A Nonlocal Fractional Peridynamic Diffusion Model
Abstract
:1. Introduction
2. Materials and Methods
2.1. The FPD Anomalous Diffusion Model
2.2. The Fractional Peridynamic Differential Operator
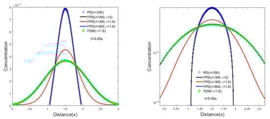
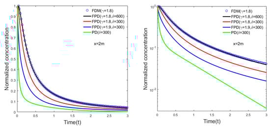
3. Results
4. Discussion
5. Conclusions
Author Contributions
Funding
Institutional Review Board Statement
Informed Consent Statement
Data Availability Statement
Conflicts of Interest
References
- Buryachenko, V.A. Generalized effective fields method in peridynamic micromechanics of random structure composites. Int. J. Solids Struct. 2020, 202, 765–786. [Google Scholar] [CrossRef]
- Gur, S.; Sadat, M.R.; Frantziskonis, G.N.; Bringuier, S. The effect of grain-size on fracture of polycrystalline silicon carbide: A multiscale analysis using a molecular dynamics-peridynamics framework. Comput. Mater. Sci. 2019, 159, 341–348. [Google Scholar] [CrossRef]
- Nayak, S.; Ravinder, R.; Krishnan, N.M.A.; Das, S. A peridynamics-based micromechanical modeling approach for random heterogeneous structural materials. Materials 2020, 13, 1298. [Google Scholar] [CrossRef] [PubMed] [Green Version]
- Khan, A.A.; Bukhari, S.R.; Marin, M.; Ellahi, R. Effects of chemical reaction on third-grade MHD fluid flow under the influence of heat and mass transfer with variable reactive index. Heat Transf. Res. 2019, 50, 1061–1080. [Google Scholar] [CrossRef]
- Zhang, Y.; Meerschaert, M.M.; Baeumer, B.; LaBolle, E.M. Modeling mixed retention and early arrivals in multidimensional heterogeneous media using an explicit Lagrangian scheme. Water Resour. Res. 2015, 51, 6311–6337. [Google Scholar] [CrossRef] [Green Version]
- Mortazavi, B.; Rabczuk, T. Multiscale modeling of heat conduction in graphene laminates. Carbon 2015, 85, 1–7. [Google Scholar] [CrossRef] [Green Version]
- Uchida, M.; Kaneko, Y. Nonlocal multiscale modeling of deformation behavior of polycrystalline copper by second-order homogenization method. J. Phys. Condens. Matter 2019, 92, 189. [Google Scholar] [CrossRef]
- Xi, Q.; Fu, Z.J.; Wu, W.J.; Wang, H.; Wang, Y. A novel localized collocation solver based on Trefftz basis for potential-based inverse electromyography. Appl. Math. Comput. 2021, 390, 125604. [Google Scholar] [CrossRef]
- Chen, H.X.; Sun, S.Y. A new physics-preserving IMPES scheme for incompressible and immiscible two-phase flow in heterogeneous porous media. J. Comput. Appl. Math. 2021, 381, 113035. [Google Scholar] [CrossRef]
- You, H.Q.; Yu, Y.; Kamensky, D. An asymptotically compatible formulation for local-to-nonlocal coupling problems without overlapping regions. Comput. Methods Appl. Mech. Eng. 2020, 366, 113038. [Google Scholar] [CrossRef] [Green Version]
- Leng, Y.; Tian, X.C.; Trask, N.A.; Foster, J.T. Asymptotically compatible reproducing kernel collocation and meshfree integration for the peridynamic Navier equation. Comput. Methods Appl. Mech. Eng. 2020, 370, 113264. [Google Scholar] [CrossRef]
- Saeed, T.; Abbas, I.; Marin, M. A GL model on thermo-elastic interaction in a poroelastic material using finite element method. Symmetry 2020, 12, 488. [Google Scholar] [CrossRef] [Green Version]
- Chen, W.; Sun, H.G.; Zhang, X.; Korošak, D. Anomalous diffusion modeling by fractal and fractional derivatives. Comput. Math. Appl. 2010, 59, 1754–1758. [Google Scholar] [CrossRef] [Green Version]
- Qiao, C.T.D.; Xu, Y.; Zhao, W.D.; Qian, J.Z.; Wu, Y.T.; Sun, H.G. Fractional derivative modeling on solute non-fickian transport in a single vertical fracture. Front. Phys. 2020, 8, 378. [Google Scholar] [CrossRef]
- Qiu, L.; Hu, C.; Qin, Q.H. A novel homogenization function method for inverse source problem of nonlinear time-fractional wave equation. Appl. Math. Lett. 2020, 109, 106554. [Google Scholar] [CrossRef]
- Sun, H.G.; Zhang, Y.; Wei, S.; Zhu, J.; Chen, W. A space fractional constitutive equation model for non-Newtonian fluid flow. Commun. Nonlinear Sci. Numer. Simul. 2018, 62, 409–417. [Google Scholar] [CrossRef]
- Sun, H.G.; Chen, W.; Li, C.; Chen, Y.Q. Fractional differential models for anomalous diffusion. Physica A 2010, 389, 2719–2724. [Google Scholar] [CrossRef]
- Brociek, R.; Chmielowska, A.; Slota, D. Parameter Identification in the Two-Dimensional Riesz Space Fractional Diffusion Equation. Fractal Fract. 2020, 4, 39. [Google Scholar] [CrossRef]
- Ganji, R.M.; Jafari, H.; Baleanu, D. A new approach for solving multi variable orders differential equations with Mittag-Leffler kernel. Chaos Solitons Fractals 2020, 130, 109405. [Google Scholar] [CrossRef]
- Chang, A.L.; Sun, H.G. Time-space fractional derivative models for CO2 transport in heterogeneous media. Fract. Calc. Appl. Anal. 2018, 21, 151–173. [Google Scholar] [CrossRef] [Green Version]
- Nikan, O.; Jafari, H.; Golbabai, A. Numerical analysis of the fractional evolution model for heat flow in materials with memory. Alex. Eng. J. 2020, 59, 2627–2637. [Google Scholar] [CrossRef]
- Hu, D.; Cai, W.; Song, Y.; Wang, Y.S. A fourth-order dissipation-preserving algorithm with fast implementation for space fractional nonlinear damped wave equations. Commun. Nonlinear Sci. Numer. Simul. 2020, 91, 105432. [Google Scholar] [CrossRef]
- Rezapour, S.; Mohammadi, H.; Jajarmi, A. A new mathematical model for Zika virus transmission. Adv. Differ. Equ. 2020, 2020, 589. [Google Scholar] [CrossRef]
- Tuan, N.H.; Ganji, R.M.; Jafari, H. A numerical study of fractional rheological models and fractional Newell-Whitehead-Segel equation with non-local and non-singular kernel. Chin. J. Phys. 2020, 68, 308–320. [Google Scholar] [CrossRef]
- Silling, S.A. Reformulation of elasticity theory for discontinuities and long-range forces. J. Mech. Phys. Solids 2000, 48, 175–209. [Google Scholar] [CrossRef] [Green Version]
- Silling, S.A.; Epton, M.; Weckner, O.; Xu, J.; Askari, E. Peridynamic states and constitutive modeling. J. Elast. 2007, 88, 151–184. [Google Scholar] [CrossRef] [Green Version]
- Shojaei, A.; Mossaiby, F.; Zaccariotto, M.; Galvanetto, U. An adaptive multi-grid peridynamic method for dynamic fracture analysis. Int. J. Mech. Sci. 2018, 144, 600–617. [Google Scholar] [CrossRef]
- Wang, J.; Xu, L.; Wang, J. Static and dynamic green’s functions in peridynamics. J. Elast. 2017, 126, 95–125. [Google Scholar] [CrossRef]
- Galvanetto, U.; Sarego, G.; Zaccariotto, M.; Luongo, F. Examples of applications of the peridynamic theory to the solution of static equilibrium problems. Aeronaut. J. 2015, 119, 677–700. [Google Scholar]
- Shojaei, A.; Hermann, A.; Seleson, P.; Cyron, C.J. Dirichlet absorbing boundary conditions for classical and peridynamic diffusion-type models. Comput. Mech. 2020, 66, 773–793. [Google Scholar] [CrossRef]
- Buryachenko, V.A. Variational principles and generalized Hill’s bounds in micromechanics of linear peridynamic random structure composites. Math. Mech. Solids 2020, 25, 682–704. [Google Scholar] [CrossRef]
- Zhang, H.W.; Li, H.; Ye, H.F.; Zheng, Y.G.; Zhang, Y.X. A coupling extended multiscale finite element and peridynamic method for modeling of crack propagation in solids. Acta Mech. 2019, 230, 3667–3692. [Google Scholar] [CrossRef]
- Mengesha, T.; Du, Q. Multiscale analysis of linearized peridynamics. Commun. Math. Sci. 2015, 13, 1193–1218. [Google Scholar] [CrossRef]
- Madenci, E.; Barut, A.; Dorduncu, M. Peridynamic Differential Operator for Numerical Analysis; Springer: Berlin/Heidelberg, Germany, 2019; pp. 14–24. [Google Scholar]
- Gu, X.; Zhang, Q.; Madenci, E. Refined bond-based peridynamics for thermal diffusion. Eng. Comput. 2019, 36, 2557–2587. [Google Scholar] [CrossRef]
- Shojaei, A.; Galvanetto, U.; Rabczuk, T.; Jenabi, A.; Zaccariotto, M. A generalized finite difference method based on the peridynamic differential operator for the solution of problems in bounded and unbounded domains. Comput. Methods Appl. Mech. Eng. 2019, 343, 100–126. [Google Scholar] [CrossRef]
- Khayyer, A.; Gotoh, H.; Falahaty, H.; Shimizu, Y. Towards development of enhanced fully-Lagrangian meshfree computational methods for fluid-structure interaction. J. Hydrodyn. 2018, 30, 49–61. [Google Scholar] [CrossRef]
- Bazazzadeh, S.; Shojaei, A.; Zaccariotto, M.; Galvanetto, U. Application of the peridynamic differential operator to the solution of sloshing problems in tanks. Eng. Comput. 2019, 36, 45–83. [Google Scholar] [CrossRef]
- Gerstle, W.; Silling, S.; Read, D.; Tewary, V.; Lehoucq, R. Peridynamic simulation of electromigration. Comput. Mater. Contin. 2008, 8, 75–92. [Google Scholar]
- Martowicz, A.; Bryła, J.; Staszewski, W.J.; Ruzzene, M.; Uhl, T. Nonlocal elasticity in shape memory alloys modeled using peridynamics for solving dynamic problems. Nonlinear Dyn. 2019, 97, 1911–1935. [Google Scholar] [CrossRef] [Green Version]
- Jiang, X.; Xu, M.; Qi, H. The fractional diffusion model with an absorption term and modified Fick’s law for non-local transport processes. Nonlinear Anal. Real World Appl. 2010, 11, 262–269. [Google Scholar] [CrossRef]
- Rabei, E.M.; Almayteh, I.; Muslih, S.; Baleanu, D. Frctional, Hamilton-Jacobi formulation of system within Caputo’s factional derivative. Phys. Scr. 2008, 77, 015101. [Google Scholar] [CrossRef]
- Madenci, E.; Oterkus, E. Peridynamic Theory and Its Applications; Springer: Berlin/Heidelberg, Germany, 2014; pp. 24–25. [Google Scholar]
- Lakshmikantham, V.; Vatsala, A.S. Theory of fractional differential equations. Nonlinear Anal. 2008, 69, 2677–2682. [Google Scholar] [CrossRef]
- Zhang, Y.; Benson, D.A.; Reeves, D.M. Time and space nonlocalities underlying fractional-derivative models: Distinction and literature review of field applications. Adv. Water Resour. 2009, 32, 561–581. [Google Scholar] [CrossRef]





Publisher’s Note: MDPI stays neutral with regard to jurisdictional claims in published maps and institutional affiliations. |
© 2021 by the authors. Licensee MDPI, Basel, Switzerland. This article is an open access article distributed under the terms and conditions of the Creative Commons Attribution (CC BY) license (https://creativecommons.org/licenses/by/4.0/).
Share and Cite
Wang, Y.; Sun, H.; Fan, S.; Gu, Y.; Yu, X. A Nonlocal Fractional Peridynamic Diffusion Model. Fractal Fract. 2021, 5, 76. https://doi.org/10.3390/fractalfract5030076
Wang Y, Sun H, Fan S, Gu Y, Yu X. A Nonlocal Fractional Peridynamic Diffusion Model. Fractal and Fractional. 2021; 5(3):76. https://doi.org/10.3390/fractalfract5030076
Chicago/Turabian StyleWang, Yuanyuan, HongGuang Sun, Siyuan Fan, Yan Gu, and Xiangnan Yu. 2021. "A Nonlocal Fractional Peridynamic Diffusion Model" Fractal and Fractional 5, no. 3: 76. https://doi.org/10.3390/fractalfract5030076
APA StyleWang, Y., Sun, H., Fan, S., Gu, Y., & Yu, X. (2021). A Nonlocal Fractional Peridynamic Diffusion Model. Fractal and Fractional, 5(3), 76. https://doi.org/10.3390/fractalfract5030076
