Numerical Analysis of Time-Fractional Whitham-Broer-Kaup Equations with Exponential-Decay Kernel
Abstract
:1. Introduction
2. Preliminaries Concepts
3. The Producer of YDM
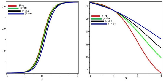
4. Numerical Results
5. Conclusions
Funding
Institutional Review Board Statement
Informed Consent Statement
Data Availability Statement
Acknowledgments
Conflicts of Interest
References
- Kavitha, K.; Vijayakumar, V.; Udhayakumar, R.; Sakthivel, N.; Sooppy Nisar, K. A note on approximate controllability of the Hilfer fractional neutral differential inclusions with infinite delay. Math. Methods Appl. Sci. 2021, 44, 4428–4447. [Google Scholar] [CrossRef]
- Shah, R.; Farooq, U.; Khan, H.; Baleanu, D.; Kumam, P.; Arif, M. Fractional View Analysis of Third Order Kortewege-De Vries Equations, Using a New Analytical Technique. Front. Phys. 2020, 7, 244. [Google Scholar] [CrossRef] [Green Version]
- Vijayakumar, V.; Nisar, K.S.; Chalishajar, D.; Shukla, A.; Malik, M.; Alsaadi, A.; Aldosary, S.F. A Note on Approximate Controllability of Fractional Semilinear Integrodifferential Control Systems via Resolvent Operators. Fractal Fract. 2022, 6, 73. [Google Scholar] [CrossRef]
- Shah, R.; Khan, H.; Farooq, U.; Baleanu, D.; Kumam, P.; Arif, M. A New Analytical Technique to Solve System of Fractional-Order Partial Differential Equations. IEEE Access 2019, 7, 150037–150050. [Google Scholar] [CrossRef]
- Hammouch, Z.; Mekkaoui, T.; Agarwal, P. Optical solitons for the Calogero-Bogoyavlenskii-Schiff equation in (2 + 1) dimensions with time-fractional conformable derivative. Eur. Phys. J. Plus 2018, 133, 248. [Google Scholar] [CrossRef]
- Shah, R.; Khan, H.; Baleanu, D.; Kumam, P.; Arif, M. The analytical investigation of time-fractional multi-dimensional Navier–Stokes equation. Alex. Eng. J. 2020, 59, 2941–2956. [Google Scholar] [CrossRef]
- Ruzhansky, M.; Cho, Y.J.; Agarwal, P.; Area, I. (Eds.) Advances in Real and Complex Analysis with Applications; Springer: Singapore, 2017. [Google Scholar]
- Alesemi, M.; Iqbal, N.; Botmart, T. Novel Analysis of the Fractional-Order System of Non-Linear Partial Differential Equations with the Exponential-Decay Kernel. Mathematics 2022, 10, 615. [Google Scholar] [CrossRef]
- Xie, F.; Yan, Z.; Zhang, H. Explicit and exact traveling wave solutions of Whitham-Broer-Kaup shallow water equations. Phys. Lett. A 2001, 285, 76–80. [Google Scholar] [CrossRef]
- Wang, L.; Chen, X. Approximate analytical solutions of time fractional Whitham-Broer-Kaup equations by a residual power series method. Entropy 2015, 17, 6519–6533. [Google Scholar] [CrossRef] [Green Version]
- Ali, A.; Shah, K.; Khan, R.A. Numerical treatment for traveling wave solutions of fractional Whitham-Broer-Kaup equations. Alex. Eng. J. 2018, 57, 1991–1998. [Google Scholar] [CrossRef]
- Ahmad, J.; Mushtaq, M.; Sajjad, N. Exact Solution of Whitham Broer-Kaup Shallow Water Wave Equations. J. Sci. Arts 2015, 15, 5. [Google Scholar]
- Kupershmidt, B. Mathematics of dispersive water waves. Commun. Math. Phys. 1985, 99, 51–73. [Google Scholar] [CrossRef]
- Whitham, G.B. Variational methods and applications to water waves. Proceedings of the Royal Society of London. Ser. A Math. Phys. Sci. 1967, 299, 6–25. [Google Scholar]
- Broer, L.J.F. Approximate equations for long water waves. Appl. Sci. Res. 1975, 31, 377–395. [Google Scholar] [CrossRef]
- Kaup, D. A higher-order water-wave equation and the method for solving it. Prog. Theor. Phys. 1975, 54, 396–408. [Google Scholar] [CrossRef]
- Rashidi, M.M.; Ganji, D.D.; Dinarvand, S. Approximate traveling wave solutions of coupled Whitham-Broer-Kaup shallow water equations by homotopy analysis method. Differ. Equ. Nonlinear Mech. 2008, 2008, 243459. [Google Scholar] [CrossRef] [Green Version]
- Mohyud-Din, S.T.; Noor, M.A. Homotopy perturbation method for solving partial differential equations. Z. Fur Nat. A 2009, 64, 157–170. [Google Scholar] [CrossRef]
- Biazar, J.; Aminikhah, H. Study of convergence of homotopy perturbation method for systems of partial differential equations. Comput. Math. Appl. 2009, 58, 2221–2230. [Google Scholar]
- Yuzbasi, S.; Sahin, N. Numerical solutions of singularly perturbed one-dimensional parabolic convection-diffusion problems by the Bessel collocation method. Appl. Math. Comput. 2013, 220, 305–315. [Google Scholar]
- Shah, R.; Khan, H.; Baleanu, D. Fractional Whitham-Broer-Kaup equations within modified analytical approaches. Axioms 2019, 8, 125. [Google Scholar] [CrossRef] [Green Version]
- Ali, I.; Khan, H.; Shah, R.; Baleanu, D.; Kumam, P.; Arif, M. Fractional view analysis of acoustic wave equations, using fractional-order differential equations. Appl. Sci. 2020, 10, 610. [Google Scholar] [CrossRef] [Green Version]
- Nonlaopon, K.; Alsharif, A.M.; Zidan, A.M.; Khan, A.; Hamed, Y.S.; Shah, R. Numerical investigation of fractional-order Swift-Hohenberg equations via a Novel transform. Symmetry 2021, 13, 1263. [Google Scholar] [CrossRef]
- Xu, J.; Khan, H.; Shah, R.; Alderremy, A.A.; Aly, S.; Baleanu, D. The analytical analysis of nonlinear fractional-order dynamical models. AIMS Math. 2021, 6, 6201–6219. [Google Scholar] [CrossRef]
- Iqbal, N.; Yasmin, H.; Ali, A.; Bariq, A.; Al-Sawalha, M.M.; Mohammed, W.W. Numerical Methods for Fractional-Order Fornberg-Whitham Equations in the Sense of Atangana-Baleanu Derivative. J. Funct. Spaces 2021, 2021, 2197247. [Google Scholar] [CrossRef]
- Mohyud-Din, S.T.; Yildirim, A.; Demirli, G. Traveling wave solutions of Whitham-Broer-Kaup equations by homotopy perturbation method. J. King Saud Univ. Sci. 2010, 22, 173–176. [Google Scholar] [CrossRef] [Green Version]
- Iqbal, N.; Yasmin, H.; Rezaiguia, A.; Kafle, J.; Almatroud, A.O.; Hassan, T.S. Analysis of the Fractional-Order Kaup-Kupershmidt Equation via Novel Transforms. J. Math. 2021, 2021, 2567927. [Google Scholar] [CrossRef]
- Rach, R. On the Adomian (decomposition) method and comparisons with Picard’s method. J. Math. Anal. Appl. 1987, 128, 480–483. [Google Scholar] [CrossRef] [Green Version]
- Wazwaz, A.M. A reliable modification of Adomian decomposition method. Appl. Math. Comput. 1999, 102, 77–86. [Google Scholar] [CrossRef]
- Alesemi, M.; Iqbal, N.; Hamoud, A.A. The Analysis of Fractional-Order Proportional Delay Physical Models via a Novel Transform. Complexity 2022, 2022, 2431533. [Google Scholar] [CrossRef]
- Alesemi, M.; Iqbal, N.; Abdo, M.S. Novel Investigation of Fractional-Order Cauchy-Reaction Diffusion Equation Involving Caputo-Fabrizio Operator. J. Funct. Spaces 2022, 2022, 4284060. [Google Scholar] [CrossRef]
- Kumar, M. Numerical solution of singular boundary value problems using advanced Adomian decomposition method. Eng. Comput. 2021, 37, 2853–2863. [Google Scholar]
- Agarwal, R.; Mofarreh, F.; Shah, R.; Luangboon, W.; Nonlaopon, K. An Analytical Technique, Based on Natural Transform to Solve Fractional-Order Parabolic Equations. Entropy 2021, 23, 1086. [Google Scholar] [CrossRef] [PubMed]
- Caputo, M.; Fabrizio, M. On the singular kernels for fractional derivatives. some applications to partial differential equations. Progr. Fract. Differ. Appl. 2021, 7, 1–4. [Google Scholar]
- Yang, X.J. A new integral transform method for solving steady heat-transfer problem. Therm. Sci. 2016, 20 (Suppl. S3), 639–642. [Google Scholar] [CrossRef] [Green Version]
- Ahmad, S.; Ullah, A.; Akgul, A.; De la Sen, M. A Novel Homotopy Perturbation Method with Applications to Nonlinear Fractional Order KdV and Burger Equation with Exponential-Decay Kernel. J. Funct. Spaces 2021, 2021, 8770488. [Google Scholar] [CrossRef]
- El-Sayed, S.M.; Kaya, D. Exact and numerical traveling wave solutions of Whitham Broer Kaup equations. Appl. Math. Comput. 2005, 167, 1339–1349. [Google Scholar] [CrossRef]
- Rafei, M.; Daniali, H. Application of the variational iteration method to the Whitham-Broer-Kaup equations. Comput. Math. Appl. 2007, 54, 1079–1085. [Google Scholar] [CrossRef] [Green Version]
- Sirajul, H.; Ishaq, M. Solution of coupled Whitham-Broer-Kaup equations using optimal homotopy asymptotic method. Ocean. Eng. 2014, 84, 81–88. [Google Scholar]








| at 0.5 | at 0.75 | at 1 | Exact Result | |
|---|---|---|---|---|
| (0.1, 0.2) | 0.501928 | 0.501886 | 0.501893 | 0.501893 |
| (0.1, 0.4) | 0.501964 | 0.501938 | 0.501920 | 0.501920 |
| (0.1, 0.6) | 0.501989 | 0.501968 | 0.501858 | 0.501948 |
| (0.2, 0.2) | 0.499230 | 0.497189 | 0.499196 | 0.498090 |
| (0.2, 0.4) | 0.499265 | 0.497242 | 0.499223 | 0.498223 |
| (0.2, 0.6) | 0.499389 | 0.499269 | 0.499248 | 0.499148 |
| (0.3, 0.2) | 0.496582 | 0.496570 | 0.496569 | 0.494569 |
| (0.3, 0.4) | 0.496636 | 0.496413 | 0.496595 | 0.496595 |
| (0.3, 0.6) | 0.496659 | 0.496638 | 0.496620 | 0.496620 |
| (0.4, 0.2) | 0.49384 | 0.493818 | 0.493988 | 0.493988 |
| (0.4, 0.4) | 0.493874 | 0.493830 | 0.493833 | 0.493833 |
| (0.4, 0.6) | 0.493896 | 0.493877 | 0.493859 | 0.493859 |
| (0.5, 0.2) | 0.491544 | 0.491324 | 0.491512 | 0.491512 |
| (0.5, 0.4) | 0.491576 | 0.491354 | 0.491537 | 0.491327 |
| (0.5, 0.6) | 0.491598 | 0.491578 | 0.491562 | 0.491442 |
| at 0.5 | at 0.75 | at 1 | Exact Result | |
|---|---|---|---|---|
| (0.1, 0.2) | 0.0828104 | 0.0828124 | 0.0827800 | 0.0828900 |
| (0.1, 0.4) | 0.0828425 | 0.0828208 | 0.0828235 | 0.0839235 |
| (0.1, 0.6) | 0.0828646 | 0.0828460 | 0.0828280 | 0.0828391 |
| (0.2, 0.2) | 0.0804153 | 0.0803760 | 0.0803648 | 0.0803648 |
| (0.2, 0.4) | 0.0804264 | 0.0804054 | 0.0803886 | 0.0803886 |
| (0.2, 0.6) | 0.0804478 | 0.0804318 | 0.0804124 | 0.0804124 |
| (0.3, 0.2) | 0.0780546 | 0.0782358 | 0.0780250 | 0.0782472 |
| (0.3, 0.4) | 0.0780847 | 0.0780843 | 0.0780481 | 0.0782481 |
| (0.3, 0.6) | 0.0781055 | 0.0780881 | 0.0780711 | 0.0782711 |
| (0.4, 0.2) | 0.0757854 | 0.0757671 | 0.0757567 | 0.0757567 |
| (0.4, 0.4) | 0.0758148 | 0.0758148 | 0.0757810 | 0.0757780 |
| (0.4, 0.6) | 0.0758347 | 0.0758178 | 0.0758014 | 0.0758014 |
| (0.5, 0.2) | 0.0735850 | 0.0735673 | 0.0735572 | 0.0735578 |
| (0.5, 0.4) | 0.0736133 | 0.0736141 | 0.0735788 | 0.0735788 |
| (0.5, 0.6) | 0.0736328 | 0.0736164 | 0.0736225 | 0.0738005 |
| AE of ADM [37] | AE of VIM [38] | AE of OHAM [39] | AE of YDM | |
|---|---|---|---|---|
| (0.1, 0.2) | 1.05983 | 1.34144 | 1.18169 | 1.56432 |
| (0.1, 0.4) | 9.75585 | 3.78688 | 3.15656 | 4.42375 |
| (0.1, 0.6) | 8.77423 | 6.27984 | 4.92412 | 2.18645 |
| (0.2, 0.2) | 4.37319 | 1.38978 | 1.12395 | 1.46768 |
| (0.2, 0.4) | 3.82189 | 3.51189 | 2.86457 | 4.35336 |
| (0.2, 0.6) | 3.51272 | 6.10117 | 4.51245 | 1.86439 |
| (0.3, 0.2) | 9.62833 | 1.25698 | 1.13664 | 1.38262 |
| (0.3, 0.4) | 8.84418 | 3.61977 | 2.62353 | 4.13675 |
| (0.3, 0.6) | 8.33563 | 5.96721 | 4.46642 | 1.46354 |
| (0.4, 0.2) | 1.86687 | 1.24938 | 9.24537 | 1.84245 |
| (0.4, 0.4) | 1.72542 | 3.52859 | 2.63564 | 3.60624 |
| (0.4, 0.6) | 1.58687 | 5.81821 | 4.65446 | 1.56784 |
| (0.5, 0.2) | 2.88628 | 1.21847 | 9.72736 | 1.42355 |
| (0.5, 0.4) | 2.47825 | 3.44373 | 2.33457 | 3.52237 |
| (0.5, 0.6) | 2.47295 | 5.47346 | 4.38895 | 1.66734 |
| AE of ADM [37] | AE of VIM [38] | AE of OHAM [39] | AE of YDM | |
|---|---|---|---|---|
| (0.1, 0.2) | 6.52318 | 1.23581 | 5.72451 | 3.262182 |
| (0.1, 0.4) | 5.87694 | 3.53456 | 3.24632 | 8.94623 |
| (0.1, 0.6) | 5.72618 | 5.63261 | 3.38923 | 4.23455 |
| (0.2, 0.2) | 1.44292 | 1.18127 | 5.45771 | 3.18974 |
| (0.2, 0.4) | 1.33452 | 3.34512 | 2.86341 | 8.21855 |
| (0.2, 0.6) | 1.25527 | 5.47838 | 2.82545 | 3.72424 |
| (0.3, 0.2) | 2.14563 | 1.14848 | 5.36746 | 2.45694 |
| (0.3, 0.4) | 1.84963 | 3.22828 | 2.74231 | 7.67817 |
| (0.3, 0.6) | 1.72318 | 5.32558 | 2.66463 | 3.4356 |
| (0.4, 0.2) | 2.98211 | 1.11468 | 5.23838 | 2.71232 |
| (0.4, 0.4) | 2.59845 | 3.13456 | 2.72338 | 7.24545 |
| (0.4, 0.6) | 2.61896 | 5.15382 | 2.54328 | 3.25166 |
| (0.5, 0.2) | 3.84384 | 9.86396 | 4.83832 | 2.13536 |
| (0.5, 0.4) | 3.58728 | 2.84228 | 2.84563 | 6.19148 |
| (0.5, 0.6) | 3.35348 | 4.72446 | 2.52741 | 3.24436 |
| at 0.5 | at 0.75 | at 1 | Exact Result | |
|---|---|---|---|---|
| (0.1, 0.2) | 0.500726 | 0.500684 | 0.500671 | 0.500761 |
| (0.1, 0.4) | 0.500742 | 0.500738 | 0.500720 | 0.500720 |
| (0.1, 0.6) | 0.500767 | 0.500746 | 0.500726 | 0.500826 |
| (0.2, 0.2) | 0.497230 | 0.497187 | 0.498174 | 0.498074 |
| (0.2, 0.4) | 0.497243 | 0.497221 | 0.497453 | 0.498121 |
| (0.2, 0.6) | 0.496267 | 0.497047 | 0.497248 | 0.498128 |
| (0.3, 0.2) | 0.494382 | 0.494360 | 0.494347 | 0.495447 |
| (0.3, 0.4) | 0.494414 | 0.494411 | 0.494373 | 0.495473 |
| (0.3, 0.6) | 0.494437 | 0.494418 | 0.494400 | 0.49540 |
| (0.4, 0.2) | 0.491920 | 0.491818 | 0.492786 | 0.492886 |
| (0.4, 0.4) | 0.491852 | 0.491831 | 0.492810 | 0.492911 |
| (0.4, 0.6) | 0.491874 | 0.491855 | 0.491993 | 0.492937 |
| (0.5, 0.2) | 0.491322 | 0.491322 | 0.490312 | 0.490410 |
| (0.5, 0.4) | 0.491354 | 0.491332 | 0.490315 | 0.490415 |
| (0.5, 0.6) | 0.491278 | 0.491358 | 0.490342 | 0.490440 |
| at 0.5 | at 0.75 | at 1 | Exact Result | |
|---|---|---|---|---|
| (0.1, 0.2) | 0.0939215 | 0.0939015 | 0.09389 | 0.09389 |
| (0.1, 0.4) | 0.0939536 | 0.0939319 | 0.0939146 | 0.0939146 |
| (0.1, 0.6) | 0.0939757 | 0.0939571 | 0.0939391 | 0.0939391 |
| (0.2, 0.2) | 0.0915064 | 0.091487 | 0.0914759 | 0.0914759 |
| (0.2, 0.4) | 0.0915375 | 0.0915165 | 0.0914997 | 0.0914997 |
| (0.2, 0.6) | 0.0915589 | 0.0915409 | 0.0915235 | 0.0915235 |
| (0.3, 0.2) | 0.0891657 | 0.0891469 | 0.0891361 | 0.0891361 |
| (0.3, 0.4) | 0.0891958 | 0.0891754 | 0.0891592 | 0.0891592 |
| (0.3, 0.6) | 0.0892166 | 0.0891992 | 0.0891822 | 0.0891822 |
| (0.4, 0.2) | 0.0868965 | 0.0868782 | 0.0868678 | 0.0868678 |
| (0.4, 0.4) | 0.0869257 | 0.0869059 | 0.0868901 | 0.08688901 |
| (0.4, 0.6) | 0.0869458 | 0.0869289 | 0.0869125 | 0.0869125 |
| (0.5, 0.2) | 0.0846961 | 0.0846784 | 0.0846683 | 0.0846683 |
| (0.5, 0.4) | 0.0847244 | 0.0847052 | 0.0846899 | 0.0846899 |
| (0.5, 0.6) | 0.0847439 | 0.0847275 | 0.0847116 | 0.0847116 |
Publisher’s Note: MDPI stays neutral with regard to jurisdictional claims in published maps and institutional affiliations. |
© 2022 by the author. Licensee MDPI, Basel, Switzerland. This article is an open access article distributed under the terms and conditions of the Creative Commons Attribution (CC BY) license (https://creativecommons.org/licenses/by/4.0/).
Share and Cite
Yasmin, H. Numerical Analysis of Time-Fractional Whitham-Broer-Kaup Equations with Exponential-Decay Kernel. Fractal Fract. 2022, 6, 142. https://doi.org/10.3390/fractalfract6030142
Yasmin H. Numerical Analysis of Time-Fractional Whitham-Broer-Kaup Equations with Exponential-Decay Kernel. Fractal and Fractional. 2022; 6(3):142. https://doi.org/10.3390/fractalfract6030142
Chicago/Turabian StyleYasmin, Humaira. 2022. "Numerical Analysis of Time-Fractional Whitham-Broer-Kaup Equations with Exponential-Decay Kernel" Fractal and Fractional 6, no. 3: 142. https://doi.org/10.3390/fractalfract6030142
APA StyleYasmin, H. (2022). Numerical Analysis of Time-Fractional Whitham-Broer-Kaup Equations with Exponential-Decay Kernel. Fractal and Fractional, 6(3), 142. https://doi.org/10.3390/fractalfract6030142
