Proposal of a General Identification Method for Fractional-Order Processes Based on the Process Reaction Curve
Abstract
:1. Introduction
2. Preliminaries and Theoretical Background
3. Fractional First-Order Plus Dead-Time Model Identification
- From the normalized process output (17), , the values of the normalized times {τx1, τx2, τx3} of the three considered points on the process reaction curve are obtained for the different values of α, 0.50 ≤ α ≤ 1.10.
- Data sets {Δ, α}, {α, aα}, and {α, (τx3)1/α} are obtained for the considered set of points (x1-x2-x3%) by using the values of the corresponding normalized times.
- 3.
- By means of a curve-fitting procedure, the values of the parameters {pi, qi} for the rational functions α = f1(Δ), f2(α), and f3(α), respectively, are obtained.
- 4.
- From the rational functions α = f1(Δ), f2(α), and f3(α) obtained in the previous step, the expressions for the FFOPDT model parameters (25) are completed.
- 5.
- Once the numerical values of α, f2, and f3 are determined, the values of the FFOPDT model parameters, θP = {K, T, L, α}, are calculated using expressions (25) and experimental data collected from the process reaction curve, {Δy, Δu, tx1, tx2, tx3}.
3.1. Symmetrical Set of Points (x-50-(100 − x)%)
3.2. Asymmetrical Set of Points (x1-x2-x3%)
- The three sets of points have been chosen with a high x3 value, where x3 = 90 or 95%, because the obtained model fits better the reaction curve, especially in the final part. In this regard, it has been shown in [39] that the step response of the identified models gives a good fit with the process reaction curve for the symmetrical case, particularly in the interval [x-(100 − x)]. Due to the symmetry exhibited by this method, the interval [x-(100 − x)] is larger for lower values of x and, therefore, the step response of these models fits better the process reaction curve, which translates into a lower value in the performance index S for this fractional-order model.
- In general, the selection of x1 affects the accuracy of the model in the initial part and, together with x3, allows better fitting of T parameter.
- With respect to the centroid x2, set #4 has been chosen in order to test the effect of moving the centroid x2, increasing Δx21 and decreasing Δx32, in comparison with the symmetrical set #2. Sets #5 and #6 have been chosen because the effect of moving the centroid x2, while keeping the extreme values x1 and x3, can be observed. In particular, set #5 allows us to analyze the effect of increasing x1, with asymmetric distances Δx21 = 40% and Δx32 = 35%, while set #6 shows the effect of increasing x2, with asymmetric distances Δx21 = 55% and Δx32 = 25%.
4. Simulation Results
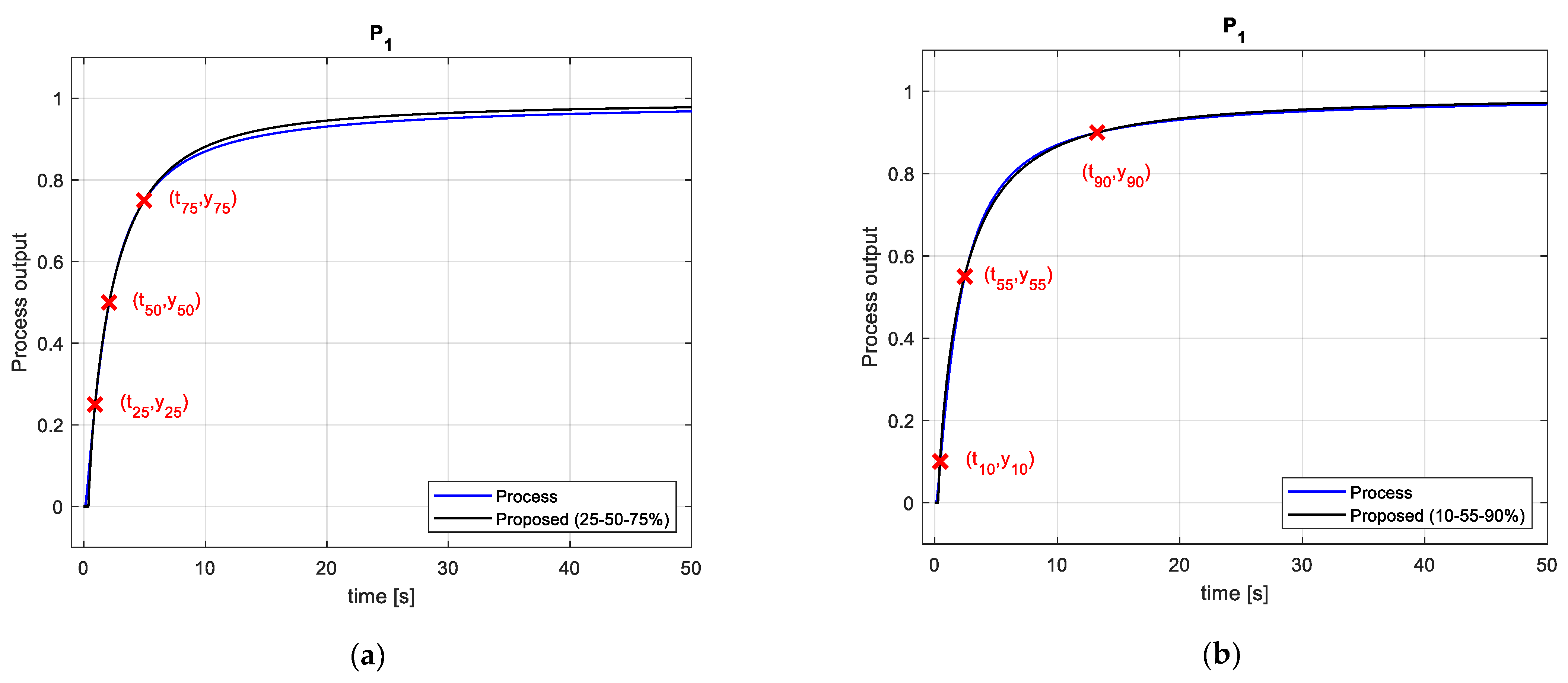
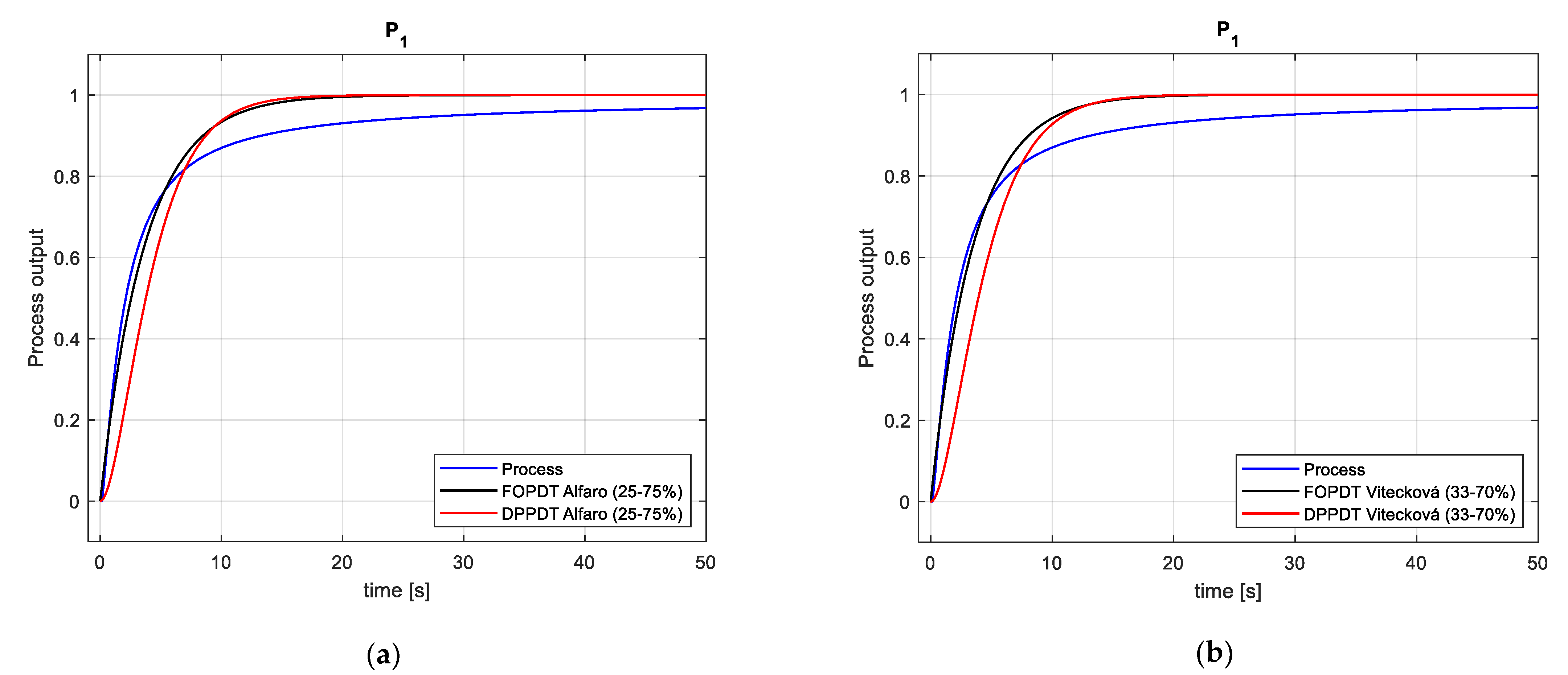
4.1. Example 1
- Methods with low values of x1 for the asymmetrical case, or x in the symmetrical case, allow obtaining low values of S0–50, as can be seen in Figure 13 for methods #1, #2, and #4, compared to #5 and #6, which give worse results in that interval.
- Methods with high values of x3 for the asymmetrical case allow better fitting of the model to the reaction curve in the final part of the response, as verified by the low values of S50–100 for methods #4, #5, and #6. For the symmetrical case, a high value of (100 − x) implies a low value of x, thus better fitting the model to the reaction curve in the initial and final parts of the response, as illustrated by the low values of S0–50 and S50–100, respectively, for methods #1 and #2.
- Comparing methods #2 and #4, it can be seen that the effect of increasing the value of x2, while keeping x1 and x3 constant, is to reduce the value of S as a result of a reduction in the value of S50–100, even though the value of S0–50 is slightly increased.
- Comparing methods #5 and #6, the effect of increasing the value of x2 can also be observed, while keeping x1 and x3 constant. Note that the value of x1 in this case is higher than for methods #2 and #4. The value of S for method #5 is reduced as a result of a very good fit in the interval [50–100%], as shown in Figure 13. The value of S corresponding to method #6 increases substantially due to a poorer fit in the interval [0–50%] despite the good result for S50–100.
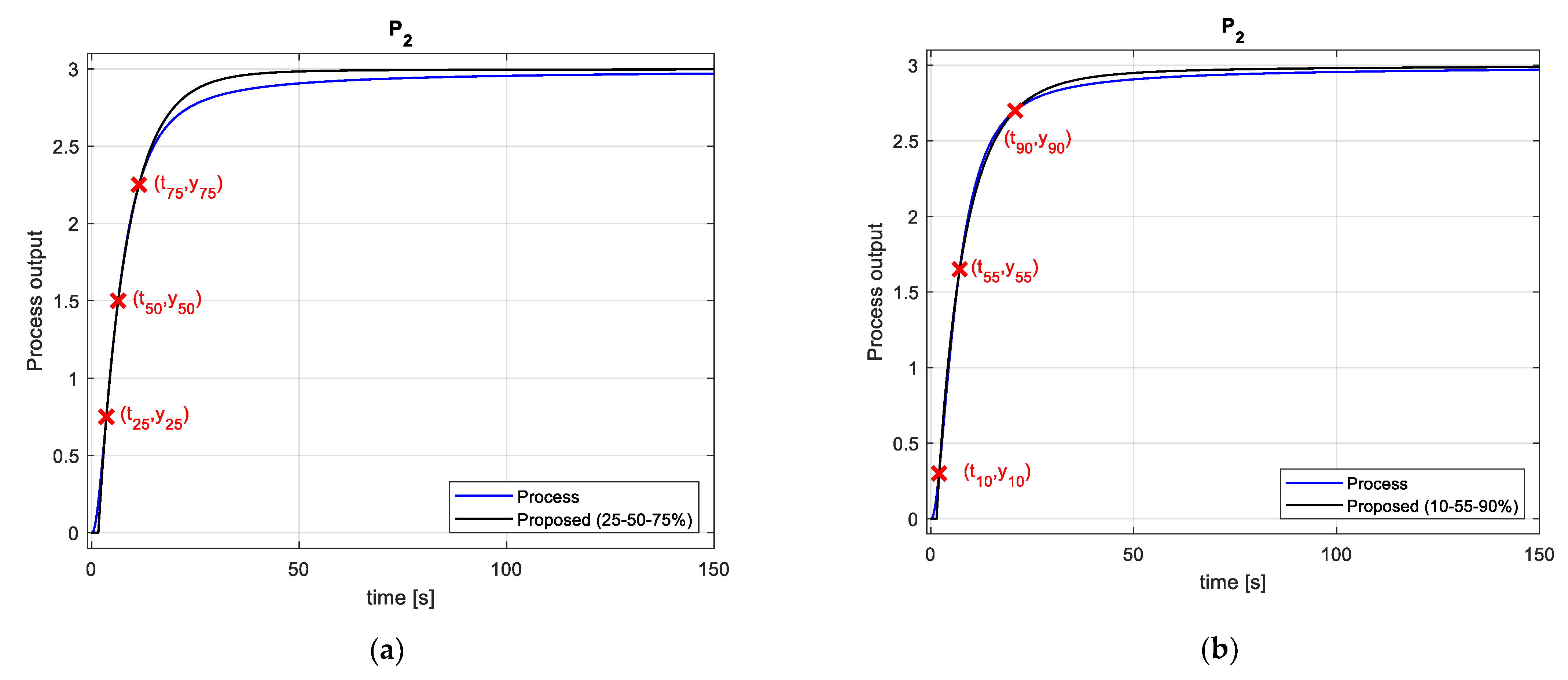
4.2. Example 2
- Methods with low values of x1 for the asymmetrical case, or x in the symmetrical case, present low values of S0–50, as can be seen in Figure 19 for methods #1, #2, and #4.
- Methods with high values of x3 for the asymmetric case present a lower value of S50–100, as can be observed for method #4, and especially for #5 and #6. For the symmetric case, methods #1 and #2, with low values of x and high values of (100 − x), present good values of S0–50 and S50–100, as expected.
- Comparison of methods #2 and #4 yields the same conclusions as for Example 1.
- The observations drawn from Example 1 for the comparison of methods #5 and #6 are also extensible to Example 2.
4.3. Example 3
5. Experimental Results
5.1. Description of the Prototype
- The upper part of the equipment, where there is a methacrylate duct, the head of a 3D-printer extruder, and an air fan in front of the hot end. User LEDs, an LCD display, a user button, and four BNC output connectors to display the main process variables on an oscilloscope, can be found outside of the enclosure.
- The inner part of the enclosure, where the power supply and all the hardware and electrical components necessary for the correct operation of the experimental setup can be found. The connection of the input and output signals to the control hardware has also been arranged through a standard 34-way IDC connector, which is placed on one side of the box.
5.2. Reconfigurable Controlled Process
5.3. Control Hardware
- DAQ mode;
- Microprocessor-based mode;
- FPGA-based mode.
- LabVIEW;
- LabVIEW RT;
- LabVIEW RT and LabVIEW FPGA
5.4. Model Estimation
LabVIEW-Based Implementation
| Algorithm 1. Three-Point Identification Method for FFOPDT Models |
| Input: Selected symmetrical or asymmetrical method and {Δu, Δy, tx1, tx2, tx3} collected from the process reaction curve |
| Output: Fractional-order model parameters θP = {K, T, L, α} |
| 1: Select the corresponding symmetrical or asymmetrical method. |
| 2: Collect process data {Δu, Δy, tx1, tx2, tx3} from the process reaction curve. |
| 3: Obtain the process gain K using (18). |
| 4: Obtain the value of the times ratio Δ by using Equation (21). |
| 5: Obtain the value of α = f1(Δ) by using Equation (27). |
| 6: Obtain the value of functions f2(α) and f3(α) by using Equations (28) and (29), respectively. |
| 7: Calculate the value of T using Equation (22). |
| 8: Calculate the value of L using Equation (23). |
- Selection of the identification procedure, which presents the following options:
- Symmetrical case (x-50-(100−x)%): (5-50-95%), (10-50-90%), or (25-50-75%).
- Asymmetrical case (x1-x2-x3%): (10-55-90%), (20-60-95%), or (20-75-95%).
- Determination of process data {Δu, Δy, tx1, tx2, tx3} from the process reaction curve.
- Estimation of the FFOPDT model parameters: θP = {K, T, L, α}.
- Graphs for registering control signal uH(t) [%], command signal to air fan uF(t) [%], process reaction curve Tm(t) [°C], representative points of the process reaction curve {(tx1, yα(tx1)), (tx2, yα(tx2)), (tx3, yα(tx3))}, and step response of the identified model.
- Export the experimental data in Excel or text-format.
5.5. Remarks and Final Comments
- The first approach is to incorporate the uncertainty explicitly into the model. This typically makes the identification procedure more complicated.
- The second approach consists of taking into account the potential changes in the controlled process dynamics and model uncertainties in the design phase of the controller; see, e.g., [2] for integer-order controllers and [19] for fractional-order controllers. A common application of this second approach is to ensure a certain degree of robustness of the designed control system to guarantee its stability under variations in the process characteristics.
- In the symmetrical case, the set of points in method #1 gives the best results in terms of the performance index E.
- In the asymmetrical case, the set of points in methods #5 and #6 give quite similar results in terms of E, although #6 is slightly better.
6. Conclusions
Author Contributions
Funding
Institutional Review Board Statement
Informed Consent Statement
Data Availability Statement
Acknowledgments
Conflicts of Interest
References
- Franklin, G.F.; Powell, J.D.; Emami-Naeini, E. Feedback Control of Dynamic Systems, 8th ed.; Pearson Education Limited: Harlow, UK, 2019. [Google Scholar]
- Åström, K.J.; Hägglund, T. Advanced PID Control; The Instrumentation, Systems, and Automation Society ISA: Research Triangle Park, NC, USA, 2006. [Google Scholar]
- Åström, K.J.; Hägglund, T. Revisiting the Ziegler–Nichols step response method for PID control. J. Process Control 2004, 14, 635–650. [Google Scholar] [CrossRef]
- Garpinger, O.; Hägglund, T.; Åström, K.J. Performance and robustness trade-offs in PID control. J. Process Control 2014, 24, 568–577. [Google Scholar] [CrossRef]
- Liu, T.; Gao, F. Industrial Process Identification and Control Design. Step-Test and Relay-Experiment-Based Methods; Springer-Verlag London Limited: London, UK, 2012. [Google Scholar]
- Huang, H.P.; Jeng, J.C. Process reaction curve and relay methods identification and PID tuning. In PID Control: New Identification and Design Methods; Johnson, M.A., Moradi, M.H., Eds.; Springer-Verlag London Limited: London, UK, 2005; pp. 297–337. [Google Scholar]
- Ljung, L. Identification for control: Simple process models. In Proceedings of the 41st IEEE Conference on Decision and Control, Las Vegas, NV, USA, 10–13 December 2002. [Google Scholar]
- Tan, K.K.; Wang, Q.G.; Hang, C.C.; Hägglund, T. Advances in PID Control; Springer-Verlag London Limited: London, UK, 1999. [Google Scholar]
- Rangaiah, G.P.; Krishnaswamy, P.R. Estimating second-order dead time parameters from underdamped process transients. Chem. Eng. Sci. 1996, 51, 1149–1155. [Google Scholar] [CrossRef]
- Huang, H.P.; Lee, M.W.; Chen, C.L. A System of Procedures for Identification of Simple Models Using Transient Step Response. Ind. Eng. Chem. Res. 2001, 40, 1903–1915. [Google Scholar] [CrossRef]
- Alfaro, V.M. Low-order models’ identification from the process reaction curve. Cienc. Y Tecnol. 2006, 24, 197–216. [Google Scholar]
- Ho, W.K.; Hang, C.C.; Cao, L.S. Tuning PID controllers based on gain and phase margin specifications. Automatica 1995, 31, 497–502. [Google Scholar] [CrossRef]
- Smith, C.L. Digital Computer Process Control; International Textbook Educational Publishers: Oahu, HI, USA, 1972. [Google Scholar]
- Vitecková, M.; Vitecek, A.; Smutny, L. Simple PI and PID controllers tuning for monotone self-regulation plants. IFAC Proc. Vol. 2000, 33, 259–264. [Google Scholar]
- Jahanmiri, A.H.; Fallahi, H.R. New methods for process identification and design of feedback controllers. Chem. Eng. Res. Des. 1997, 75, 519–522. [Google Scholar] [CrossRef]
- Mollenkamp, R.A. Introduction to Automatic Process Control; Instrument Society of America: Research Triangle Park, NC, USA, 1984. [Google Scholar]
- Rangaiah, G.P.; Krishnaswamy, P.R. Estimating second-order plus dead time model parameters. Ind. Eng. Chem. Res. 1994, 33, 1867–1871. [Google Scholar] [CrossRef]
- Alfaro, V.M.; Vilanova, R. Control of high-order processes: Repeated-pole plus dead-time models’ identification. Int. J. Control 2021. [Google Scholar] [CrossRef]
- Monje, C.A.; Chen, Y.Q.; Vinagre, B.M.; Xue, D.; Feliu-Batlle, V. Fractional-order Systems and Controls. Fundamentals and Applications; Springer-Verlag London Limited: London, UK, 2010. [Google Scholar]
- Tepljakov, A. Fractional-Order Modeling and Control of Dynamic Systems; Springer International Publishing: Berlin/Heidelberg, Germany, 2017. [Google Scholar]
- Tepljakov, A.; Alagoz, B.B.; Yeroglu, C.; Gonzalez, E.A.; HosseinNia, S.H.; Petlenkov, E. FOPID Controllers and Their Industrial Applications: A Survey of Recent Results. IFAC Proc. Vol. 2018, 51, 25–30. [Google Scholar]
- Birs, I.; Muresan, C.I.; Nascu, I.; Ionescu, C.M. A Survey of Recent Advances in Fractional Order Control for Time Delay Systems. IEEE Access 2019, 7, 30951–30965. [Google Scholar] [CrossRef]
- Dastjerdi, A.A.; Vinagre, B.M.; Chen, Y.Q.; HosseinNia, S.H. Linear fractional order controllers: A survey in the frequency domain. Annu. Rev. Control 2019, 47, 51–70. [Google Scholar] [CrossRef]
- Shah, P.; Agashe, S. Review of fractional PID controller. Mechatronics 2016, 38, 29–41. [Google Scholar] [CrossRef]
- Monje, C.A.; Vinagre, B.M.; Feliu, V.; Chen, Y.Q. Tuning and auto-tuning of fractional order controllers for industry applications. Control Eng. Pract. 2008, 16, 798–812. [Google Scholar] [CrossRef]
- Luo, Y.; Chen, Y.Q.; Wang, C.Y.; Pi, Y.G. Tuning fractional order proportional integral controllers for fractional order systems. J. Process Control 2010, 20, 823–831. [Google Scholar] [CrossRef]
- Li, H.; Luo, Y.; Chen, Y.Q. A Fractional Order Proportional and Derivative (FOPD) Motion Controller: Tuning Rule and Experiments. IEEE Trans. Control Syst. Technol. 2010, 18, 516–520. [Google Scholar] [CrossRef]
- Tavakoli-Kakhki, M.; Haeri, H. Fractional order model reduction approach based on retention of the dominant dynamics: Application in IMC based tuning of FOPI and FOPID controllers. ISA Trans. 2011, 50, 432–442. [Google Scholar] [CrossRef]
- Gude, J.J.; Kahoraho, E. Simple tuning rules for fractional PI controllers. In Proceedings of the IEEE 14th Conference on Emerging Technologies & Factory Automation (ETFA 2009), Palma de Mallorca, Spain, 22–25 April 2009. [Google Scholar]
- Gude, J.J.; Kahoraho, E. Modified Ziegler-Nichols method for fractional PI controllers. In Proceedings of the IEEE 15th Conference on Emerging Technologies & Factory Automation (ETFA 2010), Bilbao, Spain, 14–16 September 2010. [Google Scholar]
- Tavakoli-Kakhki, M.; Haeri, M.; Tavazoei, M.S. Simple fractional order model structures and their applications in control system design. Eur. J. Control 2010, 16, 680–694. [Google Scholar] [CrossRef]
- Tavakoli-Kakhki, M.; Tavazoei, M.S. Estimation of the order and parameters of a fractional order model from a noisy step response data. ASME J. Dyn. Sys. Meas. Control 2014, 136, 031020. [Google Scholar] [CrossRef]
- Tavakoli-Kakhki, M.; Tavazoei, M.S.; Mesbahi, A. Parameter and order estimation from noisy step response data. IFAC Proc. Vol. 2013, 46, 492–497. [Google Scholar] [CrossRef]
- Guevara, E.; Meneses, H.; Arrieta, O.; Vilanova, R.; Visioli, A.; Padula, F. Fractional order model identification: Computational optimization. In Proceedings of the IEEE 20th Conference on Emerging Technologies & Factory Automation (ETFA 2015), Luxembourg, 8–11 September 2015. [Google Scholar]
- Malek, H.; Luo, Y.; Chen, Y.Q. Identification and tuning fractional order proportional integral controllers for time delayed systems with a fractional pole. Mechatronics 2013, 23, 746–754. [Google Scholar] [CrossRef]
- Alagoz, B.B.; Tepljakov, A.; Ates, A.; Petlenkov, E.; Yeroglu, C. Time-domain identification of one noninteger order plus time delay models from step response measurements. Int. J. Modeling Simul. Sci. Comput. 2019, 10, 1941011. [Google Scholar] [CrossRef]
- Ahmed, S. Parameter and delay estimation of fractional order models from step response. IFAC Pap. 2015, 48, 942–947. [Google Scholar] [CrossRef]
- Tepljakov, A.; Alagoz, B.B.; Yeroglu, C.; Gonzalez, E.A.; HosseinNia, S.H.; Petlenkov, E.; Ates, A.; Cech, M. Towards industrialization of FOPID controllers: A survey on milestones of fractional-order control and pathways for future developments. IEEE Access 2021, 9, 21016–21042. [Google Scholar] [CrossRef]
- Gude, J.J.; García Bringas, P. Influence of the Selection of Reaction Curve’s Representative Points on the Accuracy of the Identified Fractional-Order Model. J. Math. 2022, 2022, 7185131. [Google Scholar] [CrossRef]
- Podlubny, I. Fractional Differential Equations; Academic Press: San Diego, CA, USA, 1999. [Google Scholar]
- Das, S. Functional Fractional Calculus for System Identification and Controls; Springer: Berlin/Heidelberg, Germany, 2010. [Google Scholar]
- Muresan, C.I.; Ionescu, C.M. Generalization of the FOPDT Model for Identification and Control Purposes. Processes 2020, 8, 682. [Google Scholar] [CrossRef]
- Chen, Y.Q.; Petras, I.; Xue, D. Fractional order control—a tutorial. In Proceedings of the American Control Conference (ACC 2009), St. Louis, MO, USA, 10–12 June 2009. [Google Scholar]
- Xue, D. Fractional-Order Control Systems: Fundamentals and Numerical Implementations; De Gruyter: Berlin, Germany, 2017. [Google Scholar]
- Åström, K.J.; Hägglund, T. Benchmark Systems for PID Control. IFAC Proc. Vol. 2000, 33, 165–166. [Google Scholar] [CrossRef]
- Gude, J.J.; García Bringas, P. A novel control hardware architecture for implementation of fractional-order identification and control algorithms applied to a temperature prototype. IEEE Access 2022. submitted. [Google Scholar]
- Yuan, J.; Ding, Y.; Fei, S.; Chen, Y.Q. Identification and parameter sensitivity analyses of time-delay with single-fractional-pole systems under actuator rate limit effect. Mech. Syst. Signal Process. 2022, 163, 108111. [Google Scholar] [CrossRef]
- Bergman, T.L.; Lavine, A.S.; Incropera, F.P.; DeWitt, D.P. Fundamentals of Heat and Mass Transfer, 8th ed.; Wiley: Hoboken, NJ, USA, 2017. [Google Scholar]
- Skogestad, S. Chemical and Energy Process Engineering, 1st ed.; CRC Press: Boca Raton, FL, USA, 2009. [Google Scholar]
- Gude, J.J.; García Bringas, P. Proposal of a control hardware architecture for implementation of fractional-order controllers. In Proceedings of the 16th International Conference Dynamical Systems Theory and Applications (DSTA 2021), Lodz, Poland, 6–9 December 2021. [Google Scholar]
- Sabatier, J. Modelling fractional behaviours without fractional models. Front. Control Eng. 2021, 2, 716110. [Google Scholar] [CrossRef]
































| α | τ5 [s] | τ10 [s] | τ20 [s] | τ25 [s] | τ50 [s] | τ55 [s] | τ60 [s] | τ75 [s] | τ90 [s] | τ95 [s] |
|---|---|---|---|---|---|---|---|---|---|---|
| 0.5 | 0.0462 | 0.0963 | 0.2113 | 0.2781 | 0.7691 | 0.9216 | 1.1072 | 2.0516 | 5.5556 | 11.3640 |
| 0.6 | 0.0464 | 0.0965 | 0.2101 | 0.2752 | 0.7402 | 0.8810 | 1.0481 | 1.8734 | 4.7612 | 9.3440 |
| 0.7 | 0.0471 | 0.0975 | 0.2107 | 0.2749 | 0.7181 | 0.8470 | 0.9988 | 1.7127 | 3.9916 | 7.4160 |
| 0.8 | 0.0481 | 0.0993 | 0.2131 | 0.2768 | 0.7028 | 0.8220 | 0.9601 | 1.5757 | 3.2873 | 5.5890 |
| 0.9 | 0.0495 | 0.1019 | 0.2172 | 0.2811 | 0.6945 | 0.8060 | 0.9326 | 1.4665 | 2.7112 | 4.0190 |
| 1.0 | 0.0513 | 0.1054 | 0.2232 | 0.2877 | 0.6932 | 0.7990 | 0.9163 | 1.3863 | 2.3026 | 2.9960 |
| 1.1 | 0.0536 | 0.1097 | 0.2309 | 0.2967 | 0.6988 | 0.8000 | 0.9109 | 1.3334 | 2.0419 | 2.4560 |
| Set # | Symmetrical Points | Centroid | Distance from Centroid |
|---|---|---|---|
| 1 | (5-50-95%) | x2 = 50% | Δx21 = Δx32 = 45% |
| 2 | (10-50-90%) | x2 = 50% | Δx21 = Δx32 = 40% |
| 3 | (25-50-75%) | x2 = 50% | Δx21 = Δx32 = 25% |
| (5-50-95%) | (10-50-90%) | (25-50-75%) |
|---|---|---|
| p1 = 0.4259 | p1 = 0.3808 | p1 = 0.2676 |
| p2 = 38.78 | p2 = 13.57 | p2 = 1.756 |
| p3 = 14.34 | p3 = −3.067 | p3 = −2.578 |
| q1 = 45.33 | q1 = 14.69 | q1 = −0.7042 |
| q2 = −27.8 | q2 = −15.9 | q2 = −1.289 |
| (5-50-95%) | (10-50-90%) | (25-50-75%) |
|---|---|---|
| p1 = −0.0337 | p1 = −0.05698 | p1 = −0.3443 |
| p2 = 0.0595 | p2 = 0.1596 | p2 = 0.7806 |
| q1 = −2.328 | q1 = −2.528 | q1 = −3.017 |
| q2 = 1.404 | q2 = 1.753 | q2 = 2.496 |
| (5-50-95%) | (10-50-90%) | (25-50-75%) |
|---|---|---|
| p1 = 10.43 | p1 = 4.518 | p1 = 3.901 |
| p2 = −22.09 | p2 = −8.675 | p2 = −4.833 |
| p3 = 13.14 | p3 = 5.666 | p3 = 4.546 |
| q1 = −0.586 | q1 = −0.3471 | q1 = 2.239 |
| q2 = 0.07943 | q2 = 0.003197 | q2 = −0.6319 |
| Set # | Asymmetrical Points | Centroid | Distance from Centroid |
|---|---|---|---|
| 4 | (10-55-90%) | x2 = 55% | Δx21 = 45%, Δx32 = 35% |
| 5 | (20-60-95%) | x2 = 60% | Δx21 = 40%, Δx32 = 35% |
| 6 | (20-75-95%) | x2 = 75% | Δx21 = 55%, Δx32 = 25% |
| (10-55-90%) | (20-60-95%) | (20-75-95%) |
|---|---|---|
| p1 = 0.3693 | p1 = 0.4165 | p1 = 0.3665 |
| p2 = 9.55 | p2 = 18.5 | p2 = 7.191 |
| p3 = −5.112 | p3 = −15.5 | p3 = −8.393 |
| q1 = 9.53 | q1 = 18.69 | q1 = 5.838 |
| q2 = −11.38 | q2 = −25.6 | q2 = −8.767 |
| (10-55-90%) | (20-60-95%) | (20-75-95%) |
|---|---|---|
| p1 = −0.05698 | p1 = −0.03498 | p1 = −0.03498 |
| p2 = 0.1596 | p2 = 0.05957 | p2 = 0.05957 |
| q1 = −2.528 | q1 = −2.33 | q1 = −2.33 |
| q2 = 1.753 | q2 = 1.398 | q2 = 1.398 |
| (10-55-90%) | (20-60-95%) | (20-75-95%) |
|---|---|---|
| p1 = 4.518 | p1 = 10.43 | p1 = 10.43 |
| p2 = −8.675 | p2 = −22.09 | p2 = −22.09 |
| p3 = 5.666 | p3 = 13.14 | p3 = 13.14 |
| q1 = −0.3471 | q1 = −0.586 | q1 = −0.586 |
| q2 = 0.003197 | q2 = 0.07943 | q2 = 0.07943 |
| Symmetrical Methods | Asymmetrical Methods | ||||
|---|---|---|---|---|---|
| Method #1: (5-50-95%) | Method #2: (10-50-90%) | Method #3: (25-50-75%) | Method #4: (10-55-90%) | Method #5: (20-60-95%) | Method #6: (20-75-95%) |
| Δu = 1.00 | |||||
| Δy = 1.00 | |||||
| t5 = 0.3020 s | t10 = 0.4540 s | t25 = 0.9300 s | t10 = 0.4540 s | t20 = 0.7620 s | t20 = 0.7620 s |
| t50 = 2.0910 s | t50 = 2.0910 s | t50 = 2.0910 s | t55 = 2.4400 s | t60 = 2.8590 s | t75 = 4.9730 s |
| t95 = 29.1410 s | t90 = 13.2640 s | t75 = 4.9730 s | t90 = 13.2640 s | t95 = 29.1410 s | t95 = 29.1410 s |
| Symmetrical Methods | Asymmetrical Methods | ||||
|---|---|---|---|---|---|
| Method #1: (5-50-95%) | Method #2: (10-50-90%) | Method #3: (25-50-75%) | Method #4: (10-55-90%) | Method #5: (20-60-95%) | Method #6: (20-75-95%) |
| K1,1 = 1.0000 | K1,2 = 1.0000 | K1,3 = 1.0000 | K1,4 = 1.0000 | K1,5 = 1.0000 | K1,6 = 1.0000 |
| T1,1 = 2.3137 s | T1,2 = 2.2492 s | T1,3 = 2.1890 s | T1,4 = 2.1963 s | T1,5 = 2.0223 s | T1,6 = 1.8807 s |
| L1,1 = 0.2745 s | L1,2 = 0.2782 s | L1,3 = 0.3901 s | L1,4 = 0.2791 s | L1,5 = 0.3139 s | L1,6 = 0.2921 s |
| α1,1 = 0.7791 | α1,2 = 0.7888 | α1,3 = 0.8088 | α1,4 = 0.7836 | α1,5 = 0.7580 | α1,6 = 0.7463 |
| FOPDT | DPPDT | SOPDT | |||
|---|---|---|---|---|---|
| Alfaro [11] (25–75%) | Vitecková [14] (33–70%) | Alfaro [11] (25–75%) | Vitecková [14] (33–70%) | Stark [16] (15-45-75%) | Jahanmiri–Fallahi [15] (2-70-90%) |
| K = 1.00 | K = 1.00 | K = 1.00 | K = 1.00 | K = 1.0000 | K1,6 = 1.0000 |
| T = 3.68 s | T = 3.51 s | T = 2.24 s | T = 2.33 s | T1 = 3.52 s | T1 = 5.61 s |
| L = 0.00 s | L = 0.00 s | L = 0.00 s | L = 0.00 s | T2 = 0.34 s | T2 = 0.0072 s |
| - | - | - | - | L = 0.00 s | L = 0.20 s |
| i | Method | Set of Points | S0–50 | S50–100 | S0–100 | |
|---|---|---|---|---|---|---|
| 1 | FFOPDT Proposed #1 | (5-50-95%) | 3.07 × 10−4 | 2.24 × 10−5 | 2.48 × 10−5 | 2.4 × 10−3 |
| 2 | FFOPDT Proposed #2 | (10-50-90%) | 4.63 × 10−4 | 1.45 × 10−5 | 1.83 × 10−5 | 3.6 × 10−3 |
| 3 | FFOPDT Proposed #3 | (25-50-75%) | 4.75 × 10−4 | 5.36 × 10−5 | 5.72 × 10−5 | 6.7 × 10−3 |
| 4 | FFOPDT Proposed #4 | (10-55-90%) | 6.86 × 10−4 | 1.09 × 10−5 | 1.65 × 10−5 | 3.2 × 10−3 |
| 5 | FFOPDT Proposed #5 | (20-60-95%) | 1.30 × 10−3 | 3.46 × 10−6 | 1.44 × 10−5 | 1.2 × 10−3 |
| 6 | FFOPDT Proposed #6 | (20-75-95%) | 3.20 × 10−3 | 6.86 × 10−6 | 3.34 × 10−5 | 9.7 × 10−4 |
| 7 | FOPDT Alfaro | (25-75%) | - | - | 7.32 × 10−4 | 2.19 × 10−2 |
| 8 | FOPDT Vitecková | (33-70%) | - | - | 7.54 × 10−4 | 2.20 × 10−2 |
| 9 | DPPDT Alfaro | (25-75%) | - | - | 1.50 × 10−3 | 2.51 × 10−2 |
| 10 | DPPDT Vitecková | (33-70%) | - | - | 1.60 × 10−3 | 2.53 × 10−2 |
| 11 | SOPDT Stark | (15-45-75%) | - | - | 8.26 × 10−4 | 2.26 × 10−2 |
| 12 | SOPDT Jahanmiri–Fallahi | (2-70-90%) | - | - | 1.40 × 10−3 | 2.35 × 10−2 |
| Number of samples | NS1 = 210 | NS2 = 24,791 | NS = NS1 + NS2 = 25,001 | NS = 25,001 | ||
| Interval # | Interval | Method #2: (10-50-90%) | Method #4: (10-55-90%) | NS |
|---|---|---|---|---|
| 1 | [0–10%] | = 2.61 × 10−4 | = 2.64 × 10−4 | 46 |
| 2 | [10–55%] | = 4.31 × 10−4 | = 6.76 × 10−4 | 198 |
| 3 | [55–90%] | = 8.11 × 10−5 | = 4.90 × 10−5 | 1117 |
| 4 | [90–100%] | = 1.14 × 10−5 | = 9.06 × 10−6 | 23,674 |
| - | [0–100%] | = 1.83 × 10−5 | = 1.65 × 10−5 | 25,001 |
| Interval # | Interval | Method #5: (20-60-95%) | Method #6: (20-75-95%) | NS |
|---|---|---|---|---|
| 1 | [0–20%] | = 7.65 × 10−4 | = 1.60 × 10−3 | 77 |
| 2 | [20–50%] | = 1.60 × 10−3 | = 4.10 × 10−3 | 133 |
| 3 | [50–75%] | = 9.31 × 10−5 | = 5.69 × 10−4 | 288 |
| 4 | [75–100%] | = 2.40 × 10−6 | = 2.45 × 10−7 | 24,503 |
| - | [0–100%] | = 1.44 × 10−5 | = 3.34 × 10−5 | 25,001 |
| Symmetrical Methods | Asymmetrical Methods | ||||
|---|---|---|---|---|---|
| Method #1: (5-50-95%) | Method #2: (10-50-90%) | Method #3: (25-50-75%) | Method #4: (10-55-90%) | Method #5: (20-60-95%) | Method #6: (20-75-95%) |
| Δu = 1.00 | |||||
| Δy = 3.00 | |||||
| t5 = 1.4140 s | t10 = 2.0290 s | t25 = 3.5600 s | t10 = 2.0290 s | t20 = 3.0630 s | t20 = 3.0630 s |
| t50 = 6.3850 s | t50 = 6.3850 s | t50 = 6.3850 s | t55 = 7.1044 s | t60 = 7.9180 s | t75 = 11.4060 s |
| t95 = 33.9290 s | t90 = 20.8030 s | t75 = 11.4060 s | t90 = 20.8030 s | t95 = 33.9290 s | t95 = 33.9290 s |
| Symmetrical Methods | Asymmetrical Methods | ||||
|---|---|---|---|---|---|
| Method #1: (5-50-95%) | Method #2: (10-50-90%) | Method #3: (25-50-75%) | Method #4: (10-55-90%) | Method #5: (20-60-95%) | Method #6: (20-75-95%) |
| K2,1 = 3.0000 | K2,2 = 3.0000 | K2,3 = 3.0000 | K2,4 = 3.0000 | K2,5 = 3.0000 | K2,6 = 3.0000 |
| T2,1 = 6.4066 s | T2,2 = 6.6381 s | T2,3 = 6.6817 s | T2,4 = 6.3850 s | T2,5 = 5.1733 s | T2,6 = 4.6914 s |
| L2,1 = 1.2638 s | L2,2 = 1.3955 s | L2,3 = 1.6203 s | L2,4 = 1.4329 s | L2,5 = 2.4042 s | L2,6 = 2.5096 s |
| α2,1 = 0.9189 | α2,2 = 0.9470 | α2,3 = 0.9802 | α2,4 = 0.9391 | α2,5 = 0.8901 | α2,6 = 0.8759 |
| Method #7: FFOPDT Tavakoli-Kakhki [31] | Method #8: FFOPDT Guevara et al. [34] | Method #9: FOPDT optimal |
|---|---|---|
| K2,7 = 3.00 | K2,8 = 3.0000 | K2,9 = 3.0000 |
| T2,7 = 6.30 s | T2,8 = 5.6285 s | T2,9 = 8.7412 s |
| L2,7 = 1.00 s | L2,8 = 1.8833 s | L2,9 = 0.0000 s |
| α2,7 = 0.92 | α2,8 = 0.9263 | - |
| i | Method | Set of Points | S0–50 | S50–100 | S0–100 | |
|---|---|---|---|---|---|---|
| 1 | FFOPDT Proposed #1 | (5-50-95%) | 5.80 × 10−3 | 8.78 × 10−4 | 1.10 × 10−3 | 2.40 × 10−2 |
| 2 | FFOPDT Proposed #2 | (10-50-90%) | 2.80 × 10−3 | 1.20 × 10−3 | 1.30 × 10−3 | 3.34 × 10−2 |
| 3 | FFOPDT Proposed #3 | (25-50-75%) | 4.40 × 10−3 | 3.33 × 10−3 | 3.30 × 10−3 | 5.14 × 10−2 |
| 4 | FFOPDT Proposed #4 | (10-55-90%) | 3.80 × 10−3 | 9.58 × 10−4 | 1.10 × 10−3 | 3.02 × 10−2 |
| 5 | FFOPDT Proposed #5 | (20-60-95%) | 2.78 × 10−2 | 4.53 × 10−4 | 1.60 × 10−3 | 1.92 × 10−2 |
| 6 | FFOPDT Proposed #6 | (20-75-95%) | 2.88 × 10−2 | 1.01 × 10−4 | 1.30 × 10−3 | 1.24 × 10−2 |
| 7 | FFOPDT Tavakoli-Kakhki [31] | - | 2.02 × 10−2 | 5.25 × 10−4 | 1.40 × 10−3 | 2.47 × 10−2 |
| 8 | FFOPDT Guevara et al. [34] | - | 8.30 × 10−3 | 8.23 × 10−4 | 1.10 × 10−3 | 2.82 × 10−2 |
| 9 | FOPDT optimal | - | 4.55 × 10−2 | 9.07 × 10−4 | 2.80 × 10−3 | 2.95 × 10−2 |
| Number of samples | NS1 = 639 | NS2 = 14362 | NS = NS1 + NS2 = 15,001 | NS = 15,001 | ||
| Interval # | Interval | Method #1: (5-50-95%) | Method #4: (10-55-90%) | Method #7 | NS |
|---|---|---|---|---|---|
| 1 | [0–10%] | = 2.80 × 10−3 | = 5.70 × 10−3 | = 4.80 × 10−3 | 203 |
| 2 | [10–50%] | = 7.20 × 10−3 | = 2.90 × 10−3 | = 2.73 × 10−2 | 436 |
| 3 | [50–90%] | = 6.10 × 10−3 | = 1.30 × 10−3 | = 2.30 × 10−3 | 1442 |
| 4 | [90–100%] | = 3.00 × 10−4 | = 9.25 × 10−5 | = 3.26 × 10−4 | 12,920 |
| - | [0–100%] | = 1.10 × 10−3 | = 1.10 × 10−3 | = 1.40 × 10−3 | 15,001 |
| Method #1: (5-50-95%) | Method #2: (10-50-90%) | Method #3: (25-50-75%) | Method #4: (10-55-90%) | Method #5: (20-60-95%) | Method #6: (20-75-95%) | #7: FFOPDT Optimal | #8: FOPDT Optimal |
|---|---|---|---|---|---|---|---|
| K3,1 = 1.00 | K3,2 = 1.00 | K3,3 = 1.00 | K3,4 = 1.00 | K3,5 = 1.00 | K3,6 = 1.00 | K3,7 = 1.02 | K3,8 = 0.91 |
| T3,1 = 1.26 s | T3,2 = 1.26 s | T3,3 = 1.22 s | T3,4 = 1.22 s | T3,5 = 1.13 s | T3,6 = 1.08 s | T3,7 = 1.23 s | T3,8 = 2.24 s |
| L3,1 = 0.00 s | L3,2 = 0.60 s | L3,3 = 0.22 s | L3,4 = 0.67 s | L3,5 = 0.00 s | L3,6 = 0.00 s | L3,7 = 0.0001 s | L3,8 = 0.00 s |
| α3,1 = 0.5368 | α3,2 = 0.5459 | α3,3 = 0.5598 | α3,4 = 0.5401 | α3,5 = 0.5206 | α3,1 = 0.5140 | α3,7 = 0.5000 | - |
| i | Method | Set of Points | ||
|---|---|---|---|---|
| 1 | FFOPDT Proposed #1 | (5-50-95%) | 1.00 × 10−4 | 3.00 × 10−3 |
| 2 | FFOPDT Proposed #2 | (10-50-90%) | 3.60 × 10−4 | 5.70 × 10−3 |
| 3 | FFOPDT Proposed #3 | (25-50-75%) | 8.97 × 10−5 | 8.90 × 10−3 |
| 4 | FFOPDT Proposed #4 | (10-55-90%) | 4.19 × 10−4 | 5.40 × 10−3 |
| 5 | FFOPDT Proposed #5 | (20-60-95%) | 1.41 × 10−4 | 2.00 × 10−3 |
| 6 | FFOPDT Proposed #6 | (20-75-95%) | 1.73 × 10−4 | 2.50 × 10−3 |
| 7 | FFOPDT optimal | - | 1.47 × 10−4 | 6.40 × 10−3 |
| 8 | FOPDT optimal | - | 1.40 × 10−3 | 3.08 × 10−2 |
| Number of samples | NS = 15,001 | NS = 15,001 | ||
| Process Variables or Components | Controlled Process Configuration #1 |
|---|---|
| Controlled variable | Temperature in the heat block T(t) [°C] |
| Manipulated variable | Power delivered to the heat block by the heating resistance P(t) [W] |
| Measured variables | Temperature measured by the thermistor Tm(t) [V] Rotational speed of fan ωF(t) [V] |
| Control signal | Output of the controller uH(t) [%] |
| Final control element | Heating resistance |
| Measurement devices | Temperature transmitter (TT) and Frequency transmitter (ST) |
| Disturbances | Ambient temperature Ta(t) [°C] and command signal to air fan uF(t) [%] |
| Symmetrical | Asymmetrical |
|---|---|
| Method #2: (10-50-90%) | Method #4: (10-55-90%) |
| Δu = ΔuH = 30% | |
| Δy = ΔTm = 42 °C | |
| t10 = 16.8000 s | |
| t50 = 53.3000 s | t55 = 59.9000 s |
| t90 = 174.5000 s | |
| Method #2 (10-50-90%) | Method #4 (10-55-90%) | FOPDT [11] (25–75%) | FOPDT [14] (33–70%) | SOPDT [16] (15-45-75%) | SOPDT [15] (2-70-90%) |
|---|---|---|---|---|---|
| K4,1 = 1.40 °C/% | K4,2 = 1.40 °C/% | K4,3 = 1.40 °C/% | K4,4 = 1.40 °C/% | K4,5 = 1.40 °C/% | K4,6 = 1.40 °C/% |
| T4,1 = 49.52 s | T4,2 = 48.43 s | T4,3 = 64.26 s | T3,4 = 63.37 s | T4a,5 = 59.92 s | T3,4 = 70.92 s |
| L4,1 = 11.51 s | L4,2 = 11.64 s | L4,3 = 10.20 s | L3,4 = 10.25 s | T4b,5 = 13.68 s | T3,4 = 0.092 s |
| α4,1 = 0.9462 | α4,2 = 0.9430 | - | - | L4,5 = 0.00 s | L4,6 = 9.10 s |
| i | Identification Method | Set of Points | ||
|---|---|---|---|---|
| 1 | FFOPDT Proposed method #2 | (10-50-90%) | 7.59 × 10−5 | 6.90 × 10−3 |
| 2 | FFOPDT Proposed method #4 | (10-55-90%) | 6.62 × 10−5 | 6.00 × 10−3 |
| 3 | FOPDT Alfaro | (25-75%) | 7.69 × 10−4 | 2.50 × 10−2 |
| 4 | FOPDT Vitecková | (33-70%) | 8.47 × 10−4 | 2.59 × 10−2 |
| 5 | SOPDT Stark | (15-45-75%) | 1.20 × 10−3 | 3.20 × 10−2 |
| 6 | SOPDT Jahanmiri and Fallahi | (2-70-90%) | 8.35 × 10−4 | 2.51 × 10−2 |
| Number of samples | NS = 4001 | NS = 4001 | ||
Publisher’s Note: MDPI stays neutral with regard to jurisdictional claims in published maps and institutional affiliations. |
© 2022 by the authors. Licensee MDPI, Basel, Switzerland. This article is an open access article distributed under the terms and conditions of the Creative Commons Attribution (CC BY) license (https://creativecommons.org/licenses/by/4.0/).
Share and Cite
Gude, J.J.; García Bringas, P. Proposal of a General Identification Method for Fractional-Order Processes Based on the Process Reaction Curve. Fractal Fract. 2022, 6, 526. https://doi.org/10.3390/fractalfract6090526
Gude JJ, García Bringas P. Proposal of a General Identification Method for Fractional-Order Processes Based on the Process Reaction Curve. Fractal and Fractional. 2022; 6(9):526. https://doi.org/10.3390/fractalfract6090526
Chicago/Turabian StyleGude, Juan J., and Pablo García Bringas. 2022. "Proposal of a General Identification Method for Fractional-Order Processes Based on the Process Reaction Curve" Fractal and Fractional 6, no. 9: 526. https://doi.org/10.3390/fractalfract6090526
APA StyleGude, J. J., & García Bringas, P. (2022). Proposal of a General Identification Method for Fractional-Order Processes Based on the Process Reaction Curve. Fractal and Fractional, 6(9), 526. https://doi.org/10.3390/fractalfract6090526

