Modified Predictor–Corrector Method for the Numerical Solution of a Fractional-Order SIR Model with 2019-nCoV
Abstract
:1. Introduction
2. Preliminaries
3. Mathematical Formulation of the SIRU Model
- (1)
- The system considered in Equation (4) depends on the ordinary derivative, which is the local operator, while Equation (5) depends on the fractional derivative, which, according to the definition of the Caputo derivative, takes into account some memory effect.
- (2)
- The dependence on an additional parameter, the fractional-order parameter, provides an additional degree of freedom, enabling it to fit better with the experimental data.
- (3)
- The fractional integrals on the right-hand side of system (5) describe the hereditariness of this phenomenon.
- (4)
- When α = 1, this system becomes the ordinary SIRU model, thus being a good candidate for a generalization.
4. Numerical Method for the Fractional-Order Equation
5. Solution for the Projected Models
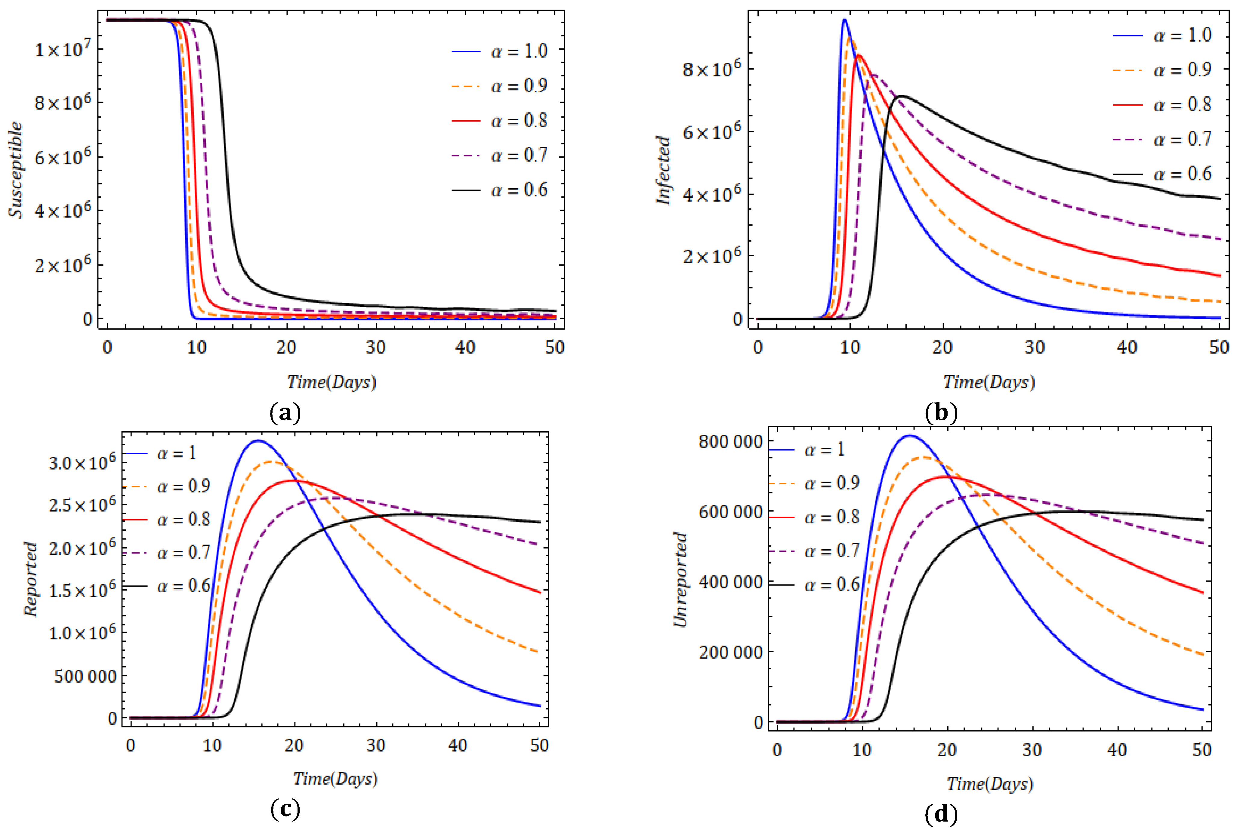
6. Results and Conclusions
Author Contributions
Funding
Institutional Review Board Statement
Informed Consent Statement
Data Availability Statement
Acknowledgments
Conflicts of Interest
References
- Estola, T. Coronaviruses, a New Group of Animal RNA Viruses. Avian Dis. 1970, 14, 330. [Google Scholar] [CrossRef] [PubMed]
- Kahn, J.S.; McIntosh, K. History and Recent Advances in Coronavirus Discovery. Pediatr. Infect. Dis. J. 2005, 24, S223–S227. [Google Scholar] [CrossRef]
- Worldometer, COVID-19 Coronavirus Pandemic. Available online: https://www.worldometers.info/coronavirus/ (accessed on 5 July 2020).
- Riemann, G.F.B. Versucheinerallgemeinen Auffassung der Integration und Differentiation. Gesammelte Math. Werke Leipz. 1896, 62, 331–344. [Google Scholar]
- Caputo, M. Elasticita e Dissipazione; Zanichelli: Bologna, Italy, 1969. [Google Scholar]
- Miller, K.S.; Ross, B. An Introduction to Fractional Calculus and Fractional Differential Equations; Wiley: New York, NY, USA, 1993. [Google Scholar]
- Podlubny, I. Fractional Differential Equations; Academic Press: New York, NY, USA, 1999. [Google Scholar]
- Kilbas, A.A.; Srivastava, H.M.; Trujillo, J.J. Theory and Applications of Fractional Differential Equations; North-Holland Mathematical Studies; Elsevier (North-Holland) Science Publishers: Amsterdam, The Netherlands, 2006; Volume 204. [Google Scholar]
- Baleanu, D.; Guvenc, Z.B.; Tenreiro Machado, J.A. New Trends in Nanotechnology and Fractional Calculus Applications; Springer: Berlin/Heidelberg, Germany, 2010. [Google Scholar]
- Baleanu, D.; Wu, G.-C.; Zeng, S. Chaos analysis and asymptotic stability of generalized Caputo fractional differential equations. Chaos Solitons Fractals 2017, 102, 99–105. [Google Scholar] [CrossRef]
- Veeresha, P.; Prakasha, D.G.; Baskonus, H.M. New numerical surfaces to the mathematical model of cancer chemotherapy effect in Caputo fractional derivatives. Chaos Interdiscip. J. Nonlinear Sci. 2019, 29, 013119. [Google Scholar] [CrossRef]
- Alkahtani, B.S.T.; Atangana, A. Analysis of non-homogeneous heat model with new trend of derivative with fractional order. Chaos Solitons Fractals 2016, 89, 566–571. [Google Scholar] [CrossRef]
- Veeresha, P.; Ilhan, E.; Baskonus, H.M. Fractional approach for analysis of the model describing wind-influenced projectile motion. Phys. Scr. 2021, 96, 075209. [Google Scholar] [CrossRef]
- Veeresha, P.; Prakasha, D. Solution for fractional generalized Zakharov equations with Mittag-Leffler function. Results Eng. 2020, 5, 100085. [Google Scholar] [CrossRef]
- Khan, M.A.; Atangana, A. Modeling the dynamics of novel coronavirus (2019-nCov) with fractional derivative. Alex. Eng. J. 2020, 59, 2379–2389. [Google Scholar] [CrossRef]
- Chen, T.-M.; Rui, J.; Wang, Q.-P.; Zhao, Z.-Y.; Cui, J.-A.; Yin, L. A mathematical model for simulating the phase-based transmissibility of a novel coronavirus. Infect. Dis. Poverty 2020, 9, 24. [Google Scholar] [CrossRef] [Green Version]
- Li, Y.; Wang, B.; Peng, R.; Zhou, C.; Zhan, Y.; Zhang, X.; Jiang, X.; Zhao, B. Mathematical Modeling and Epidemic Prediction of Covid-19 and Its Significance to Epidemic Prevention and Control Measures. J. Surg. Case Rep. Images 2020, 1, 1–19. [Google Scholar] [CrossRef]
- Gao, W.; Veeresha, P.; Prakasha, D.G.; Baskonus, H.M. Novel Dynamic Structures of 2019-nCoV with Nonlocal Operator via Powerful Computational Technique. Biology 2020, 9, 107. [Google Scholar] [CrossRef] [PubMed]
- Atangana, A. Modelling the spread of COVID-19 with new fractal-fractional operators: Can the lockdown save mankind before vaccination? Chaos Solitons Fractals 2020, 136, 109860. [Google Scholar] [CrossRef]
- Gao, W.; Veeresha, P.; Baskonus, H.M.; Prakasha, D.G.; Kumar, P. A new study of unreported cases of 2019-nCOV epidemic outbreaks. Chaos Solitons Fractals 2020, 138, 109929. [Google Scholar] [CrossRef] [PubMed]
- Liu, Z.; Magal, P.; Seydi, O.; Webb, G. Understanding Unreported Cases in the COVID-19 Epidemic Outbreak in Wuhan, China, and the Importance of Major Public Health Interventions. Biology 2020, 9, 50. [Google Scholar] [CrossRef] [PubMed] [Green Version]
- Din, R.U.; Shah, K.; Ahmad, I.; Abdeljawad, T. Study of transmission dynamics of novel COVID-19 by using mathematical model. Adv. Differ. Equations 2020, 2020, 323. [Google Scholar] [CrossRef]
- Kiran, M.S.; Betageri, V.; Prakasha, D.G.; Veeresha, P.; Kumar, S. A mathematical analysis of ongoing outbreak COVID-19 in India through nonsingular derivative. Numer. Methods Partial Differ. Equ. 2021, 37, 1282–1298. [Google Scholar] [CrossRef]
- Rahman, G.U.; Shah, K.; Haq, F.; Ahmad, N. Host vector dynamics of pine wilt disease model with convex incidence rate. Chaos Solitons Fractals 2018, 113, 31–39. [Google Scholar] [CrossRef]
- Lu, R.; Zhao, X.; Li, J.; Niu, P.; Yang, B.; Wu, H.; Wang, W.; Song, H.; Huang, B.; Zhu, N.; et al. Genomic characterisation and epidemiology of 2019 novel coronavirus: Implications for virus origins and receptor binding. Lancet 2020, 395, 565–574. [Google Scholar] [CrossRef] [Green Version]
- Buonomo, B.; Lacitignola, D. On the dynamics of an SEIR epidemic model with a convex incidence rate. Ric. Mat. 2008, 57, 261–281. [Google Scholar] [CrossRef]
- Lin, Q.; Zhao, S.; Gao, D.; Lou, Y.; Yang, S.; Musa, S.S.; Wang, M.H.; Cai, Y.; Wang, W.; Yang, L.; et al. A conceptual model for the coronavirus disease 2019 (COVID-19) outbreak in Wuhan, China with individual reaction and governmental action. Int. J. Infect. Dis. 2020, 93, 211–216. [Google Scholar] [CrossRef] [PubMed]
- Ndaïrou, F.; Area, I.; Nieto, J.J.; Torres, D.F. Mathematical modeling of COVID-19 transmission dynamics with a case study of Wuhan. Chaos Solitons Fractals 2020, 135, 109846. [Google Scholar] [CrossRef] [PubMed]
- Baishya, C.; Veeresha, P. Laguerre polynomial-based operational matrix of integration for solving fractional differential equations with non-singular kernel. Proc. R. Soc. A 2021, 477, 20210438. [Google Scholar] [CrossRef]
- Diethelm, K.; Ford, N. Analysis of Fractional Differential Equations. J. Math. Anal. Appl. 2002, 265, 229–248. [Google Scholar] [CrossRef] [Green Version]
- Baishya, C. An operational matrix based on the Independence polynomial of a complete bipartite graph for the Caputo fractional derivative. SeMA J. 2021, 68, 2. [Google Scholar] [CrossRef]
- Baishya, C.; Achar, S.J.; Veeresha, P.; Prakasha, D.G. Dynamics of a fractional epidemiological model with disease infection in both the populations. Chaos: Interdiscip. J. Nonlinear Sci. 2021, 31, 043130. [Google Scholar] [CrossRef]
- Baishya, C. Dynamics of fractional stage structured predator prey model with prey refuge. Indian J. Ecol. 2020, 47, 1118–1124. [Google Scholar]
- Achar, S.J.; Baishya, C.; Kaabar, M.K.A. Dynamics of the worm transmission in wireless sensor network in the framework of fractional derivatives. Math. Methods Appl. Sci. 2021, 1–17. [Google Scholar] [CrossRef]
- Caputo, M.; Fabrizio, M. A new definition of fractional derivative without singular kernel. Progr. Fract. Differ. Appl. 2015, 1, 1–13. [Google Scholar]
- Atangana, A.; Baleanu, D. New fractional derivatives with nonlocal and non-singular kernel: Theory and application to heat transfer mode. Therm. Sci. 2016, 20, 763–769. [Google Scholar] [CrossRef] [Green Version]
- Abdel-Gawad, H.I.; Tantawy, M. Traveling Wave Solutions of DNA-Torsional Model of Fractional Order. Appl. Math. Inf. Sci. Lett. 2018, 6, 85–89. [Google Scholar] [CrossRef]
- Kausar, H.; Adhami, A.Y. A Fuzzy Goal Programming Approach for Solving Chance Constrained Bi-Level Multi-Objective Quadratic Fractional Programming Problem. Appl. Math. Inf. Sci. Lett. 2019, 7, 27–35. [Google Scholar] [CrossRef]
- Gao, W.; Veeresha, P.; Prakasha, D.G.; Senel, B.; Baskonus, H.M. Iterative method applied to the fractional nonlinear systems arising in thermoelasticity with Mittag-Leffler kernel. Fractals 2020, 28, 2040040. [Google Scholar] [CrossRef]
- Aghili, A. Complete Solution For The Time Fractional Diffusion Problem With Mixed Boundary Conditions by Operational Method. Appl. Math. Nonlinear Sci. 2021, 6, 9–20. [Google Scholar] [CrossRef] [Green Version]
- Mustafa, G.; Yıldız, Ç. Some new inequalities for convex functions via Riemann-Liouville fractional integrals. Appl. Math. Nonlinear Sci. 2021, 6, 537–544. [Google Scholar]
- Malagi, N.S.; Veeresha, P.; Prasannakumara, B.; Prasanna, G.; Prakasha, D. A new computational technique for the analytic treatment of time-fractional Emden–Fowler equations. Math. Comput. Simul. 2021, 190, 362–376. [Google Scholar] [CrossRef]
- Akdemir, A.O.; Deniz, E.; Yüksel, E. On Some Integral Inequalities via Conformable Fractional Integrals. Appl. Math. Nonlinear Sci. 2020, 6, 489–498. [Google Scholar] [CrossRef]
- Touchent, K.A.; Hammouch, Z.; Mekkaoui, T. A modified invariant subspace method for solving partial differential equations with non-singular kernel fractional derivatives. Appl. Math. Nonlinear Sci. 2020, 5, 35–48. [Google Scholar] [CrossRef]
- Yao, S.-W.; Ilhan, E.; Veeresha, P.; Baskonus, H.M. A Powerful Iterative Approach for Quintic Complex Ginzburg–Landau Equation within the Frame of Fractional Operator. Fractals 2021, 29, 2140023. [Google Scholar] [CrossRef]
- Akinyemi, L.; Nisar, K.S.; Saleel, C.A.; Rezazadeh, H.; Veeresha, P.; Khater, M.M.; Inc, M. Novel approach to the analysis of fifth-order weakly nonlocal fractional Schrödinger equation with Caputo derivative. Results Phys. 2021, 31, 104958. [Google Scholar] [CrossRef]








Publisher’s Note: MDPI stays neutral with regard to jurisdictional claims in published maps and institutional affiliations. |
© 2022 by the authors. Licensee MDPI, Basel, Switzerland. This article is an open access article distributed under the terms and conditions of the Creative Commons Attribution (CC BY) license (https://creativecommons.org/licenses/by/4.0/).
Share and Cite
Gao, W.; Veeresha, P.; Cattani, C.; Baishya, C.; Baskonus, H.M. Modified Predictor–Corrector Method for the Numerical Solution of a Fractional-Order SIR Model with 2019-nCoV. Fractal Fract. 2022, 6, 92. https://doi.org/10.3390/fractalfract6020092
Gao W, Veeresha P, Cattani C, Baishya C, Baskonus HM. Modified Predictor–Corrector Method for the Numerical Solution of a Fractional-Order SIR Model with 2019-nCoV. Fractal and Fractional. 2022; 6(2):92. https://doi.org/10.3390/fractalfract6020092
Chicago/Turabian StyleGao, Wei, Pundikala Veeresha, Carlo Cattani, Chandrali Baishya, and Haci Mehmet Baskonus. 2022. "Modified Predictor–Corrector Method for the Numerical Solution of a Fractional-Order SIR Model with 2019-nCoV" Fractal and Fractional 6, no. 2: 92. https://doi.org/10.3390/fractalfract6020092
APA StyleGao, W., Veeresha, P., Cattani, C., Baishya, C., & Baskonus, H. M. (2022). Modified Predictor–Corrector Method for the Numerical Solution of a Fractional-Order SIR Model with 2019-nCoV. Fractal and Fractional, 6(2), 92. https://doi.org/10.3390/fractalfract6020092

