Circuit of Quantum Fractional Fourier Transform
Abstract
:1. Introduction
2. Quantum Fractional Fourier Transform
3. Classical Algorithm Corresponding to the QFrFT
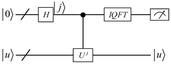
4. Implementation of Quantum Multi-Fractional Fourier Transform
5. Discussion
5.1. Phase Gates
5.2. Flaws of the mFrFT
6. Conclusions
Author Contributions
Funding
Data Availability Statement
Conflicts of Interest
References
- Nielsen, M.A.; Chuang, I.L. Quantum computation and quantum information. Phys. Today 2001, 54, 60. [Google Scholar]
- Feynman, R.P. Simulating physics with computers. Int. J. Theor. Phys. 1982, 21, 467–488. [Google Scholar] [CrossRef]
- Shor, P.W. Algorithms for Quantum Computation: Discrete Logarithms and Factoring. In Proceedings of the 35th Annual Symposium on Foundation of Computer Science, Washington, DC, USA, 20–22 November 1994; pp. 124–134. [Google Scholar]
- Coppersmith, D. An approximate Fourier transform useful in quantum factoring. arXiv 2002. [Google Scholar] [CrossRef]
- Flamini, F.; Spagnolo, N.; Sciarrino, F. Photonic quantum information processing: A review. Rep. Prog. Phys. 2018, 82, 016001. [Google Scholar] [PubMed]
- Biamonte, J.; Wittek, P.; Pancotti, N.; Rebentrost, P.; Wiebe, N.; Lloyd, S. Quantum machine learning. Nature 2017, 549, 195–202. [Google Scholar]
- Beer, K.; Bondarenko, D.; Farrelly, T.; Osborne, T.J.; Salzmann, R.; Scheiermann, D.; Wolf, R. Training deep quantum neural networks. Nat. Commun. 2020, 11, 808. [Google Scholar] [CrossRef]
- Venegas-Andraca, S.E.; Bose, S. Quantum computation and image processing: New trends in artificial intelligence. In Proceedings of the IJCAI, Acapulco, Mexico, 9–15 August 2003. [Google Scholar]
- Latorre, J.I. Image compression and entanglement. arXiv 2005. [Google Scholar] [CrossRef]
- Venegas-Andraca, S.E.; Ball, J. Processing images in entangled quantum systems. Quantum Inf. Process. 2010, 9, 1–11. [Google Scholar] [CrossRef]
- Le, P.Q.; Iliyasu, A.M.; Dong, F.; Hirota, K. A flexible representation and invertible transformations for images on quantum computers. In New Advances in Intelligent Signal Processing. Studies in Computational Intelligence; Ruano, A.E., Várkonyi-Kóczy, A.R., Eds.; Springer: Berlin/Heidelberg, Germany, 2011; Volume 372, pp. 179–202. [Google Scholar]
- Zhang, Y.; Lu, K.; Gao, Y.; Wang, M. NEQR: A novel enhanced quantum representation of digital images. Quantum Inf. Process. 2013, 12, 2833–2860. [Google Scholar] [CrossRef]
- Wang, Z.; Xu, M.; Zhang, Y. Review of quantum image processing. Arch. Comput. Methods Eng. 2022, 29, 737–761. [Google Scholar]
- Zhang, Y.; Lu, K.; Xu, K.; Gao, Y.; Wilson, R. Local feature point extraction for quantum images. Quantum Inf. Process. 2015, 14, 1573–1588. [Google Scholar] [CrossRef]
- Li, P.; Liu, X.; Xiao, H. Quantum image weighted average filtering in spatial domain. Int. J. Theor. Phys. 2017, 56, 3690–3716. [Google Scholar] [CrossRef]
- Liu, K.; Zhang, Y.; Lu, K.; Wang, X. Restoration for noise removal in quantum images. Int. J. Theor. Phys. 2017, 56, 2867–2886. [Google Scholar] [CrossRef]
- Yin, H.; Lu, D.; Zhang, R. Quantum Windowed Fourier Transform and its Application to Quantum Signal Processing. Int. J. Theor. Phys. 2021, 60, 3896–3918. [Google Scholar] [CrossRef]
- Asaka, R.; Sakai, K.; Yahagi, R. Quantum circuit for the fast Fourier transform. Quantum Inf. Process. 2020, 19, 277. [Google Scholar] [CrossRef]
- Ruiz-Perez, L.; Garcia-Escartin, J.C. Quantum arithmetic with the quantum Fourier transform. Quantum Inf. Process. 2017, 16, 152. [Google Scholar] [CrossRef]
- Lohmann, A.W. Image rotation, Wigner rotation, and the fractional Fourier transform. JOSA A 1993, 10, 2181–2186. [Google Scholar] [CrossRef]
- Bernardo, L.M.; Soares, O.D. Fractional Fourier transforms and optical systems. Opt. Commun. 1994, 110, 517–522. [Google Scholar] [CrossRef]
- Hennelly, B.M.; Sheridan, J.T. Image encryption and the fractional Fourier transform. Optik 2003, 114, 251–265. [Google Scholar] [CrossRef]
- Sejdić, E.; Djurović, I.; Stanković, L. Fractional Fourier transform as a signal processing tool: An overview of recent developments. Signal Process. 2011, 91, 1351–1369. [Google Scholar]
- Gaglione, D.; Clemente, C.; Ilioudis, C.V.; Persico, A.R.; Proudler, I.K.; Soraghan, J.J.; Farina, A. Waveform design for communicating radar systems using fractional Fourier transform. Digit. Signal Process. 2018, 80, 57–69. [Google Scholar] [CrossRef]
- Parasa, V.; Perkowski, M. In Quantum pseudo-fractional fourier transform using multiple-valued logic. In Proceedings of the 2012 IEEE 42nd International Symposium on Multiple-Valued Logic, Victoria, BC, Canada, 14–16 May 2012; pp. 311–314. [Google Scholar]
- Lv, C.-H.; Fan, H.-Y.; Li, D.-W. From fractional Fourier transformation to quantum mechanical fractional squeezing transformation. Chin. Phys. B 2015, 24, 020301. [Google Scholar] [CrossRef]
- Weimann, S.; Perez-Leija, A.; Lebugle, M.; Keil, R.; Tichy, M.; Gräfe, M.; Heilmann, R.; Nolte, S.; Moya-Cessa, H.; Weihs, G. Implementation of quantum and classical discrete fractional Fourier transforms. Nat. Commun. 2016, 7, 11027. [Google Scholar] [CrossRef] [PubMed]
- Madrid, Y.; Molina, M.; Torres, R. Quantum Fractional Fourier Transform. In Frontiers in Optics; Optica Publishing Group: Washington, DC, USA, 2018. [Google Scholar]
- Gómez-Echavarría, A.; Ugarte, J.P.; Tobón, C. The fractional Fourier transform as a biomedical signal and image processing tool: A review. Biocybern. Biomed. Eng. 2020, 40, 1081–1093. [Google Scholar]
- Shih, C.-C. Fractionalization of Fourier transform. Opt. Commun. 1995, 118, 495–498. [Google Scholar] [CrossRef]
- Zhu, B.; Liu, S.; Ran, Q. Optical image encryption based on multifractional Fourier transforms. Opt. Lett. 2000, 25, 1159–1161. [Google Scholar] [CrossRef]
- Tao, R.; Lang, J.; Wang, Y. Optical image encryption based on the multiple-parameter fractional Fourier transform. Opt. Lett. 2008, 33, 581–583. [Google Scholar] [CrossRef]
- Ran, Q.; Zhang, H.; Zhang, J.; Tan, L.; Ma, J. Deficiencies of the cryptography based on multiple-parameter fractional Fourier transform. Opt. Lett. 2009, 34, 1729–1731. [Google Scholar] [CrossRef]
- Ran, Q.; Zhao, T.; Yuan, L.; Wang, J.; Xu, L. Vector power multiple-parameter fractional Fourier transform of image encryption algorithm. Opt. Laser Eng. 2014, 62, 80–86. [Google Scholar] [CrossRef]
- Zhao, T.; Ran, Q. The weighted fractional Fourier transform and its application in image encryption. Math. Probl. Eng. 2019, 2019, 4789194. [Google Scholar] [CrossRef]
- Liu, S.; Jiang, J.; Zhang, Y.; Zhang, J. Generalized fractional Fourier transforms. J. Phys. A Math. Gen. 1997, 30, 973. [Google Scholar] [CrossRef]





Disclaimer/Publisher’s Note: The statements, opinions and data contained in all publications are solely those of the individual author(s) and contributor(s) and not of MDPI and/or the editor(s). MDPI and/or the editor(s) disclaim responsibility for any injury to people or property resulting from any ideas, methods, instructions or products referred to in the content. |
© 2023 by the authors. Licensee MDPI, Basel, Switzerland. This article is an open access article distributed under the terms and conditions of the Creative Commons Attribution (CC BY) license (https://creativecommons.org/licenses/by/4.0/).
Share and Cite
Zhao, T.; Chi, Y. Circuit of Quantum Fractional Fourier Transform. Fractal Fract. 2023, 7, 743. https://doi.org/10.3390/fractalfract7100743
Zhao T, Chi Y. Circuit of Quantum Fractional Fourier Transform. Fractal and Fractional. 2023; 7(10):743. https://doi.org/10.3390/fractalfract7100743
Chicago/Turabian StyleZhao, Tieyu, and Yingying Chi. 2023. "Circuit of Quantum Fractional Fourier Transform" Fractal and Fractional 7, no. 10: 743. https://doi.org/10.3390/fractalfract7100743
APA StyleZhao, T., & Chi, Y. (2023). Circuit of Quantum Fractional Fourier Transform. Fractal and Fractional, 7(10), 743. https://doi.org/10.3390/fractalfract7100743

