Next Article in Journal
Fractals: An Eclectic Survey, Part-I
Next Article in Special Issue
Modelling of Electron and Thermal Transport in Quasi-Fractal Carbon Nitride Nanoribbons
Previous Article in Journal
Asymptotic Behavior of Solutions of Even-Order Differential Equations with Several Delays
Previous Article in Special Issue
A Novel Analytical Formula for the Discounted Moments of the ECIR Process and Interest Rate Swaps Pricing
 
 
Font Type:
Arial Georgia Verdana
Font Size:
Aa Aa Aa
Line Spacing:
Column Width:
Background:
Article

Tuning of the Dielectric Relaxation and Complex Susceptibility in a System of Polar Molecules: A Generalised Model Based on Rotational Diffusion with Resetting

1
Institute of Physics, Faculty of Natural Sciences and Mathematics, Ss. Cyril and Methodius University, 1000 Skopje, Macedonia
2
Institute of Chemistry, Faculty of Natural Sciences and Mathematics, Ss. Cyril and Methodius University, 1000 Skopje, Macedonia
3
Department of Chemistry, Bioscience and Environmental Engineering, Faculty of Science and Technology, University of Stavanger, 4036 Stavanger, Norway
4
Research Center for Computer Science and Information Technologies, Macedonian Academy of Sciences and Arts, Bul. Krste Misirkov 2, 1000 Skopje, Macedonia
5
Institute of Physics & Astronomy, University of Potsdam, D-14776 Potsdam-Golm, Germany
6
Faculty of Computer Science and Engineering, Ss. Cyril and Methodius University, 1000 Skopje, Macedonia
*
Author to whom correspondence should be addressed.
Fractal Fract. 2022, 6(2), 88; https://doi.org/10.3390/fractalfract6020088
Submission received: 12 January 2022 / Revised: 31 January 2022 / Accepted: 1 February 2022 / Published: 5 February 2022
(This article belongs to the Special Issue Fractional Dynamics: Theory and Applications)

Abstract

The application of the fractional calculus in the mathematical modelling of relaxation processes in complex heterogeneous media has attracted a considerable amount of interest lately. The reason for this is the successful implementation of fractional stochastic and kinetic equations in the studies of non-Debye relaxation. In this work, we consider the rotational diffusion equation with a generalised memory kernel in the context of dielectric relaxation processes in a medium composed of polar molecules. We give an overview of existing models on non-exponential relaxation and introduce an exponential resetting dynamic in the corresponding process. The autocorrelation function and complex susceptibility are analysed in detail. We show that stochastic resetting leads to a saturation of the autocorrelation function to a constant value, in contrast to the case without resetting, for which it decays to zero. The behaviour of the autocorrelation function, as well as the complex susceptibility in the presence of resetting, confirms that the dielectric relaxation dynamics can be tuned by an appropriate choice of the resetting rate. The presented results are general and flexible, and they will be of interest for the theoretical description of non-trivial relaxation dynamics in heterogeneous systems composed of polar molecules.

1. Introduction

The proper understanding of the response of physical systems to applied external fields relies on the investigation and understanding of relaxation processes. In particular, dielectric relaxation, which involves dipole as well as ionic relaxation of the constituents of a given material subjected to an external alternating field, predetermines the effects of the field on the physical and chemical properties of the material. Along with the development of experimental techniques for studying the interactions between molecules and external fields, theoretical frameworks for the treatment of the dielectric relaxation processes have been continually advanced and upgraded. In this work, we focus on the theoretical modelling of orientational dielectric relaxation in a system of polar molecules. Originally, the theory of dielectric relaxation was developed by Debye, assuming spherical molecules as rigid polar rotators, and it still remains the main point of reference in the studies of dielectric relaxation processes [1]. After the development of the theory by Debye, a series of implementations to molecular systems containing polar side groups and further extensions of this theory have followed [2,3,4,5,6,7,8,9]. For a detailed review and exhaustive lists of references regarding the modelling of dielectric relaxation of polar molecules, we refer to the books [10,11].
Nowadays, the science of materials response to external fields is mostly focused on complex media, which are strongly heterogeneous. Usually, in these media a non-Debye dielectric relaxation is observed, and various empirical formulas are utilised to analyse the behaviour of the quantities of interest, such as polarisation and the corresponding response functions, i.e., dielectric susceptibility and permittivity. In this regard, many modifications and corrections to the initial Debye model can be found in the literature. The most widely used models to describe various aspects of non-Debye relaxation are the so called Cole–Cole relaxation, Cole–Davidson, and Havriliak–Negami relaxation [5,6,7,12,13,14,15,16,17,18,19].
Recently, the problem of the mathematical modelling of relaxation processes in complex media has been revisited from the perspective of the application of fractional generalisations of the stochastic and kinetic equations. Numerous influential papers have been published that demonstrate how fractional order derivatives may be successfully applied to model anomalous dynamics, which is common for systems undergoing non-Debye relaxation [20,21,22,23,24,25,26,27,28,29]. For example, the fractional Fokker–Planck (FP) equation with Riemann–Liouville derivative is one of the models that is frequently used for describing such processes. This approach in fact involves a power law memory kernel in the FP equation.
The aim of this paper is to propose a generalisation of the rotational diffusion equation with a memory kernel and to show that it is possible to retrieve different relaxation behaviours from a single model. The rotational diffusion equation is still one of the most exploited models for the analysis of orientational relaxation in systems with polar molecules; see [30] and references therein. Conversely, the memory kernel approach has been proved to enable a robust treatment of the relaxation dynamics of molecular solutes in viscous solvents, and recently, much attention has been paid also to the experimental extraction of the memory kernels for particular systems of interest; see [31] and references therein. We derive a memory-kernel dependent solution of the generalised rotational diffusion equation, and we express the complex susceptibility as a function of the kernel. Further, we analyse the complex susceptibility behaviour in the framework of linear response theory for selected forms of the memory kernel, using the after-effect autocorrelation function. It is pointed out that by an adequate choice of the memory kernel, one can obtain the known Debye as well as non-Debye behaviours of the dielectric relaxation, such as Cole–Cole, Cole–Davidson, and Havriliak–Negami relaxation. Finally, the corresponding Fokker–Planck equation for each case is stated. As a novel additional component, we also investigate the relaxation dynamics with stochastic resetting and analyse how this would affect the complex dynamic susceptibility. Experimentally, relaxation with resetting can be realised by application of electric pulses or by switching the external field on and off during the relaxation process. Our analysis of the complex susceptibility and the stated Fokker–Planck equations shows that this strategy allows for the tuning of the dielectric relaxation between the initial and the target state; i.e., resetting itself changes the relaxation path and leads to a new target state, even though the initial state of the system was the same.
The paper is organised as follows. In Section 2, the theoretical background is briefly recalled. In Section 3, the rotational diffusion equation with a memory kernel is introduced, and the obtained solution is used to derive the complex susceptibilities for various forms of the memory kernel. In Section 4, we consider the dielectric relaxation phenomena with resetting. Finally, in Section 5, we give a summary and discussion.

2. Theoretical Background

First, we briefly introduce the key concepts behind the theoretical investigation of dielectric relaxation processes in media composed of polar molecular species. When a bulk molecular system of polar molecules is embedded in an external electric field, the dipole moments are being oriented along the field direction, which causes the polarisation of the medium (Figure 1). The potential energy gained by each molecule due to interaction with an external electric field depends on the dipole moment as an inherent property of the molecule, the magnitude of the field, and the orientation of the molecular dipole moment with respect to the electric field. For the case when molecules are positioned in a plane, the orientation of the dipole moment can be described by the azimuthal coordinate ϕ , only. Thus, when the molecules have a permanent dipole moment μ and are subjected to an external uniform field with a magnitude E, the potential energy of one given molecule due to the field will depend only on this angular coordinate, and it is given by (for example see [11])
V ( ϕ ) = μ E cos ϕ .
Assuming a Boltzmann distribution, the number of molecules that are oriented in the interval ( ϕ , ϕ + d ϕ ) , given the temperature T, will read
d N ( ϕ ) N = W ( ϕ ) d ϕ = e V ( ϕ ) k T d ϕ 0 2 π e V ( ϕ ) k T d ϕ .
The probability density function W ( ϕ ) is plotted in Figure 2. Substituting the potential energy (1), for weak fields, the probability distribution in terms of the azimuthal coordinate takes the form
N ( ϕ ) N = 1 2 π 1 + μ E cos ϕ k T ,
where 1 2 π is the normalisation constant.
The processes of polarisation in the presence of an external electric field and the reversed processes of relaxation that occur when the field is switched off are realised through rotational diffusion of the molecules. Hence, the mathematical models that are applied to describe such processes are all based on the rotational diffusion equation.
For the purposes of the present paper, we will recall the model of one-dimensional rotational diffusion based on the fractional Fokker–Planck equation (FFPE). Neglecting inertial effects, it is justified to consider the whole molecule as a rigid rotator. For the case of the uniaxial rotation of a dipolar molecule subjected to an external electric field, the FFPE for the time evolution of the probability density function W ( ϕ , t ) can be stated in analogy to the case of translational motion [10,11,22,25]:
t W ( ϕ , t ) = D α RL D t 1 α ϕ W ( ϕ , t ) ϕ + W ( ϕ , t ) k B T V ( ϕ , t ) ϕ ,
where RL D t 1 α stands for the Riemann–Liouville fractional derivative [32]
RL D t μ f ( t ) = 1 Γ ( 1 μ ) d d t 0 t ( t τ ) μ f ( τ ) d τ , 0 < μ < 1 ,
D α is the diffusion constant, and V ( ϕ , t ) is the external potential. The one-dimensional FFPE was introduced in Ref. [33].
Here, we note that Equation (4) can be rewritten in the form
C D t α W ( ϕ , t ) = D α ϕ W ( ϕ , t ) ϕ + W ( ϕ , t ) k B T V ( ϕ , t ) ϕ ,
where C D t α stands for the Caputo fractional derivative [32],
C D a + μ f ( t ) = 1 Γ ( 1 μ ) a t ( t τ ) μ d d τ f ( τ ) d τ .
The potential energy V ( ϕ , t ) arises from the interaction between the molecule and the applied external field, but it may also involve potential energy terms that are due to internal interactions in the molecule. It is worth mentioning here that for polar molecules that undergo conformational changes via intermolecular rotational degrees of freedom, these terms are often represented by a tilted cosine potential to model the potential energy of the side rotating group [34]. In this work, we will consider the case when the potential energy is solely due to the interaction with the external uniform field and is given by (1).
In studies of relaxation processes of molecular assemblies consisting of polar molecules subjected to an external field sufficiently long, such that the medium is polarised, it is assumed that the field has been applied at the moment t = , and it has been switched off at t = 0 . The molecules now undergo free rotation; i.e., the potential energy (1) is equal to zero, which leads to dielectric relaxation. Therefore, for t > 0 (absence of external field), the fractional diffusion equation becomes
t W ( ϕ , t ) = D α RL D t 1 α 2 ϕ 2 W ( ϕ , t ) .
Similarly, Equation (6) with Caputo derivative will take the form
C D t α W ( ϕ , t ) = D α 2 W ( ϕ , t ) ϕ 2 .
By setting the initial conditions, which are inferred from the probability density behaviour in the presence of the electric field and applying separation of variables, one can obtain the so-called after-effect solution. According to (3), at low field strengths, the angular part of the solution of Fokker–Planck equation in the presence of a potential energy of the form (1) must also be a periodic function. This means that the probability density function W ( ϕ , t ) that is calculated for the free rotation case would in fact represent an after-effect solution only if it satisfies a periodic initial condition W ( ϕ , 0 ) of the form (3). The after-effect solution enables us to find the dipole moment autocorrelation function in the linear response approximation, which in turn leads to the complex dynamic susceptibility and enables one to analyse the behaviour of a system of polar molecules in the presence of an alternating electric field.
In the following section, we will consider a generalised form of the rotational diffusion equation with a memory kernel, focusing on the time-dependent part of the after-effect solution.

3. Rotational Diffusion Equation with a Memory Kernel

Let us now consider the following model for the generalised rotational diffusion:
0 t γ ( t t ) t W ( ϕ , t ) d t = D 2 ϕ 2 W ( ϕ , t ) ,
where γ ( t ) is a memory kernel, such that lim t γ ( t ) = lim s 0 s γ ^ ( s ) = 0 [35], where γ ^ ( s ) = 0 e s t γ ( t ) d t is the Laplace transform of the memory kernel. Such a form of the rotational diffusion equation covers both kinds of diffusion, normal and anomalous in one PDE model. The case with γ ( t ) = δ ( t ) yields the ordinary rotational Brownian diffusion, and the case with power law memory kernel γ ( t ) = t α Γ ( 1 α ) gives rise to anomalous rotational diffusion [11,25]. Note that for the case of a power law memory kernel, Equation (9) arises. In what follows, we will consider a more general form of Equation (10), i.e.,
0 t γ ( t t ) t W ( ϕ , t ) d t = L F P W ( ϕ , t ) ,
where L F P is the Fokker–Planck operator. Here, we note that this equation can be written in an equivalent form by using a memory kernel from the right-hand side of the equation [35], i.e.,
t W ( ϕ , t ) = d d t 0 t η ( t t ) L F P W ( ϕ , t ) d t ,
where the memory kernel in the Laplace space is given by
η ^ ( s ) = 1 s γ ^ ( s ) .
By using separation of variables, the solution of Equation (10) can be written in the form W ( ϕ , t ) = Φ ( ϕ ) T ( t ) , leading to the following equations
0 t γ ( t t ) d d t T ( t ) d t + λ T ( t ) = 0 ,
d 2 d ϕ 2 Φ ( ϕ ) + λ D Φ ( ϕ ) = 0 ,
where λ is a separation constant. From Equation (15), which represents the Sturm–Liouville problem, we will find the eigenvalues λ n , λ 1 < λ 2 < < λ n < . Here, we note that for the more general Equation (11), the eigenvalue problem has the form
L F P Φ n ( ϕ ) + λ n Φ n ( ϕ ) = 0 ,
but here, we focus on the basic rotational diffusion Equation (10). By Laplace transform of Equation (14), we obtain
γ ^ ( s ) s T ^ n ( s ) T ( 0 ) + λ T ^ n ( s ) = 0 T ^ n ( s ) = γ ^ ( s ) s γ ^ ( s ) + λ n T n ( 0 ) .
Therefore,
T n ( t ) = L 1 γ ^ ( s ) s γ ^ ( s ) + λ n ,
where T n ( 0 ) = 1 . Then, the solution W ( ϕ , t ) becomes
W ( ϕ , t ) = n = 1 Φ n ( ϕ ) T n ( t ) = n = 1 Φ n ( ϕ ) L 1 γ ^ ( s ) s γ ^ ( s ) + λ n .
This expression provides a general form of the probability density function of a particle undergoing a free rotational diffusion in the memory kernel approach.

3.1. Complex Susceptibility

The obtained after-effect solution can be used to investigate the molecular system response to an external AC field. Here, we will analyse the dielectric susceptibility. According to linear response theory, the complex dynamic susceptibility may be obtained from the after-effect solution for the autocorrelation function, C ( t ) in our case, as follows [11]
χ ( ω ) χ 0 = 1 ı ω 0 e ı ω t C ( t ) d t ,
where ω corresponds to the frequency of the external periodic field, χ ( ω ) = χ ( ω ) ı χ ( ω ) is the longitudinal complex susceptibility, and χ 0 is the static susceptibility. The longitudinal dipole autocorrelation function C ( t ) , which models the system after switching off the applied external electric field, adapted to our general model is given by
C ( t ) = cos ϕ ( t ) cos ϕ 0 cos ϕ ( 0 ) cos ϕ 0 = n = 1 c n T n ( t ) = n = 1 c n L 1 γ ^ ( s ) s γ ^ ( s ) + λ n ,
where
cos ϕ ( t ) = 0 2 π cos ϕ W ( ϕ , t ) d ϕ ,
and
c n = 0 2 π cos ϕ cos ϕ 0 Φ ( ϕ ) d ϕ n = 1 0 2 π cos ϕ cos ϕ 0 Φ ( ϕ ) d ϕ ,
such that n = 1 c n = 1 , while 0 is the statistical average over the equilibrium distribution W e q ( ϕ ) obtained from the condition
d d t W e q ( ϕ , t ) = 0 .
Therefore, we have
χ ( ω ) χ 0 = 1 ı ω n = 1 c n γ ^ ( ı ω ) ı ω γ ^ ( ı ω ) + λ n = 1 n = 1 c n + n = 1 c n λ n ı ω γ ^ ( ı ω ) + λ n = n = 1 c n 1 1 + ı ω γ ^ ( ı ω ) λ n .
With this result, which includes the dependence on the memory kernel, we actually propose a generalisation of the Cole–Cole expression. If the memory kernel γ ( t ) is known, the behaviour of the susceptibility can be further analysed, and it will be shown that such a generalisation encompasses both cases, i.e., normal as well as anomalous dielectric relaxation.
By asymptotic expansion, for ω 0 we obtain
χ ( ω ) χ 0 n = 1 c n 1 ı ω γ ^ ( ı ω ) λ n 1 n = 1 c n ı ω γ ^ ( ı ω ) λ n = 1 ı ω γ ^ ( ı ω ) n = 1 c n λ n ,
while for the case ω
χ ( ω ) χ 0 n = 1 c n λ n ı ω γ ^ ( ı ω ) = 1 ı ω γ ^ ( ı ω ) n = 1 c n λ n .
Introducing the following parameters
τ i n t = n = 1 c n λ n
and
τ e f f = 1 n = 1 c n λ n ,
we finally find
χ ( ω ) χ 0 1 ı ω γ ^ ( ı ω ) τ i n t , ω 0 , 1 ı ω γ ^ ( ı ω ) τ e f f , ω .

3.2. Debye Relaxation: Standard Fokker–Planck Equation

Let us first consider the rotational Brownian motion, which is obtained when the memory kernel has the form of a Dirac delta function, i.e., γ ( t ) = δ ( t ) . Therefore, by ignoring the contributions of all modes and using the slowest one, as one should expect, the Debye relation is obtained [36]
χ ( ω ) χ 0 1 1 + ı ω λ 1 = 1 1 + ı ω ω c = 1 1 + ı ω τ c ,
where ω c = λ 1 is the characteristic frequency, and τ c = 1 / ω c is the characteristic time. The function C ( t ) has an exponential (Debye) relaxation given by
C ( t ) L 1 1 s + λ 1 = e λ 1 t = e ω c t = e t / τ c .

3.3. Cole–Cole Relaxation: Fractional Fokker–Planck Equation

By introducing a power law memory kernel γ ( t ) = 1 τ ( t / τ ) α Γ ( 1 α ) , 0 < α < 1 , the Cole–Cole expression is recovered [5]
χ ( ω ) χ 0 1 1 + ( ı ω τ ) α λ 1 τ = 1 1 + ( ı ω τ ) α λ 1 τ = 1 1 + ( ı ω / ω c , α ) α = 1 1 + ( ı ω τ c , α ) α ,
where ω c , α = ( λ 1 τ ) 1 / α τ and τ c , α = 1 / ω c , α . This is in line with the previously obtained solution via solving the Fractional Fokker–Planck Equation with a power law memory kernel by Coffey et al. [25]. For C ( t ) , one obtains a non-exponential relaxation given by
C ( t ) L 1 s α 1 s α + λ 1 τ 1 α = E α λ 1 τ t τ α = E α ω c , α t α = E α t τ c , α α ,
where
E α ( z ) = k = 0 z k Γ ( α k + 1 )
is the one-parameter Mittag–Leffler function [32] with Laplace transform
L E α [ ω t ] α = s α 1 s α + ω α .
For the case of low frequencies, i.e., t / τ c , α 1 , instead of exponential, it shows slower power-law decay as follows
C ( t ) ( t / τ c , α ) α Γ ( 1 α ) ,
while for the case of ω , i.e., t / τ c , α 1 , we have a stretched exponential behaviour, i.e.,
C ( t ) e ( t / τ c , α ) α .
This case corresponds to the fractional Fokker–Planck Equations (4) and (6), since for γ ( t ) = 1 τ ( t / τ ) α Γ ( 1 α ) , 0 < α < 1 one has η ( t ) = τ α 1 L 1 1 s α = ( t / τ ) α 1 Γ ( α ) .

3.4. Mixing Debye and Cole–Cole Relaxation: Distributed Order Fokker–Planck Equation

For the case when rotational Brownian diffusion and rotational non-Markovian diffusion occur simultaneously, we propose a three-parameter memory kernel of the form γ ( t ) = a 1 δ ( t ) + a 2 1 τ ( t / τ ) α Γ ( 1 α ) , 0 < α < 1 , and a 1 + a 2 = 1 . Consequently, we find
χ ( ω ) χ 0 1 1 + a 1 ı ω τ c , α + a 2 ( ı ω τ c , α ) α .
For C ( t ) , we obtain
C ( t ) L 1 a 1 + a 2 τ α 1 s α 1 a 1 s + a 2 τ α 1 s α + λ 1 = L 1 1 s 1 λ 1 a 1 s + a 2 τ α 1 s α + λ 1 = 1 1 a 1 n = 0 1 a 1 n t τ c n + 1 E 1 α , n + 2 n + 1 a 2 a 1 t τ c , α , 1 1 α = n = 0 1 a 1 n t τ c n E 1 α , n + 1 n a 2 a 1 t τ c , α , 1 1 α ,
where τ c , α , 1 = τ c τ c , α α , and
E α , β δ ( z ) = k = 0 ( δ ) k Γ ( α k + β ) z k k !
is the three-parameter Mittag–Leffler function [37] whose Laplace transform given by
L t β 1 E α , β δ [ ω t ] α = s α δ β s α + ω α δ .
From the asymptotic expansion of the three parameter Mittag–Leffler function for large arguments [38,39]
E α , β γ ( z ) = z γ Γ ( γ ) n = 0 Γ ( γ + n ) Γ ( β α ( γ + n ) ) ( z ) n n ! , z > 1 ,
it follows that E α , β δ ( ω t α ) 1 ω α t α δ Γ ( β α δ ) , for a 2 a 1 t τ c , α , 1 1 α 1 , and we have
C ( t ) E α 1 a 2 t τ c , α α a 2 ( t / τ c , α ) α Γ ( 1 α ) ,
while for the case a 2 a 1 t τ c , α , 1 1 α 1 , it is obtained that
C ( t ) e 1 a 1 ( t / τ c ) .
Therefore, at low frequencies, we have non-Debye relaxation, while at high frequencies, the Debye relaxation dominates. This means that the initial rotational diffusion turns from Brownian to anomalous in the long time limit. With the general memory kernel approach studied in this work, modelling of the relaxation process over a wide time range is possible in an elegant mathematical manner.
The corresponding Fokker–Planck equation for this memory kernel reads
a 1 t W ( ϕ , t ) + a 2 τ α 1 C D t α W ( ϕ , t ) = L F P W ( ϕ , t ) ,
which is the distributed order Fokker–Planck equation [40]. It can be written in the Riemann–Liouville form as
t W ( ϕ , t ) = 1 a 1 t 0 t E 1 α a 2 a 1 t τ 1 α L F P W ( ϕ , t ) d t ,
since, see Ref. [35],
η ( t ) = L 1 1 / ( s γ ^ ( s ) ) = L 1 s 1 a 1 + a 2 ( s τ ) α 1 = 1 a 1 E 1 α a 2 a 1 t τ 1 α .
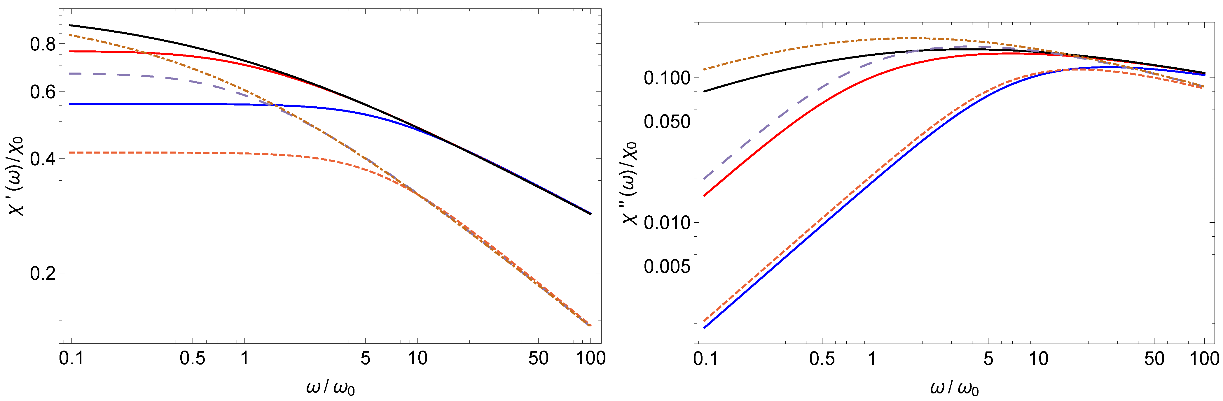
The dependence of the real and imaginary parts of the complex susceptibility on the AC frequency for the case when there is a mixing of Debye and Cole–Cole relaxation is shown in Figure 3. The choice of the parameters a 1 = 0.8 and a 2 = 0.2 is such that the Debye process is dominant.
In Figure 4, a family of curves showing the dependence of the real and imaginary parts of the complex susceptibility on AC frequency is presented for the case of mixed Debye and Cole–Cole relaxation. The choice of parameters a 1 = 0.2 and a 2 = 0.8 in this case is such that the Cole–Cole process is dominant.

3.5. Havriliak–Negami Relaxation: Generalised Fokker–Planck Equation

In this part, we will demonstrate that the rotational diffusion equation with a properly chosen memory kernel also incorporates the Havriliak–Negami relaxation process. Let us try to find the memory kernel, which describes this Havriliak–Negami relaxation. Accounting for the corresponding Havriliak–Negami empirical expression for complex susceptibility spectra, given by [7]
χ ( ω ) χ 0 = 1 1 + [ ı ω τ c ] α ν
where 0 < α < 1 (note that for α = 1 , one arrives to the Davidson–Cole relaxation law) and 0 < ν 1 , we find ( τ c = λ 1 1 )
1 1 + ı ω γ ^ ( ı ω ) τ c = 1 1 + [ ı ω τ ] α ν γ ^ ( ı ω ) = 1 ı ω τ c 1 + [ ı ω τ ] α ν 1 .
Deducing the memory kernel from here, one can write
γ ( t ) = 1 τ c t τ α ν E α , 1 α ν ν [ t / τ ] α 1 .
Therefore, one finds [41,42,43,44,45]
C ( t ) L 1 λ 1 s 1 + [ s τ ] α ν 1 s λ 1 s 1 + [ s τ ] α ν 1 + λ 1 = L 1 1 s 1 1 1 + [ s τ ] α ν = 1 t τ α ν E α , α ν + 1 ν [ t / τ ] α .
By using the first leading term from (42), for the long time limit, one obtains a power-law decay of the correlation function of the form C ( t ) ν ( t / τ ) α Γ ( 1 α ) .
For α = 1 , one recovers the result for the Davidson–Cole relaxation for which the correlation becomes
C ( t ) 1 t τ ν E 1 , ν + 1 ν t / τ = Γ ( ν , t / τ ) Γ ( ν ) ,
where Γ ( a , z ) = z x a 1 e x d x is the incomplete gamma function. In the long time limit, the correlation behaves as C ( t ) ( t / τ ) ν 1 Γ ( ν ) e t / τ , since Γ ( a , z ) z a 1 e z for z .
For the case ν = 1 , one recovers the result for the Cole–Cole relaxation, since by using relation
t τ λ 1 E λ 2 λ 1 , λ 1 + 1 1 t τ λ 2 λ 1 = ( t / τ ) λ 1 Γ ( λ 1 + 1 ) + ( t / τ ) λ 2 Γ ( λ 2 + 1 ) ,
from (50), we obtain the memory kernel γ ( t ) = 1 τ ( t / τ ) α Γ ( 1 α ) .
This memory kernel yields the following Fokker–Planck equation
1 τ c 0 t ( t t ) τ α ν E α , 1 α ν ν [ ( t t ) / τ ] α 1 t W ( ϕ , t ) d t = L F P W ( ϕ , t ) ,
which can be rewritten as a Fokker–Planck equation with linear reaction term and sink, i.e.,
1 τ c τ α ν C D α , τ α ν , α ν W ( ϕ , t ) d t = L F P W ( ϕ , t ) + 1 τ c W ( ϕ , t ) W ( ϕ , 0 ) ,
where
C D ρ , ω δ , μ f ( t ) = 0 t ( t t ) μ E ρ , 1 μ δ ω ( t t ) ρ t f ( t ) d t
is the regularised Prabhakar derivative [46]. For a general fractional diffusion equation with sink term, we refer to [47].

4. Relaxation Processes with Resetting

In the previous part of this paper, we have considered the known dielectric relaxation processes in a media composed of polar molecules from a modelling perspective in terms of the rotational diffusion equation with a generalised memory kernel. When a planar system of polar molecules is subjected to an external electric field, the polarisation of the media is due to orientation of the molecular dipole moments. Switching off the external field is followed by the process of relaxation of the oriented dipoles. For a series of processes where the molecular materials during the process of relaxation are influenced again by external stimuli, e.g., electric field pulses, it is of interest to consider how the dielectric relaxation will be affected if after some random period of time, the system is brought back to the initial orientation. Such dynamical processes are so-called processes with stochastic resetting [48,49,50], which have attracted considerable interest lately. Stochastic resetting is a natural step in the human search and foraging dynamics [51,52,53]. It can help the completion of a given process, making the mean first-passage time finite [48,50,54,55], or it aids in barrier escape, for example, in chemical reactions [56]. The resetting mechanism may also occur in economic systems due to stock market crashes [57] and company bankruptcy, or in population dynamics due to natural disasters and pandemics. There are also experimental realisations of the resetting process, for example, in a laboratory setup using optical tweezers or laser traps to monitor a system of colloidal particles [58,59]. Different realistic approaches to stochastic resetting of diffusing particle in confining potentials [60,61,62,63], which can be stochastically switched on and off [64] are possible, including processes with resetting by a random amplitude [65].
In what follows, we implement the generalised memory kernel approach and extend our analysis to the problem of dielectric relaxation with resetting. We consider exponential resetting of the memory
γ r ( t ) = e r t γ ( t ) + 0 t r e r t γ ( t ) d t ,
where r is the resetting parameter. This means that the resetting time is sampled from an exponential (Poissonian) distribution p ( t ) = r e r t , with resetting rate r > 0 . Its Laplace transform reads
γ ^ r ( s ) = s + r s γ ^ ( s + r ) .
From Equation (13), it follows that
η ^ r ( s ) = 1 ( s + r ) γ ^ ( s + r ) ,
and thus, by inverse Laplace transform, we find
η r ( t ) = e r t L 1 1 s γ ^ ( s ) = e r t η ( t ) ,
where we apply the shift rule of the Laplace transform, L e a t f ( t ) = f ^ ( s + a ) , where f ^ ( s ) = L f ( t ) . This means that the corresponding process with resetting can be represented in terms of an exponentially tempered generalised memory kernel. Here, we note that in Ref. [66], a generalised diffusion equation with power-law memory kernel in the presence of stochastic resetting was considered, while in Ref. [67], a subordinated Brownian process was analysed, leading to subdiffusion, which can be related to the generalised diffusion equation with resetting. In both works, the system reaches a nonequilibrium stationary state.

4.1. Debye Relaxation with Resetting

Let us now consider the kernel for the Debye relaxation γ ( t ) = δ ( t ) in the presence of resetting, i.e., see Ref. [49],
γ r ( t ) = e r t δ ( t ) + 0 t r e r t δ ( t ) d t = δ ( t ) + r .
By Laplace transform, one finds γ ^ r ( s ) = 1 + r s 1 . Thus,
γ ^ ( ı ω ) = ı ω + r ı ω γ ^ ( ı ω + r ) = ı ω + r ı ω
and we have
χ ( ω ) χ 0 1 1 + ı ω 1 + r ( ı ω ) 1 λ 1 = 1 1 + ( ı ω + r ) τ c ,
and
C r ( t ) L 1 1 + r s 1 s ( 1 + r s 1 ) + τ c 1 = L 1 1 + r s 1 s + r + τ c 1 = e ( r + τ c 1 ) t + 0 t r e ( r + τ c 1 ) t d t = e ( r + τ c 1 ) t + r r + τ c 1 1 e ( r + τ c 1 ) t = 1 r + τ c 1 r + τ c 1 e ( r + τ c 1 ) t .
We note that the previous result may be written in a renewal form [49] as
C r ( t ) = e r t C ( t ) + 0 t r e r t C ( t ) d t ,
where C ( t ) = e λ 1 t is given by the Debye relaxation (31). From here, in the long time limit, the autocorrelation function saturates to C r ( t ) r r + τ c 1 , while for short times, it behaves as in the case of no resetting, i.e., C r ( t ) e t / τ c . The dependence of the real and imaginary parts of the complex susceptibility (62) on AC frequency for the case of Debye relaxation with resetting is represented in Figure 5.
This kernel (61) yields the Fokker-Planck equation
t W ( ϕ , t ) = L F P W ( ϕ , t ) r W ( ϕ , t ) W ( ϕ , 0 ) ,
which is a Fokker–Planck equation for diffusion with resetting [48]. The second term on the right-hand side of the equation represents the loss of probability from the position ϕ due to reset to the initial position ϕ 0 , and the third term is the gain of probability at ϕ 0 due to resetting from all other positions. We note that this Fokker–Planck equation can be written through the memory kernel η r ( t ) = L 1 1 s γ ^ r ( s ) = L 1 1 s + r = e r t , as follows, see Ref. [68],
t W ( ϕ , t ) = t 0 t e r ( t t ) L F P W ( ϕ , t ) d t .

4.2. Cole–Cole Relaxation with Resetting

We consider the memory kernel for the Cole–Cole relaxation γ ( t ) = 1 τ ( t / τ ) α Γ ( 1 α ) , 0 < α < 1 , but in the presence of resetting,
γ r ( t ) = e r t 1 τ ( t / τ ) α Γ ( 1 α ) + 0 t r e r t 1 τ ( t / τ ) α Γ ( 1 α ) d t .
Therefore, we have
γ ^ r ( ı ω ) = ı ω + r ı ω γ ^ ( ı ω + r ) = ı ω + r ı ω τ α 1 ( ı ω + r ) α 1 ,
and
χ ( ω ) χ 0 1 1 + ( ı ω + r ) α τ α λ 1 τ .
For the autocorrelation function C ( t ) , we find
C ( t ) L 1 s 1 ( s + r ) α ( s + r ) α + λ 1 τ 1 α = L 1 s + r s ( s + r ) α 1 ( s + r ) α + λ 1 τ 1 α = e r t E α t τ c , α α + 0 t r e r t E α t τ c , α α d t ,
i.e., C r ( t ) = e r t C ( t ) + 0 t r e r t C ( t ) d t , where C ( t ) = E α t τ c , α α is the Cole–Cole relaxation. The short time limit yields the Cole–Cole relaxation, while the long time limit leads to saturation, i.e., C r ( t ) r α r α + λ 1 τ 1 α (see Figure 6). The dependence of the real and imaginary parts of the complex susceptibility (68) on AC frequency for the case of Cole–Cole relaxation with resetting is represented in Figure 7.
For the memory kernel (67), we obtain that
η r ( t ) = L 1 1 s γ ^ ( s ) = τ 1 α L 1 ( s + r ) α = e r t ( t / τ ) α 1 Γ ( α ) ,
which is an exponentially tempered power-law memory kernel. Then, the Fokker–Planck equation becomes
t W ( ϕ , t ) = t 0 t e r ( t t ) ( t τ ) α 1 Γ ( α ) L F P W ( ϕ , t ) d t ,
which is a diffusion equation with tempered Riemann–Liouville fractional derivative [35]. This equation can also be rewritten in the form [66]
0 t e r ( t t ) ( t t ) α Γ ( 1 α ) t W ( ϕ , t ) d t = L F P W ( ϕ , t ) 0 t r e r ( t t ) ( t t ) α Γ ( 1 α ) W ( ϕ , t ) W ( ϕ , 0 ) d t ,
which is a fractional Fokker–Planck equation with tempered fractional time derivative in the presence of stochastic resetting.

4.3. Mixing of Debye and Cole–Cole Relaxation with Resetting

Next, we consider the combination of memory kernels for Debye and Cole–Cole relaxation γ ( t ) = a 1 δ ( t ) + a 2 1 τ ( t / τ ) α Γ ( 1 α ) , 0 < α < 1 , a 1 + a 2 = 1 , in the presence of resetting,
γ r ( t ) = e r t a 1 δ ( t ) + a 2 1 τ ( t / τ ) α Γ ( 1 α ) + 0 t r e r t a 1 δ ( t ) + a 2 1 τ ( t / τ ) α Γ ( 1 α ) d t .
Thus,
γ ^ r ( ı ω ) = ı ω + r ı ω γ ^ ( ı ω + r ) = ı ω + r ı ω a 1 + a 2 τ α 1 ( ı ω + r ) α 1 ,
from where it follows that
χ ( ω ) χ 0 1 1 + a 1 ( ı ω + r ) τ c + a 2 ( ı ω + r ) α τ α 1 τ c .
For C r ( t ) , we find
C r ( t ) n = 0 1 a 1 n e r t t τ c n E 1 α , n + 1 n a 2 a 1 t τ c , α , 1 1 α + n = 0 1 a 1 n 0 t r e r t t τ c n E 1 α , n + 1 n a 2 a 1 t τ c , α , 1 1 α d t = e r t C ( t ) + 0 t r e r t C ( t ) d t ,
which also has the renewal form ( C ( t ) , which is given by Equation (39)). The short time limit leads to the correlation function in the case without resetting, while the long time limit yields the constant value C ( t ) a 1 r + a 2 τ α 1 r α a 1 r + a 2 τ α 1 r α + λ 1 (see Figure 8). The dependence of the real and imaginary parts of the complex susceptibility (73) on AC frequency for the case of mixed Debye and Cole–Cole relaxation with resetting is represented in Figure 9.
The memory kernel (72) yields in the form
η r ( t ) = L 1 ( s + r ) 1 a 1 + a 2 τ α 1 ( s + r ) α 1 = 1 a 1 e r t E 1 α a 2 a 1 t / τ 1 α ,
therefore, the corresponding Fokker–Planck equation in the Riemann–Liouville form is given in terms of a tempered Mittag–Leffler memory kernel,
t W ( ϕ , t ) = 1 a 1 t 0 t e r ( t t ) E 1 α a 2 a 1 t t τ 1 α L F P W ( ϕ , t ) d t .
The Fokker–Planck equation can also been written in the form
0 t e r ( t t ) a 1 δ ( t t ) + a 2 ( t t ) α Γ ( 1 α ) t W ( ϕ , t ) d t = L F P W ( ϕ , t ) 0 t r e r ( t t ) a 1 δ ( t t ) + a 2 ( t t ) α Γ ( 1 α ) W ( ϕ , t ) W ( ϕ , 0 ) d t ,
which is a tempered distributed order Fokker–Planck equation with resetting.

4.4. Havriliak–Negami Relaxation with Resetting

At the end, we consider the memory kernel for Havriliak–Negami relaxation in the presence of stochastic resetting,
γ r ( t ) = e r t τ c t τ α ν E α , 1 α ν ν [ t / τ ] α 1 + 0 t r e r t τ c t τ α ν E α , 1 α ν ν [ t / τ ] α 1 d t ,
which yields
γ ^ r ( ı ω ) = ı ω + r ı ω 1 ( ı ω + r ) τ c 1 + [ ( ı ω + r ) τ ] α ν 1 = 1 ı ω τ c 1 + [ ( ı ω + r ) τ ] α ν 1 .
Therefore, we have
χ ( ω ) χ 0 1 1 + 1 + [ ( ı ω + r ) τ ] α ν 1 = 1 1 + [ ( ı ω + r ) τ ] α ν .
Then, the autocorrelation function becomes
C r ( t ) = L 1 s + r s γ ^ ( s + r ) s s + r s γ ^ ( s + r ) + λ 1 = L 1 s + r s γ ^ ( s + r ) ( s + r ) γ ^ ( s + r ) + λ 1 = e r t C ( t ) + 0 t r e r t C ( t ) d t .
We note that the renewal form of the autocorrelation function is valid for general memory kernel. Therefore,
C r ( t ) = e r t C ( t ) + 0 t r e r t C ( t ) d t C ^ r ( s ) = s + r s C ^ ( s + r ) ,
from where for the long time limit, one finds
lim t C r ( t ) = lim s 0 s C ^ r ( s ) = lim s 0 ( s + r ) C ^ ( s + r ) = r C ^ ( r ) .
Thus, in the long time limit, the autocorrelation function saturates to C ( t ) λ 1 1 + [ r τ ] α ν 1 λ 1 1 + [ r τ ] α ν 1 + λ 1 . The short time limit corresponds to the case without resetting. A graphical representation of the correlation function is shown in Figure 10. The dependence of the real and imaginary parts of the complex susceptibility (79) on AC frequency for the case of Havriliak–Negami relaxation with resetting is represented in Figure 11.
The corresponding Fokker–Planck equation reads
0 t e r ( t t ) τ c t t τ α ν E α , 1 α ν ν [ ( t t ) / τ ] α 1 t W ( ϕ , t ) d t = L F P W ( ϕ , t ) 0 t r e r ( t t ) τ c t t τ α ν E α , 1 α ν ν [ ( t t ) / τ ] α 1 W ( ϕ , t ) W ( ϕ , 0 ) d t ,
which can be written in terms of tempered regularised Prabhakar time derivative
TC D ρ , ω , t δ , μ f ( t ) = 0 t e r ( t t ) t t μ 1 E ρ , μ δ ω ( t t ) ρ t f ( t ) d t ,
as introduced in [69] (see Equations (16) and (17)). Thus, it is a fractional Fokker–Planck equation with a tempered regularised Prabhakar time derivative in the presence of stochastic resetting [70]. For the fractional Prabhakar diffusion equation with non-static stochastic resetting, we also refer to [70].

5. Summary

In this work, some well-known processes of dielectric relaxation of systems composed of polar molecules were revisited from the perspective of a generalised memory kernel approach. We showed that such a generalisation encompasses Debye and non-Debye relaxation processes in one model. Additionally, it was confirmed that starting from the rotational diffusion equation with a memory kernel, one can derive the corresponding Fokker–Planck equation for different dielectric relaxation processes by an adequate choice of the memory kernel. Furthermore, using the after effect solution, we analysed the behaviour of the complex susceptibility as a response to an external AC field.
We paid special attention to a three-parameter memory kernel, introduced in this work, which simultaneously incorporates the interplay between Debye and Cole–Cole relaxation processes. We found that the maximum of the imaginary part of the complex susceptibility shifts when memory effects are included. The developed framework here is quite flexible and applicable to relaxation processes in strongly heterogeneous media. In real-life examples, especially where rotational degrees of freedom of organic molecules are of interest, it is most likely that the complexity in the sense of relaxation processes and response of the system to an external stimuli is manifested through the presence of clusters with different inherent properties. Therefore, the combined three-parameter memory kernel enables to account for both distinct types of dielectric relaxation, Debye and Cole–Cole, at the same time. The obtained results here could enable better fits and rationalisation of experimentally obtained data for the electric field response of heterogenous systems of polar molecules. A comparison to the experimentally obtained dielectric losses at different temperatures suggests that the derived three-parameter expression for the complex susceptibility can be successfully implemented to explain experimental data. Some examples of experimental measurements of the impedance and loss spectrum can be found in [71,72,73]. Conversely, the proposed combination of the Debye and Cole–Cole memory kernel might be used as an analytical expression for fitting various forms of memory kernels in the literature, which were obtained from molecular simulations via single particle trajectory analysis.
There are many factors that may substantially affect the process of dipole relaxation of organic molecules in their real-life applications. Intramolecular degrees of freedom and interactions between the side groups, often being the main carriers of the molecular dipole moment, and the backbone of the molecule can lead to hindered rotational processes. In experiments, molecular assemblies and clusters of polar molecules are often examined in solution, so that the solvent also influences the nature of the relaxation processes. Finally, external factors, such as pressure and temperature can significantly change the relaxation time and affect the overall conductance properties of the particular molecular system. Explicit inclusion of the temperature effects in theoretical models is a very difficult task, so adjusting the three parameters in the proposed combination of the Debye and Cole–Cole memory kernel will enable finding an adequate model for various temperature ranges and thus indirectly account for the temperature effects.
In this work, we have extended the conventional dielectric relaxation analysis by including stochastic resetting, which is significant when the process of relaxation should be treated together with the process of polarisation. One example is when the relaxation process is interrupted after some random time interval by an external field, so that the dipoles are being reoriented back to the initial position. This is the case when the orientation of the dipoles in the studied samples is achieved by electric pulses. To the best of our knowledge, this is the first theoretical study about dielectric relaxation with resetting. Analysing the correlation function and complex susceptibility plots, we showed that resetting changes the relaxation pathway of a dielectric system, which enables the tuning of the relaxation process in order to achieve a desired target state. Resetting of a system that undergoes relaxation clearly leads to a saturation of the correlation function in the long time limit. Specifically, when the memory kernel parameters are kept constant, the saturation level can be adjusted by changing the resetting rate. Moreover, the values of the real part of the complex susceptibility, i.e., the dielectric constant, as well as the dielectric loss, can be fine-tuned by resetting.

Author Contributions

Conceptualization, I.P.; methodology, I.P., L.P., T.S., L.K. and R.M.; formal analysis, I.P., L.P., T.S., L.K. and R.M.; investigation, I.P., L.P., T.S., L.K. and R.M.; writing—original draft preparation, I.P.; writing—review and editing, I.P., L.P., T.S., L.K. and R.M.; visualization, I.P. and T.S.; supervision, I.P. and R.M. All authors have read and agreed to the published version of the manuscript.

Funding

The authors acknowledge financial support by the German Science Foundation (DFG, Grant number ME 1535/12-1). TS was supported by the Alexander von Humboldt Foundation. The authors also acknowledges support from the bilateral Macedonian-Chinese research project 20-6333, funded under the intergovernmental Macedonian-Chinese agreement.

Conflicts of Interest

The authors declare no conflict of interest.

References

  1. Debye, P. Polar Molecules; Chemical Catalog Company: New York, NY, USA, 1929. [Google Scholar]
  2. Perrin, F. Mouvement brownien d’un ellipsoide-I. Dispersion diélectrique pour des molécules ellipsoidales. J. Phys. 1934, 5, 497–511. [Google Scholar] [CrossRef]
  3. Kirkwood, J.G.; Fuoss, R. Anomalous dispersion and dielectric loss in polar polymers. J. Chem. Phys. 1941, 9, 329–340. [Google Scholar] [CrossRef]
  4. Budó, A. Dielectric Relaxation of Molecules Containing Rotating Polar Groups. J. Chem. Phys. 1949, 17, 686–691. [Google Scholar] [CrossRef]
  5. Cole, K.S.; Cole, R.H. Dispersion and Absorption in Dielectrics 1. Alternating Current Characteristics. J. Chem. Phys. 1941, 9, 341–351. [Google Scholar] [CrossRef]
  6. Davidson, D.W.; Cole, R.H. Dielectric relaxation in glycerol, propylene glycol, and n-propanol. J. Chem. Phys. 1951, 19, 1484–1490. [Google Scholar] [CrossRef]
  7. Havriliak, S.; Negami, S. A complex plane analysis of α-dispersions in some polymer systems. J. Polym. Sci. Part C 1966, 14, 99–117. [Google Scholar] [CrossRef]
  8. Sack, R.A. Relaxation processes and inertial effects I: Free rotation about a fixed axis. Proc. Phys. Soc. B 1957, 70, 402. [Google Scholar] [CrossRef]
  9. Sack, R.A. Relaxation Processes and Inertial Effects II: Free Rotation in Space. Proc. Phys. Soc. B 1957, 70, 414. [Google Scholar] [CrossRef]
  10. Coffey, W.T.; Kalmykov, Y.P. (Eds.) Fractals, Diffusion, and Relaxation in Disordered Complex Systems, Part A; John Wiley & Sons: Hoboken, NJ, USA, 2006; Volume 133. [Google Scholar]
  11. Coffey, W.; Kalmykov, Y.P. The Langevin Equation: With Applications to Stochastic Problems in Physics, Chemistry and Electrical Engineering; World Scientific: Singapore, 2012. [Google Scholar]
  12. Hilfer, R. H-function representations for stretched exponential relaxation and non-Debye susceptibilities in glassy systems. Phys. Rev. E 2002, 65, 061510. [Google Scholar] [CrossRef]
  13. Hilfer, R. Experimental evidence for fractional time evolution in glass forming materials. Chem. Phys. 2002, 284, 399–408. [Google Scholar] [CrossRef]
  14. Hilfer, R. Analytical representations for relaxation functions of glasses. J. Non-Cryst. Solids 2002, 305, 122–126. [Google Scholar] [CrossRef]
  15. Hilfer, R. On fractional relaxation. Fractals 2003, 11, 251–257. [Google Scholar] [CrossRef]
  16. Stanislavsky, A.; Weron, K.; Weron, A. Diffusion and relaxation controlled by tempered α-stable processes. Phys. Rev. E 2008, 78, 051106. [Google Scholar] [CrossRef] [PubMed]
  17. Stanislavsky, A.; Weron, K.; Trmziel, J. Subordination model of anomalous diffusion leading to the two-power-law relaxation responses. Europhys. Lett. 2010, 91, 40003. [Google Scholar] [CrossRef]
  18. Stanislavsky, A.; Weron, K.; Weron, A. Anomalous diffusion approach to non-exponential relaxation in complex physical systems. Commun. Nonlinear Sci. Numer. Simulat. 2015, 24, 117–126. [Google Scholar] [CrossRef]
  19. Stanislavsky, A.; Weron, K. Stochastic tools hidden behind the empirical dielectric relaxation laws. Rep. Prog. Phys. 2017, 80, 036001. [Google Scholar] [CrossRef][Green Version]
  20. Metzler, R.; Klafter, J. The random walk’s guide to anomalous diffusion: A fractional dynamics approach. Phys. Rep. 2000, 339, 1–77. [Google Scholar] [CrossRef]
  21. Metzler, R.; Klafter, J. From stretched exponential to inverse power-law: Fractional dynamics, Cole–Cole relaxation processes, and beyond. J. Non-Cryst. Solids 2002, 305, 81–87. [Google Scholar] [CrossRef]
  22. Metzler, R.; Klafter, J. Anomalous stochastic processes in the fractional dynamics framework: Fokker-Planck equation, dispersive transport, and non-exponential relaxation. Adv. Chem. Phys. 2001, 116, 223–264. [Google Scholar]
  23. Coffey, W.T.; Kalmykov, Y.P.; Massawe, E.S.; Waldron, J.T. Exact solution for the correlation times of dielectric relaxation of a single axis rotator with two equivalent sites. J. Chem. Phys. 1993, 99, 4011–4023. [Google Scholar] [CrossRef]
  24. Waldron, J.T.; Kalmykov, Y.P.; Coffey, W.T. Rotational Brownian motion and dielectric relaxation of polar molecules subjected to a constant bias field: Exact solution. Phys. Rev. E 1994, 49, 3976. [Google Scholar] [CrossRef] [PubMed]
  25. Coffey, W.T.; Kalmikov, Y.P.; Titov, S.V. Anomalous dielectric relaxation in the context of the Debye model of noninertial rotational diffusion. J. Chem. Phys. 2002, 116, 6422–6426. [Google Scholar] [CrossRef]
  26. Crothers, D.S.F.; Holl, D.; Kalmykov, Y.P.; Coffey, W.T. The role of Mittag–Leffler functions in anomalous relaxation. J. Mol. Liquids 2004, 114, 27–34. [Google Scholar] [CrossRef]
  27. Coffey, W.T.; Kalmykov, Y.P.; Titov, S.V. Inertial effects in anomalous dielectric relaxation. Phys. Rev. E 2002, 65, 032102. [Google Scholar] [CrossRef]
  28. Kalmikov, Y. Fractional rotational Brownian motion in a uniform dc external field. Phys. Rev. E 2004, 70, 051106. [Google Scholar] [CrossRef]
  29. Feldman, Y.; Puzenko, A.; Ryabov, Y. Non-Debye dielectric relaxation in complex materials. Chem. Phys. 2002, 284, 139–168. [Google Scholar] [CrossRef]
  30. Titov, S.V.; Coffey, W.T.; Dowling, W.J.; Zarifakis, M.; Kalmykov, Y.P.; Titov, A.S. Anomalous diffusion of molecules with rotating polar groups: The joint role played by inertia and dipole coupling in microwave and far-infrared absorption. Phys. Rev. E 2020, 102, 052130. [Google Scholar] [CrossRef]
  31. Kowalik, B.; Daldrop, J.O.; Kappler, J.; Schulz, J.C.F.; Schlaich, A.; Netz, R.R. Memory-kernel extraction for different molecular solutes in solvents of varying viscosity in confinement. Phys. Rev. E 2019, 100, 012126. [Google Scholar] [CrossRef]
  32. Mainardi, F. Fractional Calculus and Waves in Linear Viscoelesticity: An introduction to Mathematical Models; Imperial College Press: London, UK, 2010. [Google Scholar]
  33. Metzler, R.; Barkai, E.; Klafter, J. Anomalous diffusion and relaxation close to thermal equilibrium: A fractional Fokker-Planck equation approach. Phys. Rev. Lett. 1999, 82, 3563. [Google Scholar] [CrossRef]
  34. Petreska, I.; Pejov, L.; Kocarev, L. Exploring the possibilities to control the molecular switching properties and dynamics: A field-switchable rotor-stator molecular system. J. Chem. Phys. 2011, 134, 014708. [Google Scholar] [CrossRef]
  35. Sandev, T.; Metzler, R.; Chechkin, A. From continuous time random walks to the generalized diffusion equation. Fract. Calc. Appl. Anal. 2018, 21, 10–28. [Google Scholar] [CrossRef]
  36. Hill, R.M.; Dissado, L.A. Debye and non-Debye relaxation. J. Phys. C Solid State Phys. 1985, 18, 3829. [Google Scholar] [CrossRef]
  37. Prabhakar, T.R. A singular integral equation with a generalized Mittag Leffler function in the kernel. Yokohama Math. J. 1971, 19, 7–15. [Google Scholar]
  38. Garra, R.; Garrappa, R. The Prabhakar or three parameter Mittag–Leffler function: Theory and application. Commun. Nonlin. Sci. Numer. Simul. 2018, 56, 314–329. [Google Scholar] [CrossRef]
  39. Bazhlekova, E. Completely monotone multinomial Mittag-Leffler type functions and diffusion equations with multiple time-derivatives. Fract. Calc. Appl. Anal. 2021, 24, 88–111. [Google Scholar] [CrossRef]
  40. Chechkin, A.V.; Gorenflo, R.; Sokolov, I.M. Retarding subdiffusion and accelerating superdiffusion governed by distributed-order fractional diffusion equations. Phys. Rev. E 2002, 66, 046129. [Google Scholar] [CrossRef]
  41. Giusti, A.; Colombaro, I.; Garra, R.; Garrappa, R.; Polito, F.; Popolizio, M.; Mainardi, F. A Guide to Prabhakar functions and operators. Fract. Calc. Appl. Anal. 2020, 23, 9–54. [Google Scholar] [CrossRef]
  42. Górska, K.; Horzela, A.; Pogány, T.K. Non-Debye relaxations: Smeared time evolution, memory effects, and the Laplace exponents. Commun. Nonlin. Sci. Num. Simul. 2021, 99, 105837. [Google Scholar] [CrossRef]
  43. Górska, K.; Horzela, A. Non-Debye Relaxations: Two Types of Memories and Their Stieltjes Character. Mathematics 2021, 9, 477. [Google Scholar] [CrossRef]
  44. Górska, K.; Horzela, A.; Pogány, T.K. Non-Debye relaxations: The characteristic exponent in the excess wings model. Commun. Nonlin. Sci. Numer. Simul. 2021, 103, 106006. [Google Scholar] [CrossRef]
  45. Garrappa, R.; Mainardi, F.; Maione, G. Models of dielectric relaxation based on completely monotone functions. Fract. Calc. Appl. Anal. 2016, 19, 1105. [Google Scholar] [CrossRef]
  46. D’Ovidio, M.; Polito, F. Fractional Diffusion–Telegraph Equations and Their Associated Stochastic Solutions. Theory Probab. Appl. 2018, 62, 552–574. [Google Scholar] [CrossRef]
  47. Dos Santos, M.A.F. A fractional diffusion equation with sink term. Indian J. Phys. 2018, 94, 1123–1133. [Google Scholar]
  48. Evans, M.R.; Majumdar, S.N. Diffusion with stochastic resetting. Phys. Rev. Lett. 2011, 106, 160601. [Google Scholar] [CrossRef] [PubMed]
  49. Evans, M.R.; Majumdar, S.N. Diffusion with resetting in arbitrary spatial dimension. J. Phys. A Math. Theor. 2014, 47, 285001. [Google Scholar] [CrossRef]
  50. Evans, M.R.; Majumdar, S.N.; Schehr, G. Stochastic resetting and applications. J. Phys. A Math. Theor. 2020, 53, 193001. [Google Scholar] [CrossRef]
  51. Bell, W.J. Searching Behavior: The Behavioral Ecology of Finding Resources; Chapman and Hall: London, UK, 1999. [Google Scholar]
  52. Bartumeus, F.; Catalan, J. Optimal search behavior and classic foraging theory. J. Phys. A: Math. Theor. 2009, 42, 434002. [Google Scholar] [CrossRef]
  53. Falcón-Cortés, A.; Boyer, D.; Giugiolli, L.; Majumdar, S.N. Localization transition induced by learning in random searches. Phys. Rev. Lett. 2017, 119, 140603. [Google Scholar] [CrossRef]
  54. Pal, A.; Reuveni, S. First passage under restart. Phys. Rev. Lett. 2017, 118, 030603. [Google Scholar] [CrossRef]
  55. Pal, A.; Kuśmierz, L.; Reuveni, S. Search with home returns provides advantage under high uncertainty. Phys. Rev. Res. 2020, 2, 043174. [Google Scholar] [CrossRef]
  56. Reuveni, S.; Urbakh, M.; Klafter, J. Role of substrate unbinding in Michaelis–Menten enzymatic reactions. Proc. Natl Acad. Sci. USA 2014, 111, 4391–4396. [Google Scholar] [CrossRef] [PubMed]
  57. Sornette, D. Critical market crashes. Phys. Rep. 2003, 378, 1–98. [Google Scholar] [CrossRef]
  58. Tal-Friedman, O.; Pal, A.; Sekhon, A.; Reuveni, S.; Roichman, Y. Experimental realization of diffusion with stochastic resetting. J. Phys. Chem. Lett. 2020, 11, 7350–7355. [Google Scholar] [CrossRef] [PubMed]
  59. Besga, B.; Bovon, A.; Petrosyan, A.; Majumdar, S.N.; Ciliberto, S. Optimal mean first-passage time for a Brownian searcher subjected to resetting: Experimental and theoretical results. Phys. Rev. Res. 2020, 2, 032029. [Google Scholar] [CrossRef]
  60. Pal, A. Diffusion in a potential landscape with stochastic resetting. Phys. Rev. E 2015, 91, 012113. [Google Scholar] [CrossRef]
  61. Masó-Puigdellosas, A.; Campos, D.; Méndez, V. Transport properties and first-arrival statistics of random motion with stochastic reset times. Phys. Rev. E 2019, 99, 012141. [Google Scholar] [CrossRef]
  62. Ray, S.; Reuveni, S. Diffusion with resetting in a logarithmic potential. J. Chem. Phys. 2019, 152, 234110. [Google Scholar] [CrossRef]
  63. Ahmad, S.; Nayak, I.; Bansal, A.; Nandi, A.; Das, D. First passage of a particle in a potential under stochastic resetting: A vanishing transition of optimal resetting rate. Phys. Rev. E 2019, 99, 022130. [Google Scholar] [CrossRef]
  64. Mercado-Vásquez, G.; Boyer, D.; Majumdar, S.N.; Schehr, G. Intermittent resetting potentials. J. Stat. Mech. 2020, 2020, 113203. [Google Scholar] [CrossRef]
  65. Dahlenburg, M.; Chechkin, A.V.; Schumer, R.; Metzler, R. Stochastic resetting by a random amplitude. Phys. Rev. E 2021, 103, 052123. [Google Scholar] [CrossRef]
  66. Dos Santos, M.A.F. Non-Gaussian distributions to random walk in the context of memory kernels. Fractal Fract. 2018, 2, 20. [Google Scholar] [CrossRef]
  67. Stanislavsky, A.; Weron, A. Optimal non-Gaussian search with stochastic resetting. Phys. Rev. E 2020, 104, 014125. [Google Scholar] [CrossRef] [PubMed]
  68. Tateishi, A.A.; Ribeiro, H.V.; Lenzi, E.K. The role of fractional time-derivative operators on anomalous diffusion. Front. Phys. 2017, 5, 52. [Google Scholar] [CrossRef]
  69. Sandev, T. Generalized Langevin equation and the Prabhakar derivative. Mathematics 2017, 5, 66. [Google Scholar] [CrossRef]
  70. Dos Santos, M.A.F. Fractional Prabhakar derivative in diffusion equation with non-static stochastic resetting. Physics 2019, 1, 40. [Google Scholar] [CrossRef]
  71. Chakroun, R.; Jamoussi, B.; Al-Mur, B.; Timoumi, A.; Essalah, K. Impedance Spectroscopy and Dielectric Relaxation of Imidazole-Substituted Palladium (II) Phthalocyanine (ImPdPc) for Organic Solar Cells. ACS Omega 2021, 6, 10655. [Google Scholar] [CrossRef]
  72. Cui, H.-B.; Takahashi, K.; Okano, Y.; Kobayashi, H.; Wang, Z.; Kobayashi, A. Dielectric Properties of Porous Molecular Crystals That Contain Polar Molecules. Angew. Chem. 2005, 117, 6666–6670. [Google Scholar] [CrossRef]
  73. Thomas, K.; Stäglich, R.; Gainaru, C.; Böhmer, R.; Rössler, E.A. Systematic differences in the relaxation stretching of polar molecular liquids probed by dielectric vs magnetic resonance and photon correlation spectroscopy. J. Chem. Phys. 2020, 153, 124510. [Google Scholar]
Figure 1. A system of dipoles subjected to external uniform electric field with a magnitude E.
Figure 1. A system of dipoles subjected to external uniform electric field with a magnitude E.
Fractalfract 06 00088 g001
Figure 2. Probability density function (PDF) given by Equation (2) at different ratios μ E / k T . The black line corresponds to μ E / k T = 0.25 , the dashed line corresponds to μ E / k T = 0.5 , the red line corresponds to μ E / k T = 1 , the dotted line corresponds to μ E / k T = 2 , and the green line represents the case μ E / k T = 4 .
Figure 2. Probability density function (PDF) given by Equation (2) at different ratios μ E / k T . The black line corresponds to μ E / k T = 0.25 , the dashed line corresponds to μ E / k T = 0.5 , the red line corresponds to μ E / k T = 1 , the dotted line corresponds to μ E / k T = 2 , and the green line represents the case μ E / k T = 4 .
Fractalfract 06 00088 g002
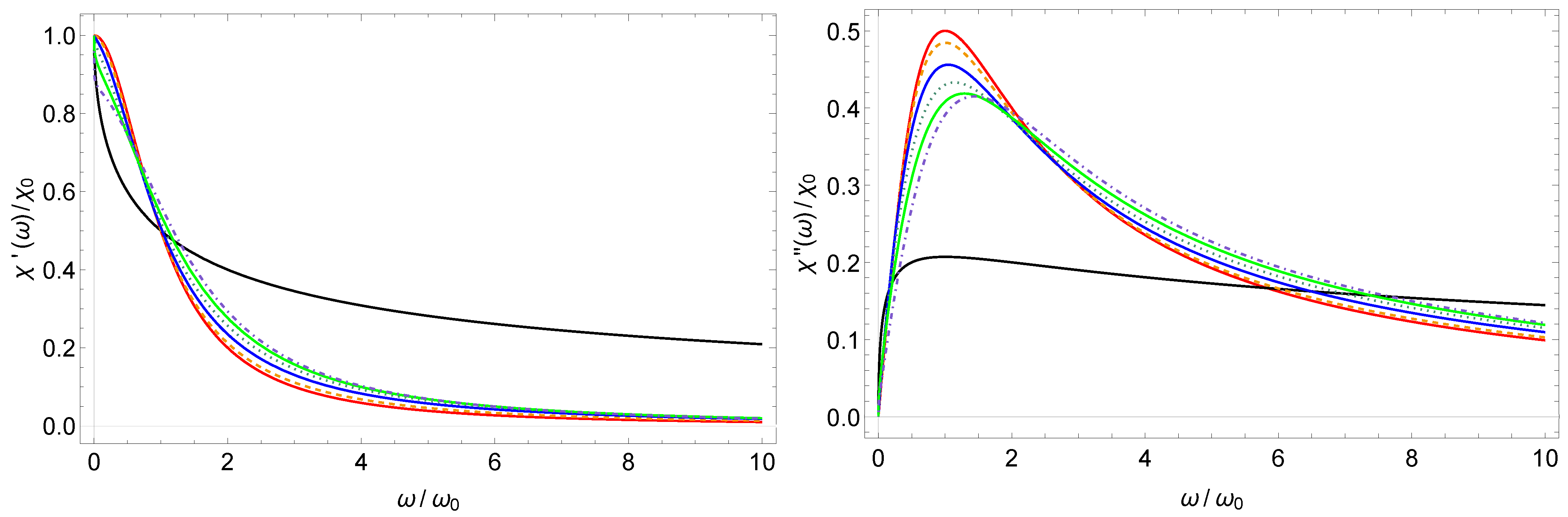
Figure 3. Behaviour of the complex susceptibility as obtained from our solution for the mixed Debye and Cole–Cole relaxation processes. Red lines correspond to pure Debye relaxation, while black lines represent Cole–Cole relaxation for the value α = 0.5 . The parameters are a 1 = 0.8 and a 2 = 0.2 , respectively. Dashed lines correspond to α = 0.9 , blue lines correspond to α = 0.7 , dotted lines correspond to α = 0.5 , green lines correspond to α = 0.3 , and the dot-dashed ones correspond to α = 0.1 . Left panel: real part. Right panel: imaginary part (dielectric loss).
Figure 3. Behaviour of the complex susceptibility as obtained from our solution for the mixed Debye and Cole–Cole relaxation processes. Red lines correspond to pure Debye relaxation, while black lines represent Cole–Cole relaxation for the value α = 0.5 . The parameters are a 1 = 0.8 and a 2 = 0.2 , respectively. Dashed lines correspond to α = 0.9 , blue lines correspond to α = 0.7 , dotted lines correspond to α = 0.5 , green lines correspond to α = 0.3 , and the dot-dashed ones correspond to α = 0.1 . Left panel: real part. Right panel: imaginary part (dielectric loss).
Fractalfract 06 00088 g003
Figure 4. Behaviour of the complex susceptibility as obtained from our solution for the mixed Debye and Cole–Cole relaxation processes. Red lines correspond to pure Debye relaxation, while the black lines correspond to pure Cole–Cole relaxation for the value α = 0.5 . The parameters a 1 and a 2 are taken to be a 1 = 0.2 and a 2 = 0.8 , respectively. Dashed lines correspond to α = 0.9 , blue lines correspond to α = 0.7 , dotted lines correspond to α = 0.5 , green lines correspond to α = 0.3 , and the dot-dashed lines correspond to α = 0.1 . Left panel: real part. Right panel: imaginary part (dielectric loss).
Figure 4. Behaviour of the complex susceptibility as obtained from our solution for the mixed Debye and Cole–Cole relaxation processes. Red lines correspond to pure Debye relaxation, while the black lines correspond to pure Cole–Cole relaxation for the value α = 0.5 . The parameters a 1 and a 2 are taken to be a 1 = 0.2 and a 2 = 0.8 , respectively. Dashed lines correspond to α = 0.9 , blue lines correspond to α = 0.7 , dotted lines correspond to α = 0.5 , green lines correspond to α = 0.3 , and the dot-dashed lines correspond to α = 0.1 . Left panel: real part. Right panel: imaginary part (dielectric loss).
Fractalfract 06 00088 g004
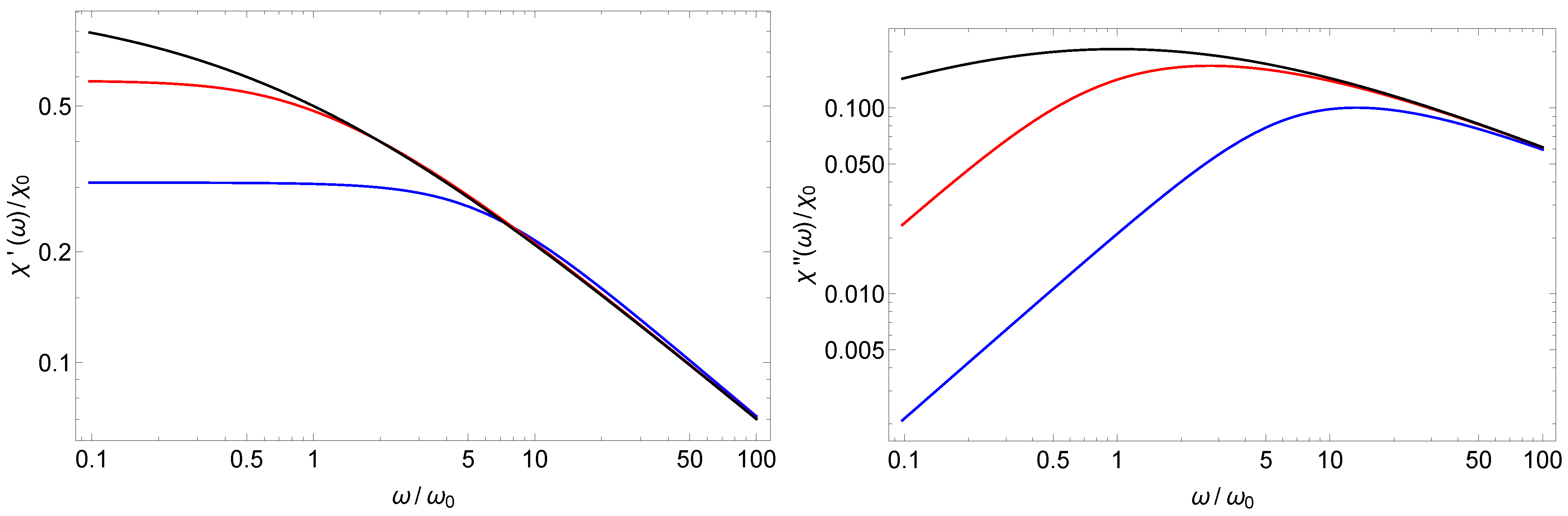
Figure 5. Behaviour of the complex susceptibility (log–log plot) for Debye relaxation with resetting. The black line corresponds to Debye relaxation without resetting, while the red and blue lines correspond to r-parameter values of 0.5 and 5, respectively. Left panel: real part. Right panel: imaginary part (dielectric loss).
Figure 5. Behaviour of the complex susceptibility (log–log plot) for Debye relaxation with resetting. The black line corresponds to Debye relaxation without resetting, while the red and blue lines correspond to r-parameter values of 0.5 and 5, respectively. Left panel: real part. Right panel: imaginary part (dielectric loss).
Fractalfract 06 00088 g005
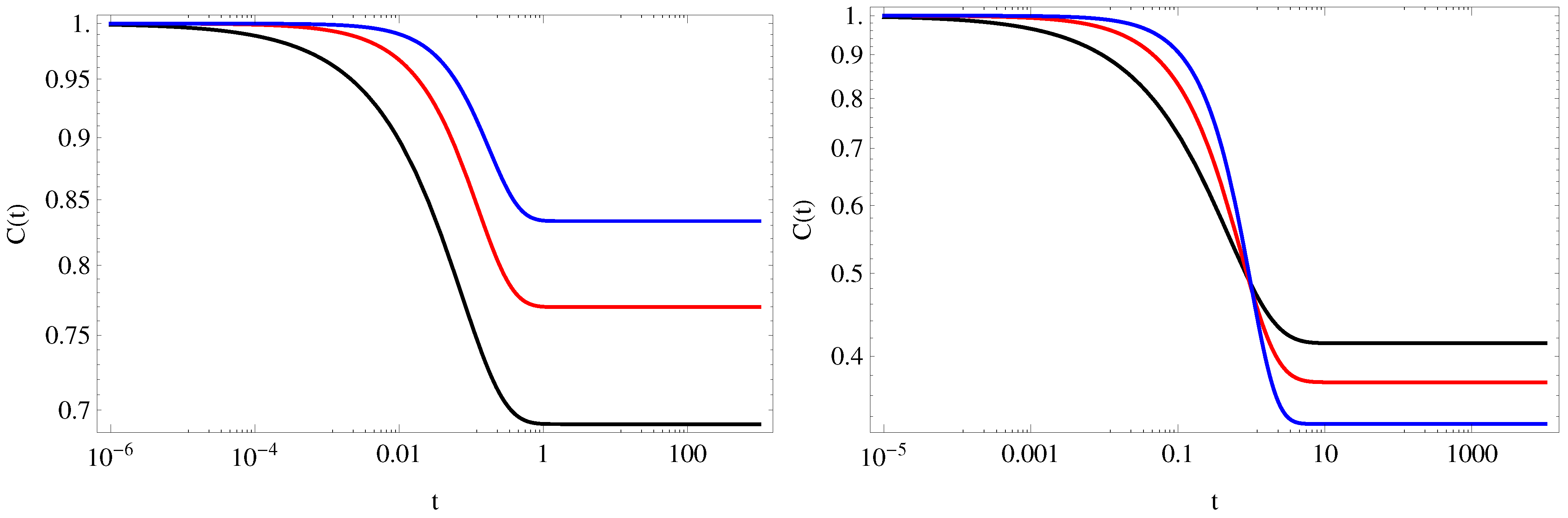
Figure 6. Behaviour of the correlation function (69) for Cole–Cole relaxation with resetting. The parameters are taken as follows: λ 1 = 1 , τ = 1 and α = 1 (Debye relaxation with resetting, blue line), α = 3 / 4 (red line), α = 1 / 2 (black line). Left panel: r = 5 ; Right panel: r = 0.5 .
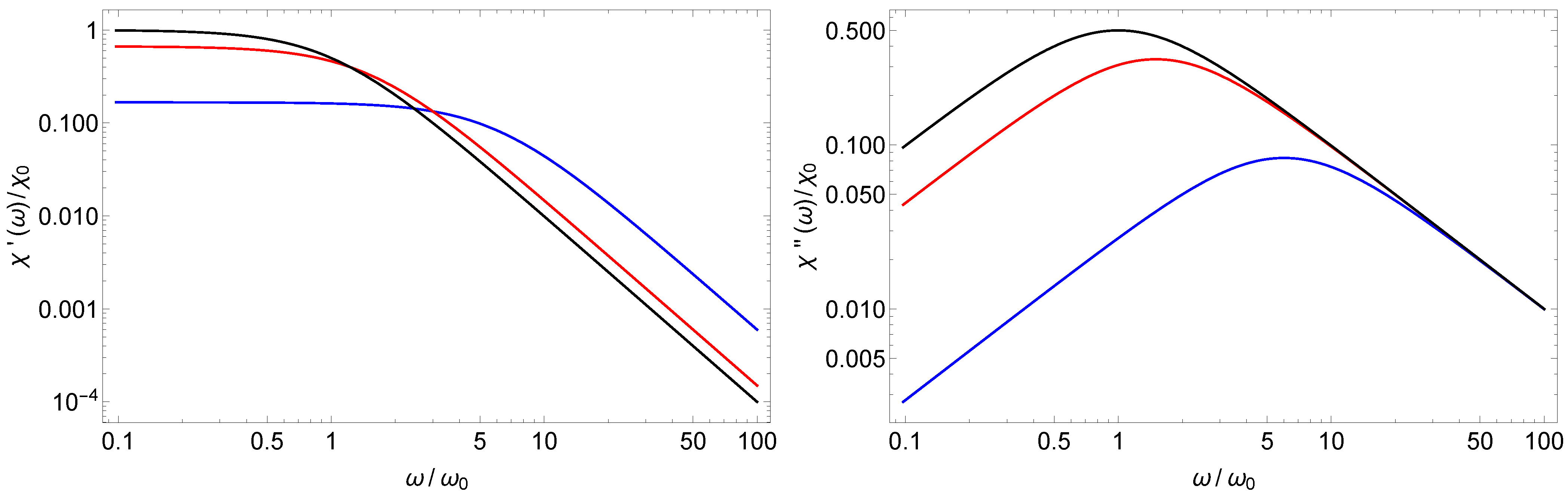
Figure 6. Behaviour of the correlation function (69) for Cole–Cole relaxation with resetting. The parameters are taken as follows: λ 1 = 1 , τ = 1 and α = 1 (Debye relaxation with resetting, blue line), α = 3 / 4 (red line), α = 1 / 2 (black line). Left panel: r = 5 ; Right panel: r = 0.5 .
Fractalfract 06 00088 g006
Figure 7. Behaviour of the complex susceptibility (log–log plot) for Cole–Cole relaxation with resetting. The black lines correspond to Debye relaxation without resetting, while the red and blue lines correspond to r-parameter values of 0.5 and 5, respectively. The parameter α = 0.5 . Left panel: real part. Right panel: imaginary part (dielectric loss).
Figure 7. Behaviour of the complex susceptibility (log–log plot) for Cole–Cole relaxation with resetting. The black lines correspond to Debye relaxation without resetting, while the red and blue lines correspond to r-parameter values of 0.5 and 5, respectively. The parameter α = 0.5 . Left panel: real part. Right panel: imaginary part (dielectric loss).
Fractalfract 06 00088 g007
Figure 8. Behaviour of the correlation function (74). The parameters are taken as follows: τ c = 1 , τ = 1 , a 1 = a 2 = 1 / 2 , and α = 1 (Debye relaxation with resetting, blue line), α = 3 / 4 (red line), α = 1 / 2 (black line). Left panel: r = 5 ; Right panel: r = 0.5 .
Figure 8. Behaviour of the correlation function (74). The parameters are taken as follows: τ c = 1 , τ = 1 , a 1 = a 2 = 1 / 2 , and α = 1 (Debye relaxation with resetting, blue line), α = 3 / 4 (red line), α = 1 / 2 (black line). Left panel: r = 5 ; Right panel: r = 0.5 .
Fractalfract 06 00088 g008
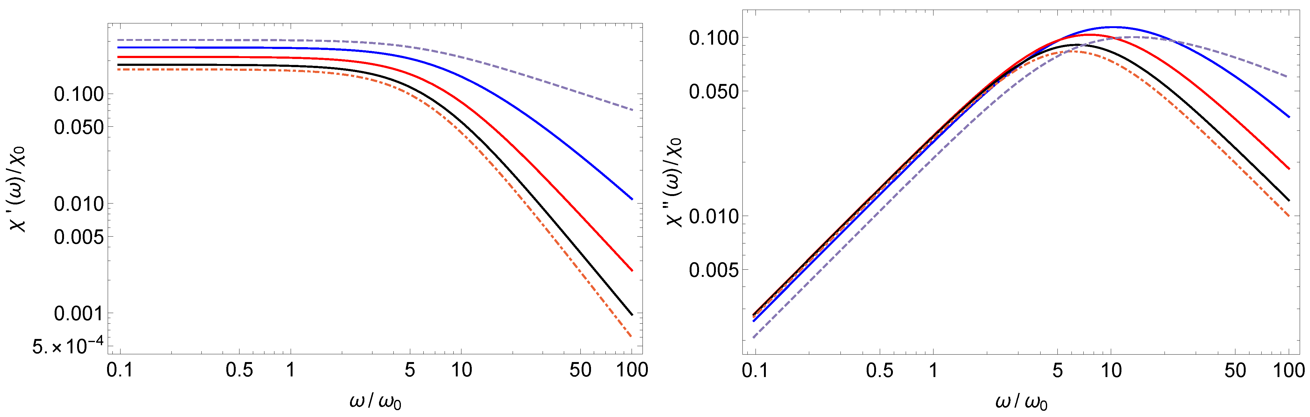
Figure 9. Behaviour of the complex susceptibility (log–log plot) for combined Debye and Cole–Cole relaxation with resetting parameter r = 5 . The dot-dashed lines stand for pure Debye with resetting, the dashed lines represent pure Cole–Cole with resetting, while the black, red, and blue lines correspond to a 1 = 0.8 , a 2 = 0.2 , a 1 = 0.5 , a 2 = 0.5 , and a 1 = 0.2 , a 2 = 0.8 , respectively. Left panel: real part. Right panel: imaginary part (dielectric loss).
Figure 9. Behaviour of the complex susceptibility (log–log plot) for combined Debye and Cole–Cole relaxation with resetting parameter r = 5 . The dot-dashed lines stand for pure Debye with resetting, the dashed lines represent pure Cole–Cole with resetting, while the black, red, and blue lines correspond to a 1 = 0.8 , a 2 = 0.2 , a 1 = 0.5 , a 2 = 0.5 , and a 1 = 0.2 , a 2 = 0.8 , respectively. Left panel: real part. Right panel: imaginary part (dielectric loss).
Fractalfract 06 00088 g009
Figure 10. Behaviour of the correlation function (80) for the Havriliak–Negami relaxation in the presence of resetting. The parameters are taken as follows: λ 1 = 1 , τ = 1 , and α = ν = 1 (Debye relaxation with resetting, blue line), α = 3 / 4 , ν = 1 (red line), α = 1 , ν = 3 / 4 (black line), α = ν = 3 / 4 (pink line). Left panel: r = 1 ; Right panel: r = 0.5 .
Figure 10. Behaviour of the correlation function (80) for the Havriliak–Negami relaxation in the presence of resetting. The parameters are taken as follows: λ 1 = 1 , τ = 1 , and α = ν = 1 (Debye relaxation with resetting, blue line), α = 3 / 4 , ν = 1 (red line), α = 1 , ν = 3 / 4 (black line), α = ν = 3 / 4 (pink line). Left panel: r = 1 ; Right panel: r = 0.5 .
Fractalfract 06 00088 g010
Figure 11. Behaviour of the complex susceptibility (log–log plot) for Havriliak–Negami relaxation with resetting. The black and dot–dashed lines correspond to Havriliak–Negami relaxation without resetting for ν = 0.5 and ν = 0.75 , respectively. The solid red line and blue dashed line correspond to the r-parameter value of 0.5 for ν = 0.5 and ν = 0.75 , respectively. The solid blue line and orange dashed lines correspond to the r-parameter value of 5 for ν = 0.5 and ν = 0.75 , respectively. The parameter α is taken to be 0.5 for both cases. Left panel: real part. Right panel: imaginary part (dielectric loss).
Figure 11. Behaviour of the complex susceptibility (log–log plot) for Havriliak–Negami relaxation with resetting. The black and dot–dashed lines correspond to Havriliak–Negami relaxation without resetting for ν = 0.5 and ν = 0.75 , respectively. The solid red line and blue dashed line correspond to the r-parameter value of 0.5 for ν = 0.5 and ν = 0.75 , respectively. The solid blue line and orange dashed lines correspond to the r-parameter value of 5 for ν = 0.5 and ν = 0.75 , respectively. The parameter α is taken to be 0.5 for both cases. Left panel: real part. Right panel: imaginary part (dielectric loss).
Fractalfract 06 00088 g011
Publisher’s Note: MDPI stays neutral with regard to jurisdictional claims in published maps and institutional affiliations.

Share and Cite

MDPI and ACS Style

Petreska, I.; Pejov, L.; Sandev, T.; Kocarev, L.; Metzler, R. Tuning of the Dielectric Relaxation and Complex Susceptibility in a System of Polar Molecules: A Generalised Model Based on Rotational Diffusion with Resetting. Fractal Fract. 2022, 6, 88. https://doi.org/10.3390/fractalfract6020088

AMA Style

Petreska I, Pejov L, Sandev T, Kocarev L, Metzler R. Tuning of the Dielectric Relaxation and Complex Susceptibility in a System of Polar Molecules: A Generalised Model Based on Rotational Diffusion with Resetting. Fractal and Fractional. 2022; 6(2):88. https://doi.org/10.3390/fractalfract6020088

Chicago/Turabian Style

Petreska, Irina, Ljupco Pejov, Trifce Sandev, Ljupco Kocarev, and Ralf Metzler. 2022. "Tuning of the Dielectric Relaxation and Complex Susceptibility in a System of Polar Molecules: A Generalised Model Based on Rotational Diffusion with Resetting" Fractal and Fractional 6, no. 2: 88. https://doi.org/10.3390/fractalfract6020088

APA Style

Petreska, I., Pejov, L., Sandev, T., Kocarev, L., & Metzler, R. (2022). Tuning of the Dielectric Relaxation and Complex Susceptibility in a System of Polar Molecules: A Generalised Model Based on Rotational Diffusion with Resetting. Fractal and Fractional, 6(2), 88. https://doi.org/10.3390/fractalfract6020088

Article Metrics

Back to TopTop