize the zero-conductivity nonlinear propagation of short waves in saturated ferromagnetic materials. Equation (2) is integrable, and there are Lax pairings when the damping is ignored (). Many authors have created many methods in order to obtain the solutions of KMMS (2) with , such as the auxiliary equation method [24], the ()-expansion method [25], the inverse scattering method [26], the bilinear method [27], etc. This is the first time that KMMS (2) has involved the presence of both multiplicative noise and fractional derivatives.
The goal of this work is to establish the exact fractional stochastic solutions of the FSKMMS (1) with by applying the mapping technique. In explaining crucial physical phenomena, the solutions presented would be of great use to physicists. Moreover, we provide many graphical representations using the MATLAB program to investigate the influence of the fractional derivative on the exact solution of the FSKMMS (1).
The structure of the paper is as follows: In Section 2, we define the conformable derivative (CD) and Brownian motion (BM) and discuss some of their features. In Section 3, we find the wave equation for the FSKMMS (1), while the description of the mapping method is given. In Section 5, the mapping method is used to provide an exact solution to the FSKMMS (1). In Section 6, we examine how the fractional derivative and noise influence the obtained solutions of the FSKMMS. Finally, the conclusions of the paper are presented.
2. The CD and BM
Different forms of fractional derivatives have been presented by several mathematicians. The most well-known are the ones proposed by Riesz, Marchaud, Kober, Riemann–Liouville, Erdelyi, Hadamard, Grunwald–Letnikov, and Caputo [28,29,30,31]. Recently, Khalil et al. [32] developed a novel fractional derivative identified as the conformable derivative (CD). Over the classical fractional derivatives, the CD offers two benefits. First, the CD definition is natural, and it fulfills the majority of the features of the classical integral derivative, including the mean value theorem, Rolle’s theorem, the chain rule, the power rule, linearity, the quotient rule, the product rule, and vanishing derivatives for constant functions. Second, the CD is useful for modeling many physical problems because differential equations with CD are simpler to solve numerically than those with Riemann–Liouville or Caputo fractional derivatives.
In the following, we define the conformable fractional derivative and discuss some of its key characteristics.
Definition 1
([32]). For the CD of is defined as
The CD has the following features, if we assume that are differentiable and differentiable functions:
for any real constants
Moreover, the BM is defined as follows [33]:
Definition 2.
The BM is a stochastic process and fulfills:
- is continuous for ,
- is independent for ,
- has a normal distribution .
We need the following lemma:
Lemma 1
([33]). for
3. The Traveling Wave Equation for the FSKMMS
Considering the zero dumping effect (), we utilize the next wave transformation
where and are real functions, and are nonzero constants, and we are able to obtain the wave equation of the FSKMMS (1). We note that
and
Inserting Equation (3) into Equation (1) and utilizing (4) and (5), we obtain
Taking the expectation on both sides, we obtain
Using Lemma 2, where is a normal process with , Equation (7) becomes
Integrating the second equation in (8), we have
Substituting Equation (9) into the first equation in (8), we obtain
where
4. Description of the Mapping Method
Here, let us describe the mapping method mentioned in [34]. We suppose that the solutions to Equation (10) are
where for are unknown constants, and is the solution of
where the parameters , and are real numbers.
We can observe that Equation (12) has multiple solutions dependent on , and , as shown in the following Table 1.
where and for represent the Jacobi elliptic functions (JEFs). The JEFs become the following hyperbolic functions when :
Table 1.
All solutions for Equation (12) for different values of , and .
The JEFs become the following trigonometric functions when :
5. Exact Solutions of the FSKMMS
Now, we balance with in Equation (10) to calculate M as follows
We rewrite Equation (12) with as
Differentiating Equation (13) twice and using (12), we obtain
Putting Equations (13) and (14) into Equation (10), we have
Comparing each coefficient of with zero for , we obtain
and
When we solve these equations, we obtain
Thus, the solution of the wave Equation (10) is:
There are many cases relying on , and such that and , by using Table 1 as follows:
Case 1: With , and , Equation (15) becomes
Therefore, the solution of FSKMMS (1) is
where If , then Equations (16) and (17) transfer into
where
Case 3: If , and either for or for then , and Equation (15) becomes
Therefore, the solution of FSKMMS (1) is
where . If , then Equations (24) and (25) transfer into
with for If , then Equations (24) and (25) become
where for
6. The Influences of the CD and BM
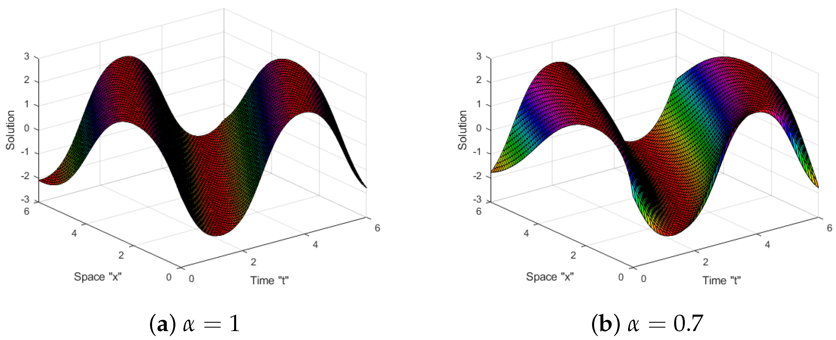
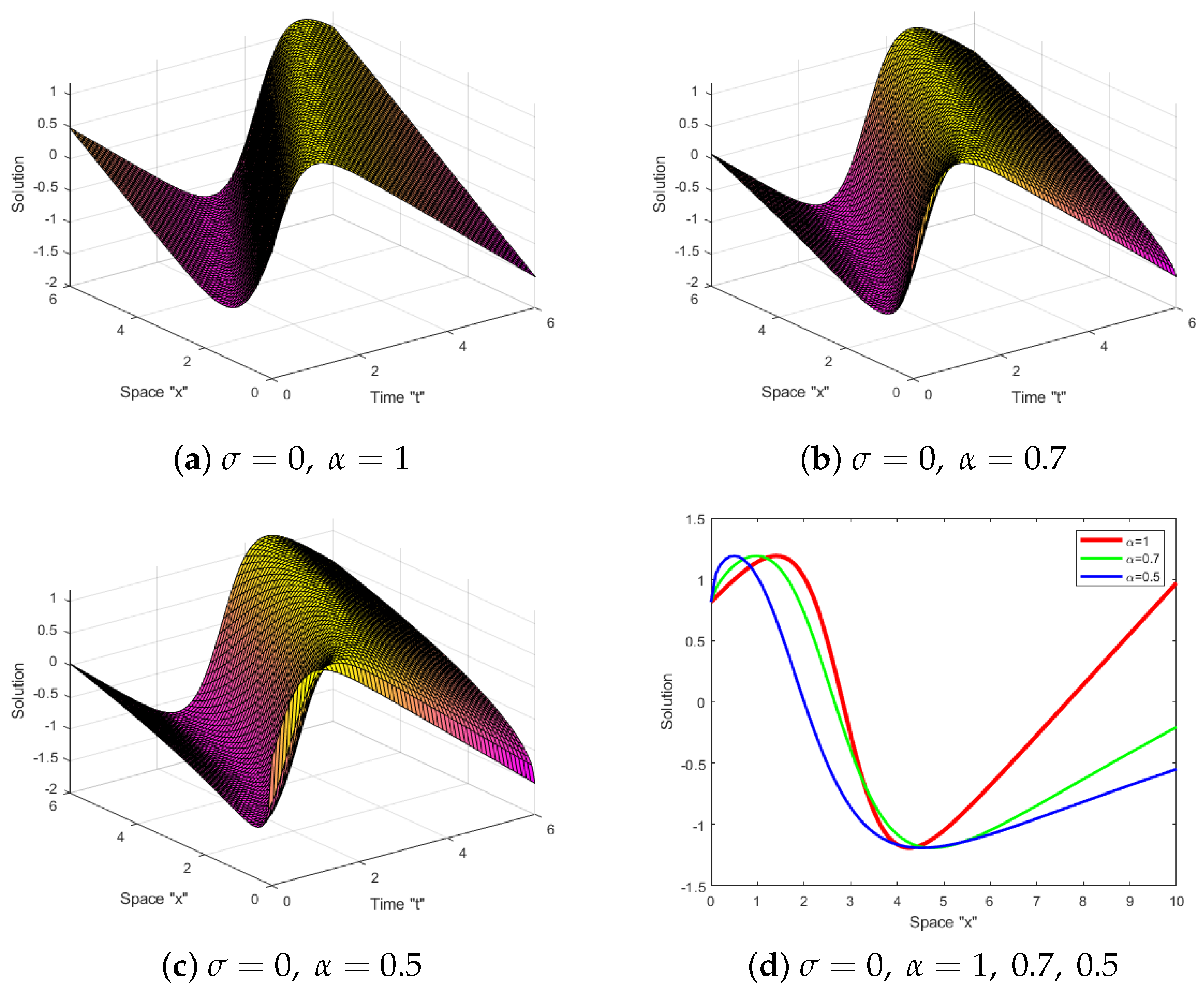
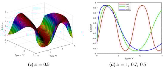
Next, we address the impact of the CD and BM on the exact solution of FSKMMS (1). We provide a number of graphs to demonstrate the current state of these solutions. For the obtained solutions, such as (16), (18), and (19), we simulate these graphs using the parameters , and .
Influences of the CD: The following graphs illustrate how the CD affected the obtained solutions when :
From Figure 1, Figure 2 and Figure 3, we see that the solution curves do not intersect for any given set of values of

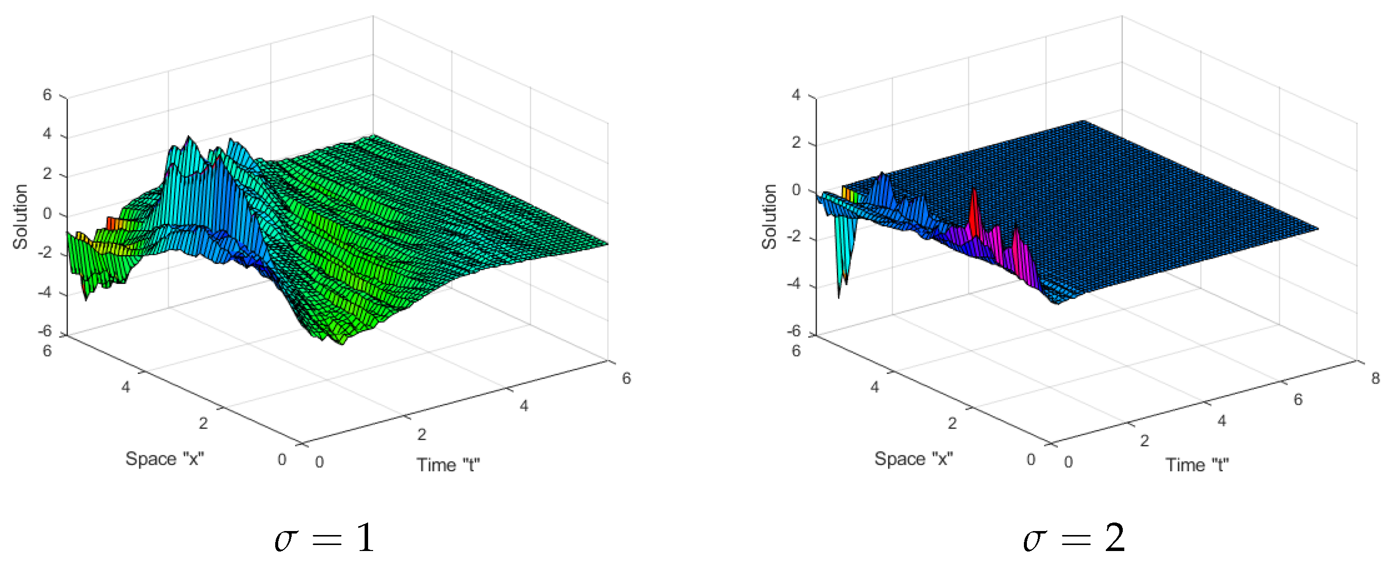
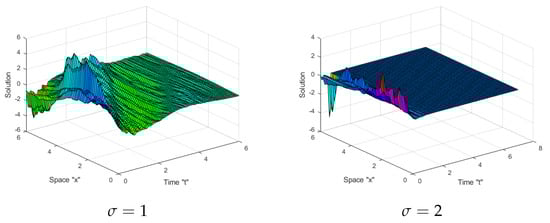
Noise Influences: The following graphs illustrate how the noise affected the obtained solutions:
From Figure 4, Figure 5 and Figure 6, we may deduce that there are several types of solutions, including periodic ones, kinked ones, and others, when the noise is disregarded (i.e., at ). The surface becomes much flatter after a few minor transits once noise is added and its intensity is increased. Evidently, BM stabilizes the FSKMMS solutions.

Figure 4.
The 3D-profiles of solution in Equation (16).
Figure 5.
The 3D-profiles of solution in Equation (18) for various values of .
Figure 6.
The 3D-profiles of solution in Equation (19) for various values of .
7. Conclusions
In this study, we examined the fractional Kraenkel–Manna–Merle System (1) in ferromagnetic materials. Using the mapping approach, we obtained the exact solutions for the FSKMMS without taking into account the damping term. Since Equation (1) is essential for explaining the propagation of a magnetic field in a ferromagnet with zero conductivity, the solutions it yields are fundamental in understanding a wide range of intriguing and complex physical phenomena. In addition, the MATLAB program was utilized to demonstrate how the conformable derivative and Brownian motion affect the analytical solution to the FSKMMS (1). We deduced that the Brownian motion stabilizes the solutions of the FSKMMS. In future work, we can consider the FSKMMS with additive noise or with multiplicative color noise.
Author Contributions
Methodology, W.W.M., M.E.-M., C.C. and F.M.A.-A.; Software, W.W.M. and M.E.-M.; Formal analysis, W.W.M., M.E.-M. and F.M.A.-A.; Writing—original draft, M.E.-M. and F.M.A.-A.; Writing—review & editing, W.W.M. and C.C.; Supervision, C.C.; Funding acquisition, F.M.A.-A. All authors have read and agreed to the published version of the manuscript.
Funding
This research received no external funding.
Institutional Review Board Statement
Not applicable.
Informed Consent Statement
Not applicable.
Data Availability Statement
Not applicable.
Acknowledgments
Princess Nourah bint Abdulrahman University Researcher Supporting Project number (PNURSP2023R 273), Princess Nourah bint Abdulrahman University, Riyadh, Saudi Arabia.
Conflicts of Interest
The authors declare no conflict of interest.
References
- Zhou, Q.; Ekici, M.; Sonmezoglu, A.; Manafian, J.; Khaleghizadeh, S.; Mirzazadeh, M. Exact solitary wave solutions to the generalized Fisher equation. Optik 2016, 127, 12085–12092. [Google Scholar] [CrossRef]
- Manafian, J.; Lakestani, M. Solitary wave and periodic wave solutions for Burgers, Fisher, Huxley and combined forms of these equations by the (G′/G)-expansion method. Pramana–J. Phys. 2015, 130, 31–52. [Google Scholar] [CrossRef]
- Bekir, A. Application of the (G′/G)-expansion method for nonlinear evolution equations. Phys. Lett. A 2008, 372, 3400–3406. [Google Scholar] [CrossRef]
- Shehata, M.S.M.; Bekir, A. New perceptions for the bright and dark soliton solutions to the modified nonlinear Schrodinger equation. Int. J. Mod. Phys. B 2023, 2350204. [Google Scholar] [CrossRef]
- Zahran, E.H.M.; Bekir, A.; Ahmad, H. New unexpected perceptions for the optical solitary wave solution to the cubic-order nonlinear Schrödinger equation. Opt. Quantum Electron. 2022, 54, 355. [Google Scholar] [CrossRef]
- Manafian, J. Optical soliton solutions for Schrodinger type nonlinear evolution equations by the tan(φ/2)-expansion method. Optik 2016, 127, 4222–4245. [Google Scholar] [CrossRef]
- Baskonus, H.M.; Bulut, H. Exponential prototype structures for (2 + 1)-dimensional Boiti-Leon-Pempinelli systems in mathematical physics. Waves Random Complex Media 2016, 26, 201–208. [Google Scholar] [CrossRef]
- Zhou, Q. Optical solitons in medium with parabolic law nonlinearity and higher order dispersion. Waves Random Complex Media 2016, 25, 52–59. [Google Scholar] [CrossRef]
- Tchier, F.; Yusuf, A.; Aliyu, A.I.; Inc, M. Soliton solutions and conservation laws for lossy nonlinear transmission line equation. Superlattices Microstruct 2017, 107, 320–336. [Google Scholar] [CrossRef]
- Manafian, J.; Lakestani, M. Optical solitons with Biswas-Milovic equation for Kerr law nonlinearity. Eur. Phys. J. Plus 2015, 130, 1–12. [Google Scholar] [CrossRef]
- Baskonus, H.M.; Bulut, H. New wave behaviors of the system of equations for the ion sound and Langmuir Waves. Waves Random Complex Media 2016, 26, 613–625. [Google Scholar] [CrossRef]
- Baskonus, H.M. New acoustic wave behaviors to the Davey-Stewartson equation with power-law nonlinearity arising in fluid dynamics. Nonlinear Dyn. 2016, 86, 177–183. [Google Scholar] [CrossRef]
- Mohammed, W.W.; Iqbal, N. Impact of the same degenerate additive noise on a coupled system of fractional space diffusion equations. Fractals 2022, 30, 2240033. [Google Scholar] [CrossRef]
- Mohammed, W.W.; Blömker, D. Fast-diffusion limit for reaction-diffusion equations with multiplicative noise. J. Math. Anal. Appl. 2021, 496, 124808. [Google Scholar] [CrossRef]
- Mohammed, W.W.; Al-Askar, F.M.; Cesarano, C.; EL-Morshedy, M. Solitary Wave Solutions of the Fractional-Stochastic Quantum Zakharov–Kuznetsov Equation Arises in Quantum Magneto Plasma. Mathematics 2023, 11, 488. [Google Scholar] [CrossRef]
- Mohammed, W.W.; Cesarano, C. The soliton solutions for the (4 + 1)-dimensional stochastic Fokas equation. Math. Methods Appl. Sci. 2023, 46, 7589–7597. [Google Scholar] [CrossRef]
- Al-Askar, F.M.; Mohammed, W.W.; Aly, E.S.; EL-Morshedy, M. Exact solutions of the stochastic Maccari system forced by multiplicative noise. ZAMM-J. Appl. Math. Mech./Z. Für Angew. Math. Mech. 2022, e202100199. [Google Scholar] [CrossRef]
- Mohammed, W.W.; Al-Askar, F.M.; Cesarano, C. The analytical solutions of the stochastic mKdV equation via the mapping method. Mathematics 2022, 10, 4212. [Google Scholar] [CrossRef]
- Al-Askar, F.M.; Cesarano, C.; Mohammed, W.W. The analytical solutions of stochastic-fractional Drinfel’d-Sokolov-Wilson equations via (G’/G)-expansion method. Symmetry 2022, 14, 2105. [Google Scholar] [CrossRef]
- Yuste, S.B.; Acedo, L.; Lindenberg, K. Reaction front in an A + B → C reaction–subdiffusion process. Phys. Rev. E 2004, 69, 036126. [Google Scholar] [CrossRef]
- Mohammed, W.W.; Cesarano, C.; Al-Askar, F.M. Solutions to the (4 + 1)-Dimensional Time-Fractional Fokas Equation with M-Truncated Derivative. Mathematics 2022, 11, 194. [Google Scholar] [CrossRef]
- Benson, D.A.; Wheatcraft, S.W.; Meerschaert, M.M. The fractional-order governing equation of Lévy motion. Water Resour. 2000, 36, 1413–1423. [Google Scholar] [CrossRef]
- Iqbal, N.; Wu, R.; Mohammed, W.W. Pattern formation induced by fractional cross-diffusion in a 3-species food chain model with harvesting. Math. Comput. Simul. 2021, 188, 102–119. [Google Scholar] [CrossRef]
- Li, B.Q.; Ma, Y.L. Loop-like periodic waves and solitons to the Kraenkel–Manna–Merle system in ferrites. J. Electromagnet. Waves Appl. 2018, 32, 1275–1286. [Google Scholar] [CrossRef]
- Li, B.Q.; Ma, Y.L. Rich soliton structures for the Kraenkel–Manna–Merle (KMM) system in ferromagnetic materials. J. Supercond. Nov. Magn. 2018, 31, 773–1778. [Google Scholar] [CrossRef]
- Tchokouansi, H.T.; Kuetche, V.K.; Kofane, T.C. On the propagation of solitons in ferrites: The inverse scattering approach. Chaos Solitons Fractals 2016, 86, 64–74. [Google Scholar] [CrossRef]
- Nguepjouo, F.T.; Kuetche, V.K.; Kofane, T.C. Soliton interactions between multivalued localized waveguide channels within ferrites. Phys. Rev. E 2014, 89, 063201. [Google Scholar] [CrossRef]
- Katugampola, U.N. New approach to a generalized fractional integral. Appl. Math. Comput. 2011, 218, 860–865. [Google Scholar] [CrossRef]
- Mouy, M.; Boulares, H.; Alshammari, S.; Alshammari, M.; Laskri, Y.; Mohammed, W.W. On Averaging Principle for Caputo-Hadamard Fractional Stochastic Differential Pantograph Equation. Fractal Fract. 2023, 7, 31. [Google Scholar] [CrossRef]
- Kilbas, A.A.; Srivastava, H.M.; Trujillo, J.J. Theory and Applications of Fractional Differential Equations; Elsevier: Amsterdam, The Netherlands, 2016. [Google Scholar]
- Samko, S.G.; Kilbas, A.A.; Marichev, O.I. Fractional Integrals and Derivatives, Theory and Applications; Gordon and Breach: Yverdon, Switzerland, 1993. [Google Scholar]
- Khalil, R.; Al Horani, M.; Yousef, A.; Sababheh, M. A new definition of fractional derivative. J. Comput. Appl. Math. 2014, 264, 65–70. [Google Scholar] [CrossRef]
- Calin, O. An Informal Introduction to Stochastic Calculus with Applications; World Scientific Publishing Co., Pte. Ltd.: Singapore, 2015. [Google Scholar]
- Peng, Y.Z. Exact solutions for some nonlinear partial differential equations. Phys. Lett. A 2013, 314, 401–408. [Google Scholar] [CrossRef]
Disclaimer/Publisher’s Note: The statements, opinions and data contained in all publications are solely those of the individual author(s) and contributor(s) and not of MDPI and/or the editor(s). MDPI and/or the editor(s) disclaim responsibility for any injury to people or property resulting from any ideas, methods, instructions or products referred to in the content. |
© 2023 by the authors. Licensee MDPI, Basel, Switzerland. This article is an open access article distributed under the terms and conditions of the Creative Commons Attribution (CC BY) license (https://creativecommons.org/licenses/by/4.0/).







