Abstract
The aim of this work is to describe the dynamics of a fractional-order coupled FitzHugh–Nagumo neuronal model. The equilibrium states are analyzed in terms of their stability properties, both dependently and independently of the fractional orders of the Caputo derivatives, based on recently established theoretical results. Numerical simulations are shown to clarify and exemplify the theoretical results.
1. Introduction
During the last few years, an increased number of scientific papers have examined the relevance of using fractional-order derivatives when modeling real-world phenomena. Thus, it has been suggested that fractional-order systems are efficiently providing more reasonable and realistic results in a substantial number of practical applications [1,2,3,4,5] in comparison with their associated integer-order counterpart. This is justified by the fact that fractional-order derivatives are provided with both memory and hereditary properties, as [6] suggests that a possible physical meaning for the order of a fractional derivative could be the index of memory.
It has been recently underlined [7,8] that fractional-order derivatives or differences could be involved in mathematically modeling neuronal dynamics. Due to their ability to introduce capacitive memory effects [9], fractional-order membrane potential dynamics have emphasized their advantage in reproducing the electrical activity of neurons observed from an experimental point of view. Very recently, ref. [10] proposed a novel mathematical model of neuronal electromechanics employing fractional-order derivatives of variable order to model multiple temporal scales, accounting for both local and nonlocal chemo-mechanical interactions observed experimentally [11]. Several types of fractional-order single-neuronal models have been investigated in recent years: leaky integrate-and-fire [12], Hindmarsh–Rose [13,14], Morris–Lecar [15,16,17], FitzHugh–Nagumo [18] and more general Hodgkin–Huxley models [9,19].
Coupled FitzHugh–Nagumo-type integer-order systems have recently been investigated. On a general note, a review on chimera states in neuronal networks has been presented in [20]. In particular, several new phenomena of spiral wave chimeras have been discovered in [21], where a two-dimensional nonlocally coupled FitzHugh–Nagumo system with an open boundary condition was considered. Chimera patterns in several types of two-dimensional networks of coupled neurons have been explored in [22], whereas a system of two identical FitzHugh–Nagumo units with a mutual linear coupling in the fast variables was investigated in [23]. Moreover, complex activities in neuronal systems can be better understood due to the results presented in [24], where a coupled network consisting of an arbitrary number of nonidentical FitzHugh–Nagumo neurons is investigated in terms of its stability properties and chaotic behavior. Coupled FitzHugh–Nagumo equations have also been considered in [25], whereas the firing activities of a fractional-order FitzHugh–Rinzel bursting neuron model and its coupled dynamics have been investigated in [26].
Regarding coupled FitzHugh–Nagumo neuronal models, ref. [27] presents novel patterns in fractional-in-space nonlinear coupled FitzHugh–Nagumo models with a Riesz fractional derivative; the chimera state in the network of fractional-order FitzHugh–Nagumo neurons is investigated in [28], whereas an analytical study of a fractional-order multiple chaotic FitzHugh–Nagumo neuron model using the multistep generalized differential transform method is presented in [29].
The main reference works on the topic of fractional calculus and the qualitative theory of fractional-order systems are [30,31,32,33]. A significant component in the qualitative theory of fractional-order systems is represented by stability analysis. Recently, main results were developed with respect to the stability properties of fractional-order systems [34,35]. Hence, ref. [36] presents a generalization of the well-known stability theorem of Matignon [37]. Furthermore, linearization theorems for fractional-order systems are presented [38].
The aim of this work is to investigate the stability of the equilibrium states of a fractional-order coupled FitzHugh–Nagumo neuronal model, by applying theoretical results recently obtained in [39,40]. Both fractional-order independent results and fractional-order dependent results are compactly enumerated, for their later applicability in the analysis of the neuronal model mentioned above. To the best of our knowledge, this is the first time that a complete theoretical stability analysis has been done for a coupled FitzHugh–Nagumo neuron model with different fractional orders.
The paper is organized as follows. Section 2 is designed for itemizing some preliminaries and the fractional-order dependent and independent results. The main results of the work are described in Section 3: the mathematical model is presented, the existence of equilibrium states is discussed, and the stability of the equilibrium states is later analyzed, both independent and dependent on the fractional orders of the considered neuronal model. The results are supported by illustrative numerical simulations, revealing rich spiking behavior. Several conclusions are drawn in Section 5.
2. Preliminaries
Let us consider the n-dimensional fractional-order system with Caputo derivatives [30,32,41]:
where and is a continuous function on the whole domain of definition, Lipschitz-continuous with respect to the second variable, such that
The existence and uniqueness of solutions of the initial value problem associated with system (1) is guaranteed by the previously mentioned properties of the function f [31].
For the local stability analysis of a general nonlinear system (1), we rely on the linearization technique in a neighborhood of an equilibrium, which has been previously explored in [37]. It is important to emphasize that once the linearized system is established, stability and instability results may be obtained by analyzing the distribution of the roots of the corresponding characteristic equation [40].
For the stability analysis undertaken in the following sections, we recall some results recently obtained in [39,42], concerning the distribution of the roots of the following characteristic equation:
where and represent the principal values (first branches) of the corresponding complex power functions [43]. For completeness, we reformulate these previous results in the following propositions:
Proposition 1
(Fractional-order independent results).
- All the roots of the characteristic Equation (2) are in the open left half-plane, regardless of the fractional orders and , if and only if the following inequalities are satisfied:
- The characteristic Equation (2) has a root in the open right half-plane, regardless of the fractional orders and , if and only if either one of the following conditions is satisfied:
- i.
- ;
- ii.
- and ;
- iii.
- , and .
In what follows, we assume that the fractional orders and are arbitrarily fixed inside the domain
Moreover, as implies that the system is unstable, for any choice of the fractional orders and , we will assume that .
As in [39,42], we define a family of smooth parametric curves in the -plane by
where is given by:
with the function defined as
It has been previously shown in [42] that the curve is the graph of a smooth, decreasing, convex bijective function in the -plane. Moreover, the curve lies outside the first quadrant of the -plane.
With these notations, we have the following result [39]:
Proposition 2
(Fractional-order dependent results).
Let and be arbitrarily fixed. Consider the curve and the function defined above.
- i.
- The characteristic Equation (2) has a pair of complex conjugated roots on the imaginary axis of the complex plane if and only if .
- ii.
- iii.
3. Fractional-Order Coupled FithHugh–Nagumo-Type Neuronal Model
Consider the following fractional-order coupled FitzHugh–Nagumo neuronal model, which is a modified version of the model considered in [25], replacing the classical integer-order derivative with fractional-order Caputo derivatives:
where and represent the membrane potential of the two neurons, and are recovery variables, are positive constants, and and are the fractional orders of the Caputo derivatives, with .
In this paper, identical neurons are considered; therefore, the fractional orders of the Caputo derivatives in system (3) coincide for the membrane voltage equations and for the recovery variable equations, respectively. In many previous works concerning single-neuron models [9], has been chosen for the recovery variable, while accounts for the incorporation of a non-ideal fractional-order capacitive element in the membrane potential equation [44]. However, it has been pointed out in [19] that an increase in the diversity of spike patterns and shapes is observed in a single-neuron model, when using a power-law behaving conductance, which emphasizes the importance of considering .
We observe that
where and .
Considering the function , with , system (3) is equivalently written as:
3.1. Existence of Equilibrium States
In this section, we investigate the existence of equilibrium points of the fractional-order neuronal model (4), which are the solutions of the algebraic system:
which reduces to solving the following two-dimensional algebraic system:
where , with .
Adding the two equations of system (5), we obtain:
We distinguish the following two cases:
- Case 1:
In this case, we have , which is equivalent to
It follows that of .
The discriminant of the previous quadratic equations is . Therefore, we have the following situations:
- Case 2:
The equilibrium states of system (4), with , are the solutions of the algebraic system
which is equivalent to the system
Subtracting the equations of the previous system, we obtain
which, as we consider asymmetric equilibria, is equivalent to
Moreover, as , it follows that
Combining the previous two relations, it results that
As we search for real distinct values of and , which are the roots of the quadratic equation , the inequality must also be satisfied, or equivalently, from relation (8):
Therefore, determining the asymmetrical equilibrium states reduces to solving the cubic Equation (10), subject to the constraint (11). Hence, depending on the values of the parameters a, and g, we may obtain zero to three pairs of asymmetrical equilibrium states of the form and .
Remark 1.
In Figure 1, one can deduce the number of equilibrium states of system (4) depending on the parameters of the system a, α and for fixed values of the parameter g. For values of the parameters a, α belonging to the green region, the system has three equilibrium states. If the parameters are situated in the lighter green region, the system has a total of five equilibrium states. In the orange region, the system has a total of seven equilibrium states, and in the red region, there is a total of nine equilibrium states of system (4).
Figure 1.
Number of equilibrium states in the parametric plane for different values of the parameter .
3.2. Stability of Equilibrium States
In order to establish the stability of the equilibrium states previously determined, consider the Jacobian matrix associated with system (4) at an arbitrary equilibrium point :
which can be written in the following block matrix form:
where denotes a two-dimensional unit matrix and
is a symmetric matrix with real eigenvalues denoted by:
The characteristic equation associated with the equilibrium is
or equivalently:
which can be expressed as:
Hence, we obtain that s is a root of the characteristic Equation (13) if and only if is an eigenvalue of the matrix M. It follows that the characteristic Equation (13) can be written as:
Applying the theoretical results from Section 3, we obtain the following fractional-order-independent characterizations of the asymptotic stability and instability of the equilibrium states:
Proposition 3.
- asymptotically stable, regardless of the fractional orders and , if and only if ;
- unstable, regardless of the fractional orders and , if and only if .
Proof.
The proof of the inequality is trivial.
On one hand, the equilibrium state is asymptotically stable, regardless of the fractional order and , if and only if all the roots of the characteristic Equation (14) are in the open left half-plane, or equivalently, if and only if all the roots of both equations
have negative real parts. Considering , and , based on the first statement of Proposition 1, this holds if and only if
which reduces to
Taking into account that , it is enough to require .
On the other hand, the equilibrium state is unstable, regardless of the fractional order and , if and only if the characteristic Equation (14) has at least one root in the open right half-plane, i.e., if either one of the equations from (15) has a root with a positive real part. From the second statement of Proposition 1, this holds if either , or and , which translates to
As , it is enough to require , and the desired conclusion is obtained. □
Remark 2.
Proposition 3 gives necessary and sufficient conditions for the fractional-order-independent stability and instability of the equilibrium states of system (4), formulated in terms of simple inequalities involving the eigenvalue , which incorporates information about the equilibrium state, according to (15). It is important to remark that, based on the above result, when , the stability properties of the equilibrium state depend on the fractional orders and , as will be described in what follows.
Proposition 4.
Assume that the fractional orders are arbitrarily fixed such that and . There exists a unique value such that the equilibrium state of system (4) is asymptotically stable if and unstable if .
Proof.
The critical value is the value for which Equation (15) has a pair of roots on the imaginary axis. Hence, following Proposition 2, is given by the unique solution of the system (with the unknowns and )
As the qualitative behavior in a neighborhood of the equilibrium changes only at the critical value , the rest of the proof is a consequence of Proposition 3. □
Remark 3.
Considering the trivial equilibrium of system (4) (or system (3)), a simple computation shows that .
In the case of excitable coupling (), it follows that , and hence, the trivial equilibrium is always asymptotically stable, for any choice of the fractional orders, or the coupling coefficient g.
However, in the case of phase-repulsive coupling (), we have , and hence, based on Propositions 3 and 4, we have:
- if , the trivial equilibrium state is asymptotically stable, regardless of the fractional orders and ;
- if , the trivial equilibrium state is unstable, regardless of the fractional orders and ;
- if , the stability of the trivial equilibrium depends on the fractional orders and , as seen from Proposition 4.
4. Numerical Simulations
For the numerical simulations presented in this paper, we have employed the Adams–Bashforth–Moulton method developed for fractional-order systems in [45]. For a review of existing numerical methods that can be successfully applied to fractional-order systems with multiple fractional orders, we refer to [46].
4.1. Case 1: A Unique Equilibrium State
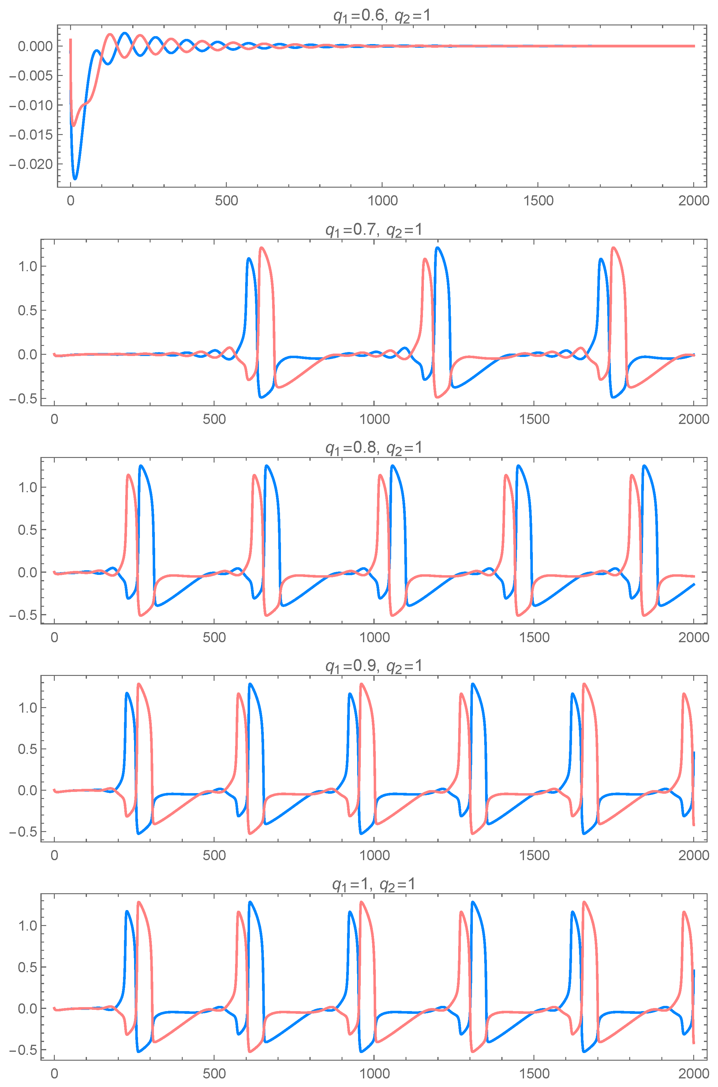
For the first set of numerical simulations, we consider the parameter values used in [25]: , and . Hence, we have and . It can be easily seen that for this combination of system parameters (also see Figure 1), the only equilibrium state of system (3) is the trivial one. Moreover, the parameters given by Proposition 3 are: and . From Remark 3, we deduce that if , the trivial equilibrium is asymptotically stable, independently of and , while for , the trivial equilibrium is unstable, for any fractional orders and . However, when , the stability of the trivial equilibrium depends on the choice of fractional orders and .
Based on the above observations, we first consider , and hence, . Fixing the fractional order , we determine the critical value of the fractional order by numerically solving system (16) for and , considering in this system. We find , and consequently, the trivial equilibrium is asymptotically stable from and unstable for , which is in agreement with the numerical simulations presented in Figure 2. For , periodic oscillations are observed in system (3), and the frequency of oscillations increases for larger values of . It can be conjectured that a supercritical Hopf-type bifurcation takes place in a neighborhood of the trivial equilibrium when ; however, at this point, the bifurcation theory of fractional-order systems is not well studied.
Figure 2.
Evolution of the membrane potentials (blue) and (red) of the two neurons, for fixed parameter values , and , coupling coefficient , fixed fractional order and (top to bottom). Initial conditions for system (3) have been chosen in a neighborhood of the trivial equilibrium.
In contrast with the classical integer-order case, it may be observed from Figure 2 that as the fractional order decreases from 1 to , single high-amplitude spikes alternate with small-amplitude oscillations, which do not fully decay to a quiescent phase. This remarkable difference between the integer-order and fractional-order models provides insight into the complex dynamics exhibited by systems of coupled neurons, and justifies a thorough further study of the different oscillatory patterns induced by the fractional orders.
4.2. Case 2: Five Coexisting Equilibrium States
For the second set of numerical simulations, we consider the following parameter values: , , and . Hence, we have and . For this combination of system parameters (also see Figure 1), five equilibrium states coexist in system (3), given in Table 1.
Table 1.
Equilibrium states of (3) for the parameter values: , and .
The parameters given by Proposition 3 are: and . Therefore, as for the first pair of asymmetric equilibrium states, we deduce that they are asymptotically stable, regardless of the fractional orders chosen in system (3). On the other hand, as for the second pair of asymmetric equilibrium states, it follows that they are unstable, regardless of the fractional orders chosen in system (3). However, as for the trivial equilibrium state, from Proposition 4, the stability of the trivial equilibrium depends on the choice of fractional orders.
For the trivial equilibrium state, fixing the fractional order , we determine the critical value of the fractional order by numerically solving system (16) for and , considering in this system. We find , and consequently, the trivial equilibrium is asymptotically stable from and unstable for . This is illustrated in Figure 3. Indeed, for , all trajectories initiated from a small neighborhood of the trivial equilibrium converge to origin. On the hand, for , the trajectories initiated from a small neighborhood of the trivial equilibrium converge to one of the asymptotically stable equilibria of the first asymmetric pair from Table 1.
Figure 3.
Evolution of the membrane potential for fixed parameter values , and , coupling coefficient , fixed fractional order and , considering multiple initial conditions for system (3) in a neighborhood of the trivial equilibrium (corresponding solutions plotted with different colors).
5. Conclusions
Stability analysis of the equilibrium states of a fractional-order coupled FitzHugh–Nagumo neuronal model was explored. Firstly, some preliminary results were enumerated. Then, the mathematical model was described using fractional-order derivatives of Caputo type. For the mathematical model, equilibrium states were determined, which were later investigated in terms of their stability. Moreover, numerical methods were provided in order to illustrate the theoretical results.
Directions for future research are the generalization of the present investigation to a network on non-identical neurons, and to higher-dimensional networks of FitzHugh–Nagumo neurons.
Author Contributions
Conceptualization, O.B. and E.K.; methodology, O.B. and E.K.; software, O.B. and E.K.; validation, O.B. and E.K.; formal analysis, O.B. and E.K.; investigation, O.B. and E.K.; resources, O.B. and E.K.; data curation, O.B. and E.K.; writing—original draft preparation, O.B. and E.K.; writing—review and editing, O.B. and E.K.; visualization, O.B. and E.K.; supervision, O.B. and E.K.; project administration, O.B. and E.K.; funding acquisition, O.B. and E.K. All authors have read and agreed to the published version of the manuscript.
Funding
This work was supported by CNCS-UEFISCDI, Project No. PN-III-P4-PCE2021-0204.
Institutional Review Board Statement
Not applicable.
Informed Consent Statement
Not applicable.
Data Availability Statement
Not applicable.
Conflicts of Interest
The authors declare no conflict of interest.
References
- Cottone, G.; Paola, M.D.; Santoro, R. A novel exact representation of stationary colored Gaussian processes (fractional differential approach). J. Phys. A Math. Theor. 2010, 43, 085002. [Google Scholar] [CrossRef]
- Engheia, N. On the role of fractional calculus in electromagnetic theory. IEEE Antennas Propag. Mag. 1997, 39, 35–46. [Google Scholar] [CrossRef]
- Henry, B.; Wearne, S. Existence of Turing instabilities in a two-species fractional reaction-diffusion system. SIAM J. Appl. Math. 2002, 62, 870–887. [Google Scholar] [CrossRef] [Green Version]
- Heymans, N.; Bauwens, J.C. Fractal rheological models and fractional differential equations for viscoelastic behavior. Rheologica Acta 1994, 33, 210–219. [Google Scholar] [CrossRef]
- Mainardi, F. Fractional Relaxation-Oscillation and Fractional Phenomena. Chaos Solitons Fractals 1996, 7, 1461–1477. [Google Scholar] [CrossRef]
- Du, M.; Wang, Z.; Hu, H. Measuring memory with the order of fractional derivative. Sci. Rep. 2013, 3, 3431. [Google Scholar] [CrossRef]
- Anastasio, T. The fractional-order dynamics of brainstem vestibulo-oculomotor neurons. Biol. Cybernet. 1994, 72, 69–79. [Google Scholar] [CrossRef]
- Lundstrom, B.; Higgs, M.; Spain, W.; Fairhall, A. Fractional differentiation by neocortical pyramidal neurons. Nat. Neurosci. 2008, 11, 1335–1342. [Google Scholar] [CrossRef]
- Weinberg, S.H. Membrane capacitive memory alters spiking in neurons described by the fractional-order Hodgkin-Huxley model. PLoS ONE 2015, 10, e0126629. [Google Scholar] [CrossRef]
- Drapaca, C. Fractional calculus in neuronal electromechanics. J. Mech. Mater. Struct. 2016, 12, 35–55. [Google Scholar] [CrossRef]
- Grevesse, T.; Dabiri, B.E.; Parker, K.K.; Gabriele, S. Opposite rheological properties of neuronal microcompartments predict axonal vulnerability in brain injury. Sci. Rep. 2015, 5, 9475. [Google Scholar] [CrossRef] [PubMed] [Green Version]
- Teka, W.; Marinov, T.M.; Santamaria, F. Neuronal spike timing adaptation described with a fractional leaky integrate-and-fire model. PLoS Comput. Biol. 2014, 10, e1003526. [Google Scholar] [CrossRef] [PubMed]
- Jun, D.; Guang-Jun, Z.; Yong, X.; Hong, Y.; Jue, W. Dynamic behavior analysis of fractional-order Hindmarsh–Rose neuronal model. Cogn. Neurodyn. 2014, 8, 167–175. [Google Scholar] [CrossRef] [PubMed] [Green Version]
- Kaslik, E. Analysis of two-and three-dimensional fractional-order Hindmarsh-Rose type neuronal models. Fract. Calc. Appl. Anal. 2017, 20, 623–645. [Google Scholar] [CrossRef] [Green Version]
- Brandibur, O.; Kaslik, E. Stability properties of a two-dimensional system involving one Caputo derivative and applications to the investigation of a fractional-order Morris-Lecar neuronal model. Nonlinear Dyn. 2017, 90, 2371–2386. [Google Scholar] [CrossRef] [Green Version]
- Shi, M.; Wang, Z. Abundant bursting patterns of a fractional-order Morris–Lecar neuron model. Commun. Nonlinear Sci. Numer. Simul. 2014, 19, 1956–1969. [Google Scholar] [CrossRef]
- Upadhyay, R.K.; Mondal, A.; Teka, W.W. Fractional-order excitable neural system with bidirectional coupling. Nonlinear Dyn. 2017, 87, 2219–2233. [Google Scholar] [CrossRef]
- Brandibur, O.; Kaslik, E. Stability of two-component incommensurate fractional-order systems and applications to the investigation of a FitzHugh-Nagumo neuronal model. Math. Methods Appl. Sci. 2018, 41, 7182–7194. [Google Scholar] [CrossRef] [Green Version]
- Teka, W.; Stockton, D.; Santamaria, F. Power-Law Dynamics of Membrane Conductances Increase Spiking Diversity in a Hodgkin-Huxley Model. PLoS Comput. Biol. 2016, 12, e1004776. [Google Scholar] [CrossRef]
- Majhi, S.; Bera, B.K.; Ghosh, D.; Perc, M. Chimera states in neuronal networks: A review. Phys. Life Rev. 2019, 28, 100–121. [Google Scholar] [CrossRef]
- Guo, S.; Dai, Q.; Cheng, H.; Li, H.; Xie, F.; Yang, J. Spiral wave chimera in two-dimensional nonlocally coupled Fitzhugh–Nagumo systems. Chaos Solitons Fractals 2018, 114, 394–399. [Google Scholar] [CrossRef]
- Schmidt, A.; Kasimatis, T.; Hizanidis, J.; Provata, A.; Hövel, P. Chimera patterns in two-dimensional networks of coupled neurons. Phys. Rev. E 2017, 95, 032224. [Google Scholar] [CrossRef] [PubMed] [Green Version]
- Eydam, S.; Franović, I.; Wolfrum, M. Leap-frog patterns in systems of two coupled FitzHugh-Nagumo units. Phys. Rev. E 2019, 99, 042207. [Google Scholar] [CrossRef] [PubMed] [Green Version]
- Mao, X. Complicated dynamics of a ring of nonidentical FitzHugh–Nagumo neurons with delayed couplings. Nonlinear Dyn. 2017, 87, 2395–2406. [Google Scholar] [CrossRef]
- Lavrova, S.; Kudryashov, N.; Sinelshchikov, D. On some properties of the coupled Fitzhugh-Nagumo equations. J. Phys. Conf. Ser. 2019, 1205, 012035. [Google Scholar] [CrossRef] [Green Version]
- Mondal, A.; Sharma, S.K.; Upadhyay, R.K.; Mondal, A. Firing activities of a fractional-order FitzHugh-Rinzel bursting neuron model and its coupled dynamics. Sci. Rep. 2019, 9, 15721. [Google Scholar] [CrossRef]
- Li, X.; Han, C.; Wang, Y. Novel Patterns in Fractional-in-Space Nonlinear Coupled FitzHugh–Nagumo Models with Riesz Fractional Derivative. Fractal Fract. 2022, 6, 136. [Google Scholar] [CrossRef]
- Ramadoss, J.; Aghababaei, S.; Parastesh, F.; Rajagopal, K.; Jafari, S.; Hussain, I. Chimera state in the network of fractional-order fitzhugh–nagumo neurons. Complexity 2021, 2021, 2437737. [Google Scholar] [CrossRef]
- Momani, S.; Freihat, A.; Al-Smadi, M. Analytical study of fractional-order multiple chaotic FitzHugh-Nagumo neurons model using multistep generalized differential transform method. Abstract Appl. Anal. 2014, 2014, 276279. [Google Scholar] [CrossRef] [Green Version]
- Podlubny, I. Fractional Differential Equations; Academic Press: Cambridge, MA, USA, 1999. [Google Scholar]
- Diethelm, K. The Analysis of Fractional Differential Equations; Springer: Berlin/Heidelberg, Germany, 2004. [Google Scholar]
- Kilbas, A.; Srivastava, H.; Trujillo, J. Theory and Applications of Fractional Differential Equations; Elsevier: Amsterdam, The Netherlands, 2006. [Google Scholar]
- Samko, S.G.; Kilbas, A.A.; Marichev, O.I. Fractional Integrals and Derivatives; Gordon and breach Science Publishers: Yverdon Yverdon-les-Bains, Switzerland, 1993; Volume 1. [Google Scholar]
- Li, C.; Zhang, F. A survey on the stability of fractional differential equations. Eur. Phys. J. Special Top. 2011, 193, 27–47. [Google Scholar] [CrossRef]
- Rivero, M.; Rogosin, S.V.; Tenreiro Machado, J.A.; Trujillo, J.J. Stability of fractional order systems. Math. Prob. Eng. 2013, 2013, 356215. [Google Scholar] [CrossRef]
- Sabatier, J.; Farges, C. On stability of commensurate fractional order systems. Int. J. Bifurc. Chaos 2012, 22, 1250084. [Google Scholar] [CrossRef]
- Matignon, D. Stability Results For Fractional Differential Equations With Applications To Control Processing. In Proceedings of the Computational Engineering in Systems Applications, Lille, France, 9–12 July 1996; pp. 963–968. [Google Scholar]
- Cong, N.; Tuan, H.; Trinh, H. On asymptotic properties of solutions to fractional differential equations. J. Math. Anal. Appl. 2020, 484, 123759. [Google Scholar] [CrossRef] [Green Version]
- Brandibur, O.; Kaslik, E. Exact stability and instability regions for two-dimensional linear autonomous systems of fractional-order differential equations. Fract. Calc. Appl. Anal. 2021, 24, 225–253. [Google Scholar] [CrossRef]
- Brandibur, O.; Garrappa, R.; Kaslik, E. Stability of Systems of Fractional-Order Differential Equations with Caputo Derivatives. Mathematics 2021, 9, 914. [Google Scholar] [CrossRef]
- Lakshmikantham, V.; Leela, S.; Devi, J.V. Theory of Fractional Dynamic Systems; Scientific Publishers: Cambridge, MA, USA, 2009. [Google Scholar]
- Brandibur, O.; Kaslik, E. Stability analysis of multi-term fractional-differential equations with three fractional derivatives. J. Math. Anal. Appl. 2021, 495, 124751. [Google Scholar] [CrossRef]
- Doetsch, G. Introduction to the Theory and Application of the Laplace Transformation; Springer: Berlin/Heidelberg, Germany, 1974. [Google Scholar]
- Westerlund, S.; Ekstam, L. Capacitor theory. IEEE Trans. Dielectr. Electr. Insul. 1994, 1, 826–839. [Google Scholar] [CrossRef]
- Diethelm, K.; Ford, N.; Freed, A. A predictor-corrector approach for the numerical solution of fractional differential equations. Nonlinear Dyn. 2002, 29, 3–22. [Google Scholar] [CrossRef]
- Garrappa, R. Numerical solution of fractional differential equations: A survey and a software tutorial. Mathematics 2018, 6, 16. [Google Scholar] [CrossRef] [Green Version]
Publisher’s Note: MDPI stays neutral with regard to jurisdictional claims in published maps and institutional affiliations. |
© 2022 by the authors. Licensee MDPI, Basel, Switzerland. This article is an open access article distributed under the terms and conditions of the Creative Commons Attribution (CC BY) license (https://creativecommons.org/licenses/by/4.0/).


