On the Development of a Data-Driven-Based Fractional-Order Controller for Unmanned Aerial Vehicles
Abstract
1. Introduction
2. Modified UAV
3. Neural Network Estimator and Problem Formulation
3.1. RBF Neural Network Estimator
3.2. Problem Formulation
4. Control Design
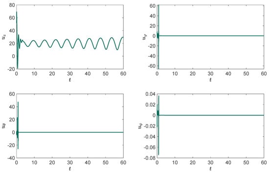
5. Simulation Results
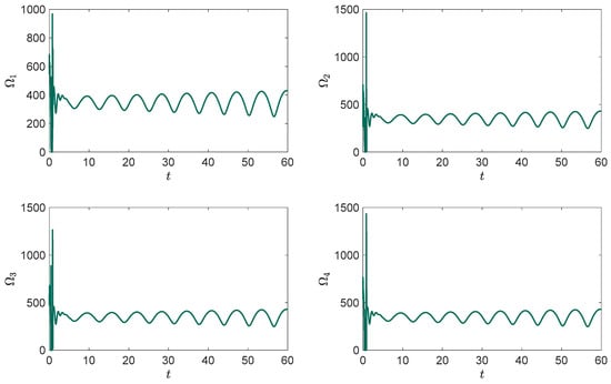
5.1. Control of UAV with Uncertain Parameters
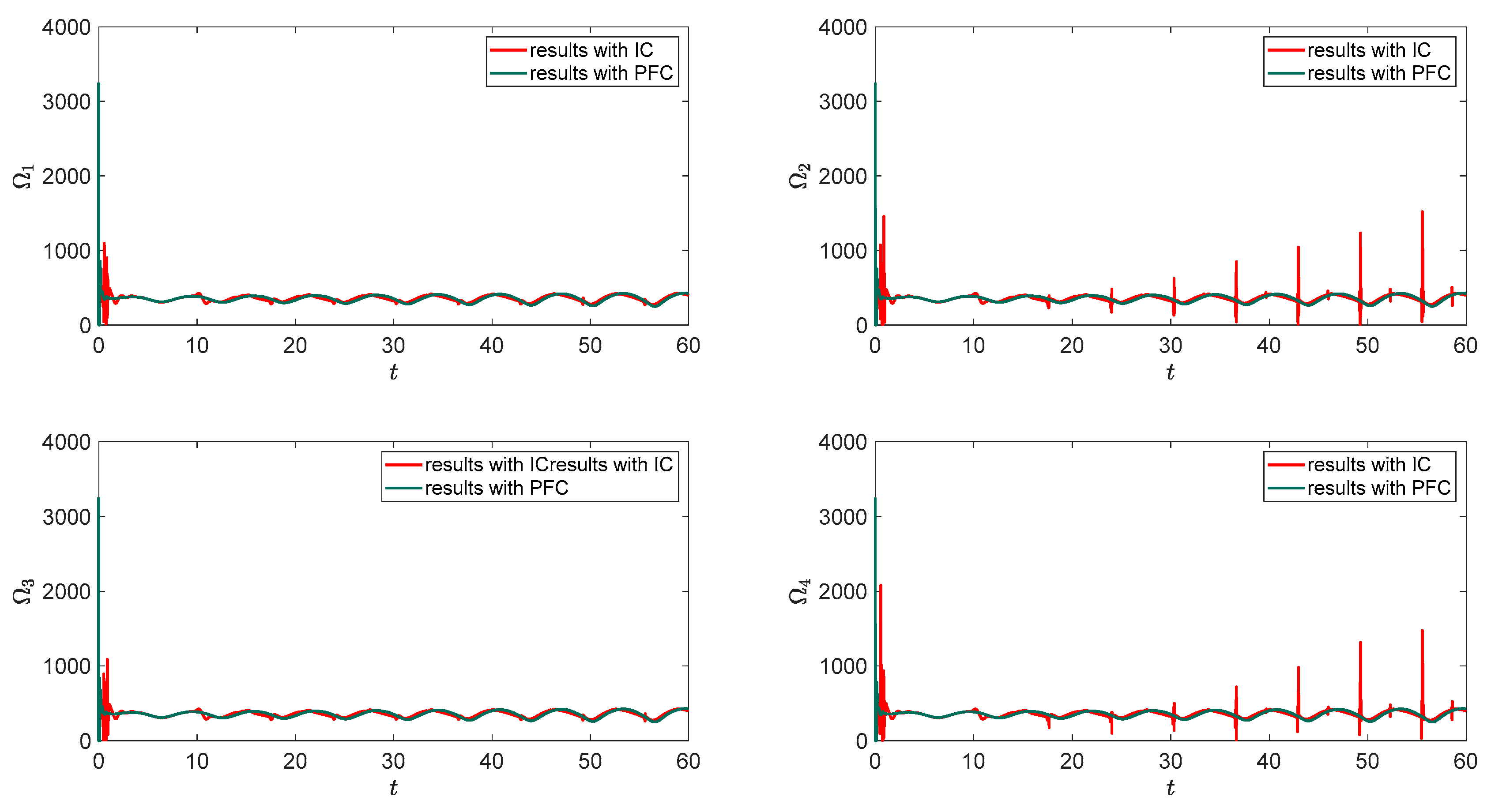
5.2. Comparison of Results
6. Conclusions
Author Contributions
Funding
Institutional Review Board Statement
Informed Consent Statement
Data Availability Statement
Conflicts of Interest
References
- Paw, Y.C. Synthesis and Validation of Flight Control for UAV; University of Minnesota: Minneapolis, MN, USA, 2009; ISBN 1109558449. [Google Scholar]
- Chen, H.; Wang, X.; Li, Y. A Survey of Autonomous Control for UAV. In Proceedings of the 2009 International Conference on Artificial Intelligence and Computational Intelligence, Shanghai, China, 7–8 November 2009; Volume 2, pp. 267–271. [Google Scholar]
- Zhao, J.; Gao, F.; Ding, G.; Zhang, T.; Jia, W.; Nallanathan, A. Integrating Communications and Control for UAV Systems: Opportunities and Challenges. IEEE Access 2018, 6, 67519–67527. [Google Scholar] [CrossRef]
- Kurdel, P.; Češkovič, M.; Gecejová, N.; Adamčík, F.; Gamcová, M. Local Control of Unmanned Air Vehicles in the Mountain Area. Drones 2022, 6, 54. [Google Scholar] [CrossRef]
- Ouyang, Q.; Wu, Z.; Cong, Y.; Wang, Z. Formation Control of Unmanned Aerial Vehicle Swarms: A Comprehensive Review. Asian J. Control. 2022, 25, 570–593. [Google Scholar] [CrossRef]
- Yousefpour, A.; Yasami, A.; Beigi, A.; Liu, J. On the Development of an Intelligent Controller for Neural Networks: A Type 2 Fuzzy and Chatter-Free Approach for Variable-Order Fractional Cases. Eur. Phys. J. Spec. Top. 2022, 231, 2045–2057. [Google Scholar] [CrossRef]
- Hilfer, R. Applications of Fractional Calculus in Physics; World Scientific: Singapore, 2000; ISBN 9814496200. [Google Scholar]
- Machado, J.T.; Kiryakova, V.; Mainardi, F. Recent History of Fractional Calculus. Commun. Nonlinear. Sci. Numer. Simul. 2011, 16, 1140–1153. [Google Scholar] [CrossRef]
- Sun, H.; Zhang, Y.; Baleanu, D.; Chen, W.; Chen, Y. A New Collection of Real World Applications of Fractional Calculus in Science and Engineering. Commun. Nonlinear. Sci. Numer. Simul. 2018, 64, 213–231. [Google Scholar] [CrossRef]
- Xu, C.; Mu, D.; Liu, Z.; Pang, Y.; Liao, M.; Li, P.; Yao, L.; Qin, Q. Comparative Exploration on Bifurcation Behavior for Integer-Order and Fractional-Order Delayed BAM Neural Networks. Nonlinear. Anal. Model. Control. 2022, 27, 1–24. [Google Scholar] [CrossRef]
- Atangana, A. Application of Fractional Calculus to Epidemiology. Fract. Dyn. 2015, 2015, 174–190. [Google Scholar]
- Tenreiro Machado, J.A.; Silva, M.F.; Barbosa, R.S.; Jesus, I.S.; Reis, C.M.; Marcos, M.G.; Galhano, A.F. Some Applications of Fractional Calculus in Engineering. Math. Probl. Eng. 2010, 2010, 639801. [Google Scholar] [CrossRef]
- Kulish, V.; Lage, J.L. Application of Fractional Calculus to Fluid Mechanics. J. Fluids. Eng. 2002, 124, 803–806. [Google Scholar] [CrossRef]
- Tarasov, V.E. Mathematical Economics: Application of Fractional Calculus. Mathematics 2020, 8, 660. [Google Scholar] [CrossRef]
- Victor, S.; Duhé, J.-F.; Melchior, P.; Abdelmounen, Y.; Roubertie, F. Long-Memory Recursive Prediction Error Method for Identification of Continuous-Time Fractional Models. Nonlinear Dyn. 2022, 110, 635–648. [Google Scholar] [CrossRef]
- Jallouli-Khlif, R.; Maalej, B.; Melchior, P.; Derbel, N. Control of Prosthetic Hand Based on Input Shaping Combined to Fractional PI Controller. In Proceedings of the 2021 9th International Conference on Systems and Control (ICSC), Caen, France, 24–26 November 2021; pp. 449–454. [Google Scholar]
- Yousfi, N.; Derbel, N.; Melchior, P.; Almalki, H. Robust Motion Control Using Combined Centralized Non-Integer Pre-Filter of Type FBLFD and Fractional Order PDμ Controller. Int. J. Innov. Technol. Explor. Eng. 2019, 9, 3463. [Google Scholar] [CrossRef]
- Rammal, R.; Airimitoaie, T.-B.; Melchior, P.; Cazaurang, F. Flatness-Based Fault Detection and Isolation for Fractional Order Linear Flat Systems. 2022. Available online: https://hal.science/hal-03601386/file/Fractiona_FDI_Final_version.pdf (accessed on 8 March 2022).
- Rammal, R.; Airimitoaie, T.-B.; Melchior, P.; Cazaurang, F. Unimodular Completion for Computation of Fractionally Flat Outputs for Linear Fractionally Flat Systems. IFAC-PapersOnLine 2020, 53, 4415–4420. [Google Scholar] [CrossRef]
- Humphreys, P.C.; Raposo, D.; Pohlen, T.; Thornton, G.; Chhaparia, R.; Muldal, A.; Abramson, J.; Georgiev, P.; Santoro, A.; Lillicrap, T. A Data-Driven Approach for Learning to Control Computers. In Proceedings of the International Conference on Machine Learning, PMLR, Seoul, Republic of Korea, 17–23 July 2022; pp. 9466–9482. [Google Scholar]
- Wen, L.; Li, X.; Gao, L.; Zhang, Y. A New Convolutional Neural Network-Based Data-Driven Fault Diagnosis Method. IEEE Trans. Ind. Electron. 2017, 65, 5990–5998. [Google Scholar] [CrossRef]
- Kisvari, A.; Lin, Z.; Liu, X. Wind Power Forecasting–A Data-Driven Method along with Gated Recurrent Neural Network. Renew Energy 2021, 163, 1895–1909. [Google Scholar] [CrossRef]
- Xia, M.; Zheng, X.; Imran, M.; Shoaib, M. Data-Driven Prognosis Method Using Hybrid Deep Recurrent Neural Network. Appl. Soft. Comput. 2020, 93, 106351. [Google Scholar] [CrossRef]
- Sun, T.-C.; Yousefpour, A.; Karaca, Y.; Alassafi, M.O.; Ahmad, A.M.; Li, Y.-M. Dynamical Investigation and Distributed Consensus Tracking Control of a Variable-Order Fractional Supply Chain Network Using a Multi-Agent Neural Network-Based Control Method. Fractals 2022, 30, 1–13. [Google Scholar] [CrossRef]
- Xu, C.; Mu, D.; Liu, Z.; Pang, Y.; Liao, M.; Aouiti, C. New Insight into Bifurcation of Fractional-Order 4D Neural Networks Incorporating Two Different Time Delays. Commun. Nonlinear. Sci. Numer. Simul. 2023, 118, 107043. [Google Scholar] [CrossRef]
- Huang, C.; Wang, J.; Chen, X.; Cao, J. Bifurcations in a Fractional-Order BAM Neural Network with Four Different Delays. Neural Netw. 2021, 141, 344–354. [Google Scholar] [CrossRef]
- Huang, C.; Tang, J.; Niu, Y.; Cao, J. Enhanced Bifurcation Results for a Delayed Fractional Neural Network with Heterogeneous Orders. Phys. A Stat. Mech. Its Appl. 2019, 526, 121014. [Google Scholar] [CrossRef]
- Yousefpour, A.; Jahanshahi, H.; Castillo, O. Application of Variable-Order Fractional Calculus in Neural Networks: Where Do We Stand? Eur. Phys. J. Spec. Top. 2022, 231, 1753–1756. [Google Scholar] [CrossRef]
- Yasami, A.; Beigi, A.; Yousefpour, A. Application of Long Short-Term Memory Neural Network and Optimal Control to Variable-Order Fractional Model of HIV/AIDS. Eur. Phys. J. Spec. Top. 2022, 231, 1875–1884. [Google Scholar] [CrossRef]
- Jahanshahi, H.; Yao, Q.; Khan, M.I.; Moroz, I. Unified Neural Output-Constrained Control for Space Manipulator Using Tan-Type Barrier Lyapunov Function. Adv. Space Res. 2022; in press. [Google Scholar]
- Li, Y.; Yang, T.; Tong, S. Adaptive Neural Networks Finite-Time Optimal Control for a Class of Nonlinear Systems. IEEE Trans. Neural Netw. Learn Syst. 2019, 31, 4451–4460. [Google Scholar] [CrossRef] [PubMed]
- Ren, Y.M.; Alhajeri, M.S.; Luo, J.; Chen, S.; Abdullah, F.; Wu, Z.; Christofides, P.D. A Tutorial Review of Neural Network Modeling Approaches for Model Predictive Control. Comput. Chem. Eng. 2022, 165, 107956. [Google Scholar] [CrossRef]
- Alsaade, F.W.; Jahanshahi, H.; Yao, Q.; Al-zahrani, M.S.; Alzahrani, A.S. A New Neural Network-Based Optimal Mixed H2/H∞ Control for a Modified Unmanned Aerial Vehicle Subject to Control Input Constraints. Adv. Space Res. 2022; in press. [Google Scholar]
- Shtessel, Y.; Edwards, C.; Fridman, L.; Levant, A. Sliding Mode Control and Observation; Springer: Berlin/Heidelberg, Germany, 2014; Volume 10. [Google Scholar]
- Hu, J.; Zhang, H.; Liu, H.; Yu, X. A Survey on Sliding Mode Control for Networked Control Systems. Int. J. Syst. Sci. 2021, 52, 1129–1147. [Google Scholar] [CrossRef]
- Jahanshahi, H. Smooth Control of HIV/AIDS Infection Using a Robust Adaptive Scheme with Decoupled Sliding Mode Supervision. Eur. Phys. J. Spec. Top. 2018, 227, 707–718. [Google Scholar] [CrossRef]
- Yao, Q.; Jahanshahi, H.; Moroz, I.; Bekiros, S.; Alassafi, M.O. Indirect Neural-Based Finite-Time Integral Sliding Mode Control for Trajectory Tracking Guidance of Mars Entry Vehicle. Adv. Space Res. 2022; in press. [Google Scholar]
- Alsubaie, H.; Yousefpour, A.; Alotaibi, A.; Alotaibi, N.D.; Jahanshahi, H. Fault-Tolerant Terminal Sliding Mode Control with Disturbance Observer for Vibration Suppression in Non-Local Strain Gradient Nano-Beams. Mathematics 2023, 11, 789. [Google Scholar] [CrossRef]
- Yu, X.; Feng, Y.; Man, Z. Terminal Sliding Mode Control–an Overview. IEEE Open J. Ind. Electron. Soc. 2020, 2, 36–52. [Google Scholar] [CrossRef]
- Yousefpour, A.; Jahanshahi, H.; Munoz-Pacheco, J.M.; Bekiros, S.; Wei, Z. A Fractional-Order Hyper-Chaotic Economic System with Transient Chaos. Chaos Solitons Fractals 2020, 130, 109400. [Google Scholar] [CrossRef]
- Jahanshahi, H.; Yousefpour, A.; Munoz-Pacheco, J.M.; Kacar, S.; Pham, V.-T.; Alsaadi, F.E. A New Fractional-Order Hyperchaotic Memristor Oscillator: Dynamic Analysis, Robust Adaptive Synchronization, and Its Application to Voice Encryption. Appl. Math. Comput. 2020, 383, 125310. [Google Scholar] [CrossRef]
- Chen, S.-B.; Beigi, A.; Yousefpour, A.; Rajaee, F.; Jahanshahi, H.; Bekiros, S.; Martínez, R.A.; Chu, Y. Recurrent Neural Network-Based Robust Nonsingular Sliding Mode Control with Input Saturation for a Non-Holonomic Spherical Robot. IEEE Access 2020, 8, 188441–188453. [Google Scholar] [CrossRef]
- Eskandari, B.; Yousefpour, A.; Ayati, M.; Kyyra, J.; Pouresmaeil, E. Finite-Time Disturbance-Observer-Based Integral Terminal Sliding Mode Controller for Three-Phase Synchronous Rectifier. IEEE Access 2020, 8, 152116–152130. [Google Scholar] [CrossRef]
- Yousefpour, A.; Haji Hosseinloo, A.; Reza Hairi Yazdi, M.; Bahrami, A. Disturbance Observer–Based Terminal Sliding Mode Control for Effective Performance of a Nonlinear Vibration Energy Harvester. J. Intell. Mater. Syst. Struct. 2020, 31, 1495–1510. [Google Scholar] [CrossRef]
- Sun, C.; Liu, M.; Liu, C.; Feng, X.; Wu, H. An Industrial Quadrotor Uav Control Method Based on Fuzzy Adaptive Linear Active Disturbance Rejection Control. Electronics 2021, 10, 376. [Google Scholar] [CrossRef]
- Chen, X.; Wang, L. Cascaded Model Predictive Control of a Quadrotor UAV. In Proceedings of the 2013 Australian Control Conference, Fremantle, WA, Australia, 4–5 November 2013; pp. 354–359. [Google Scholar]
- ud Din, A.F.; Mir, I.; Gul, F.; Mir, S.; Saeed, N.; Althobaiti, T.; Abbas, S.M.; Abualigah, L. Deep Reinforcement Learning for Integrated Non-Linear Control of Autonomous UAVs. Processes 2022, 10, 1307. [Google Scholar] [CrossRef]
- Whitehead, B.; Bieniawski, S. Model Reference Adaptive Control of a Quadrotor UAV. In Proceedings of the AIAA Guidance, Navigation, and Control Conference, Toronto, ON, Canada, 2–5 August 2010; p. 8148. [Google Scholar]
- Dydek, Z.T.; Annaswamy, A.M.; Lavretsky, E. Adaptive Control of Quadrotor UAVs: A Design Trade Study with Flight Evaluations. IEEE Trans. Control Syst. Technol. 2012, 21, 1400–1406. [Google Scholar] [CrossRef]
- Min, B.-C.; Hong, J.-H.; Matson, E.T. Adaptive Robust Control (ARC) for an Altitude Control of a Quadrotor Type UAV Carrying an Unknown Payloads. In Proceedings of the 2011 11th International Conference on Control, Automation and Systems, Gyeonggi-do, Republic of Korea, 26–29 October 2011; pp. 1147–1151. [Google Scholar]
- Raffo, G.V.; de Almeida, M.M. Nonlinear Robust Control of a Quadrotor UAV for Load Transportation with Swing Improvement. In Proceedings of the 2016 American Control Conference (ACC), Boston, MA, USA, 6–8 July 2016; pp. 3156–3162. [Google Scholar]
- Santoso, F.; Liu, M.; Egan, G. Linear Quadratic Optimal Control Synthesis for a Uav. In Proceedings of the 12th Australian International Aerospace Congress, AIAC12, Melbourne, Australia, 12–16 May 2007. [Google Scholar]
- Satici, A.C.; Poonawala, H.; Spong, M.W. Robust Optimal Control of Quadrotor UAVs. IEEE Access 2013, 1, 79–93. [Google Scholar] [CrossRef]
- Tofigh, M.A.L.I.; Mahjoob, M.; Ayati, M. Feedback linearization and back stepping controller aimed at position tracking for a novel five-rotor uav. Modares Mech. Eng. 2015, 15, 247–254. [Google Scholar]












| Parameter | Symbol | Value |
|---|---|---|
| Mass of UAV | 2 kg | |
| Distance from rotor and center of mass | l | 0.4 m |
| Moment of inertia (x-axis) | 4.8 × 10−3 kg·m2 | |
| Moment of inertia (y-axis) | 4.8 × 10−3 kg·m2 | |
| Moment of inertia (z-axis) | 8.1 × 10−3 kg·m2 | |
| Rotor inertia | 8 × 10−5 kg·m2 | |
| Rotor inertia (rotor 5) | 2 × 10−5 kg·m2 | |
| Thrust factor | 4 × 10−5 | |
| Thrust factor of rotor 5 | 2 × 10−5 | |
| Drag factor | 3 × 10−6 | |
| Drag factor of rotor 5 | 1.5 × 10−6 | |
| Gravity | 9.8 m/s2 | |
| Rotor angular velocity (r = 1, 2, 3, 4) | 350 rad/s | |
| Rotor angular velocity (Rotor 5) | 500 rad/s |
Disclaimer/Publisher’s Note: The statements, opinions and data contained in all publications are solely those of the individual author(s) and contributor(s) and not of MDPI and/or the editor(s). MDPI and/or the editor(s) disclaim responsibility for any injury to people or property resulting from any ideas, methods, instructions or products referred to in the content. |
© 2023 by the authors. Licensee MDPI, Basel, Switzerland. This article is an open access article distributed under the terms and conditions of the Creative Commons Attribution (CC BY) license (https://creativecommons.org/licenses/by/4.0/).
Share and Cite
Alsaade, F.W.; Jahanshahi, H.; Yao, Q.; Al-zahrani, M.S.; Alzahrani, A.S. On the Development of a Data-Driven-Based Fractional-Order Controller for Unmanned Aerial Vehicles. Fractal Fract. 2023, 7, 236. https://doi.org/10.3390/fractalfract7030236
Alsaade FW, Jahanshahi H, Yao Q, Al-zahrani MS, Alzahrani AS. On the Development of a Data-Driven-Based Fractional-Order Controller for Unmanned Aerial Vehicles. Fractal and Fractional. 2023; 7(3):236. https://doi.org/10.3390/fractalfract7030236
Chicago/Turabian StyleAlsaade, Fawaz W., Hadi Jahanshahi, Qijia Yao, Mohammed S. Al-zahrani, and Ali S. Alzahrani. 2023. "On the Development of a Data-Driven-Based Fractional-Order Controller for Unmanned Aerial Vehicles" Fractal and Fractional 7, no. 3: 236. https://doi.org/10.3390/fractalfract7030236
APA StyleAlsaade, F. W., Jahanshahi, H., Yao, Q., Al-zahrani, M. S., & Alzahrani, A. S. (2023). On the Development of a Data-Driven-Based Fractional-Order Controller for Unmanned Aerial Vehicles. Fractal and Fractional, 7(3), 236. https://doi.org/10.3390/fractalfract7030236

