New Adaptive Finite-Time Cluster Synchronization of Neutral-Type Complex-Valued Coupled Neural Networks with Mixed Time Delays
Abstract
:1. Introduction
2. Model Description and Preliminaries
2.1. Preliminaries
- (i)
- (ii)
- .
- (iii)
- .
2.2. Model Formulation
- (a)
- In many applications, such as wireless communications or audio processing, where complex numbers occur naturally or intentionally, there is a correlation between the real and imaginary parts of the complex signal. For instance, the Fourier transform is a linear transformation that multiplies the magnitude of the signal in the frequency domain by multiplying the signal’s magnitude by a scalar in the time domain. The circular rotation of a signal in the time domain corresponds to a phase change in the frequency domain. This means a complex number’s real and imaginary parts are statistically correlated during the phase change.
- (b)
- Suppose the relevance of the magnitude and phase to the learning objective is known a priori. In that case, it makes more sense to use a complex-valued model because it imposes more constraints on the complex-valued model than a real-valued model would.
3. Main Results
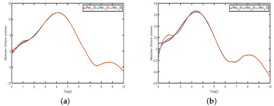
4. Numerical Evaluation
5. Conclusions
Author Contributions
Funding
Data Availability Statement
Conflicts of Interest
References
- Manivannan, R.; Panda, S.; Chong, K.T.; Cao, J. An Arcak-type state estimation design for time-delayed static neural networks with leakage term based on unified criteria. Neural Netw. 2018, 106, 110–126. [Google Scholar] [CrossRef] [PubMed]
- Zhou, W.; Sun, Y.; Zhang, X.; Shi, P. Cluster synchronization of coupled neural networks with Lvy noise via event-triggered pinning control. IEEE Trans. Neural Netw. Learn. Syst. 2021. [Google Scholar] [CrossRef]
- Ouyang, D.; Shao, J.; Jiang, H.; Wen, S.; Nguang, S.K. Finite-time stability of coupled impulsive neural networks with time-varying delays and saturating actuators. Neurocomputing 2021, 453, 590–598. [Google Scholar] [CrossRef]
- Zhang, K.; Zhang, H.G.; Cai, Y.; Su, R. Parallel optimal tracking control schemes for mode-dependent control of coupled Markov jump systems via integral RL method. IEEE Trans. Autom. Sci. Eng. 2019, 17, 1332–1342. [Google Scholar] [CrossRef]
- Qi, X.; Bao, H.; Cao, J. Synchronization criteria for quaternion-valued coupled neural networks with impulses. Neural Netw. 2020, 128, 150–157. [Google Scholar] [CrossRef]
- Jin, X.; Jiang, J.; Qin, J.; Zheng, W.X. Robust pinning constrained control and adaptive regulation of coupled Chuas circuit networks. IEEE Trans. Circuits Syst. I Regul Pap. 2019, 66, 3928–3940. [Google Scholar] [CrossRef]
- Ahmad, B.; Alghanmi, M.; Alsaedi, A.; Nieto, J.J. Existence and uniqueness results for a nonlinear coupled system involving Caputo fractional derivatives with a new kind of coupled boundary conditions. Appl. Math. Lett. 2021, 116, 107018. [Google Scholar] [CrossRef]
- Bannenberg, M.W.; Ciccazzo, A.; Gnther, M. Coupling of model order reduction and multirate techniques for coupled dynamical systems. Appl. Math. Lett. 2021, 112, 106780. [Google Scholar] [CrossRef]
- Li, N.; Zheng, W.X. Synchronization criteria for inertial memristor-based neural networks with linear coupling. Neural Netw. 2018, 106, 260–270. [Google Scholar] [CrossRef]
- Li, L.; Shi, X.; Liang, J. Synchronization of impulsive coupled complex-valued neural networks with delay: The matrix measure method. Neural Netw. 2019, 117, 285–294. [Google Scholar] [CrossRef]
- Tan, M.; Pan, Q. Global stability analysis of delayed complex-valued fractional-order coupled neural networks with nodes of different dimensions. Int. J. Mach. Learn. 2019, 10, 897–912. [Google Scholar] [CrossRef]
- Huang, Y.; Hou, J.; Yang, E. Passivity and synchronization of coupled reaction-diffusion complex-valued memristive neural networks. Appl. Math. Comput. 2020, 379, 125271. [Google Scholar] [CrossRef]
- Feng, L.; Hu, C.; Yu, J.; Jiang, H.; Wen, S. Fixed-time Synchronization of Coupled Memristive Complex-valued Neural Networks. Chaos Solitons Fractals 2021, 148, 110993. [Google Scholar] [CrossRef]
- Benvenuto, N.; Piazza, F. On the complex backpropagation algorithm. IEEE Trans. Signal Process. 1992, 40, 967–969. [Google Scholar] [CrossRef]
- Nitta, T. Solving the XOR problem and the detection of symmetry using a single complex-valued neuron. Neural Netw. 2003, 16, 1101–1105. [Google Scholar] [CrossRef]
- Takeda, M.; Kishigami, T. Complex neural fields with a hopfield-like energy function and an analogy to optical fields generated in phaseconjugate resonators. J. Opt. Soc. Am. 1992, 9, 2182–2191. [Google Scholar] [CrossRef]
- Jayanthi, N.; Santhakumari, R. Synchronization of time-varying time delayed neutral-type neural networks for finite-time in complex field. Math. Model. Comput. 2021, 8, 486–498. [Google Scholar] [CrossRef]
- Jayanthi, N.; Santhakumari, R. Synchronization of time invariant uncertain delayed neural networks in finite time via improved sliding mode control. Math. Model. Comput. 2021, 8, 228–240. [Google Scholar] [CrossRef]
- Zhang, W.W.; Zhang, H.; Cao, J.D.; Zhang, H.M.; Chen, D.Y. Synchronization of delayed fractional-order complex-valued neural networks with leakage delay. Phys. A 2020, 556, 124710. [Google Scholar] [CrossRef]
- Zhang, X.; Li, C.; He, Z. Cluster synchronization of delayed coupled neural networks: Delay-dependent distributed impulsive control. Neural Netw. 2021, 142, 34–43. [Google Scholar] [CrossRef]
- Gambuzza, L.V.; Frasca, M. A criterion for stability of cluster synchronization in networks with external equitable partitions. Automatica 2019, 100, 212–218. [Google Scholar] [CrossRef]
- Qin, J.; Fu, W.; Shi, Y.; Gao, H.; Kang, Y. Leader-following practical cluster synchronization for networks of generic linear systems: An event-based approach. IEEE Trans. Neural Netw. Learn. Syst. 2018, 30, 215–224. [Google Scholar] [CrossRef] [PubMed]
- Liu, P.; Zeng, Z.; Wang, J. Asymptotic and finite-time cluster synchronization of coupled fractionalorder neural networks with time delay. IEEE Trans. Neural Netw. Learn. Syst. 2020, 31, 4956–4967. [Google Scholar] [CrossRef]
- Yang, S.; Hu, C.; Yu, J.; Jiang, H. Finite-time cluster synchronization in complex-variable networks with fractional-order and nonlinear coupling. Neural Netw. 2021, 135, 212–224. [Google Scholar] [CrossRef]
- Niamsup, P.; Rajchakit, M.; Rajchakit, G. Guaranteed cost control for switched recurrent neural networks with interval time-varying delay. J. Inequalities Appl. 2013, 2013, 292. [Google Scholar] [CrossRef]
- Rajchakit, G.; Sriraman, R.; Lim, C.P.; Unyong, B. Existence, uniqueness and global stability of Clifford-valued neutral-type neural networks with time delays. Math. Comput. Simul. 2022, 201, 508–527. [Google Scholar] [CrossRef]
- Rajchakit, M.; Niamsup, P.; Rajchakit, G. A switching rule for exponential stability of switched recurrent neural networks with interval time-varying delay. Adv. Differ. Equ. 2013, 2013, 44. [Google Scholar] [CrossRef]
- Sriraman, R.; Rajchakit, G.; Lim, C.P.; Chanthorn, P.; Samidurai, R. Discrete-time stochastic quaternion-valued neural networks with time delays: An asymptotic stability analysis. Symmetry 2020, 12, 936. [Google Scholar] [CrossRef]
- Ratchagit, K. Asymptotic stability of delay-difference system of Hopfield neural networks via matrix inequalities and application. Int. J. Neural Syst. 2007, 17, 425–430. [Google Scholar] [CrossRef]
- Rajchakit, G.; Sriraman, R.; Boonsatit, N.; Hammachukiattikul, P.; Lim, C.P.; Agarwal, P. Global exponential stability of Clifford-valued neural networks with time-varying delays and impulsive effects. Adv. Differ. Equ. 2021, 2021, 208. [Google Scholar] [CrossRef]
- Rajchakit, G.; Chanthorn, P.; Niezabitowski, M.; Raja, R.; Baleanu, D.; Pratap, A. Impulsive effects on stability and passivity analysis of memristor-based fractional-order competitive neural networks. Neurocomputing 2020, 417, 290–301. [Google Scholar] [CrossRef]
- Yu, T.; Cao, J.; Huang, C. Finite-time cluster synchronization of coupled dynamical systems with impulsive effects. Discret. Contin. Dyn. Syst. Ser. B 2021, 26, 3595. [Google Scholar] [CrossRef]
- Xiao, F.; Gan, Q.; Yuan, Q. Finite-time cluster synchronization for time-varying delayed complex dynamical networks via hybrid control. Adv. Differ. Equ. 2019, 2019, 93. [Google Scholar] [CrossRef]
- He, J.J.; Lin, Y.Q.; Ge, M.F.; Liang, C.D.; Ding, T.F.; Wang, L. Adaptive finite-time cluster synchronization of neutral-type coupled neural networks with mixed delays. Neurocomputing 2020, 384, 11–20. [Google Scholar] [CrossRef]
- Tang, R.; Yang, X.; Wan, X. Finite-time cluster synchronization for a class of fuzzy cellular neural networks via non-chattering quantized controllers. Neural Netw. 2019, 113, 79–90. [Google Scholar] [CrossRef] [PubMed]
- Ding, D.; Wang, Z.; Han, Q.L. Neural-network-based output-feedback control with stochastic communication protocols. Automatica 2019, 106, 221–229. [Google Scholar] [CrossRef]
- He, W.; Du, W.; Qian, F.; Cao, J. Synchronization analysis of heterogeneous dynamical networks. Neurocomputing 2013, 104, 146–154. [Google Scholar] [CrossRef]
- Wang, L.; Zeng, Z.; Ge, M.F. A disturbance rejection framework for finite time and fixed-time stabilization of delayed memristive neural networks. IEEE Trans. Syst. Man Cybern. Syst. 2019, 51, 905–915. [Google Scholar] [CrossRef]
- Wu, H.; Li, R.; Zhang, X.; Yao, R. Adaptive finite-time complete periodic synchronization of memristive neural networks with time delays. Neural Process. Lett. 2015, 42, 563–583. [Google Scholar] [CrossRef]
- Yang, C.; Huang, L.; Cai, Z. Fixed-time synchronization of coupled memristor-based neural networks with time-varying delays. Neural Netw. 2019, 116, 101–109. [Google Scholar] [CrossRef]
- Wang, Z.; Liu, H.; Shen, B.; Alsaadi, F.E.; Dobaie, A.M. H∞ state estimation for discrete-time stochastic memristive BAM neural networks with mixed time-delays. Int. J. Mach. Learn. Cybern. 2019, 10, 771–785. [Google Scholar] [CrossRef]
- Wang, K.; Teng, Z.; Jiang, H. Adaptive synchronization of neural networks with time-varying delay and distributed delay. Phys. A 2008, 387, 631–642. [Google Scholar] [CrossRef]
- Wu, H.; Zhang, X.; Li, R.; Yao, R. Finite-time synchronization of chaotic neural networks with mixed time-varying delays and stochastic disturbance. Memetic Comput. 2015, 7, 231–240. [Google Scholar] [CrossRef]
- Chanthorn, P.; Rajchakit, G.; Ramalingam, S.; Lim, C.P.; Ramachandran, R. Robust dissipativity analysis of hopfield-type complex-valued neural networks with time-varying delays and linear fractional uncertainties. Mathematics 2020, 8, 595. [Google Scholar] [CrossRef]
- Chanthorn, P.; Rajchakit, G.; Humphries, U.; Kaewmesri, P.; Sriraman, R.; Lim, C.P. A delay-dividing approach to robust stability of uncertain stochastic complex-valued hopfield delayed neural networks. Symmetry 2020, 12, 683. [Google Scholar] [CrossRef]
- Faydasicok, O. An improved Lyapunov functional with application to stability of Cohen–Grossberg neural networks of neutral-type with multiple delays. Neural Netw. 2020, 132, 532–539. [Google Scholar] [CrossRef]
- Arik, S. New criteria for stability of neutral-type neural networks with multiple time delays. IEEE Trans. Neural Netw. Learn. Syst. 2019, 31, 1504–1513. [Google Scholar] [CrossRef]
- Akca, H.; Covachev, V.; Covacheva, Z. Global asymptotic stability of Cohen-Grossberg neural networks of neutral type. J. Math. Sci. 2015, 205, 719–732. [Google Scholar] [CrossRef]
- Arik, S. An analysis of stability of neutral-type neural systems with constant time delays. J. Frankl. Inst. 2014, 351, 4949–4959. [Google Scholar] [CrossRef]






Publisher’s Note: MDPI stays neutral with regard to jurisdictional claims in published maps and institutional affiliations. |
© 2022 by the authors. Licensee MDPI, Basel, Switzerland. This article is an open access article distributed under the terms and conditions of the Creative Commons Attribution (CC BY) license (https://creativecommons.org/licenses/by/4.0/).
Share and Cite
Boonsatit, N.; Rajendran, S.; Lim, C.P.; Jirawattanapanit, A.; Mohandas, P. New Adaptive Finite-Time Cluster Synchronization of Neutral-Type Complex-Valued Coupled Neural Networks with Mixed Time Delays. Fractal Fract. 2022, 6, 515. https://doi.org/10.3390/fractalfract6090515
Boonsatit N, Rajendran S, Lim CP, Jirawattanapanit A, Mohandas P. New Adaptive Finite-Time Cluster Synchronization of Neutral-Type Complex-Valued Coupled Neural Networks with Mixed Time Delays. Fractal and Fractional. 2022; 6(9):515. https://doi.org/10.3390/fractalfract6090515
Chicago/Turabian StyleBoonsatit, Nattakan, Santhakumari Rajendran, Chee Peng Lim, Anuwat Jirawattanapanit, and Praneesh Mohandas. 2022. "New Adaptive Finite-Time Cluster Synchronization of Neutral-Type Complex-Valued Coupled Neural Networks with Mixed Time Delays" Fractal and Fractional 6, no. 9: 515. https://doi.org/10.3390/fractalfract6090515
APA StyleBoonsatit, N., Rajendran, S., Lim, C. P., Jirawattanapanit, A., & Mohandas, P. (2022). New Adaptive Finite-Time Cluster Synchronization of Neutral-Type Complex-Valued Coupled Neural Networks with Mixed Time Delays. Fractal and Fractional, 6(9), 515. https://doi.org/10.3390/fractalfract6090515

