Finite Element Approximations to Caputo–Hadamard Time-Fractional Diffusion Equation with Application in Parameter Identification
Abstract
:1. Introduction
2. Preliminaries
3. Analysis of a Finite Element Scheme
3.1. Analysis of Truncation Errors
3.2. Analysis of the Finite Element Method
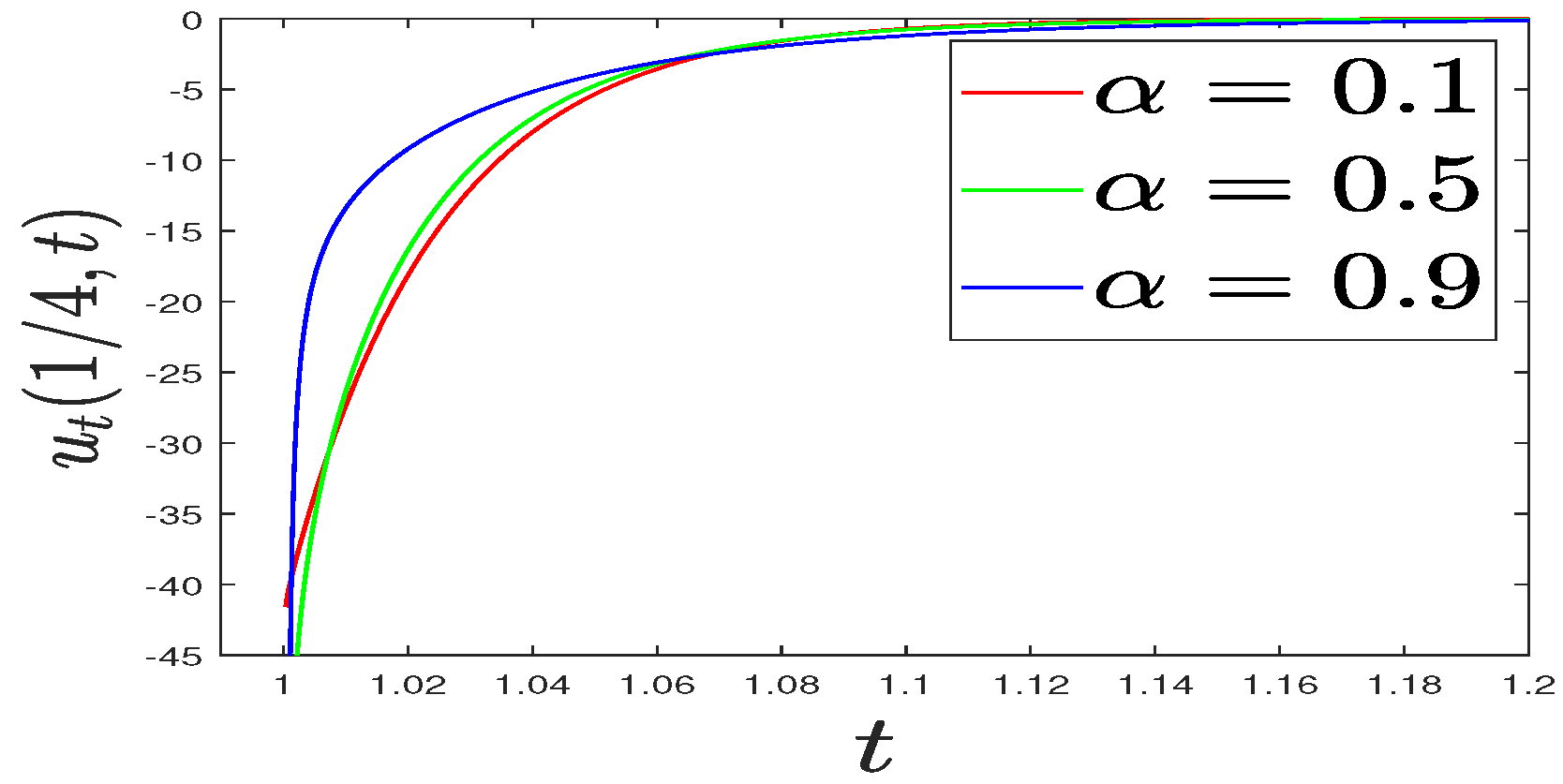
3.3. Numerical Experiments of the Finite Element Method
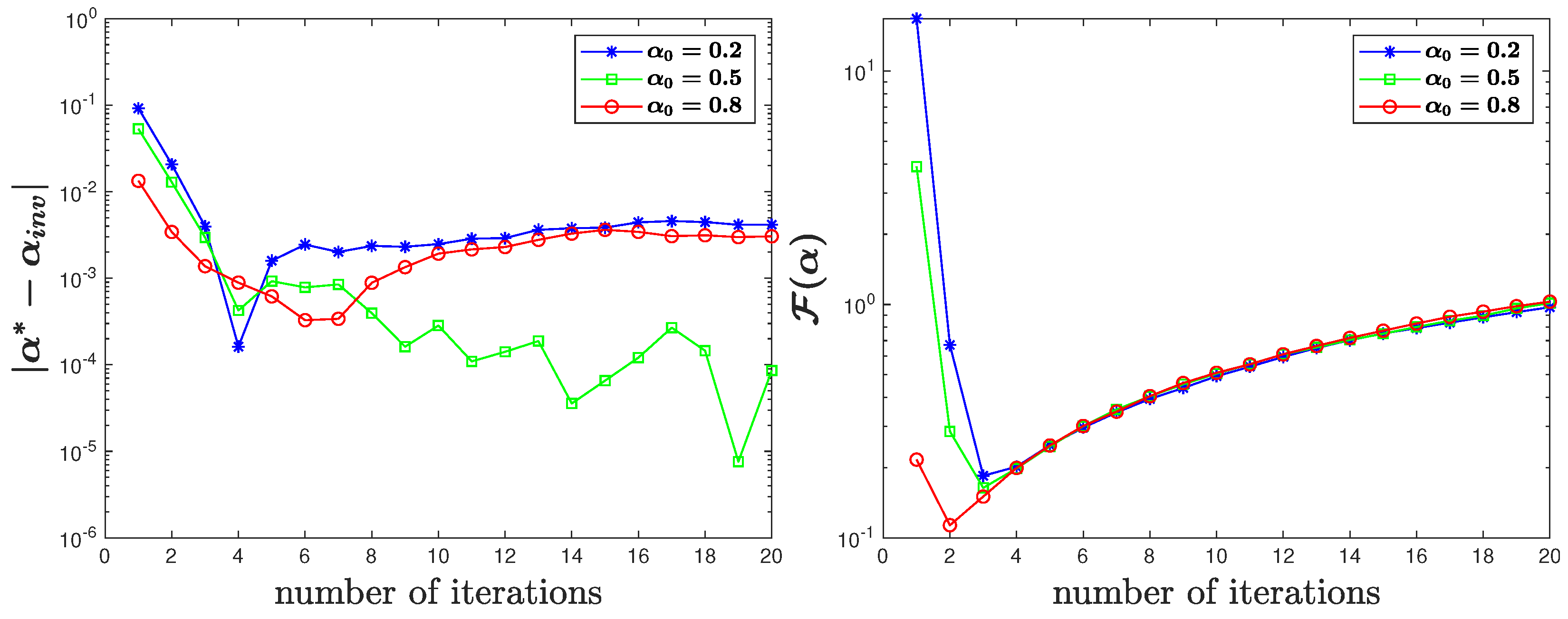
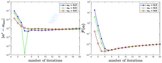
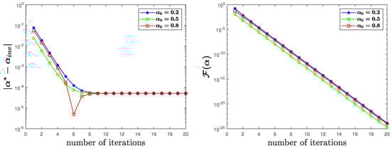
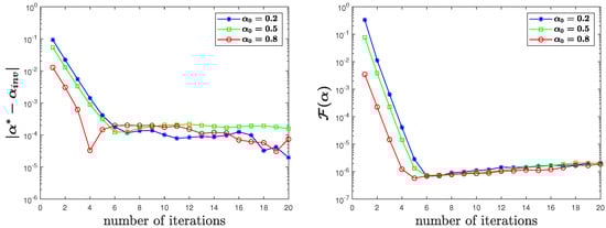
4. An Inversion Algorithm to Evaluate the Fractional Order
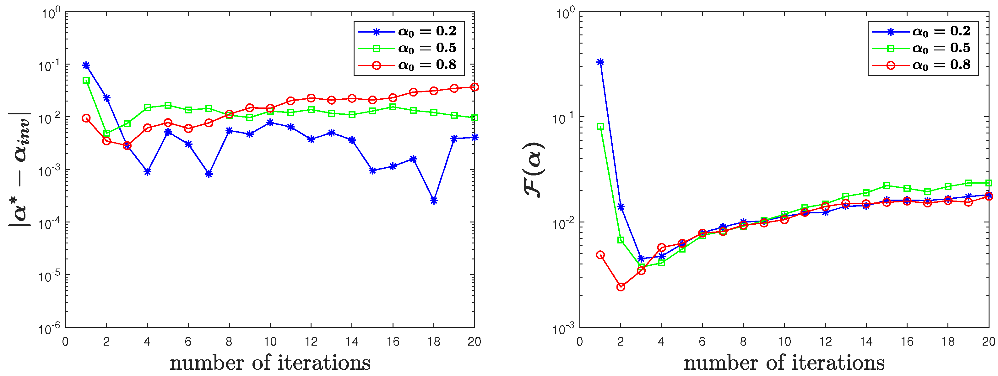
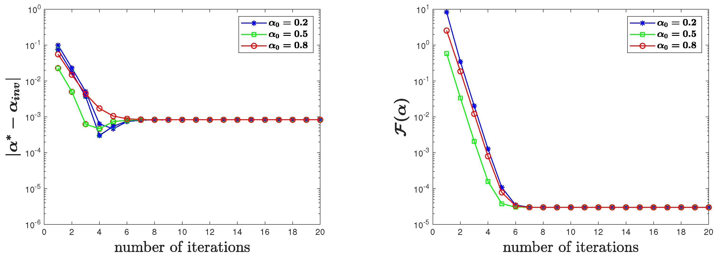
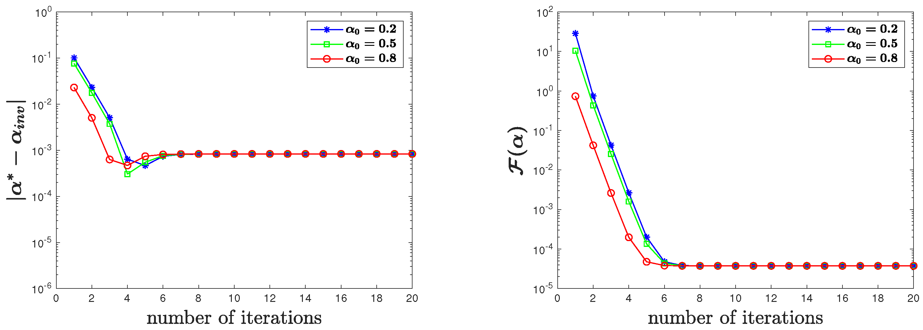
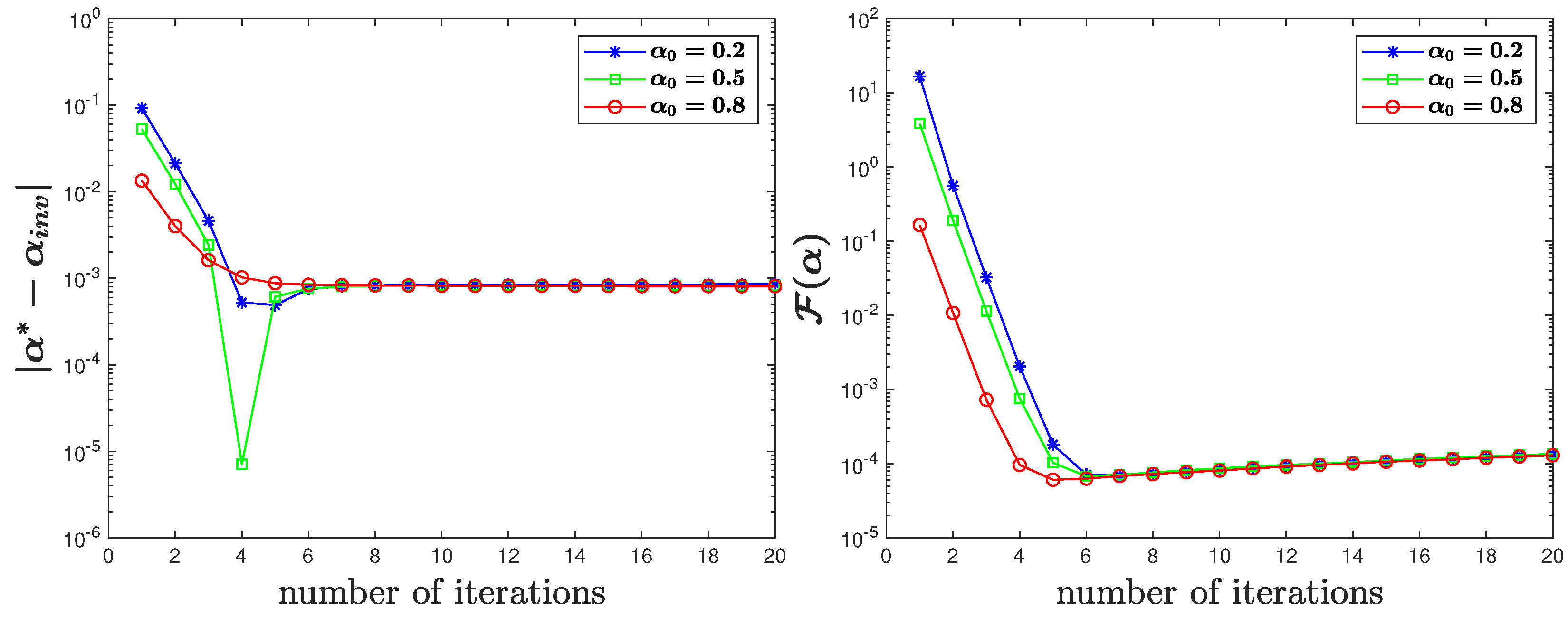
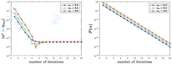
4.1. L–M Regularization Method
| Algorithm 1:(A Levenberg–Marquardt Algorithm): Given the initial data, the boundary information and the observation data . |
|
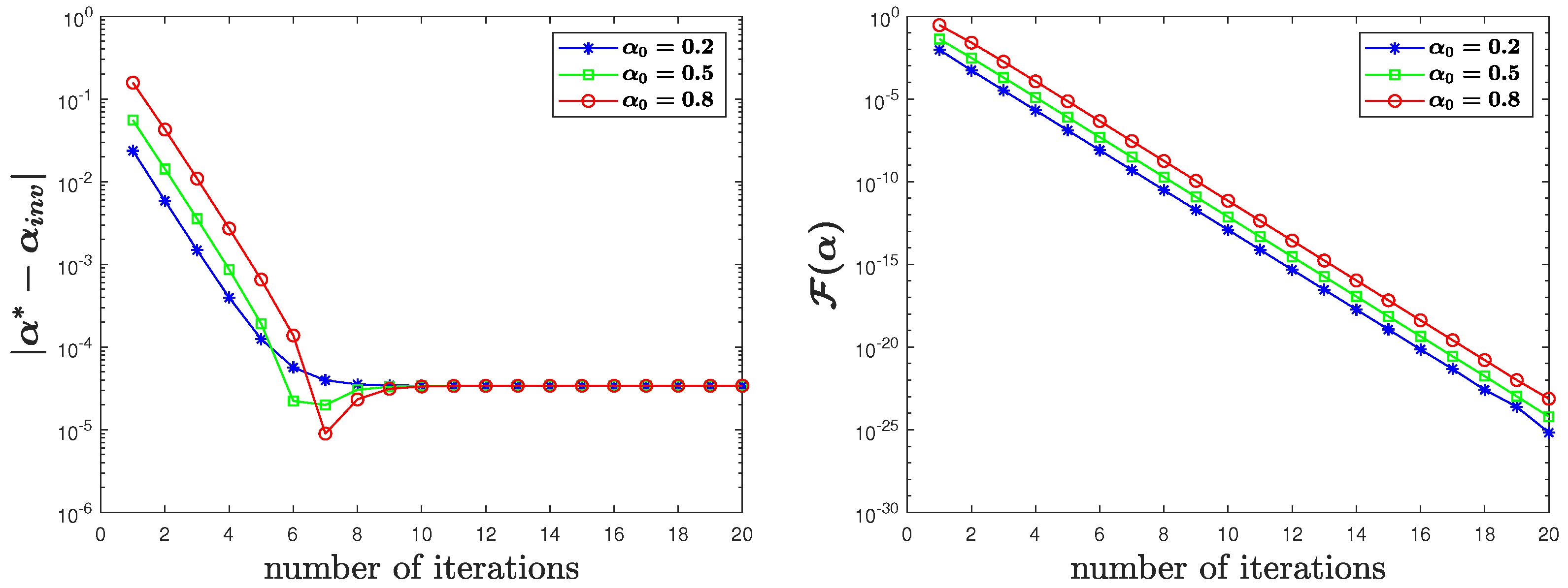
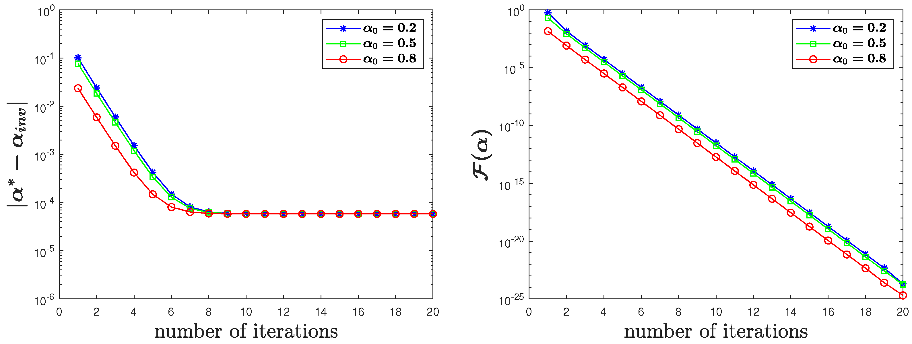
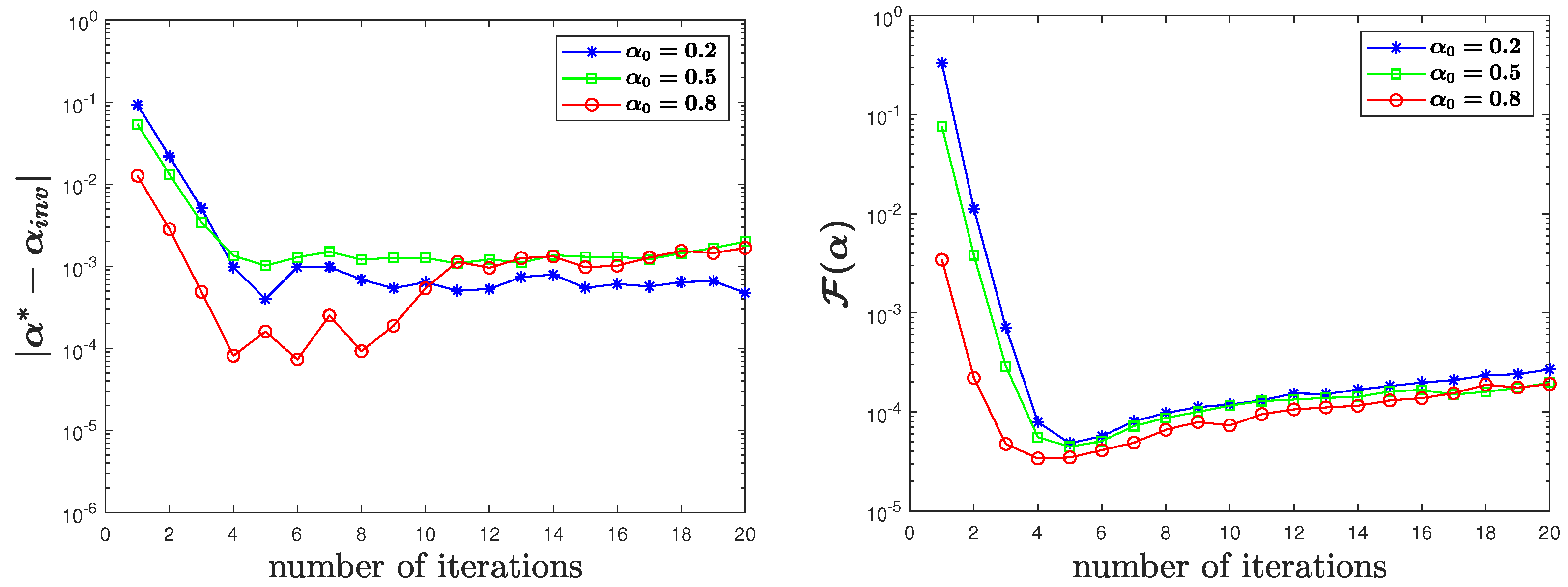
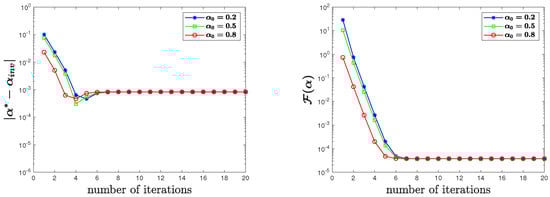
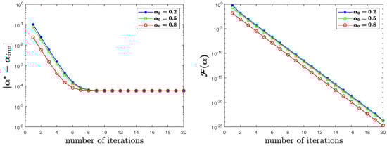
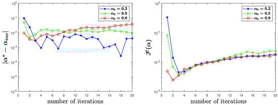
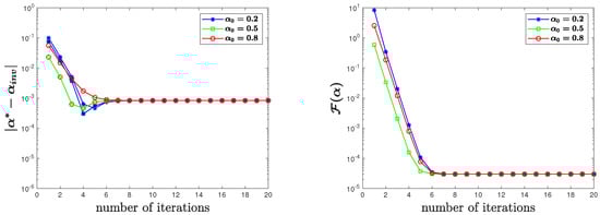
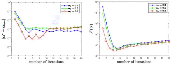
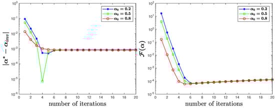
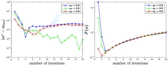
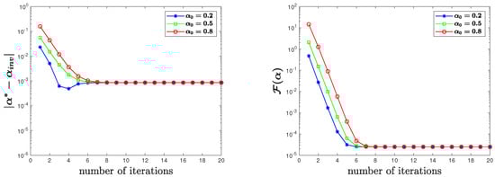
4.2. Numerical Experiment of the Finite Element Levenberg–Marquardt Method
5. Conclusions
Author Contributions
Funding
Data Availability Statement
Acknowledgments
Conflicts of Interest
References
- Atangana, A. On the stability and convergence of the time-fractional variable order telegraph equation. J. Comput. Phys. 2015, 293, 104–114. [Google Scholar] [CrossRef]
- Bai, X.; Rui, H. A second-order space-time accurate scheme for Maxwell’s equations in a Cole–Cole dispersive medium. Eng. Comput. 2022, 1, 1–20. [Google Scholar] [CrossRef]
- Bai, X.; Huang, J.; Rui, H.; Wang, S. Numerical simulation for 2D/3D time fractional Maxwell’s system based on a fast second-order FDTD algorithm. J. Comput. Appl. Math. 2022, 416, 114590. [Google Scholar] [CrossRef]
- Ma, J.; Gao, F.; Du, N. Stabilizer-free weak Galerkin finite element method with second-order accuracy in time for the time fractional diffusion equation. J. Comput. Appl. Math. 2022, 414, 114407. [Google Scholar] [CrossRef]
- Gu, X.; Sun, H.; Zhao, Y.; Zheng, X. An implicit difference scheme for time-fractional diffusion equations with a time-invariant type variable order. Appl. Math. Lett. 2021, 120, 107270. [Google Scholar] [CrossRef]
- Gu, X.; Wu, S. A parallel-in-time iterative algorithm for Volterra partial integro-differential problems with weakly singular kernel. J. Comput. Phys. 2020, 417, 109576. [Google Scholar] [CrossRef]
- Jia, J.; Wang, H. A preconditioned fast finite volume scheme for a fractional differential equation discretized on a locally refined composite mesh. J. Comput. Phys. 2015, 299, 842–862. [Google Scholar] [CrossRef]
- Jia, J.; Wang, H. A fast finite volume method on locally refined meshes for fractional diffusion equations. East Asian J. Appl. Math. 2019, 9, 755–779. [Google Scholar]
- Liu, Z.; Li, X.; Zhang, X. A fast high-order compact difference method for the fractal mobile/immobile transport equation. Int. J. Comput. Math. 2020, 97, 1860–1883. [Google Scholar] [CrossRef]
- Luchko, Y. Initial-boundary-value problems for the one-dimensional time-fractional diffusion equation. Fract. Calc. Appl. Anal. 2012, 15, 141–160. [Google Scholar] [CrossRef]
- Metzler, R.; Klafter, J. The random walk’s guide to anomalous diffusion: A fractional dynamics approach. Phys. Rep. 2000, 339, 1–77. [Google Scholar] [CrossRef]
- Schumer, R.; Benson, D.A.; Meerschaert, M.M.; Baeumer, B. Fractal mobile/immobile solute transport. Water Resour. Res. 2003, 39, 1–12. [Google Scholar] [CrossRef]
- Zheng, X.; Wang, H. An error estimate of a numerical approximation to a hidden-Memory variable-order space-time fractional diffusion equation. SIAM J. Numer. Anal. 2020, 58, 2492–2514. [Google Scholar] [CrossRef]
- Zheng, X.; Wang, H. A hidden-memory variable-order fractional optimal control model: Analysis and approximation. SIAM J. Control Optim. 2021, 59, 1851–1880. [Google Scholar] [CrossRef]
- Zheng, X. Logarithmic transformation between (variable-order) Caputo and Caputo-Hadamard fractional problems and applications. Appl. Math. Lett. 2021, 121, 107366. [Google Scholar] [CrossRef]
- Zheng, X.; Wang, H. Optimal-order error estimates of finite element approximations to variable-order time-fractional diffusion equations without regularity assumptions of the true solutions. IMA J. Numer. Anal. 2021, 41, 1522–1545. [Google Scholar] [CrossRef]
- Yang, Z.; Zheng, X.; Wang, H. A variably distributed-order time-fractional diffusion equation: Analysis and approximation. Comput. Methods Appl. Mech. Eng. 2020, 367, 113118. [Google Scholar] [CrossRef]
- Kilbas, A.A.; Srivastava, H.M.; Trujillo, J.J. Theory and Applications of Fractional Differential Equations; Elsevier: Amsterdam, The Netherlands, 2006; Volume 204. [Google Scholar]
- Ma, L.; Li, C. On Hadamard fractional calculus. Fractals 2017, 25, 1750033. [Google Scholar] [CrossRef]
- Hadamard, J. Essai sur l’étude des fonctions, données par leure développement de Taylor. J. Pure Appl. Math. 1892, 4, 101–186. [Google Scholar]
- Denisov, S.I.; Kantz, H. Continuous-time random walk theory of superslow diffusion. Europhys. Lett. 2010, 92, 30001. [Google Scholar] [CrossRef]
- Dräger, J.; Klafter, J. Strong anomaly in diffusion generated by iterated maps. Phys. Rev. Lett. 2000, 84, 5998. [Google Scholar] [CrossRef] [PubMed]
- Yang, Z.; Zheng, X.; Wang, H. Well-posedness and regularity of Caputo—Hadamard fractional stochastic differential equations. Z. Angew. Math. Phys. 2021, 72, 141. [Google Scholar] [CrossRef]
- Adams, R.A.; Fournier, J.J.F. Sobolev Spaces; Elsevier: San Diego, CA, USA, 2003. [Google Scholar]
- Bennett, C.; Sharpley, R.C. Interpolation of Operators; Academic Press: Orlando, FL, USA, 1988. [Google Scholar]
- Evans, L.C. Partial Differential Equations; Graduate Studies in Mathematics, V 19; American Mathematical Society: Providence, RI, USA, 1998. [Google Scholar]
- Servadei, R.; Valdinoci, E. On the spectrum of two different fractional operators. Proc. R. Soc. Edinb. Sect. A. 2014, 144, 831–855. [Google Scholar] [CrossRef]
- Sakamoto, K.; Yamamoto, M. Initial value/boundary value problems for fractional diffusion-wave equations and applications to some inverse problems. J. Math. Anal. Appl. 2011, 382, 426–447. [Google Scholar] [CrossRef]
- Yang, Z.; Zheng, X.; Wang, H. Well-posedness and regularity of Caputo-Hadamard time-fractional diffusion equations. Fractals 2022, 30, 2250005. [Google Scholar] [CrossRef]
- Li, C.; Li, Z.; Wang, Z. Mathematical analysis and the local discontinuous Galerkin method for Caputo—Hadamard fractional partial differential equation. J. Sci. Comput. 2020, 85, 1–27. [Google Scholar] [CrossRef]
- Wheeler, M.F. A priori L2 error estimates for Galerkin approximations to parabolic partial differential equations. SIAM Numer Anal. 1973, 10, 723–759. [Google Scholar] [CrossRef]













| 32 | 4.61 | 2.12 | 8.64 | |||
| 64 | 2.27 | 1.02 | 1.11 | 0.94 | 4.19 | 1.04 |
| 128 | 1.13 | 1.01 | 5.79 | 0.94 | 2.07 | 1.02 |
| 256 | 5.64 | 1.00 | 2.97 | 0.97 | 1.03 | 1.01 |
| 8 | 7.54 | 1.55 | 2.00 | |||
| 16 | 1.93 | 1.97 | 2.69 | 1.97 | 5.11 | 1.97 |
| 32 | 4.85 | 1.99 | 6.77 | 1.99 | 1.28 | 2.00 |
| 64 | 1.22 | 2.00 | 1.69 | 2.00 | 3.10 | 2.04 |
| Iter. | ||||
|---|---|---|---|---|
| 2.9997 | 3.4048 | 11 | ||
| 2.9997 | 3.3971 | 11 | ||
| 2.9997 | 3.3984 | 12 | ||
| 5.9995 | 5.1359 | 12 | ||
| 5.9995 | 5.1364 | 11 | ||
| 5.9995 | 5.1287 | 11 | ||
| 8.9994 | 5.8136 | 12 | ||
| 8.9994 | 5.8134 | 12 | ||
| 8.9994 | 5.8135 | 11 |
| Iter. | ||||
|---|---|---|---|---|
| 7.4999 | 1.1803 | 12 | ||
| 7.4992 | 7.6152 | 12 | ||
| 7.4967 | 3.3354 | 12 | ||
| 7.5078 | 7.8329 | 12 | ||
| 7.5104 | 1.0446 | 12 | ||
| 7.5257 | 2.5709 | 12 | ||
| 1 | 7.3639 | 1.3607 | 12 | |
| 7.4047 | 9.5338 | 12 | ||
| 7.4961 | 3.9271 | 12 |
| Iter. | ||||
|---|---|---|---|---|
| 3.008 | 8.4911 | 11 | ||
| 3.008 | 8.4911 | 11 | ||
| 3.008 | 8.4911 | 12 | ||
| 6.008 | 8.3445 | 12 | ||
| 6.008 | 8.3445 | 11 | ||
| 6.008 | 8.3445 | 11 | ||
| 9.008 | 8.3297 | 12 | ||
| 9.008 | 8.3297 | 12 | ||
| 9.008 | 8.3297 | 11 |
| Iter. | ||||
|---|---|---|---|---|
| 7.5085 | 8.5595 | 12 | ||
| 7.5082 | 8.2265 | 12 | ||
| 7.5081 | 8.1000 | 12 | ||
| 7.5089 | 8.9797 | 12 | ||
| 7.5076 | 7.6190 | 12 | ||
| 7.5102 | 1.0166 | 12 | ||
| 1 | 7.5415 | 4.1538 | 12 | |
| 7.4991 | 8.5762 | 12 | ||
| 7.5305 | 3.0522 | 12 |
Publisher’s Note: MDPI stays neutral with regard to jurisdictional claims in published maps and institutional affiliations. |
© 2022 by the authors. Licensee MDPI, Basel, Switzerland. This article is an open access article distributed under the terms and conditions of the Creative Commons Attribution (CC BY) license (https://creativecommons.org/licenses/by/4.0/).
Share and Cite
Cheng, S.; Du, N.; Wang, H.; Yang, Z. Finite Element Approximations to Caputo–Hadamard Time-Fractional Diffusion Equation with Application in Parameter Identification. Fractal Fract. 2022, 6, 525. https://doi.org/10.3390/fractalfract6090525
Cheng S, Du N, Wang H, Yang Z. Finite Element Approximations to Caputo–Hadamard Time-Fractional Diffusion Equation with Application in Parameter Identification. Fractal and Fractional. 2022; 6(9):525. https://doi.org/10.3390/fractalfract6090525
Chicago/Turabian StyleCheng, Shijing, Ning Du, Hong Wang, and Zhiwei Yang. 2022. "Finite Element Approximations to Caputo–Hadamard Time-Fractional Diffusion Equation with Application in Parameter Identification" Fractal and Fractional 6, no. 9: 525. https://doi.org/10.3390/fractalfract6090525
APA StyleCheng, S., Du, N., Wang, H., & Yang, Z. (2022). Finite Element Approximations to Caputo–Hadamard Time-Fractional Diffusion Equation with Application in Parameter Identification. Fractal and Fractional, 6(9), 525. https://doi.org/10.3390/fractalfract6090525

