The Novel Mittag-Leffler–Galerkin Method: Application to a Riccati Differential Equation of Fractional Order
Abstract
1. Introduction
2. Fractional Calculus and Finite Mittag–Leffler Function
2.1. Fractional Calculus and Mittag-Leffler Function
2.2. Mittag-Leffler Function
3. Finite Mittag-Leffler Function and Its Fractional Derivative
4. The Fundamental Concepts of the Mittag-Leffler–Galerkin Method
5. Error Analysis
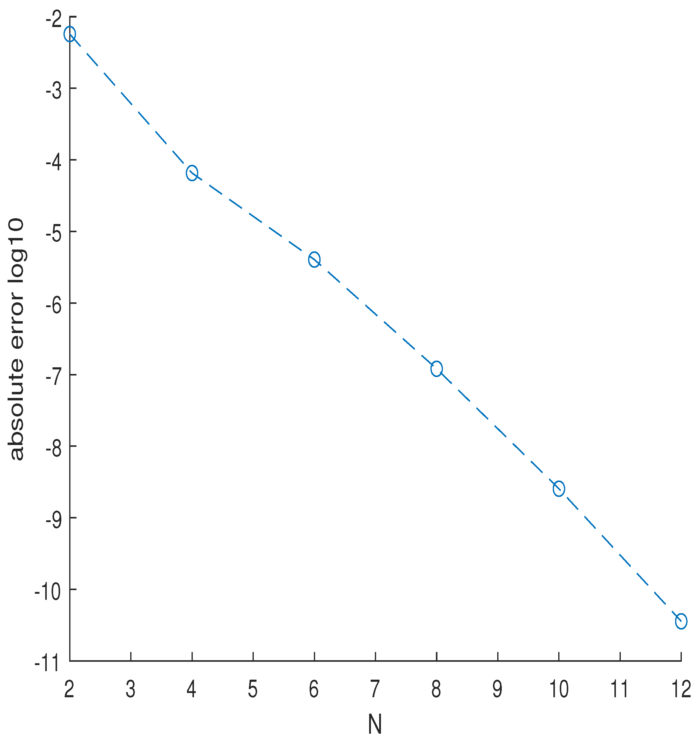
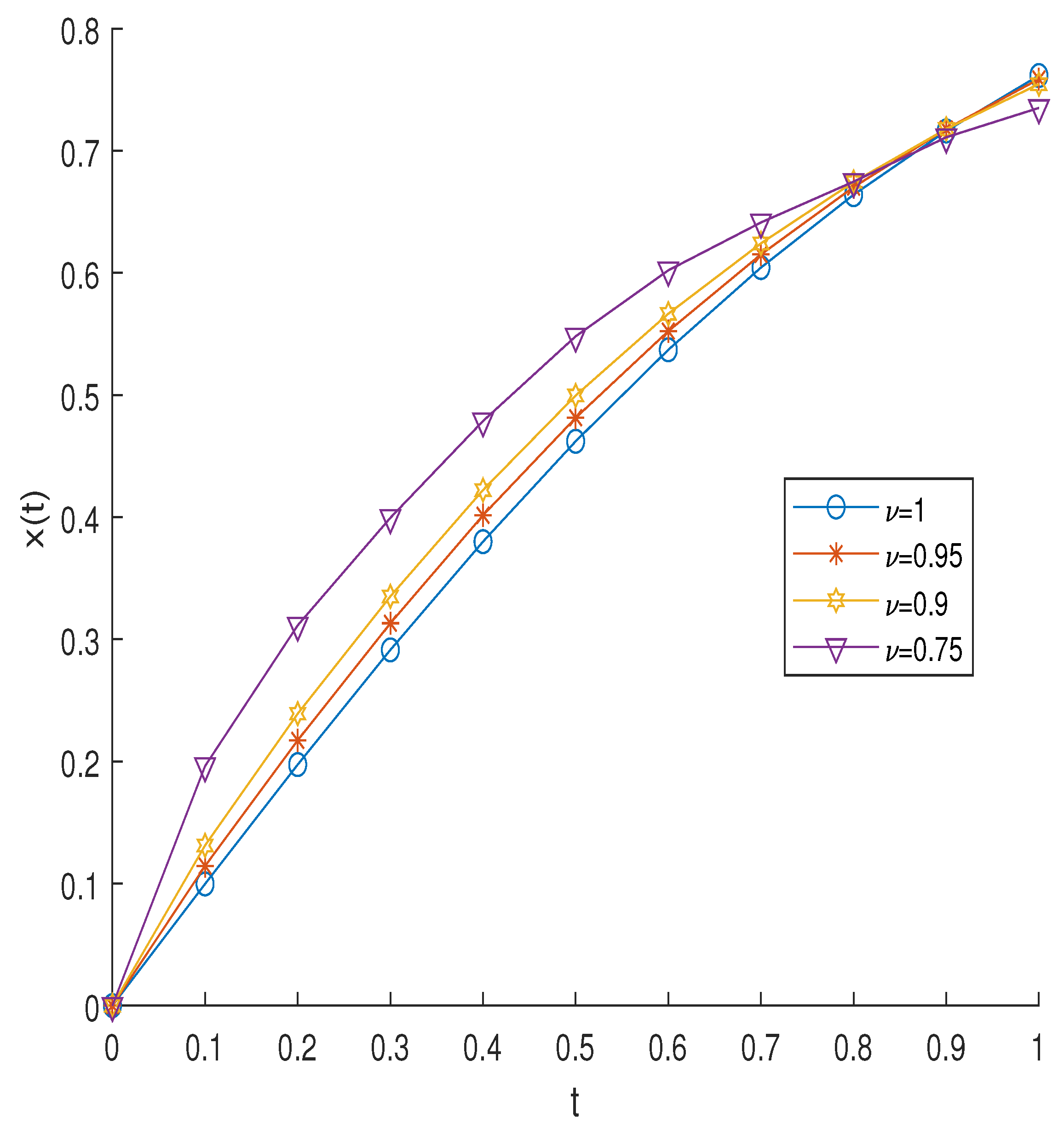
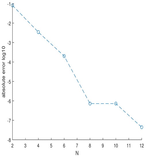
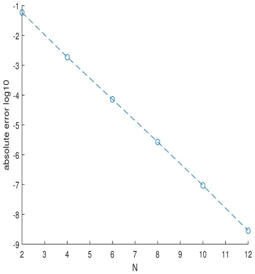
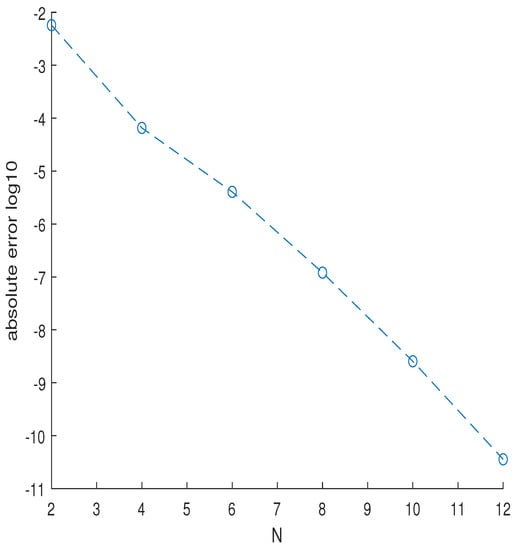
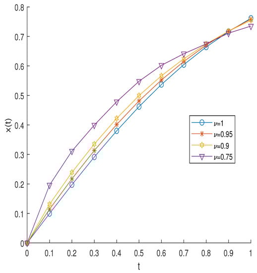
6. Numerical Experiments
7. Conclusions
Author Contributions
Funding
Data Availability Statement
Conflicts of Interest
Appendix A
References
- Mainardi, F. Fractional calculus. In Fractals and Fractional Calculus in Continuum Mechanics; Springer: Vienna, Austria, 1997; pp. 291–348. [Google Scholar]
- Koeller, R. Applications of fractional calculus to the theory of viscoelasticity. J. Appl. Mech. 1984, 51, 299–307. [Google Scholar] [CrossRef]
- Jiang, Y.; Wang, X.; Wang, Y. On a stochastic heat equation with first order fractional noises and applications to finance. J. Math. Anal. Appl. 2012, 396, 656–669. [Google Scholar] [CrossRef]
- Bhrawy, A.H.; Ezz-Eldien, S. A new Legendre operational technique for delay fractional optimal control problems. Calcolo 2016, 53, 521–543. [Google Scholar] [CrossRef]
- Ezz-Eldien, S.S. New quadrature approach based on operational matrix for solving a class of fractional variational problems. J. Comput. Phys. 2016, 317, 362–381. [Google Scholar] [CrossRef]
- Benson, D.A.; Meerschaert, M.M.; Revielle, J. Fractional calculus in hydrologic modeling: A numerical perspective. Adv. Water Resour. 2013, 51, 479–497. [Google Scholar] [CrossRef]
- Kulish, V.V.; Lage, J.L. Application of fractional calculus to fluid mechanics. J. Fluids Eng. 2002, 124, 803–806. [Google Scholar] [CrossRef]
- Ezz-Eldien, S.S.; El-Kalaawy, A.A. Numerical simulation and convergence analysis of fractional optimization problems with right-sided Caputo fractional derivative. J. Comput. Nonlinear Dyn. 2018, 13, 011010. [Google Scholar] [CrossRef]
- Sadek, L. Fractional BDF Methods for Solving Fractional Differential Matrix Equations. Int. J. Appl. Comput. Math. 2022, 8, 238. [Google Scholar] [CrossRef]
- Hosseini, V.R.; Chen, W.; Avazzadeh, Z. Numerical solution of fractional telegraph equation by using radial basis functions. Eng. Anal. Bound. Elem. 2014, 38, 31–39. [Google Scholar] [CrossRef]
- Liu, F.; Zhuang, P.; Turner, I.; Burrage, K.; Anh, V. A new fractional finite volume method for solving the fractional diffusion equation. Appl. Math. Model. 2014, 38, 3871–3878. [Google Scholar] [CrossRef]
- Khodabakhshi, N.; Vaezpour, S.M.; Baleanu, D. Numerical solutions of the initial value problem for fractional differential equations by modification of the Adomian decomposition method. Fract. Calc. Appl. Anal. 2014, 17, 382–400. [Google Scholar] [CrossRef]
- Kim, M.H.; Ri, G.C.; Hyong-Chol, O. Operational method for solving multi-term fractional differential equations with the generalized fractional derivatives. Fract. Calc. Appl. Anal. 2014, 17, 79–95. [Google Scholar] [CrossRef]
- Rabiei, K.; Razzaghi, M. Fractional-order Boubaker wavelets method for solving fractional Riccati differential equations. Appl. Numer. Math. 2021, 168, 221–234. [Google Scholar] [CrossRef]
- Burqan, A.; Sarhan, A.; Saadeh, R. Constructing Analytical Solutions of the Fractional Riccati Differential Equations Using Laplace Residual Power Series Method. Fractal Fract. 2022, 7, 14. [Google Scholar] [CrossRef]
- Singh, J.; Gupta, A.; Kumar, D. Computational Analysis of the Fractional Riccati Differential Equation with Prabhakar-type Memory. Mathematics 2023, 11, 644. [Google Scholar] [CrossRef]
- Esmaeili, S.; Shamsi, M. A pseudo-spectral scheme for the approximate solution of a family of fractional differential equations. Commun. Nonlinear Sci. Numer. Simul. 2011, 16, 3646–3654. [Google Scholar] [CrossRef]
- Zhang, H.; Jiang, X.; Wang, C.; Fan, W. Galerkin-Legendre spectral schemes for nonlinear space fractional Schrödinger equation. Numer. Algorithms 2018, 79, 337–356. [Google Scholar] [CrossRef]
- Mokhtary, P.; Ghoreishi, F. The L2-convergence of the Legendre spectral Tau matrix formulation for nonlinear fractional integro differential equations. Numer. Algorithms 2011, 58, 475–496. [Google Scholar] [CrossRef]
- Bhrawy, A.H.; Doha, E.H.; Ezz-Eldien, S.S.; Van Gorder, R.A. A new Jacobi spectral collocation method for solving 1+ 1 fractional Schrödinger equations and fractional coupled Schrödinger systems. Eur. Phys. J. Plus 2014, 129, 1–21. [Google Scholar] [CrossRef]
- Vanani, S.K.; Aminataei, A. Tau approximate solution of fractional partial differential equations. Comput. Math. Appl. 2011, 62, 1075–1083. [Google Scholar] [CrossRef]
- Doha, E.H.; Bhrawy, A.H.; Ezz-Eldien, S.S. An efficient Legendre spectral tau matrix formulation for solving fractional subdiffusion and reaction subdiffusion equations. J. Comput. Nonlinear Dyn. 2015, 10, 021019. [Google Scholar] [CrossRef]
- Hafez, R.M.; Ezz-Eldien, S.S.; Bhrawy, A.H.; Ahmed, E.A.; Baleanu, D. A Jacobi Gauss–Lobatto and Gauss–Radau collocation algorithm for solving fractional Fokker–Planck equations. Nonlinear Dyn. 2015, 82, 1431–1440. [Google Scholar] [CrossRef]
- Saadatmandi, A.; Dehghan, M. A new operational matrix for solving fractional-order differential equations. Comput. Math. Appl. 2010, 59, 1326–1336. [Google Scholar] [CrossRef]
- Kazem, S. An integral operational matrix based on Jacobi polynomials for solving fractional-order differential equations. Appl. Math. Model. 2013, 37, 1126–1136. [Google Scholar] [CrossRef]
- Bittanti, S.; Colaneri, P.; Guardabassi, G. Periodic solutions of periodic Riccati equations. IEEE Trans. Autom. Control 1984, 29, 665–667. [Google Scholar] [CrossRef]
- Lasiecka, I.; Triggiani, R. (Eds.) Differential and Algebraic Riccati Equations with Application to Boundary/Point Control Problems: Continuous Theory and Approximation Theory; Springer: Berlin/Heidelberg, Germany, 1991. [Google Scholar]
- Goldstine, H.H. A History of the Calculus of Variations from the 17th through the 19th Century (Vol. 5); Springer Science & Business Media: New York, NY, USA; Heidelberg/Berlin, Germany, 2012. [Google Scholar]
- Garrappa, R. On some explicit Adams multistep methods for fractional differential equations. J. Comput. Appl. Math. 2009, 229, 392–399. [Google Scholar] [CrossRef]
- Feliu-Batlle, V.; Perez, R.R.; Rodriguez, L.S. Fractional robust control of main irrigation canals with variable dynamic parameters. Control Eng. Pract. 2007, 15, 673–686. [Google Scholar] [CrossRef]
- Podlubny, I. Fractional-order systems and PI/sup/spl lambda//D/sup/spl mu//-controllers. IEEE Trans. Autom. Control 1999, 44, 208–214. [Google Scholar] [CrossRef]
- Öztürk, Y.; Anapali, A.; Gülsu, M.; Sezer, M. A collocation method for solving fractional Riccati differential equation. J. Appl. Math. 2013, 2013, 598083. [Google Scholar] [CrossRef]
- Balaji, S. Legendre wavelet operational matrix method for solution of fractional order Riccati differential equation. J. Egypt. Math. Soc. 2015, 23, 263–270. [Google Scholar] [CrossRef]
- Mokhtary, P.; Ghoreishi, F. Convergence analysis of spectral Tau method for fractional Riccati differential Equations. Bull. Iranian Math. Soc. 2014, 40, 1275–1290. [Google Scholar]
- Kashkari, B.S.; Syam, M.I. Fractional-order Legendre operational matrix of fractional integration for solving the Riccati equation with fractional order. Appl. Math. Comput. 2016, 290, 281–291. [Google Scholar] [CrossRef]
- Jafari, H.; Tajadodi, H.; Baleanu, D. A modified variational iteration method for solving fractional Riccati differential equation by Adomian polynomials. Fract. Calc. Appl. Anal. 2013, 16, 109–122. [Google Scholar] [CrossRef]
- Bota, C.; Caruntu, B. Analytical approximate solutions for quadratic Riccati differential equation of fractional order using the Polynomial Least Squares Method. Chaos Solitons Fractals 2017, 102, 339–345. [Google Scholar] [CrossRef]
- Merdan, M. On the solutions fractional Riccati differential equation with modified Riemann-Liouville derivative. Int. J. Diff. Equ. 2012, 2012, 346089. [Google Scholar] [CrossRef]
- Odibat, Z.; Momani, S. Modified homotopy perturbation method: Application to quadratic Riccati differential equation of fractional order. Chaos Solitons Fractals 2008, 36, 167–174. [Google Scholar] [CrossRef]
- Saad, K.M.; Al-Shomrani, A.A. An application of homotopy analysis transform method for Riccati differential equation of fractional order. J. Fract. Calc. Appl. 2016, 7, 61–72. [Google Scholar]
- Haq, E.U.; Ali, M.; Khan, A.S. On the solution of fractional Riccati differential equations with variation of parameters method. Eng. Appl. Sci. Lett. 2020, 3, 1–9. [Google Scholar]
- Sakar, M.G.; Akgül, A.; Baleanu, D. On solutions of fractional Riccati differential equations. Adv. Differ. Equations 2017, 2017, 1–10. [Google Scholar] [CrossRef]
- Yüzbasi, S. Numerical solutions of fractional Riccati type differential equations by means of the Bernstein polynomials. Appl. Math. Comput. 2013, 219, 6328–6343. [Google Scholar]
- Li, Y.; Sun, N.; Zheng, B.; Wang, Q.; Zhang, Y. Wavelet operational matrix method for solving the Riccati differential equation. Commun. Nonlinear Sci. Numer. Simul. 2014, 19, 483–493. [Google Scholar] [CrossRef]
- Raja, M.A.Z.; Manzar, M.A.; Samar, R. An efficient computational intelligence approach for solving fractional order Riccati equations using ANN and SQP. Appl. Math. Model. 2015, 39, 3075–3093. [Google Scholar] [CrossRef]
- Oldham, K.; Spanier, J. The Fractional Calculus Theory and Applications of Differentiation and Integration to Arbitrary Order; Elsevier: New York, NY, USA; London, UK, 1974. [Google Scholar]
- Kazem, S.; Abbasbandy, S.; Kumar, S. Fractional-order Legendre functions for solving fractional-order differential equations. Appl. Math. Model. 2013, 37, 5498–5510. [Google Scholar] [CrossRef]
- Arafa, A.A.M.; Rida, S.Z. Numerical solutions for some generalized coupled nonlinear evolution equations. Math. Comput. Model. 2012, 56, 268–277. [Google Scholar] [CrossRef]
- Fletcher, C.A.; Fletcher, C.A.J. Computational Galerkin Methods; Springer: Berlin/Heidelberg, Germany, 1984; pp. 72–85. [Google Scholar]
- Keshavarz, E.; Ordokhani, Y.; Razzaghi, M. Bernoulli wavelet operational matrix of fractional order integration and its applications in solving the fractional order differential equations. Appl. Math. Model. 2014, 38, 6038–6051. [Google Scholar] [CrossRef]
- Parand, K.; Delkhosh, M. Operational matrices to solve nonlinear Riccati differential equations of arbitrary order, Petersburg Polytech. Univ. J. Phys. Math. 2017, 3, 242–254. [Google Scholar]
- Hou, J.; Yang, C. Numerical solution of fractional-order Riccati differential equation by differential quadrature method based on Chebyshev polynomials. Adv. Differ. Equ. 2017, 2017, 1–13. [Google Scholar] [CrossRef]
- Ezz-Eldien, S.S.; Machado, J.A.T.; Wang, Y.; Aldraiweesh, A.A. An algorithm for the approximate solution of the fractional Riccati differential equation. Int. J. Nonlinear Sci. Numer. Simul. 2019, 20, 661–674. [Google Scholar] [CrossRef]
- Maleknejad, K.; Torkzadeh, L. Hybrid functions approach for the fractional Riccati differential equation. Filomat 2016, 30, 2453–2463. [Google Scholar] [CrossRef]
- Odetunde, O.S.; Taiwo, O.A. A decomposition algorithm for the solution of fractional quadratic Riccati differential equations with Caputo derivatives. Am. J. Comput. Appl. Math. 2014, 4, 83–91. [Google Scholar]















| Absolute Error | ||
|---|---|---|
| 1 | ||
| 2 |
| t | Exact Solution | Method [43] | Method [45] | Method [50] | MLG Method |
|---|---|---|---|---|---|
| t | Method [51] | Method [54] | Method [52] | Method [53] | MLG Method |
|---|---|---|---|---|---|
| t | Exact Solution | Method [44] | Method [55] | Method [53] | Our Method |
|---|---|---|---|---|---|
| t | Method [55] | Method [53] | Our Method |
|---|---|---|---|
Disclaimer/Publisher’s Note: The statements, opinions and data contained in all publications are solely those of the individual author(s) and contributor(s) and not of MDPI and/or the editor(s). MDPI and/or the editor(s) disclaim responsibility for any injury to people or property resulting from any ideas, methods, instructions or products referred to in the content. |
© 2023 by the authors. Licensee MDPI, Basel, Switzerland. This article is an open access article distributed under the terms and conditions of the Creative Commons Attribution (CC BY) license (https://creativecommons.org/licenses/by/4.0/).
Share and Cite
Sadek, L.; Bataineh, A.S.; Talibi Alaoui, H.; Hashim, I. The Novel Mittag-Leffler–Galerkin Method: Application to a Riccati Differential Equation of Fractional Order. Fractal Fract. 2023, 7, 302. https://doi.org/10.3390/fractalfract7040302
Sadek L, Bataineh AS, Talibi Alaoui H, Hashim I. The Novel Mittag-Leffler–Galerkin Method: Application to a Riccati Differential Equation of Fractional Order. Fractal and Fractional. 2023; 7(4):302. https://doi.org/10.3390/fractalfract7040302
Chicago/Turabian StyleSadek, Lakhlifa, Ahmad Sami Bataineh, Hamad Talibi Alaoui, and Ishak Hashim. 2023. "The Novel Mittag-Leffler–Galerkin Method: Application to a Riccati Differential Equation of Fractional Order" Fractal and Fractional 7, no. 4: 302. https://doi.org/10.3390/fractalfract7040302
APA StyleSadek, L., Bataineh, A. S., Talibi Alaoui, H., & Hashim, I. (2023). The Novel Mittag-Leffler–Galerkin Method: Application to a Riccati Differential Equation of Fractional Order. Fractal and Fractional, 7(4), 302. https://doi.org/10.3390/fractalfract7040302

