Thermophysical Study of Oldroyd-B Hybrid Nanofluid with Sinusoidal Conditions and Permeability: A Prabhakar Fractional Approach
Abstract
:1. Introduction
2. Problem Description
3. Basic Preliminaries
4. Solution of the Problem
4.1. Concentration Profile
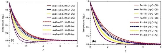
4.2. Solution of Temperature Field
4.3. Solution of the Velocity Field
4.3.1. Limiting Cases
4.3.2. Validity
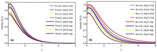
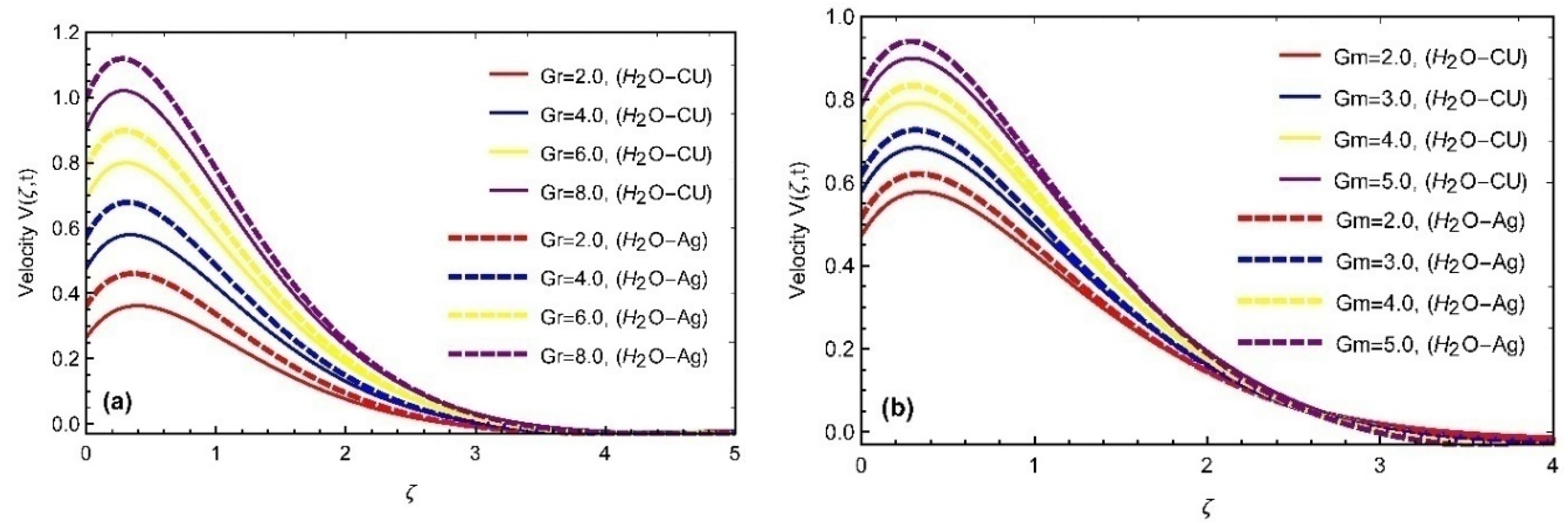
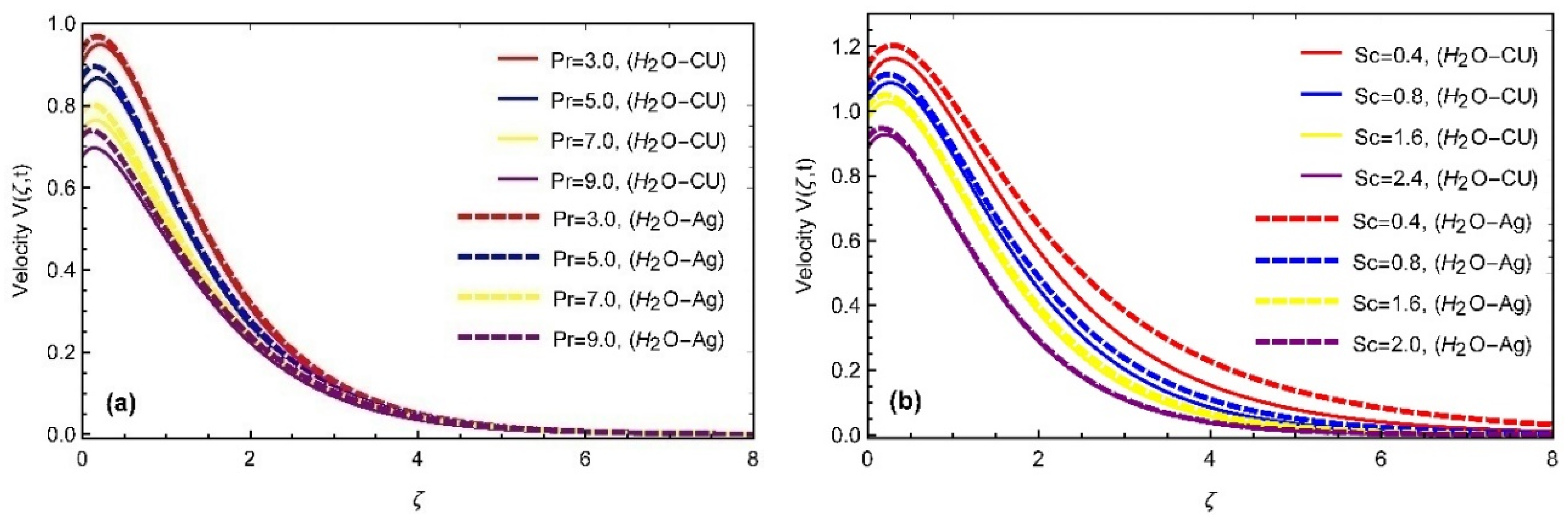
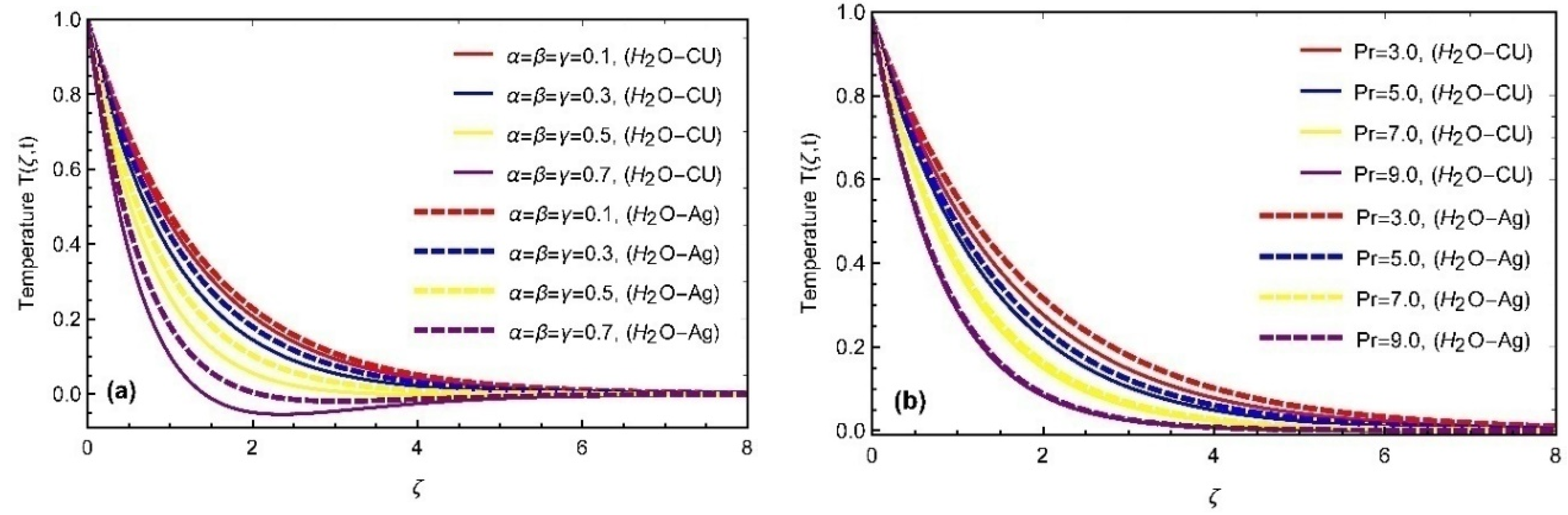
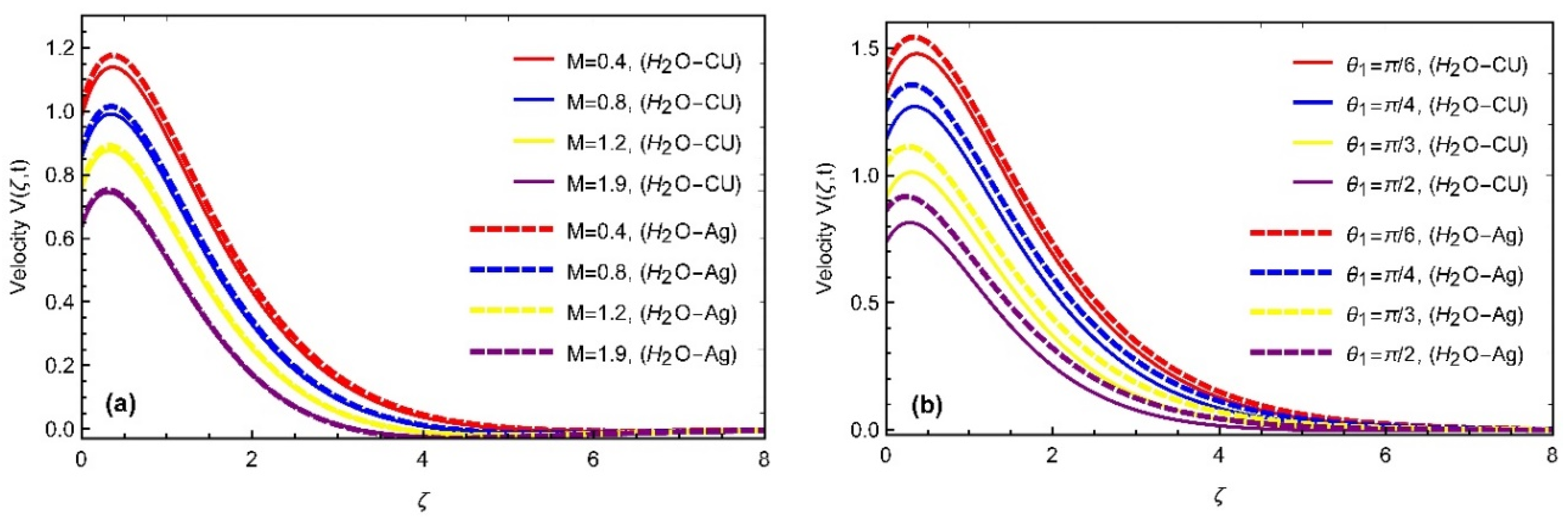
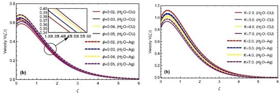
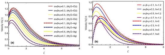
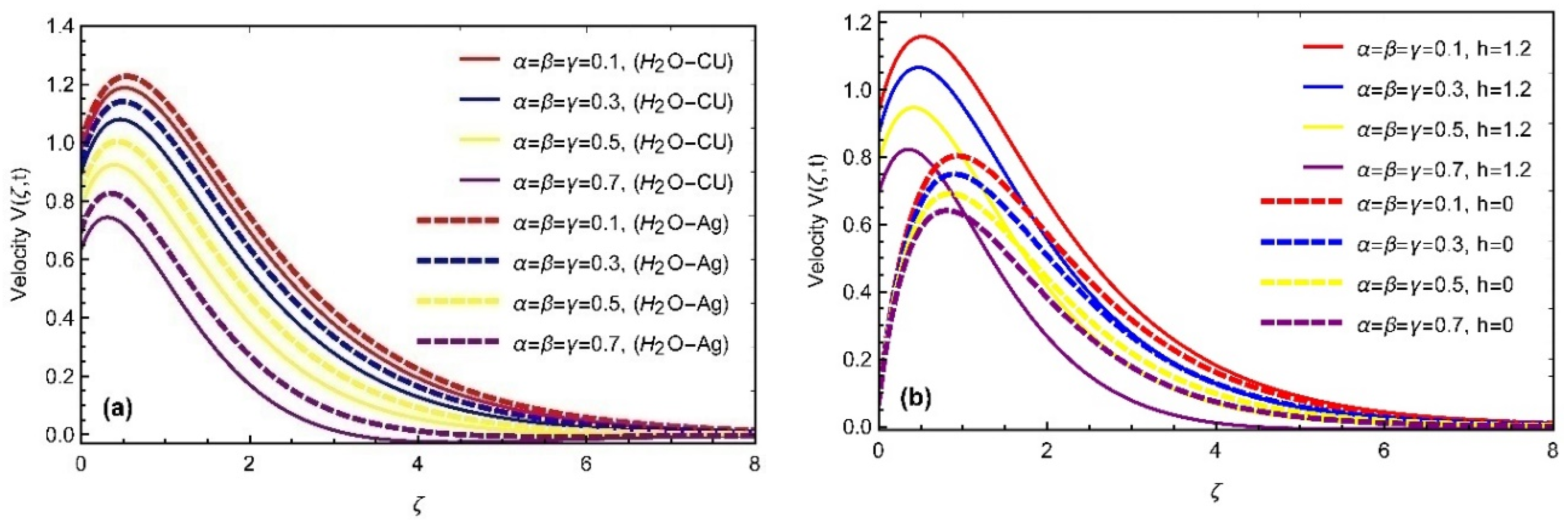
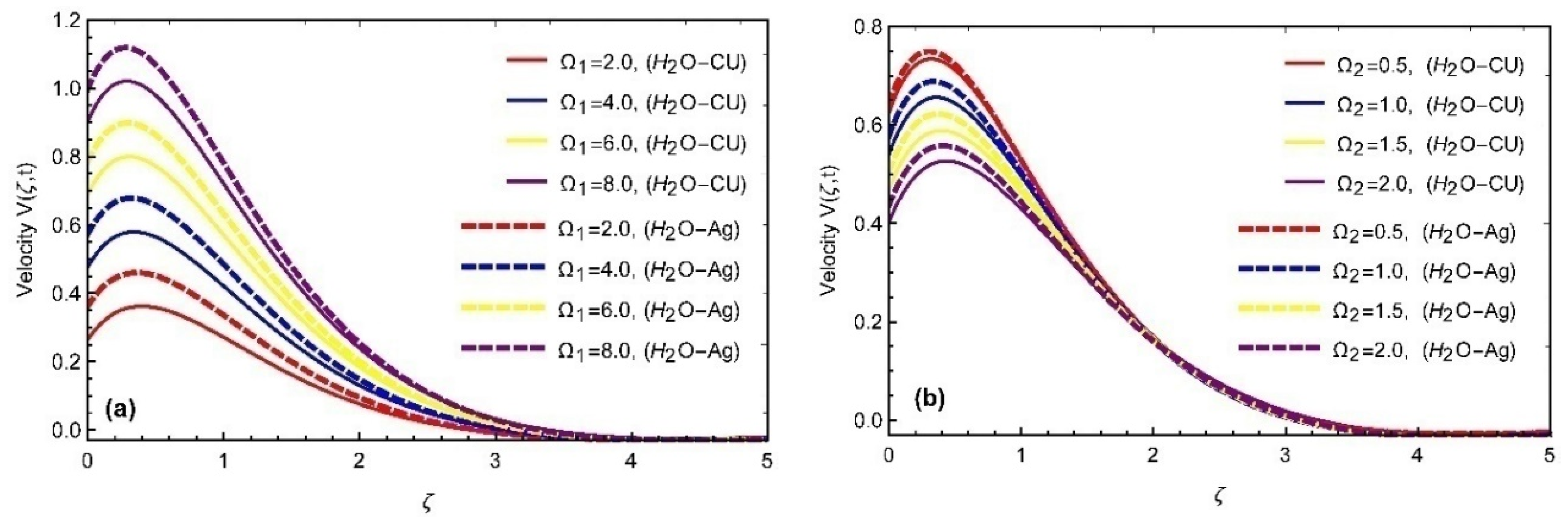
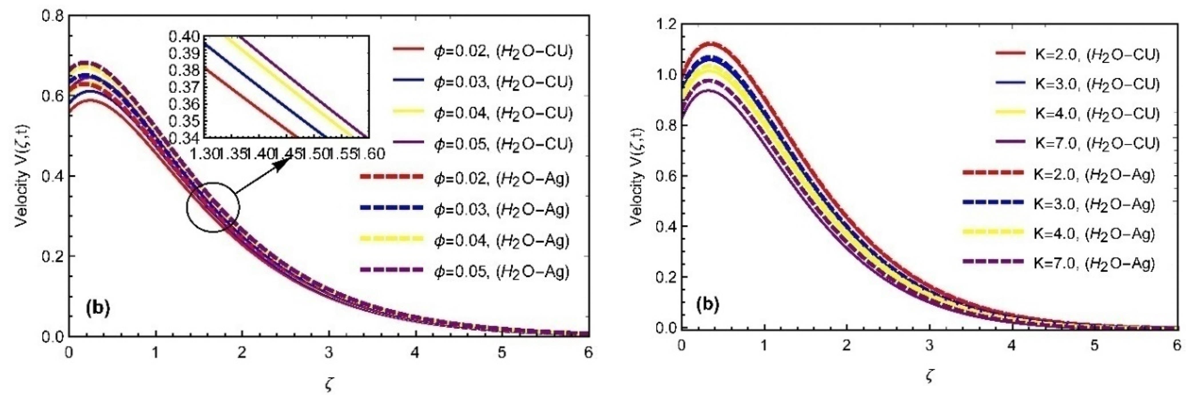
5. Discussion of Results
6. Conclusions
- The heat transfer declines as the fractional parameter values and Prandtl number enhance.
- The concentration field also declined with the Schmidt number and the fractional constraints variation.
- The velocity delays by changing fractional parameters values as well as .
- The momentum profile increase by augmenting the amount of mass and heat Grashof number due to the buoyancy effect.
- It is examined that the impact of both parameters are opposite to the momentum field.
- For magnetic and permeability constraints, the viscosity of the hybrid nanofluid losses causes the fluid to slow the motion.
- The thermal and momentum profiles are more progressive for silver nanoparticles as compared to copper based nanofluid.
- The interchanging of both curves of the numerical scheme and the obtained results of Riaz et al. [42] validate this study’s solutions.
Author Contributions
Funding
Institutional Review Board Statement
Informed Consent Statement
Data Availability Statement
Conflicts of Interest
Nomenclature
| Symbol | Quantitie | Unit |
| Fluid velocity | ||
| Times | ||
| Gravity acceleration | ||
| Thermal conductivity of the nanofluid | ||
| Skin friction | ||
| Mean absorption parameter | ||
| Nanofluid density | ||
| Characteristic velocity | ||
| The angle of magnetic inclination | ||
| The angle of plate inclination | ||
| Prandtl number | ||
| Heat Grashof number | ||
| Mass Grashof number | ||
| Schmidt number | ||
| Magnetic field | ||
| Laplace transform variable | ||
| Prabhakar Fractional parameters | ||
| Magnetic field strength | ||
| Specific heat at constant pressure | ||
| Dynamic viscosity | ||
| Thermal expansion coefficient | ||
| Electrical conductivity | ||
| Wall temperature | ||
| Ambient temperature | ||
| Nusselt number | ||
| Sherwood number |
References
- Ghosh, A.; Sana, P. On hydromagnetic flow of an Oldroyd-B fluid near a pulsating plate. Acta Astronaut. 2009, 64, 272–280. [Google Scholar] [CrossRef]
- Zaman, H.; Ahmad, Z.; Ayub, M. A Note on the Unsteady Incompressible MHD Fluid Flow with Slip Conditions and Porous Walls. Int. Sch. Res. Not. 2013, 2013, 705296. [Google Scholar] [CrossRef] [Green Version]
- Nadeem, S.; Mehmood, R.; Akbar, N.S. Non-orthogonal stagnation point flow of a nano non-Newtonian fluid towards a stretching surface with heat transfer. Int. J. Heat Mass Transf. 2012, 57, 679–689. [Google Scholar] [CrossRef]
- Tiwana, M.H.; Mann, A.B.; Rizwan, M.; Maqbool, K.; Javeed, S.; Raza, S.; Khan, M.S. Unsteady Magnetohydrodynamic Convective Fluid Flow of Oldroyd-B Model Considering Ramped Wall Temperature and Ramped Wall Velocity. Mathematics 2019, 7, 676. [Google Scholar] [CrossRef] [Green Version]
- Zhao, J.; Zheng, L.; Zhang, X.; Liu, F. Convection heat and mass transfer of fractional MHD Maxwell fluid in a porous medium with Soret and Dufour effects. Int. J. Heat Mass Transf. 2016, 103, 203–210. [Google Scholar] [CrossRef]
- Hayat, T.; Siddiqui, A.; Asghar, S. Some simple flows of an Oldroyd-B fluid. Int. J. Eng. Sci. 2001, 39, 135–147. [Google Scholar] [CrossRef]
- Hayat, T.; Khan, M.; Ayub, M. Exact solutions of flow problems of an Oldroyd-B fluid. Appl. Math. Comput. 2004, 151, 105–119. [Google Scholar] [CrossRef]
- Siddiqui, A.; Haroon, T.; Zahid, M.; Shahzad, A. Effect of slip condition on unsteady flows of an Oldroyd-B fluid between parallel plates. World Appl. Sci. J. 2011, 13, 2282–2287. [Google Scholar]
- Riaz, M.; Imran, M.; Shabbir, K. Analytic solutions of Oldroyd-B fluid with fractional derivatives in a circular duct that applies a constant couple. Alex. Eng. J. 2016, 55, 3267–3275. [Google Scholar] [CrossRef] [Green Version]
- Riaz, M.B.; Siddique, I.; Saeed, S.T.; Atangana, A. MHD Oldroyd-B Fluid with Slip Condition in view of Local and Nonlocal Kernels. J. Appl. Comput. Mech. 2020, 7, 116–127. [Google Scholar] [CrossRef]
- Baranovskii, E.S.; Artemov, M. Global Existence Results for Oldroyd Fluids with Wall Slip. Acta Appl. Math. 2016, 147, 197–210. [Google Scholar] [CrossRef]
- Le Roux, C. On Flows of Viscoelastic Fluids of Oldroyd Type with Wall Slip. J. Math. Fluid Mech. 2013, 16, 335–350. [Google Scholar] [CrossRef] [Green Version]
- Iftikhar, N.; Saeed, S.T.; Riaz, M.B. Fractional study on heat and mass transfer of MHD Oldroyd-B fluid with ramped velocity and temperature. Comput. Methods Differ. Eq. 2021, 10, 372–395. [Google Scholar] [CrossRef]
- Anwar, T.; Kumam, P.; Thounthong, P.; Muhammad, S.; Duraihem, F.Z. Generalized thermal investigation of unsteady MHD flow of Oldroyd-B fluid with slip effects and Newtonian heating; a Caputo-Fabrizio fractional model. Alex. Eng. J. 2021, 61, 2188–2202. [Google Scholar] [CrossRef]
- Mburu, Z.M.; Nayak, M.K.; Mondal, S.; Sibanda, P. Impact of irreversibility ratio and entropy generation on three-dimensional Oldroyd-B fluid flow with relaxation–retardation viscous dissipation. Indian J. Phys. 2021, 96, 151–167. [Google Scholar] [CrossRef]
- Wang, Y.; Kumar, R.N.; Gouadria, S.; Helmi, M.M.; Gowda, R.P.; El-Zahar, E.R.; Prasannakumara, B.; Khan, M.I. A three-dimensional flow of an Oldroyd-B liquid with magnetic field and radiation effects: An application of thermophoretic particle deposition. Int. Commun. Heat Mass Transf. 2022, 134, 106007. [Google Scholar] [CrossRef]
- Caputo, M.; Fabrizio, M. A new definition of fractional derivative without singular kernel. Prog. Fract. Differ. Appl. 2015, 1, 73–85. [Google Scholar]
- Atangana, A.; Baleanu, D. New fractional derivatives with nonlocal and non-singular kernel: Theory and application to heat transfer model. arXiv 2016, arXiv:1602.03408. [Google Scholar] [CrossRef] [Green Version]
- Prabhakar, T.R. A singular integral equation with a generalized Mittag Leffler function in the kernel. Yokohama Math. J. 1971, 19, 7–15. [Google Scholar]
- Kilbas, A.A.; Saigo, M.; Saxena, R.K. Generalized mittag-leffler function and generalized fractional calculus operators. Integral Transform. Spéc. Funct. 2004, 15, 31–49. [Google Scholar] [CrossRef]
- Garra, R.; Gorenflo, R.; Polito, F.; Tomovski, Ž. Hilfer–Prabhakar derivatives and some applications. Appl. Math. Comput. 2014, 242, 576–589. [Google Scholar] [CrossRef] [Green Version]
- Fernandez, A.; Baleanu, D. Classes of operators in fractional calculus: A case study. Math. Methods Appl. Sci. 2021, 44, 9143–9162. [Google Scholar] [CrossRef]
- Giusti, A.; Colombaro, I.; Garra, R.; Garrappa, R.; Polito, F.; Popolizio, M.; Mainardi, F. A Practical Guide to Prabhakar Fractional Calculus. Fract. Calc. Appl. Anal. 2020, 23, 9–54. [Google Scholar] [CrossRef] [Green Version]
- Alharbi, K.A.M.; Mansir, I.B.; Al-Khaled, K.; Khan, M.I.; Raza, A.; Khan, S.U.; Ayadi, M.; Malik, M.Y. Heat transfer enhancement for slip flow of single-walled and multi-walled carbon nanotubes due to linear inclined surface by using modified Prabhakar fractional approach. Arch. Appl. Mech. 2022, 1–11. [Google Scholar] [CrossRef]
- Wang, Y.; Mansir, I.B.; Al-Khaled, K.; Raza, A.; Khan, S.U.; Khan, M.I.; Ahmed, A.E.-S. Thermal outcomes for blood-based carbon nanotubes (SWCNT and MWCNTs) with Newtonian heating by using new Prabhakar fractional derivative simulations. Case Stud. Therm. Eng. 2022, 32, 101904. [Google Scholar] [CrossRef]
- Jie, Z.; Khan, M.I.; Al-Khaled, K.; El-Zahar, E.R.; Acharya, N.; Raza, A.; Khan, S.U.; Xia, W.-F.; Tao, N.-X. Thermal transport model for Brinkman type nanofluid containing carbon nanotubes with sinusoidal oscillations conditions: A fractional derivative concept. Waves Random Complex Media 2022, 1–20. [Google Scholar] [CrossRef]
- Raza, A.; Thumma, T.; Al-Khaled, K.; Khan, S.U.; Ghachem, K.; Alhadri, M.; Kolsi, L. Prabhakar fractional model for viscous transient fluid with heat and mass transfer and Newtonian heating applications. Waves Random Complex Media 2022, 1–17. [Google Scholar] [CrossRef]
- Wang, Y.; Raza, A.; Khan, S.U.; Ijaz Khan, M.; Ayadi, M.; El-Shorbagy, M.A.; Alshehri, N.A.; Wang, F.; Malik, M.Y. Prabhakar fractional simulations for hybrid nanofluid with aluminum oxide, titanium oxide and copper nanoparticles along with blood base fluid. Waves Random Complex Media 2022, 1–20. [Google Scholar] [CrossRef]
- Ying-Qing, S.; Ali, R.; Kamel, A.-K.; Saadia, F.; Qiu-Hong, S.; Malik, M.Y. Significances of exponential heating and Darcy’s law for second grade fluid flow over oscillating plate by using Atangana-Baleanu fractional derivatives. Case Stud. Therm. Eng. 2021, 27, 101266. [Google Scholar]
- Fernandez, A.; Özarslan, M.A.; Baleanu, D. On fractional calculus with general analytic kernels. Appl. Math. Comput. 2019, 354, 248–265. [Google Scholar] [CrossRef] [Green Version]
- Giusti, A. General fractional calculus and Prabhakar’s theory. Commun. Nonlinear Sci. Numer. Simul. 2020, 83, 105114. [Google Scholar] [CrossRef] [Green Version]
- Raza, A.; Ghaffari, A.; Khan, S.U.; Haq, A.U.; Khan, M.I. Non-singular fractional computations for the radiative heat and mass transfer phenomenon subject to mixed convection and slip boundary effects. Chaos, Solitons Fractals 2021, 155, 111708. [Google Scholar] [CrossRef]
- Raza, A.; Al-Khaled, K.; Khan, M.I.; Khan, S.U.; Farid, S.; Haq, A.U.; Muhammad, T. Natural convection flow of radiative maxwell fluid with Newtonian heating and slip effects: Fractional derivatives simulations. Case Stud. Therm. Eng. 2021, 28, 101501. [Google Scholar] [CrossRef]
- Riaz, M.B.; Atangana, A.; Saeed, S.T. MHD-free Convection Flow Over a Vertical Plate with Ramped Wall Temperature and Chemical Reaction in View of Nonsingular Kernel. Fract. Order Anal. Theory Methods Appl. 2020, 253–282. [Google Scholar] [CrossRef]
- Riaz, M.B.; Saeed, S.T. Comprehensive analysis of integer-order, Caputo-Fabrizio (CF) and Atangana-Baleanu (ABC) fractional time derivative for MHD Oldroyd-B fluid with slip effect and time dependent boundary condition. Discret. Contin. Dyn. Syst.-S 2021, 14, 3719. [Google Scholar] [CrossRef]
- Asghar, S.; Parveen, S.; Hanif, S.; Siddiqui, A.; Hayat, T. Hall effects on the unsteady hydromagnetic flows of an Oldroyd-B fluid. Int. J. Eng. Sci. 2003, 41, 609–619. [Google Scholar] [CrossRef]
- Anwar, T.; Khan, I.; Kumam, P.; Watthayu, W. Impacts of Thermal Radiation and Heat Consumption/Generation on Unsteady MHD Convection Flow of an Oldroyd-B Fluid with Ramped Velocity and Temperature in a Generalized Darcy Medium. Mathematics 2020, 8, 130. [Google Scholar] [CrossRef] [Green Version]
- Raza, A.; Khan, S.U.; Khan, M.I.; Farid, S.; Muhammad, T.; Galal, A.M. Fractional order simulations for the thermal determination of graphene oxide (GO) and molybdenum disulphide (MoS2) nanoparticles with slip effects. Case Stud. Therm. Eng. 2021, 28, 101453. [Google Scholar] [CrossRef]
- Raza, A.; Khan, I.; Farid, S.; My, C.A.; Khan, A.; Alotaibi, H. Non-singular fractional approach for natural convection nanofluid with Damped thermal analysis and radiation. Case Stud. Therm. Eng. 2021, 28, 101373. [Google Scholar] [CrossRef]
- Guo, B.; Raza, A.; Al-Khaled, K.; Khan, S.U.; Farid, S.; Wang, Y.; Khan, M.I.; Malik, M.; Saleem, S. Fractional-order simulations for heat and mass transfer analysis confined by elliptic inclined plate with slip effects: A comparative fractional analysis. Case Stud. Therm. Eng. 2021, 28, 101359. [Google Scholar] [CrossRef]
- Ghalib, M.M.; Zafar, A.A.; Farman, M.; Akgül, A.; Ahmad, M.O.; Ahmad, A. Unsteady MHD flow of Maxwell fluid with Caputo–Fabrizio non-integer derivative model having slip/non-slip fluid flow and Newtonian heating at the boundary. Indian J. Phys. 2021, 96, 127–136. [Google Scholar] [CrossRef]
- Riaz, M.B.; Awrejcewicz, J.; Rehman, A.-U.; Akgül, A. Thermophysical Investigation of Oldroyd-B Fluid with Functional Effects of Permeability: Memory Effect Study Using Non-Singular Kernel Derivative Approach. Fractal Fract. 2021, 5, 124. [Google Scholar] [CrossRef]










| Thermal Features | Regular Nanofluid | Hybrid Nanofluid |
|---|---|---|
| Density | ||
| Dynamic Viscosity | ||
| Electrical conductivity | ||
| Thermal conductivity | and | |
| Heat capacitance | ||
| Thermal Expansion Coefficient |
| Material | Water | Engine Oil | Ag | Cu | TiO2 |
|---|---|---|---|---|---|
| 997.1 | 884 | 10,500 | 8933 | 4250 | |
| 4179 | 1910 | 235 | 385 | 686.2 | |
| 0.613 | 0.144 | 429 | 401 | 8.9528 | |
| 21 | 70 | 1.89 | 1.67 | 0.90 |
Tzous | Stehfest | Tzous | Stehfest | Tzous | Stehfest | |
|---|---|---|---|---|---|---|
| 0.1 | 0.8847 | 0.8893 | 0.9356 | 0.9376 | 0.6252 | 0.6140 |
| 0.3 | 0.7177 | 0.7216 | 0.8214 | 0.8242 | 0.5969 | 0.5852 |
| 0.5 | 0.5822 | 0.5855 | 0.7204 | 0.7245 | 0.5645 | 0.5338 |
| 0.7 | 0.4722 | 0.4754 | 0.6318 | 0.5597 | 0.4840 | 0.4727 |
| 0.9 | 0.3831 | 0.3854 | 0.5540 | 0.5597 | 0.4020 | 0.4096 |
| 1.1 | 0.3107 | 0.3126 | 0.4558 | 0.4919 | 0.3590 | 0.3493 |
| 1.3 | 0.2520 | 0.2536 | 0.4260 | 0.4324 | 0.3028 | 0.2940 |
| 1.5 | 0.2044 | 0.2057 | 0.3735 | 0.3800 | 0.2529 | 0.2450 |
| 1.7 | 0.1658 | 0.1669 | 0.3275 | 0.3340 | 0.2094 | 0.2025 |
| 1.9 | 0.1344 | 0.1354 | 0.2872 | 0.3935 | 0.1722 | 0.1662 |
| 0.1 | 0.8386 | 0.7829 | 0.4927 | 0.4456 | 0.1371 | 0.0105 |
| 0.2 | 0.8739 | 0.8268 | 0.5211 | 0.4779 | 0.1317 | 0.0130 |
| 0.3 | 0.9094 | 0.8806 | 0.5560 | 0.5256 | 0.1254 | 0.0155 |
| 0.4 | 0.9430 | 0.9427 | 0.5960 | 0.5936 | 0.1181 | 0.0180 |
| 0.5 | 0.9726 | 1.0094 | 0.6383 | 0.6852 | 0.1093 | 0.0209 |
| 0.6 | 0.9965 | 1.0759 | 0.6795 | 0.7999 | 0.0982 | 0.0237 |
| 0.7 | 1.0140 | 1.1375 | 0.7166 | 0.9323 | 0.0839 | 0.0265 |
| 0.8 | 1.0252 | 1.1904 | 0.7373 | 1.0732 | 0.0633 | 0.0295 |
| 0.9 | 1.0306 | 1.2327 | 0.7708 | 1.2127 | 0.0280 | 0.0325 |
Publisher’s Note: MDPI stays neutral with regard to jurisdictional claims in published maps and institutional affiliations. |
© 2022 by the authors. Licensee MDPI, Basel, Switzerland. This article is an open access article distributed under the terms and conditions of the Creative Commons Attribution (CC BY) license (https://creativecommons.org/licenses/by/4.0/).
Share and Cite
Zhang, J.; Raza, A.; Khan, U.; Ali, Q.; Zaib, A.; Weera, W.; Galal, A.M. Thermophysical Study of Oldroyd-B Hybrid Nanofluid with Sinusoidal Conditions and Permeability: A Prabhakar Fractional Approach. Fractal Fract. 2022, 6, 357. https://doi.org/10.3390/fractalfract6070357
Zhang J, Raza A, Khan U, Ali Q, Zaib A, Weera W, Galal AM. Thermophysical Study of Oldroyd-B Hybrid Nanofluid with Sinusoidal Conditions and Permeability: A Prabhakar Fractional Approach. Fractal and Fractional. 2022; 6(7):357. https://doi.org/10.3390/fractalfract6070357
Chicago/Turabian StyleZhang, Juan, Ali Raza, Umair Khan, Qasim Ali, Aurang Zaib, Wajaree Weera, and Ahmed M. Galal. 2022. "Thermophysical Study of Oldroyd-B Hybrid Nanofluid with Sinusoidal Conditions and Permeability: A Prabhakar Fractional Approach" Fractal and Fractional 6, no. 7: 357. https://doi.org/10.3390/fractalfract6070357
APA StyleZhang, J., Raza, A., Khan, U., Ali, Q., Zaib, A., Weera, W., & Galal, A. M. (2022). Thermophysical Study of Oldroyd-B Hybrid Nanofluid with Sinusoidal Conditions and Permeability: A Prabhakar Fractional Approach. Fractal and Fractional, 6(7), 357. https://doi.org/10.3390/fractalfract6070357

