Design of a Modified MIMO Antenna Based on Tweaked Spherical Fractal Geometry for 5G New Radio (NR) Band N258 (24.25–27.25 GHz) Applications
Abstract
:1. Introduction
2. Antenna Design
2.1. Single Antenna Design Evolution Steps
2.2. Two-Element MIMO Antenna Design
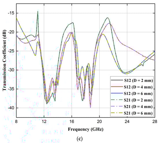
2.2.1. Distance Optimization
2.2.2. Analysis of Orientation
2.2.3. Analysis of MIMO Antenna with Defective Ground Structure
3. Results and Discussion
3.1. Analysis of Diversity Performance
3.1.1. Envelope Correlation Coefficient
3.1.2. Diversity Gain
3.1.3. Mean Effective Gain
4. Comparison with Prior Research Works
5. Conclusions
Author Contributions
Funding
Data Availability Statement
Acknowledgments
Conflicts of Interest
References
- Benkhadda, O.; Saih, M.; Ahmad, S.; Al-Gburi, A.J.A.; Zakaria, Z.; Chaji, K.; Reha, A. A Miniaturized Tri-Wideband Sierpinski Hexagonal-Shaped Fractal Antenna for Wireless Communication Applications. Fractal Fract. 2023, 7, 115. [Google Scholar] [CrossRef]
- Vallappil, A.K.; Khawaja, B.A.; Rahim, M.K.A.; Uzair, M.; Jamil, M.; Awais, Q. Minkowski–Sierpinski Fractal Structure-Inspired 2 × 2 Antenna Array for Use in Next-Generation Wireless Systems. Fractal Fract. 2023, 7, 158. [Google Scholar] [CrossRef]
- Singh, A.K.; Dwivedi, A.K.; Jha, C.; Singh, S.; Singh, V.; Yadav, R.S. A Compact MIMO Antenna for 5G NR Frequency Bands N257/N258/N261 Under Millimeter-Wave Communication. IETE J. Res. 2022. [Google Scholar] [CrossRef]
- Kumar, S.; Dixit, A.S.; Malekar, R.R.; Raut, H.D.; Shevada, L.K. Fifth Generation Antennas: A Comprehensive Review of Design and Performance Enhancement Techniques. IEEE Access 2020, 8, 163568–163593. [Google Scholar] [CrossRef]
- Hong, W.; Baek, K.H.; Ko, S. Millimeter-Wave 5G Antennas for Smartphones: Overview and Experimental Demonstration. IEEE Trans. Antennas Propag. 2017, 65, 6250–6261. [Google Scholar] [CrossRef]
- Bilal, M.; Naqvi, S.I.; Hussain, N.; Amin, Y.; Kim, N. High-Isolation MIMO Antenna for 5G Millimeter-Wave Communication Systems. Electronics 2022, 11, 962. [Google Scholar] [CrossRef]
- Fatah, S.Y.A.; Hamad, E.K.I.; Swelam, W.; Allam, A.M.M.A.; Mohamed, H.A. Design of Compact 4-Port Mimo Antenna Based on Minkowski Fractal Shape Dgs for 5g Applications. Prog. Electromagn. Res. C 2021, 113, 123–136. [Google Scholar] [CrossRef]
- Abdelaziz, A.; Hamad, E.K.I. Isolation Enhancement of 5G Multiple-Input Multiple-Output Microstrip Patch Antenna Using Metamaterials and the Theory of Characteristic Modes. Int. J. RF Microw. Comput. Eng. 2020, 30, e22416. [Google Scholar] [CrossRef]
- Kumar, N.; Khanna, R. A Two Element MIMO Antenna for Sub-6 GHz and MmWave 5G Systems Using Characteristics Mode Analysis. Microw. Opt. Technol. Lett. 2021, 63, 587–595. [Google Scholar] [CrossRef]
- Kumar, N.; Khanna, R. A Compact Multi-Band Multi-Input Multi-Output Antenna for 4G/5G and IoT Devices Using Theory of Characteristic Modes. Int. J. RF Microw. Comput. Eng. 2020, 30, e22012. [Google Scholar] [CrossRef]
- Dkiouak, A.; Zakriti, A.; El Ouahabi, M. Design of a Compact Dual-Band MIMO Antenna with High Isolation for WLAN and X-Band Satellite by Using Orthogonal Polarization. J. Electromagn. Waves Appl. 2020, 34, 1254–1267. [Google Scholar] [CrossRef]
- Kumar, A.; Ansari, A.Q.; Kanaujia, B.K.; Kishor, J.; Kumar, S. An Ultra-Compact Two-Port UWB-MIMO Antenna with Dual Band-Notched Characteristics. AEU Int. J. Electron. Commun. 2020, 114, 152997. [Google Scholar] [CrossRef]
- Marzouk, H.M.; Ahmed, M.I.; Shaalan, A.A. Novel Dual-Band 28/38 GHz MIMO Antennas for 5g Mobile Applications. Prog. Electromagn. Res. C 2019, 93, 103–117. [Google Scholar] [CrossRef]
- Singh, A.K.; Mahto, S.K.; Sinha, R. A Miniaturized MIMO Antenna for C, X, and Ku Band Applications. Prog. Electromagn. Res. C 2021, 117, 31–40. [Google Scholar] [CrossRef]
- Hussain, N.; Awan, W.A.; Ali, W.; Naqvi, S.I.; Zaidi, A.; Le, T.T. Compact Wideband Patch Antenna and Its MIMO Configuration for 28 GHz Applications. AEU Int. J. Electron. Commun. 2021, 132, 153612. [Google Scholar] [CrossRef]
- Khan, M.K.; Feng, Q.; Zheng, Z. Experimental Investigation and Design of Uwb Mimo Antenna with Enhanced Isolation. Prog. Electromagn. Res. C 2021, 107, 287–297. [Google Scholar] [CrossRef]
- Sabek, A.R.; Ali, W.A.E.; Ibrahim, A.A. Minimally Coupled Two-Element MIMO Antenna with Dual Band (28/38 GHz) for 5G Wireless Communications. J. Infrared Millim. Terahertz Waves 2022, 43, 335–348. [Google Scholar] [CrossRef]
- Sehrai, D.A.; Asif, M.; Khan, J.; Abdullah, M.; Shah, W.A.; Alotaibi, S.; Ullah, N. A High-Gain and Wideband MIMO Antenna for 5G Mm-Wave-Based IoT Communication Networks. Appl. Sci. 2022, 12, 9530. [Google Scholar] [CrossRef]
- Ullah, H.; Rahman, S.U.; Cao, Q.; Khan, I.; Ullah, H. Design of SWB MIMO Antenna with Extremely Wideband Isolation. Electronics 2020, 9, 194. [Google Scholar] [CrossRef]
- Jabeen, S.; Khan, Q.U. An Integrated MIMO Antenna Design for Sub-6 GHz & Millimeter-Wave Applications with High Isolation. AEU Int. J. Electron. Commun. 2022, 153, 154247. [Google Scholar] [CrossRef]
- El-Hassan, M.A.; Farahat, A.E.; Hussein, K.F.A. Quad-Band MIMO Antenna System for 5G Mobile Handsets. Appl. Comput. Electromagn. Soc. J. 2021, 36, 1418–1428. [Google Scholar] [CrossRef]
- Sharawi, M.S.; Podilchak, S.K.; Hussain, M.T.; Antar, Y.M.M. Dielectric Resonator Based MIMO Antenna System Enabling Millimetre-Wave Mobile Devices. IET Microw. Antennas Propag. 2017, 11, 287–293. [Google Scholar] [CrossRef]
- Naga Jyothi Sree, G.; Nelaturi, S. Design and Experimental Verification of Fractal Based MIMO Antenna for Lower Sub 6-GHz 5G Applications. AEU Int. J. Electron. Commun. 2021, 137, 153797. [Google Scholar] [CrossRef]
- Gurjar, R.; Upadhyay, D.K.; Kanaujia, B.K.; Kumar, A. A Compact Modified Sierpinski Carpet Fractal UWB MIMO Antenna with Square-Shaped Funnel-like Ground Stub. AEU Int. J. Electron. Commun. 2020, 117, 153126. [Google Scholar] [CrossRef]
- Sharma, R.; Khanna, R. Geetanjali Compact Sub-6 GHz and MmWave 5G Wideband 2 × 1 MIMO Antenna with High Isolation Using Parasitically Placed Double Negative (DNG) Isolator. Wirel. Pers. Commun. 2022, 122, 2839–2857. [Google Scholar] [CrossRef]
- Al-Bawri, S.S.; Islam, M.T.; Shabbir, T.; Muhammad, G.; Shabiul Islam, M.D.; Wong, H.Y. Hexagonal Shaped near Zero Index (NZI) Metamaterial Based MIMO Antenna for Millimeter-Wave Application. IEEE Access 2020, 8, 181003–181013. [Google Scholar] [CrossRef]
- Abdullah, M.; Li, Q.; Xue, W.; Peng, G.; He, Y.; Chen, X. Isolation Enhancement of MIMO Antennas Using Shorting Pins. J. Electromagn. Waves Appl. 2019, 33, 1249–1263. [Google Scholar] [CrossRef]
- Ali, A.; Munir, M.E.; Marey, M.; Mostafa, H.; Zakaria, Z.; Al-Gburi, A.J.A.; Bhatti, F.A. A Compact MIMO Multiband Antenna for 5G/WLAN/WIFI-6 Devices. Micromachines 2023, 14, 1153. [Google Scholar] [CrossRef]
- Hassan Ghadeer, S.; Kamal Abd Rahim, S.; Alibakhshikenari, M.; Virdee, B.S.; Elwi, T.A.; Iqbal, A.; Al-Hasan, M. An Innovative Fractal Monopole MIMO Antenna for Modern 5G Applications. AEU Int. J. Electron. Commun. 2023, 159, 154480. [Google Scholar] [CrossRef]
- Kumari, T.; Das, G.; Sharma, A.; Gangwar, R.K. Design Approach for Dual Element Hybrid MIMO Antenna Arrangement for Wideband Applications. Int. J. RF Microw. Comput. Eng. 2019, 29, 1–10. [Google Scholar] [CrossRef]
- Naik, M.N.; Virani, H.G. A Compact Four Port MIMO Antenna for Millimeterwave Applications. Bull. Electr. Eng. Inform. 2022, 11, 878–885. [Google Scholar] [CrossRef]























| Radius A1 | Radius A2 | Radius A3 |
|---|---|---|
| N1 = Number of circles = 5^1 | N2 = Number of circles = 5^2 | N3 = Number of circles = 5^3 |
| L1 = Scaling factor L1 = (1/3)^1 = 0.333 | L2 = Scaling factor L2 = (1/3)^2 = 0.111 | L3 = Scaling factor L3 = (1/3)^3 = 0.037 |
| A1 = 0.333 × 9.31 = 3.10 mm | A2 = 0.111 × 9.31 = 1.03 mm | A3 = 0.037 × 9.31 = 0.344 mm |
| Parameters | Values | Parameters | Values |
|---|---|---|---|
| LS | 28.22 mm | FL | 11.007 mm |
| WS | 28.22 mm | FW | 2.99 mm |
| A | 9.31 mm |
| Parameters | Bandwidth (MHz) | fr (GHz) | S11 (dB) |
|---|---|---|---|
| 0th iteration | 400, 5400, 3800 | 9, 18.8, 26.4 | −19.6, −24.2, −23.5 |
| 1st iteration | 1200, 5200, 3800 | 9.3, 21.7, 26.2 | −23.8, −26.2, −23.4 |
| 2nd iteration | 1000, 700, 5500, 3700 | 9.2, 10.6, 18.8, 26.6 | −24.7, −12.1, −24.5, −23.7 |
| 3rd iteration | 1000, 700, 200, 5500, 3800 | 9.2, 10.6, 16.3, 21.5, 26.7 | −26.8, −12.4, −10.8, −28.6, −25.5 |
| Parameters | Bandwidth (MHz) | fr (GHz) | S12 (dB) (Max. Isolation) |
|---|---|---|---|
| D = 2 mm | 3100, 400, 10,000 | 9.2, 16.3, 18.9, 21.3 | −38.9 |
| D = 4 mm | 3100, 600, 10,100 | 9.7, 16.3, 18.8, 21.4 | −40 |
| D = 6 mm | 2800, 600, 9900 | 9.1, 16.5, 18.9, 21 | −38.6 |
| Parameters | Bandwidth (MHz) | fr (GHz) | S12 (dB) (Max. Isolation) |
|---|---|---|---|
| Orientation I | 3100, 600, 10,100 | 9.7, 16.3, 18.8, 21.4 | −40 |
| Orientation II | 3000, 600, 9900 | 10.3, 16.4, 18.8, 21.5 | −38.74 |
| Orientation III | 2700, 9800 | 8.2, 19.2 | −37.21 |
| Parameters | Bandwidth (MHz) | fr (GHz) | S12 (dB) (Max. Isolation) |
|---|---|---|---|
| MIMO | 3100, 600, 10,100 | 9.7, 16.3, 18.8, 21.4 | −40 |
| MIMO DGS | 2200, 400, 9900 | 9.7, 16.3, 18.8, 21.4 | −52.72 |
| Parameters | Value |
|---|---|
| ECC | <0.004 |
| Diversity gain | >9.99 dB |
| Mean effective gain | <1.2 dB |
| Ref | Bandwidth (MHz) | No. of Port | No. of Band | Element Spacing (mm) | Isolation | ECC | Diversity Gain | Range |
|---|---|---|---|---|---|---|---|---|
| [9] | 400, 400, 11,000 | 2 | 3 | - | −32.3, −35.4, −27.23, −28.44 | <0.05 | ---- | Sub 6 GHz and mm Range (5G) |
| [13] | 1069, 1430 | 2 | 2 | 10.13 | −27 | <0.0020 | ---- | mm Range (5G) |
| [15] | 6400 | 2 | 1 | - | −35.8 | <0.005 | >9.99 | mm Range (5G) |
| [16] | 7900 | 2 | 1 | - | <−18 | <0.01 | >9.96 | C Band and X Band |
| [17] | 1900, 5500 | 2 | 2 | 4.3 | <−34, <−22.2 | <0.0001, <0.0002 | >9.99 | mm Range (5G) |
| [18] | 8700 | 2 | 1 | - | < −30 | <0.05 | >9.99 | mm Range (5G) |
| [21] | 500, 1800, 800, 1000 | 4 | 4 | 10 | ---- | <0.06 | >9.99 | mm Range (5G) |
| [22] | 1000 | 2 | 1 | 6 | <−25 | <0.002 | ---- | mm Range (5G) |
| [25] | 821, 1630 | 2 | 2 | 8.8 | <−16 | 0.0002, 0.005 | >9.98 | Sub 6 GHz and mm Range (5G) |
| [26] | 6000 | 2 | 1 | 3 | <−24 | <0.0013 | >9.99 | mm Range (5G) |
| [28] | 200, 600, 1000 | 2 | 3 | 3.3 | >15 | <0.04 | >9.5 | Sub 6 GHz (5G) |
| [29] | 1000, 500, 800 | 4 | 3 | 3.85 | <−20 | <0.01 | 10 | Sub 6 GHz (5G) |
| Proposed | 1000, 1000, 600, 800, 10,300 | 2 | 5 | 4 | −31.4,−22.8, −26.8, −22, −24.4 | <0.004 | >9.99 | X, Ku Band and mm Range (5G) |
Disclaimer/Publisher’s Note: The statements, opinions and data contained in all publications are solely those of the individual author(s) and contributor(s) and not of MDPI and/or the editor(s). MDPI and/or the editor(s) disclaim responsibility for any injury to people or property resulting from any ideas, methods, instructions or products referred to in the content. |
© 2023 by the authors. Licensee MDPI, Basel, Switzerland. This article is an open access article distributed under the terms and conditions of the Creative Commons Attribution (CC BY) license (https://creativecommons.org/licenses/by/4.0/).
Share and Cite
Bisht, N.; Malik, P.K.; Das, S.; Islam, T.; Asha, S.; Alathbah, M. Design of a Modified MIMO Antenna Based on Tweaked Spherical Fractal Geometry for 5G New Radio (NR) Band N258 (24.25–27.25 GHz) Applications. Fractal Fract. 2023, 7, 718. https://doi.org/10.3390/fractalfract7100718
Bisht N, Malik PK, Das S, Islam T, Asha S, Alathbah M. Design of a Modified MIMO Antenna Based on Tweaked Spherical Fractal Geometry for 5G New Radio (NR) Band N258 (24.25–27.25 GHz) Applications. Fractal and Fractional. 2023; 7(10):718. https://doi.org/10.3390/fractalfract7100718
Chicago/Turabian StyleBisht, Nitasha, Praveen Kumar Malik, Sudipta Das, Tanvir Islam, Sivaji Asha, and Moath Alathbah. 2023. "Design of a Modified MIMO Antenna Based on Tweaked Spherical Fractal Geometry for 5G New Radio (NR) Band N258 (24.25–27.25 GHz) Applications" Fractal and Fractional 7, no. 10: 718. https://doi.org/10.3390/fractalfract7100718
APA StyleBisht, N., Malik, P. K., Das, S., Islam, T., Asha, S., & Alathbah, M. (2023). Design of a Modified MIMO Antenna Based on Tweaked Spherical Fractal Geometry for 5G New Radio (NR) Band N258 (24.25–27.25 GHz) Applications. Fractal and Fractional, 7(10), 718. https://doi.org/10.3390/fractalfract7100718

