Next Article in Journal
Comparative Study on Pore Characteristics and Methane Adsorption Capacity of the Lower Silurian Longmaxi Shales with Different Lithofacies
Previous Article in Journal
Multifractal Characteristics of Tight Sandstone Pore Structure Based on Nuclear Magnetic Resonance in Benxi Formation, Ordos Basin, China
 
 
Font Type:
Arial Georgia Verdana
Font Size:
Aa Aa Aa
Line Spacing:
Column Width:
Background:
Article

Statistical Applications of the Ujlayan–Dixit Fractional Lomax Probability Distribution

by
Nesreen M. Al-Olaimat
1,*,
Mohammad A. Amleh
2,
Baha’ Abughazaleh
2,
Rania Saadeh
1 and
Mohamed Hafez
3,4
1
Department of Applied Science, Ajloun College, Al-Balqa Applied University, Ajloun 26816, Jordan
2
Department of Mathematics, Faculty of Science, Isra University, Amman 11266, Jordan
3
Faculty of Engineering FEQS, INTI-IU University, Nilai 71800, Malaysia
4
Faculty of Management, Shinawatra University, Pathum Thani 12160, Thailand
*
Author to whom correspondence should be addressed.
Fractal Fract. 2026, 10(3), 155; https://doi.org/10.3390/fractalfract10030155
Submission received: 8 January 2026 / Revised: 9 February 2026 / Accepted: 18 February 2026 / Published: 27 February 2026
(This article belongs to the Section Probability and Statistics)

Abstract

The Ujlayan–Dixit (UD) fractional calculus provides a powerful fractional extension of the Lomax distribution, offering a suitable framework for representing complex behaviors beyond classical approaches. In this paper, we adopt the UD fractional Lomax distribution and establish its statistical theory. Based on the adopted density, we derive closed-form expressions for the cumulative distribution, survival, and hazard functions, as well as the mode. Several UD fractional statistical measures of the Lomax random variable are derived, including the fractional moments, fractional information theoretic measures, including UD fractional Shannon and Tsallis entropy measures, and the probability density function of the k t h order statistic under the UD fractional framework. Finally, a real data application concerning the time to break down an insulating fluid is used to illustrate the usefulness of the proposed distribution in modeling real data applications. The fitting performance of the suggested model is compared with several extensions of the Lomax distribution. The comparative results show that the UD fractional Lomax distribution outperforms several well-known extensions of Lomax distribution. This framework provides researchers with many robust tools for advanced reliability assessment, uncertainty quantification, and risk modeling, providing insights into phenomena not captured by the classical Lomax distribution. Moreover, when the fractional parameter q 1 , the proposed approach converges to the classical Lomax results, bridging fractional and classical perspectives.

1. Introduction

The Lomax distribution (LD) is a heavy-tailed probability distribution widely used in fields such as actuarial science, reliability, and income distribution. For more information about the LD and its applications, see [1,2,3].
While the LD is useful for modeling heavy tailed data, it has several limitations that led researchers to proposed extended and generalized versions to increase flexibility and provide a better fit to real-world phenomena, such as the Lomax generator and the transmuted generalized LD, among others. One key limitation is its relative inflexibility in modeling the shape of the peak and tail of the probability density function, which can restrict its ability to fit diverse real-world phenomena. Moreover, the classical LD may show limited failure rate shapes, which newer models address by allowing for more complex hazard rate patterns; see [4] for a recent overview of these efforts.
The extension of the LD through fractional calculus incorporates a fractional-order parameter that captures the memory effects and non-local characteristics, thereby providing a richer and more flexible modeling framework compared with the classical parametric generalizations; see [5]. A significant contribution in this direction is addressed in [6], where the conformable fractional LD was proposed and its basic statistical properties were established.
Following this, the UD fractional operator was introduced in [7], in which the authors studied the UD derivative as a mathematically defined operator independent of any physical interpretation. They established its main analytic properties and showed how it can be applied by solving problems showing its capacity to extend ordinary cases. Later, in [8], the theory was extended by introducing the UD derivative through a classical limit approach. In this approach, the fractional derivative is defined as a convex combination of the original function and its ordinary derivative. In this context, the fractional parameter q [ 0 , 1 ] controls the relative contribution of each component. Numerical examples were presented to compare the UD fractional with other fractional definitions.
Unlike some fractional derivatives derived from physical phenomena, the UD operator is defined in a purely mathematical manner, allowing for broad applicability and easier analytical treatment. Consequently, the purpose of applying the UD fractional derivative lies in its ability to extend classical probability distributions into fractional forms that offer greater flexibility and adaptability in modeling complex data, which opens up an additional discussion on flexible lifetime models.
The UD fractional definition is still relatively new, so the amount of research devoted to it in the existing literature remains limited. For example, new classes of continuous probability distributions were generated using the UD fractional framework in [9], including the UD fractional Lomax, Pareto, Levy, and exponential distributions, and their performance was shown to improve upon classical models in real-world applications. Similarly, several UD fractional probability distributions such as power function, gamma, arcsine, and beta distributions were derived in [10], and the practical advantage of the UD fractional beta distribution was demonstrated using real-world data, where greater flexibility and improved adaptability relative to the classical beta distribution were highlighted.
As the UD fractional extension of the LD has not been explored in the existing literature, this work proposes the UD fractional LD and derives its main probability and reliability functions. The primary contribution of this paper is characterized by the development of a more flexible and comprehensive probabilistic framework that can model complex behaviors that the classical LD cannot model.
Although the UD fractional Lomax probability density function was initially introduced in [9], the literature has not provided a complete statistical analysis of this model. The major contributions arise from the systematic derivation of its statistical, reliability, and information theoretic properties, including fractional moments, entropy measures, and order statistics, which have not been previously reported. Furthermore, a comprehensive real-data application is conducted along with a comparison with several Lomax-type generalizations, highlighting the practical relevance and superior flexibility of the proposed model.
The remainder of this paper is organized as follows. Section 2 presents the development of the probability and reliability functions of the UD fractional LD. Section 3 establishes its principal statistical measures, including of the UD fractional LD, the mode and the expectation. In Section 4, the UD fractional Shannon and Tsallis entropy measures are investigated. Next, the UD fractional-order statistics are discussed in Section 5. The practical performance of the proposed distribution is examined in Section 6 using real data. Section 7 concludes the paper and briefly discusses possible directions for future research.

2. Probability and Reliability Functions of the UD Fractional Lomax Distribution

This section derives the main probability functions and the reliability functions of the UD fractional LD, UD q-LD, which are the basis for statistical modeling and reliability analysis.

2.1. The Probability Density Function Under the UD Fractional Framework

Let Y be a random variable such that it follows the classical LD, with the probability density function (PDF) and cumulative distribution function (CDF) given by
f ( y ; λ , β ) = λ β ( 1 + y β ) ( λ + 1 ) , y 0 ,
and
F ( y ) = 1 ( 1 + y β ) λ , y 0 .
Differentiating (1) yields
f ( y ) = λ + 1 β + y f ( y ) .
Accordingly, the pdf solves the linear ODE:
f ( y ) + λ + 1 β + y f ( y ) = 0 .
Since the UD fractional derivative of order q for a differentiable function g is defined as (see [8])
D q g ( y ) = ( 1 q ) g ( y ) + q g ( y ) ,
the classical derivative in (3) is replaced by the UD derivative in (4), leading to the UD fractional differential equation:
f ( y ) + λ + 1 q ( β + y ) + 1 q q f ( y ) = 0 ,
Equation (5) is a first-order linear ODE with an integrating factor given by
ϕ ( y ) = ( β + y ) λ + 1 q e 1 q q y .
Solving the ODE yields the unnormalized UD fractional Lomax density as follows:
f q ( y ) = C ( β + y ) λ + 1 q e 1 q q y ,
where C is the normalizing constant. To determine C, we impose 0 f q ( y ) d y = 1 . After the substitution ν = β + y , the integral can be written as
β C ν λ + 1 q e 1 q q ν e 1 q q β d ν = 1 .
Evaluating Equation (7) in terms of the upper incomplete gamma function, Γ ( s , ν ) = ν t s 1 e t d t , yields the normalizing constant and leads to the closed form of UDF Lomax PDF (UDF-PDF) as follows:
f q ( y ) = 1 q q 1 λ + 1 q Γ ( 1 λ + 1 q , 1 q q β ) y + β λ + 1 q e 1 q q ( y + β ) , y 0 , λ , β > 0 , 0 < q < 1 .
Remark 1.
The normalizing constant in (8) involves the upper incomplete Gamma function Γ ( 1 λ + 1 q , 1 q q β ) . For 0 < q < 1 and β > 0 , the second argument of the Gamma function is strictly positive; in addition, the first argument may take any real value and therefore no additional restriction on the parameters of the UDF q-LD is required. For more details about the incomplete gamma function, see [11].
Proposition 1.
As the fractional parameter q 1 , the UDF-PDF reduces to the classical LD:
lim q 1 f q ( y ) = λ β ( 1 + y β ) ( λ + 1 ) = f ( y ; λ , β )
Proof. 
We can equivalently write
f q ( y ) = C ( y + β ) λ + 1 q e 1 q q y ,
where C is the normalizing constant ensuring 0 f q ( x ) d x = 1 . Thus,
f q ( y ) = ( y + β ) λ + 1 q e 1 q q y 0 ( y + β ) λ + 1 q e 1 q q y d y ,
taking the limit as q 1 gives the following:
lim q 1 f q ( y ) = ( y + β ) ( λ + 1 ) 0 ( y + β ) ( λ + 1 ) d y ,
and, consequently,
lim q 1 f q ( y ) = λ β ( 1 + y β ) ( λ + 1 ) = f ( y ; λ , β ) .
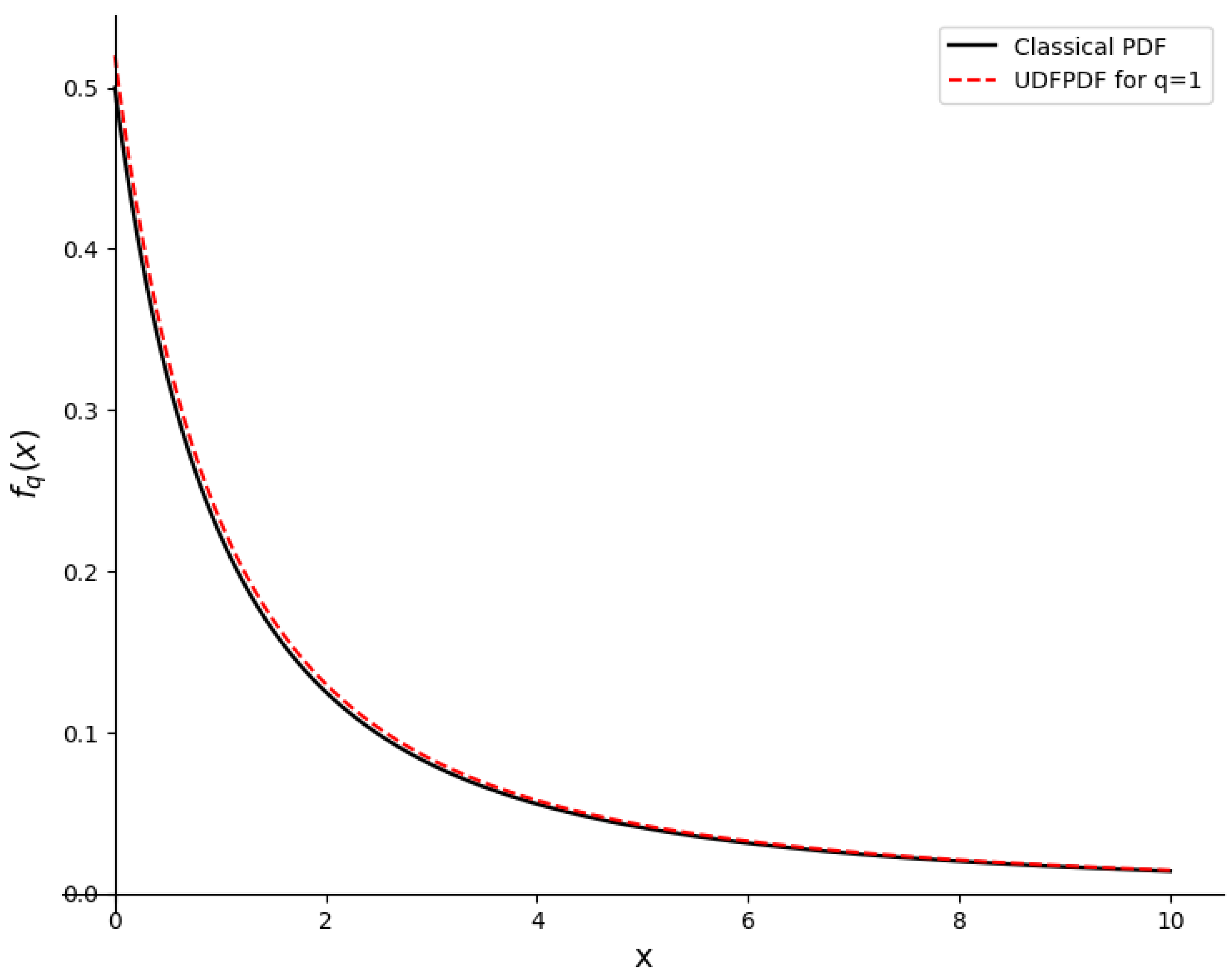
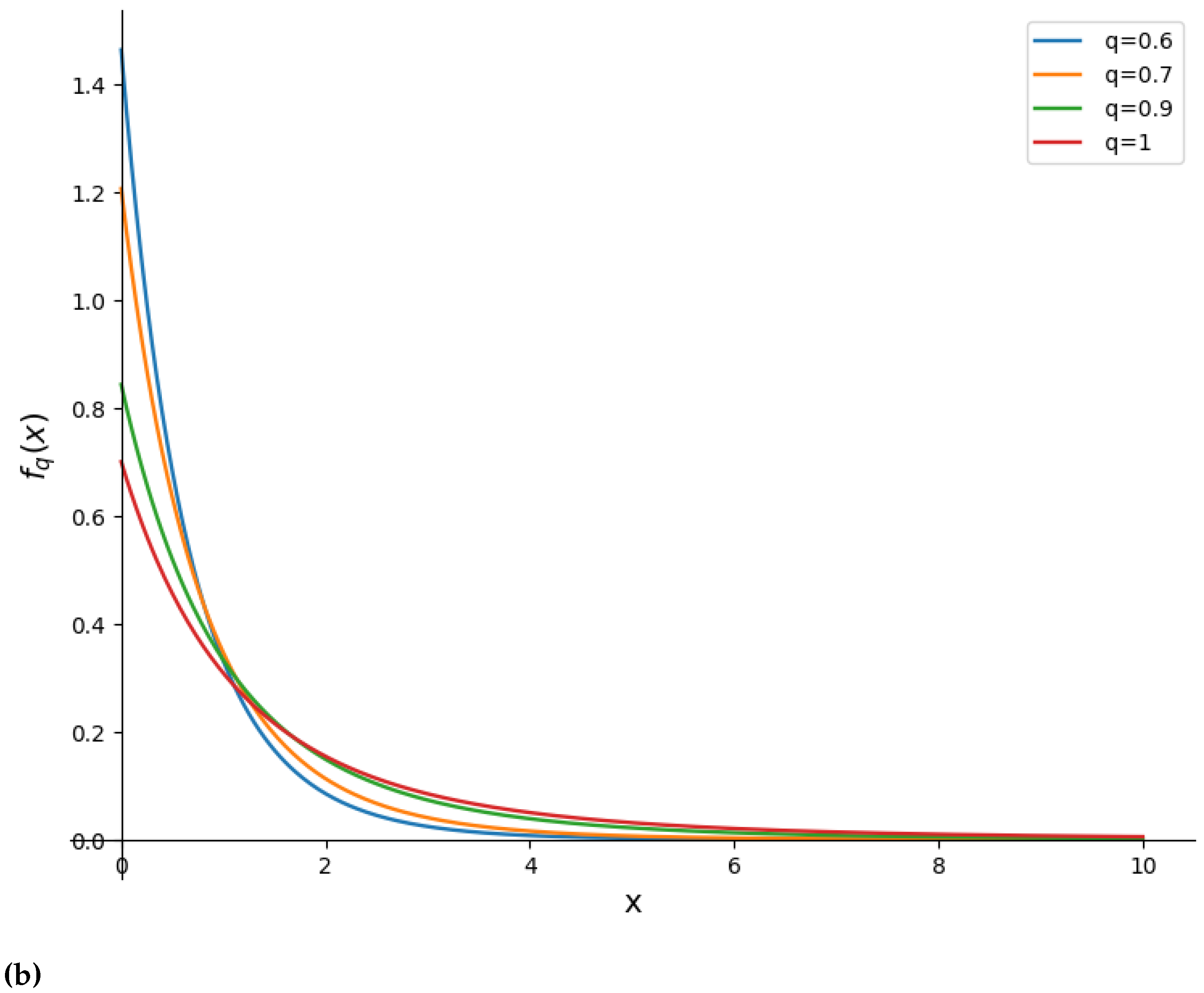
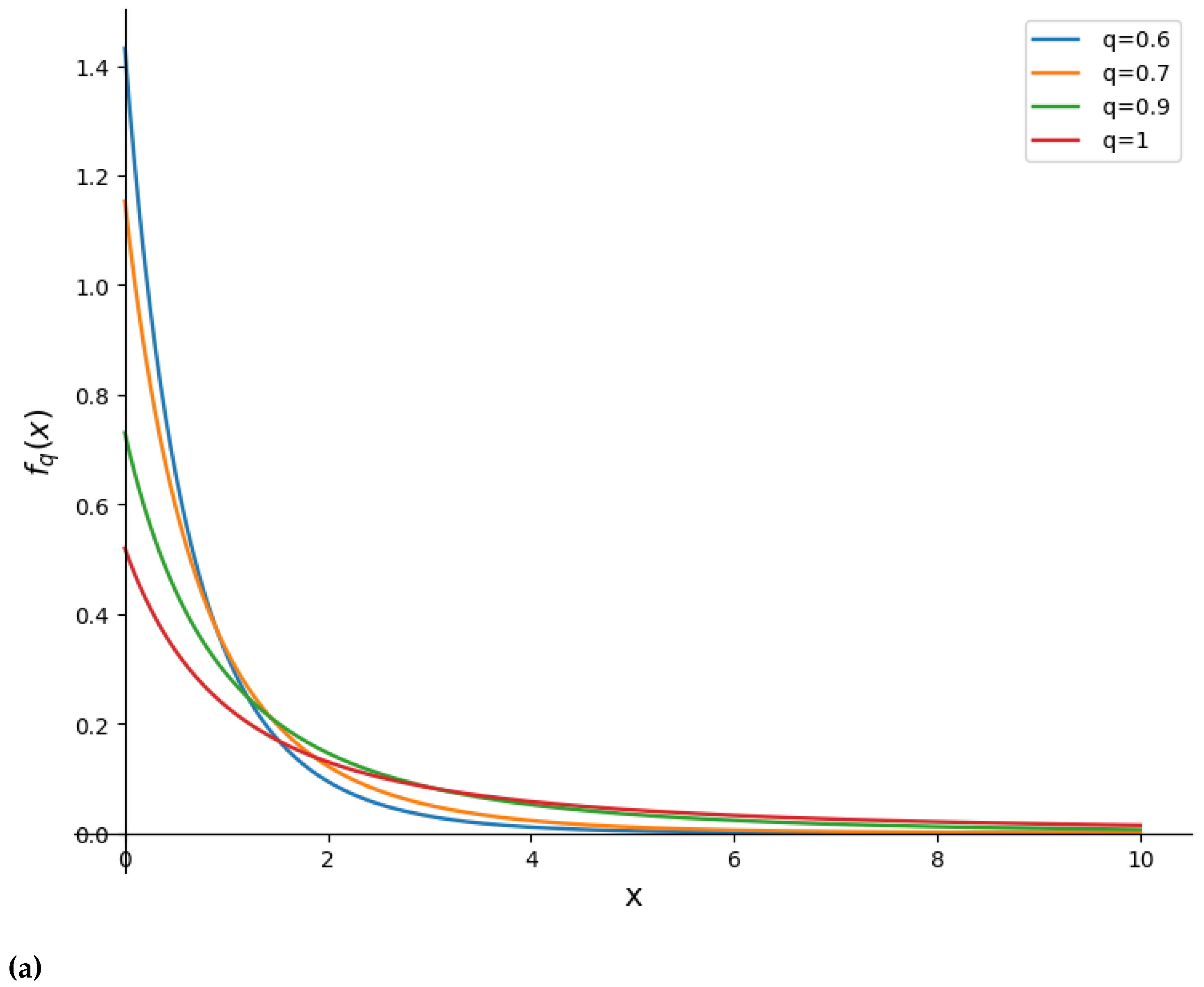
Figure 1 illustrates this result by comparing the classical PDF of the LD and the UDF-PDF of the q-LD at q = 1 with arbitrary chosen λ = 2 and β = 1 . Moreover, Figure 2 presents the UDF-PDF of q-LD for multiple values of q under two arbitrary chosen parameter settings, ( λ = 2 , β = 1 ) and ( λ = 3.5 , β = 5 ), clearly illustrating the combined influence of the shape, scale, and fractional parameters on the distribution’s behavior. When q 1 , the UDF-PDF for the q-LD converges to the classical PDF of the LD. In addition, increasing λ leads to an increase in the decay rate, while increasing β increases the spread of the distribution.

2.2. The Influence of the Fractional Parameter on the Behavior of the LD

The UD fractional modifies the classical Lomax model by forming a convex combination of the density function and its first derivative through a single fractional parameter q. In this setting, a particular form of memory arises, since the current shape of the distribution depends not only on its present value but also on its local rate of change. From a reliability analysis, this feature affects the behavior of the distribution tail and the corresponding hazard rate and should be interpreted as a structural effect rather than one based on accumulated past information [7].
The fractional parameter q ( 0 , 1 ) controls the strength of this structural effect. When q is small, the UD fractional LD is mainly influenced by the density component in the UD operator, resulting in lighter tails and a faster tail decay compared with the classical LD. In practical applications, cases are reflected in which the probability mass is accumulated more rapidly, thereby reducing the likelihood of extreme values. As q increases, a stronger influence from the derivative term is exerted, resulting in a progressive transformation of the distribution’s shape. For Intermediate values of q, a continuous transition between the fractional and the classical behaviors is achieved.
In contrast to classical fractional operators, such as Caputo, Riemann–Liouville, and distributed-order derivatives, in which hereditary memory is encoded via convolution kernels spanning the whole past, so the derivative at time t depends on all previous values, f ( τ ) , τ < t . Power-law or multi-scale memory effects are thereby generated and are widely employed in the modeling viscoelasticity, anomalous diffusion, tumor growth, and various other systems. Conformable derivatives provide a local formulation that eliminates the need for history integrals. Although analytical simplicity is achieved through this approach, only the rate of change is primarily affected, while the structure of the underlying model is not directly modified [12].
In contrast, time locality is preserved by the UD operator, as only f ( t ) and f ( t ) are utilized, and no integral over history values are involved. Therefore, memory is described as structural rather than temporal, since the baseline distribution continues to shape the model through a differential relationship between the density and its derivative. A transitions from the classical model, at q = 0 , to a derivative controlled deformation, at q = 1 , is achieved through the single parameter q. This is essentially different from the integral-kernel memory approach [8].
Finally, when q 1 , the UD fractional LD coincides with the classical Lomax model. In this case, the fractional effect disappears and the standard model is fully recovered in terms of its tail behavior and reliability characteristics. At the same time, for values of q < 1 , the model incorporates structural memory-like behavior through a single, clearly interpretable parameter, providing additional flexibility for modeling lifetime and reliability data.

2.3. The Cumulative Distribution Function Under the UD Fractional Framework

The UD fractional cumulative distribution function (UDF-CDF) generalizes the classical Lomax CDF by incorporating the fractional parameter q, and it is defined as
F q ( y ) = 1 Γ 1 λ + 1 q , 1 q q ( y + β ) Γ 1 λ + 1 q , 1 q q β , y 0 , λ , β > 0 , 0 < q < 1 ,
where Γ ( a , b ) is the upper incomplete gamma function. This is justified as described below. Starting from the definition of the CDF, we have
F q ( y ) = P q ( Y y ) = 0 y f q ( t ) d t = 1 q q 1 λ + 1 q Γ ( 1 λ + 1 q , 1 q q β ) 0 y t + β λ + 1 q e 1 q q ( t + β ) d t .
Applying the substitution u = 1 q q ( t + β ) transforms the integral into
F q ( y ) = 1 Γ ( 1 λ + 1 q , 1 q q β ) 1 q q β 1 q q ( y + β ) u λ + 1 q e u d u
This integral can be expressed using the upper incomplete gamma function, yielding the closed-form expression of the UDF-CDF as given in Equation (9).
It is worth noting that, as q 1 in Equation (9), then the UDF-CDF reduces to the classical CDF of the LD:
lim q 1 F q ( y ) = 1 ( 1 + y β ) λ = F ( y ; λ , β ) .
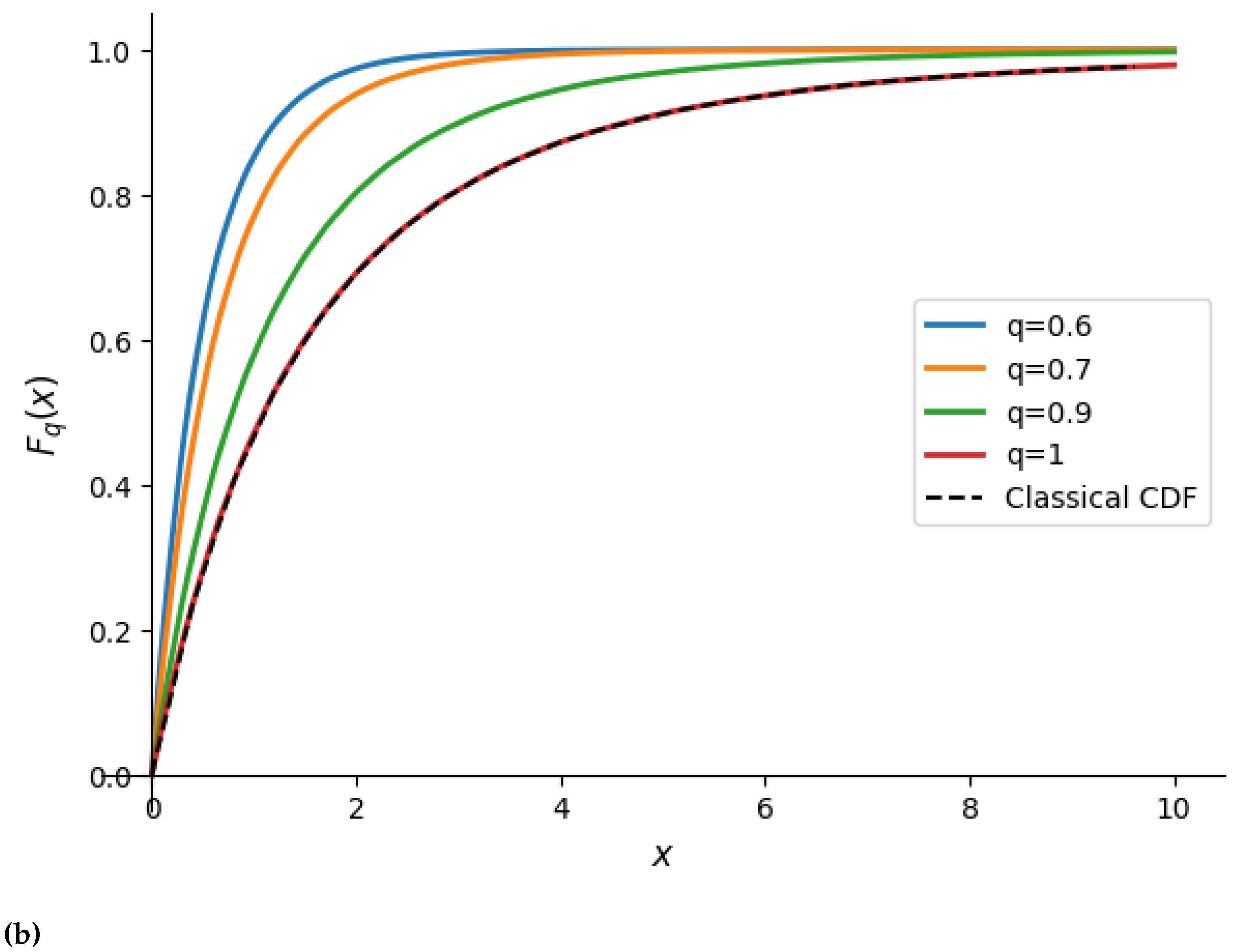
Figure 3 presents a comparison between the UDF-CDF and the classical LD at q = 1 , with λ = 2 and β = 1 . The UDF-CDF reduces to the classical CDF, validating that the proposed UDF-CDF is an extension of the classical LD.
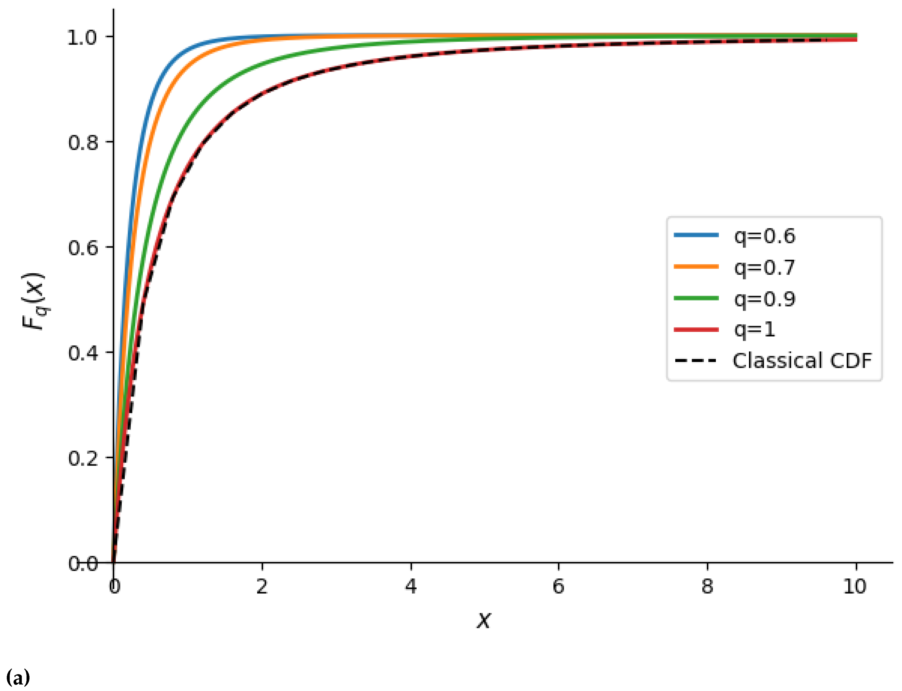
Figure 4 is used to display the UDF-CDF curves of the q -LD alongside the classical LD, through which the effects of the parameters q, λ , and β are illustrated and showing how they jointly control the shape and spread of the cumulative probability. As expected, all the curves are monotonically increasing, starting from zero and approaching one. Notably, for q < 1 , the UDF-CDF curves lie above the classical CDF, indicating that the probability mass accumulates more quickly compared to the classical case.

2.4. The Survival Function Under the UD Fractional Framework

The survival function describes the probability of an event continuing without failure up to a certain value. In the fractional framework, the parameter q modifies this reliability behavior.
For the U D q - L D , the UD fractional survival distribution function (UDF-SF) of the random variable Y is obtained from its UDF-CDF in (9) as follows:
S q ( y ) = 1 F q ( y ) = Γ 1 λ + 1 q , 1 q q ( y + β ) Γ 1 λ + 1 q , 1 q q β , y 0 , λ , β > 0 , 0 < q < 1 .
Taking the limit in (10) yields
lim q 1 S q ( y ) = ( 1 + y β ) λ = S ( y ) .
Figure 5 illustrates how the UDF-SF changes for different values of q, gradually converging to the classical Lomax survival ( S ( y ) ) as q increases. Figure 5b further confirms this convergence. It can be seen that all the UDF-SF curves start at 1 when y = 0 , indicating the certainty of survival at the initial time, and are observed to decrease monotonically, converging to zero as y . Also, it is clearly shown that the rate of decay is controlled by the fractional parameter, such that the UDF-SF curves lie below the S ( y ) curve when q < 1 , indicating the probability mass accumulates more quickly in the corresponding UDF-CDF, which results in lighter tails and a reduced likelihood of extreme values.

2.5. The Hazard Function Under the UD Fractional Framework

This section introduces the UD fractional hazard function (UDF-HF) and highlights how the fractional parameter q adds an additional degree of flexibility to the model.
The UDF-HF of the random variable Y is obtained by
h q ( y ) = f q ( y ) S q ( y ) = 1 q q 1 λ + 1 q Γ ( 1 λ + 1 q , 1 q q ( y + β ) ) y + β λ + 1 q e 1 q q ( y + β ) .
One can observe that
lim q 1 h q ( y ) = λ β + y = h ( y ; λ , β ) .
Figure 6 presents a comparative analysis of the UDF-HF for various q values alongside the classical Lomax hazard function under two different parameter settings. We can see that the hazard rate functions remain strictly decreasing in y. In the fractional cases with q < 1 , the curves decrease more slowly. Additionally, as q approaches to 1 , the UDF-HF curves are observed to approach the classical Lomax hazard, showing how the UD-fractional model tends to the classical LD.

3. The Statistical Measures of the UD Fractional Lomax Distribution

Key statistical measures of the UD q-LD, including its fractional mode, the r t h -order expected values, and the corresponding variance, are presented in this section.

3.1. The UD Fractional Mode for the Fractional Lomax Distribution

Determining the mode is considered crucial for identifying the concentration of probability in a distribution. Although the classical LD is known to attain its mode at zero, it must be investigated whether this property is preserved in the UD fractional setting.
The logarithm of the density f q ( y ) given in Equation (8) can be written as
log ( f q ( y ) ) = h λ + 1 q log ( β + y ) 1 q q y ,
where h = log e 1 q q β 1 q q 1 λ + 1 q Γ ( 1 λ + 1 q , 1 q q β ) .
Differentiate the log ( f q ( y ) ) with respect to y:
d d y log ( f q ( y ) ) = λ + 1 q ( y + β ) 1 q q < 0 ,
which is strictly negative for all y 0 . Thus, log ( f q ( y ) ) and, consequently, f q ( y ) are strictly decreasing on [ 0 , ) . Hence, the density reaches its maximum at the boundary, and therefore the mode is y = 0 .

3.2. The UD Fractional Expectation

In this subsection, the classical expectation is extended to the UD fractional framework. In the following, we derive the UD fractional moment of order r for the UD q-LD, capturing the memory effect introduced by the fractional parameter q:
The r t h UD fractional moment, denoted by E q ( Y r ) , of the random variable Y with UDF-PDF f q ( y ) is defined as
E q ( Y r ) = 0 y r f q ( y ) d y = e 1 q q β 1 q q 1 λ + 1 q Γ ( 1 λ + 1 q , 1 q q β ) 0 y r β + y λ + 1 q e 1 q q y d y ,
using the substitution z = β + y and using the binomial theorem ( z β ) r = k = 0 r ( 1 ) k r k z r k β k , then the integral becomes
E q ( Y r ) = 1 q q 1 λ + 1 q Γ ( 1 λ + 1 q , 1 q q β ) k = 0 r ( 1 ) k r k β k β z r k λ + 1 q e 1 q q z d z ,
hence, using the incomplete gamma function, the r t h UD fractional moment is given by
E q ( Y r ) = k = 0 r r k ( β ) k Γ ( 1 + r k 1 + λ q , 1 q q β ) Γ ( 1 λ + 1 q , 1 q q β ) 1 q q k r .
Remark 2.
The existence of the r t h UD fractional moment E q ( Y r ) in (17) requires
0 < q < 1 , λ , β > 0 , and r < λ + 1 q 1 ,
which guarantees the convergence of the defining integral in (16). In the limiting case as q 1 , condition (18) reduces to the classical Lomax requirement λ > r , thereby ensuring consistency with the classical LD. Moreover,
lim q 1 E q ( Y r ) = β r Γ ( λ r ) Γ ( 1 + r ) Γ ( λ ) = E ( Y r ) .
Setting r = 1 in Equation (17), the UD fractional expectation E q ( Y ) is obtained as follows:
E q ( Y ) = q 1 q Γ ( 2 λ + 1 q , 1 q q β ) Γ ( 1 λ + 1 q , 1 q q β ) β .
For r = 2 , the UD fractional second moment E q ( Y 2 ) is given by
E q ( Y 2 ) = q 1 q 2 Γ ( 3 λ + 1 q , 1 q q β ) Γ ( 1 λ + 1 q , 1 q q β ) 2 β q 1 q Γ ( 2 λ + 1 q , 1 q q β ) Γ ( 1 λ + 1 q , 1 q q β ) + β 2 .
Hence, for the q-LD, the UD fractional variance of Y, denoted as V a r q ( Y ) , is expressed as
V a r q ( Y ) = E q ( Y 2 ) E q ( Y ) 2 = q 1 q 2 Γ ( 3 λ + 1 q , 1 q q β ) Γ ( 1 λ + 1 q , 1 q q β ) Γ ( 2 λ + 1 q , 1 q q β ) Γ ( 1 λ + 1 q , 1 q q β ) 2 .
Consequently, the UD fractional standard deviation of Y, denoted as σ q ( Y ) , is defined as the square root of V a r q ( Y ) , and it is given by
σ q ( Y ) = q 1 q Γ ( 3 λ + 1 q , 1 q q β ) Γ ( 1 λ + 1 q , 1 q q β ) Γ ( 2 λ + 1 q , 1 q q β ) Γ ( 1 λ + 1 q , 1 q q β ) 2
Table 1 presents the numerical values of the mean, variance, skewness, and kurtosis of the q-LD together with the corresponding classical LD for selected parameter values. For fixed ( λ , β ) , all measures increase as the fractional parameter q increases, indicating that q controls tail behavior and the variability of the distribution. As q approaches 1, consistency with classical LD is confirmed.
Regarding the selected values, the shape parameter λ is fixed at λ = 5 , as a representative value, to ensure the existence of all classical moments, since the r t h classical moment exists only when λ > r . Furthermore, the parameter combinations ( λ , β ) are chosen to represent different relative scale regimens, providing a comprehensive assessment.

4. The UD Fractional Entropy Measures

Information theoretic measures like Shannon and Tsallis entropy are commonly used to describe uncertainty in a distribution. The uncertainty is highly influenced by the tail heaviness and concentration of distributions, which are determined by model parameters.
Shannon entropy is the classical additive measure of the average uncertainty associated with the information content of a probability distribution. Its value depends mainly on shape parameters that control variability and tail behavior. Distributions with heavier tails or greater variability produce higher Shannon entropy, reflecting more uncertainty. In contrast, when the probability mass is more concentrated, Shannon entropy decreases, indicating lower uncertainty. For more details, see [13].
In addition, Tsallis entropy can be seen as a non-additive generalization of Shannon entropy, making it suitable for non-extensive systems, where factors like correlations, long-range interactions, or heavy tailed distributions make the additive property of Shannon entropy insufficient. For example, in image processing, Tsallis entropy-based thresholding has been shown to outperform Shannon entropy in segmenting image classes with non-additive information content [14]. Similarly, in inverse problems and geophysics, seismic inversion with non-Gaussian noise has employed Tsallis-based α -Gaussian likelihoods to achieve more robust parameter estimation [15]. The tunable parameter α in Tsallis entropy adjusts the weight assigned to tail events, making it well suited to distributions with strong outliers or quasi-power-law tails.

4.1. Shannon Entropy Under the UD Fractional Framework

Let Y be a random variable that follows the UD q-LD; then for 0 < q < 1 , λ > 0 , and β > 0 , the UD fractional Shannon entropy H q ( Y ) is given by
H q ( Y ) = E log ( f q ( Y ) ) .
This expression in (22) is evaluated by expanding the logarithm of the UDF-PDF and computing the resulting integrals term by term. Accordingly, taking the logarithm of f q ( y ) in Equation (8) and rearranging terms, we obtain
log ( f q ( y ) ) = 1 q q β + 1 λ + 1 q log 1 q q log Γ ( 1 λ + 1 q , 1 q q β ) λ + 1 q log β + y 1 q q y ,
Consequently,
H q ( Y ) = 0 f q ( y ) log ( f q ( y ) ) d y = 1 q q β 1 λ + 1 q log 1 q q + log Γ ( 1 λ + 1 q , 1 q q β ) 0 f q ( y ) d y       + 1 q q 0 y f q ( y ) d y + λ + 1 q 0 log β + y f q ( y ) d y ,
each term in Equation (23) corresponds to an expectation with respect to the UDF-PDF and can be evaluated using known integral identities, as follows:
                    0 f q ( y ) d y = 1                     0 y f q ( y ) d y = E q ( Y ) = q 1 q Γ ( 2 λ + 1 q , 1 q q β ) Γ ( 1 λ + 1 q , 1 q q β ) β , 0 log β + y f q ( y ) d y = E q log β + Y = s log Γ ( s , 1 q q β ) log 1 q q ,
where s = 1 λ + 1 q and a u s 1 log u e u d u = s Γ ( s , a ) .
Thus, substituting the simplified integrals into the expression (23) gives
H q ( Y ) = log q 1 q Γ ( s , 1 q q β ) + Γ ( 1 + s , 1 q q β ) Γ ( s , 1 q q β ) + λ + 1 q s log Γ ( s , 1 q q β ) ,
where s = 1 λ + 1 q .
It can be observed that H q ( Y ) converges to the classical Shannon entropy of the LD as q 1 . Formally,
lim q 1 H q ( Y ) = λ + 1 λ log λ β = H ( Y ) .

4.2. Tsallis Entropy Under the UD Fractional Framework

Tsallis entropy is widely used when Shannon entropy fails to describe systems with correlations, memory, or heavy tails, and this supported across physics, reliability, and public finance. For the continuous random variable Y, the UD fractional Tsallis entropy of the q -LD, denoted by T α , q ( Y ) , is defined as
T α , q ( Y ) = 1 α 1 1 0 f q ( y ) α d y , α > 0 , α 1 .
First, the integral 0 f q ( y ) α d y is evaluated using (8) and can be expressed as
0 f q ( y ) α d y = 0 e 1 q q β 1 q q 1 λ + 1 q Γ ( 1 λ + 1 q , 1 q q β ) β + y λ + 1 q e 1 q q y α d y = e 1 q q β 1 q q 1 λ + 1 q Γ ( 1 λ + 1 q , 1 q q β ) α 0 β + y α ( λ + 1 q ) e α ( 1 q q ) y d y ,
using a change of variables and the upper incomplete gamma function, we obtain
0 f q ( y ) α d y = 1 q q α 1 α α ( 1 + λ q ) 1 Γ ( 1 λ + 1 q , 1 q q β ) α Γ ( 1 α [ λ + 1 q ] , α [ 1 q q ] β ) .
Hence, after simplification, the T α , q ( Y ) is given by
T α , q ( Y ) = 1 α 1 1 1 q q α 1 α α ( 1 + λ q ) 1 Γ ( 1 λ + 1 q , 1 q q β ) α Γ ( 1 α [ λ + 1 q ] , α [ 1 q q ] β ) ,
Remark 3.
The T α , q ( Y ) exists for 0 < q < 1 , λ > 0 , β > 0 , and α > 0 , provided that
α λ + 1 q > 1 .
In the limiting case of q 1 , this condition reduces to the classical Lomax constraint, which is α λ + 1 > 1 , ensuring consistency with the classical Tsallis entropy of the LD.
It is worth noting that, as α 1 , the T α , q ( Y ) converges to H q ( Y ) :
lim α 1 T α , q ( Y ) = lim α 1 1 α 1 1 1 q q α 1 α α ( 1 + λ q ) 1 Γ ( 1 λ + 1 q , 1 q q β ) α Γ ( 1 α [ λ + 1 q ] , α [ 1 q q ] β ) = lim α 1 1 g ( α ) 1 α = g ( 1 ) = H q ( Y ) .
Moreover, by examining the influence of the fractional parameter, it can be seen that, as q 1 , the T α , q ( Y ) smoothly converges to its classical Tsallis entropy of the LD,
lim q 1 T α , q ( Y ) = 1 α 1 1 λ α β 1 α α ( λ + 1 ) 1 = T α ( Y ) ,
provided that α ( λ + 1 ) > 1 .

5. The UD Fractional-Order Statistics

This section explores the order statistics of the UD q-LD, deriving an explicit expression for the UDF-PDF of the k t h -order statistic, X k , providing a powerful tool for detailed probabilistic analysis.
Definition 1.
Consider a random sample Y 1 , Y 2 , …, Y n of size n drawn from the UD fractional distribution with UDF-PDF, f q ( y ) , and its UDF-CDF, F q ( y ) . Let X 1 , X 2 , …, X n represent the corresponding order statistics of this sample. The PDF of the k t h -order statistic X k , 1 k n , is given by
g k , q ( x ) = n ! ( k 1 ) ! ( n k ) ! [ F q ( x ) ] k 1 [ 1 F q ( x ) ] n k f q ( x ) , < x < ,
and upon applying the binomial expansion to [ 1 F q ] n k , we immediately obtain the equivalent series representation:
g k , q ( x ) = n ! ( k 1 ) ! ( n k ) ! f q ( x ) j = 0 n k n k j ( 1 ) j [ F q ( x ) ] k + j 1 , < x < .
If a random sample Y 1 , Y 2 , …, Y n of size n is drawn from the UD q-LD, then by substituting Equations (8) and (9) into Equation (29), the corresponding UDF-PDF of the k t h -order statistic X k is given by
g k , q ( x ) = n ! ( k 1 ) ! ( n k ) ! 1 q q 1 λ + 1 q x + β λ + 1 q e 1 q q ( x + β ) j = 0 n k i = 0 k + j 1 n k j k + j 1 i ( 1 ) i + j Γ 1 λ + 1 q , 1 q q ( x + β ) i Γ 1 λ + 1 q , 1 q q β i + 1 , x 0 .
Consequentially, the UDF-PDF for the special cases corresponding to the minimum-order statistics, X 1 , and the maximum-order statistics, X n , are given by
g 1 , q ( x ) = n 1 q q 1 λ + 1 q x + β λ + 1 q e 1 q q ( x + β ) Γ 1 λ + 1 q , 1 q q ( x + β ) n 1 Γ 1 λ + 1 q , 1 q q β n , x 0 ,
and
g n , q ( x ) = n 1 q q 1 λ + 1 q Γ 1 λ + 1 q , 1 q q β x + β λ + 1 q e 1 q q ( x + β ) 1 Γ 1 λ + 1 q , 1 q q ( x + β ) Γ 1 λ + 1 q , 1 q q β n 1 , x 0 .
Notably, as q 1 , the UD fractional-order statistics PDF, g k , q ( x ) , converges to the classical k t h -order statistics PDF of the LD:
lim q 1 g k , q ( x ) = g k ( x ) .
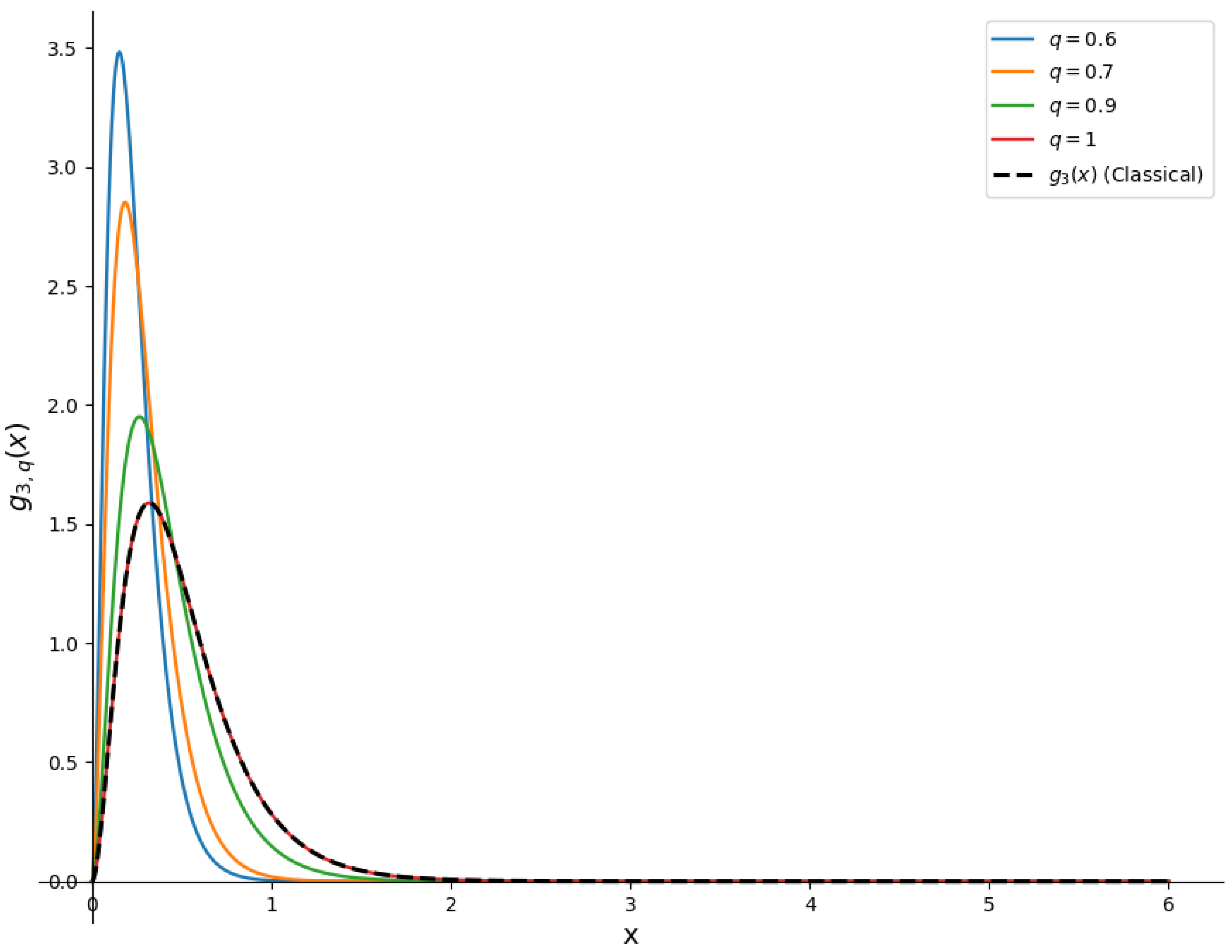
Figure 7 shows that as the fractional parameter q decreases, the density g 3 , q ( x ) becomes more skewed and develops a heavier right tail, indicating greater variability in the third-order statistic, while as q 1 , the curve converges to the classical third-Lomax-order statistic density, confirming the coherence of the fractional extension.
Theorem 1.
The joint UDF-PDF of the m t h - and t t h -, 1 m < t n , order statistics from the UD q-LD is given by
g m , t , q ( x , y ) = n ! ( m 1 ) ! ( t m 1 ) ! ( n t ) ! 1 q q 2 2 λ + 1 q ( x + β ) λ + 1 q ( y + β ) λ + 1 q ×   e 1 q q ( x + y + 2 β ) j = 0 t m 1 i = 0 m 1 t m 1 j m 1 i ( 1 ) t m 1 + i + j ×   Γ 1 λ + 1 q , 1 q q ( x + β ) i + j Γ 1 λ + 1 q , 1 q q ( y + β ) n m 1 j Γ 1 λ + 1 q , 1 q q β n m + i + 1 ; 0 < x < y .
Proof. 
For 1 m < t n , the general joint UDF-PDF of m t h - and t t h -order statistics is given by
g m , t , q ( x , y ) = n ! ( m 1 ) ! ( t m 1 ) ! ( n t ) ! F q ( x ) m 1 [ F q ( y ) F q ( x ) ] t m 1 ×   [ 1 F q ( y ) ] n t f q ( x ) f q ( y ) ; 0 < x < y .
By applying the binomial expansion to the two terms [ F q ( y ) F q ( x ) ] t m 1 and [ 1 F q ( y ) ] n t in Equation (34), we obtain the following representation:
g m , t , q ( x , y ) = n ! ( m 1 ) ! ( t m 1 ) ! ( n t ) ! f q ( x ) f q ( y ) j = 0 t m 1 i = 0 n t t m 1 j n t i ( 1 ) i + j ×   [ F q ( x ) ] m + j 1 [ F q ( y ) ] t m j + i 1 ; 0 < x < y .
Substituting the UDF-PDF (8) and the UDF-CDF (9) into (35) and performing some algebraic simplifications yields the desired expression. □
Remark 4.
Since lim q 1 F q ( x ) = F ( x ) and lim q 1 f q ( x ) = f ( x ) for all x 0 , it follows from (34) that, for each 0 < x < y ,
lim q 1 g m , t , q ( x , y ) = g m , t ( x , y ) .
where g m , t ( x , y ) is the joint PDF of the m t h - and t t h -order statistics from the classical LD.

6. Real Application

In this section, the flexibility of the q-LD is assessed using real-world data, and its goodness of fit is compared against eight Lomax-generated families: Power Lomax (PLD), Weibull Lomax (WLD), Gompertz Lomax (GO-LD), Beta Lomax (BLD), Kumaraswamy Lomax (KLD), McDonald Lomax (MC-LD), Gamma Lomax (GLD), and Exponentiated Lomax (EX-LD). For further details of these distributions and the corresponding formulas, the reader is referred to [16].
The model selection is performed using several statistical criteria to identify the distribution that provides the best fit. These include the negative twice log-likelihood statistics ( 2 ln L ) , the Akaike information criterion (AIC), the Bayesian information criterion (BIC), the value of the Kolmogorov–Smirnov (KS) statistic, and its corresponding p-value; see [17,18]. The formulas used to compute these measures are given as follows:
  • A I C = 2 ln L + 2 p ,
  • B I C = 2 ln L + p ln ( n ) ,
  • K S = sup x | F n ( x ) F 0 ( x ) | ,
where L is the likelihood function, p is the number of parameters, n is the sample size, F n ( x ) is the empirical distribution function, and F 0 ( x ) is the theoretical CDF of the fitted model.
The following dataset represents the breakdown times (in hours) of an insulating fluid placed between electrodes subjected to 34 kV of voltage:
0.190.780.961.312.783.164.15
4.674.856.57.358.018.2712.06
31.7532.5233.9136.7172.89
This dataset, originally reported in [19], contains time to failure observations of 19 test devices under controlled electrical stress conditions. It is commonly used in reliability analysis and serves as a benchmark example for studying the breakdown behavior of insulating materials under electrical stress.
For clarity, the parameters of all competing models were estimated using the maximum likelihood method, where the log-likelihood function is given by
( q , λ , β ) = log f q ( x i ; λ , β ) ,
where f q ( x i ; λ , β ) is the UDFPDF in Equation (8). Since (8) involves the upper incomplete gamma function, closed-form solutions are unavailable. Therefore, the maximization of the log-likelihood was carried out numerically using a constrained quasi-Newton L-BFGS-B optimization algorithm (see [20]). The numerical optimization was initialized at λ = 2 , β = 3 , and α = 0.6 . Convergence was assessed using the standard stopping criteria of the algorithm, based on the norm of the projected gradient and the stability of the log-likelihood value across successive iterations. All computations were performed using the R version 4.2.2 (2022).
The goodness of fit criteria are reported in Table 2. Across all criteria, the q-LD provides the best overall fit: it attains the smallest ( 2 ln L ) , AIC, and BIC, and the lowest KS statistic with the largest p-value, outperforming all Lomax-generated competitors. The fitted F q ( x ) aligns closely with the empirical CDF of the breakdown-time data over the full support, especially in the upper tail, indicating an excellent fit; see Figure 8. Consequently, q-LD is the most adequate model for this dataset and is recommended as a default baseline for similar reliability data.
It is worth noting that several of the Lomax-generated models considered in this comparison, such as the BLD, MC-LD, and GLD, achieve additional flexibility by introducing more parameters. Although this may lead to an improvement in the likelihood, it also increases model complexity and may result in overfitting, especially for small datasets. Information criteria such as the AIC and BIC are designed to account for this trade-off by penalizing models with a larger number of parameters. As shown in Table 2, the proposed UD q-LD attains the smallest AIC and BIC values among all competing models, despite its simpler structure. This shows that the better fit is not attributed to the inclusion of additional parameters, but instead to the effective influence of the fractional parameter q, which enhances flexibility while maintaining model simplicity.
As seen in Table 3, the UD q-LD achieves greater flexibility through the fractional parameter q, which simultaneously controls tail behavior and introduces non-local memory effects. These features offer clear advantages over the classical LD extensions when modeling heavy-tailed behavior with complex reliability patterns and long memory dependence.

7. Conclusions

This study developed the statistical theory of the UD fractional extension of the LD. We adopted the UDF-PDF of the LD from [9] as our starting point and, using it, derived the UDF-CDF, UDF-SF, and UDF-HF of the q-LD. Several fractional statistical measures were established, including the mode, UD fractional r t h moments, variance and standard deviation, and the UD fractional entropy measures, namely Shannon and Tsallis entropy measures. Finally, the UD fractional PDF of the k t h -order statistic is also obtained.
The results indicate that the UD fractional parameter q offers an additional robust and flexible tool, allowing the distribution to capture a wider range of tail behaviors than the classical LD. Furthermore, when q 1 , all the UD fractional functions and the statistical measures converge to their classical forms, creating a bridge between classical and UD fractional probabilistic models. In addition, the graphical representations clearly confirm how the fractional parameter, together with the shape and scale parameters, controls the behavior of the distribution. Along with this, the data analysis shows that the q-LD provides a better fit than all Lomax-generated families based on goodness-of-fit test criteria.
The UD fractional framework serves as a natural bridge between classical probability distributions and their fractional extensions. The fractional parameter q facilitates a smooth transition from classical LD to its fractional form, demonstrating how fractional calculus expands traditional reliability and risk modeling by introducing memory and scaling effects.
For future work, several directions may be pursued such as the investigation of parameter estimation methods and the extension of the UD fractional framework to the multivariate LD.

Author Contributions

Conceptualization, N.M.A.-O., M.A.A., B.A., R.S. and M.H.; Methodology, N.M.A.-O., M.A.A., B.A., R.S. and M.H.; Software, N.M.A.-O., M.A.A., B.A., R.S. and M.H.; Validation, N.M.A.-O., M.A.A., B.A., R.S. and M.H.; Data curation, N.M.A.-O., M.A.A., B.A., R.S. and M.H.; Writing-original draft preparation, N.M.A.-O., M.A.A., B.A., R.S. and M.H.; Writing-review and editing, N.M.A.-O., M.A.A., B.A., R.S. and M.H.; Supervision, N.M.A.-O., M.A.A., B.A., R.S. and M.H. All authors have read and agreed to the published version of the manuscript.

Funding

This research received no external funding.

Data Availability Statement

The original contributions presented in this study are included in the article. Further inquiries can be directed to the corresponding author.

Conflicts of Interest

The authors declare no conflicts of interest.

References

  1. Lomax, K.S. Business failures: Another example of the analysis of failure data. J. Am. Stat. Assoc. 1954, 49, 847–852. [Google Scholar] [CrossRef]
  2. Kilany, N.M. Weighted lomax distribution. SpringerPlus 2016, 5, 1862. [Google Scholar] [CrossRef] [PubMed]
  3. Fitrilia, A.; Fithriani, I.; Nurrohmah, S. Parameter estimation for the Lomax distribution using the E-Bayesian method. J. Phys. Conf. Ser. 2018, 1108, 012081. [Google Scholar] [CrossRef]
  4. Tolba, A.H.; Muse, A.H.; Fayomi, A.; Baaqeel, H.M.; Almetwally, E.M. The Gull Alpha Power Lomax distributions: Properties, simulation, and applications to modeling COVID-19 mortality rates. PLoS ONE 2023, 18, 0283308. [Google Scholar] [CrossRef] [PubMed]
  5. Miller, K.S.; Ross, B. An Introduction to the Fractional Calculus and Fractional Differential Equations; Wiley-Interscience: Hoboken, NJ, USA, 1993. [Google Scholar]
  6. Amleh, M.A.; Abughazaleh, B.; Al-Natoor, A. Conformable fractional Lomax probability distribution. J. Math. Comput. Sci. 2022, 12, 130. [Google Scholar] [CrossRef]
  7. Dixit, A.; Ujlayan, A.; Ahuja, P. On the properties of The UD differential and integral operator. Math. Eng. Sci. Aerosp. 2020, 11, 291–300. Available online: https://www.researchgate.net/publication/344726000 (accessed on 17 February 2026).
  8. Dixit, A.; Ujlayan, A. The theory of UD derivative and its applications. Turk. World Math. Soc. J. Appl. Eng. Math. 2021, 11, 350–358. [Google Scholar]
  9. Alhribat, I.; Samuh, M.H. Generating statistical distributions using fractional differential equations. Jordan J. Math. Stat. 2023, 16, 379–396. [Google Scholar] [CrossRef]
  10. Jamal, A.; Alhribat, I.; Samuh, M.H. Generating novel probability distributions: A UD fractional derivative approach. J. Stat. Res. 2025, 58, 279–298. [Google Scholar] [CrossRef]
  11. From, S.G.; Ratnasingam, S. New upper and lower bounds for the upper incomplete gamma function. Res. Appl. Math. 2025, 25, 100552. [Google Scholar] [CrossRef]
  12. Hafez, M.; Alshowaikh, F.; Voon, B.W.N.; Alkhazaleh, S.; Al-Faiz, H. Review on recent advances in fractional differentiation and its applications. Progr. Fract. Differ. Appl. 2025, 11, 245–261. Available online: https://www.naturalspublishing.com/download.asp?ArtcID=30603 (accessed on 17 February 2026).
  13. Bodnarchuk, I.; Mishura, Y.; Ralchenko, K. Properties of the Shannon, Ré nyi and other entropies: Dependence in parameters, robustness in distributions and extremes. arXiv 2024, arXiv:2411.15817. [Google Scholar] [CrossRef]
  14. de Albuquerque, M.P.; Esquef, I.A.; Mello, A.G. Image thresholding using Tsallis entropy. Pattern Recognit. Lett. 2004, 25, 1059–1065. [Google Scholar] [CrossRef]
  15. de Lima, I.P.; da Silva, S.L.E.; Corso, G.; de Araújo, J.M. Tsallis entropy, likelihood, and the robust seismic inversion. Entropy 2020, 22, 464. [Google Scholar] [CrossRef] [PubMed]
  16. Rady, E.H.A.; Hassanein, W.A.; Elhaddad, T.A. The power Lomax distribution with an application to bladder cancer data. SpringerPlus 2016, 5, 1838. [Google Scholar] [CrossRef] [PubMed]
  17. Burnham, K.P.; Anderson, D.R. Model Selection and Multimodel Inference: A Practical Information-Theoretic Approach; Springer: New York, NY, USA, 2002. [Google Scholar]
  18. Anderson, D.R.; Burnham, K.P.; Thompson, W.L. Null hypothesis testing: Problems, prevalence, and an alternative. J. Wildl. Manag. 2000, 64, 912–923. [Google Scholar] [CrossRef]
  19. Nelson, W.B. Applied Life Data Analysis; John Wiley Sons: Hoboken, NJ, USA, 2005. [Google Scholar]
  20. Zhu, C.; Byrd, R.H.; Lu, P.; Nocedal, J. Algorithm 778: L-BFGS-B: Fortran subroutines for large-scale bound-constrained optimization. ACM Trans. Math. Softw. 1997, 23, 550–560. [Google Scholar] [CrossRef]
Figure 1. Illustration of the limiting behavior of the UDF-PDF of the q-LD as q 1 . The UDF-PDF coincides with the classical PDF of the LD for the randomly selected values λ = 2 and β = 1 .
Figure 1. Illustration of the limiting behavior of the UDF-PDF of the q-LD as q 1 . The UDF-PDF coincides with the classical PDF of the LD for the randomly selected values λ = 2 and β = 1 .
Fractalfract 10 00155 g001
Figure 2. Comparison of the UDF-PDF of the q-LD under different arbitrarily chosen parameter settings. (a) The UDF-PDF of the q-LD for various values of q, with λ = 2 and β = 1 . (b) The UDF-PDF of the q-LD for various values of q, with λ = 3.5 and β = 5 .
Figure 2. Comparison of the UDF-PDF of the q-LD under different arbitrarily chosen parameter settings. (a) The UDF-PDF of the q-LD for various values of q, with λ = 2 and β = 1 . (b) The UDF-PDF of the q-LD for various values of q, with λ = 3.5 and β = 5 .
Fractalfract 10 00155 g002aFractalfract 10 00155 g002b
Figure 3. Illustration of the limiting behavior of the UDF-CDF of the q-LD as q 1 . The UDF-CDF coincides with the classical CDF of the LD for arbitrarily selected λ = 2 and β = 1 , demonstrating consistency with the classical LD in the limiting case.
Figure 3. Illustration of the limiting behavior of the UDF-CDF of the q-LD as q 1 . The UDF-CDF coincides with the classical CDF of the LD for arbitrarily selected λ = 2 and β = 1 , demonstrating consistency with the classical LD in the limiting case.
Fractalfract 10 00155 g003
Figure 4. Comparison of the UDF-CDF of the q-LD under different arbitrarily chosen parameter settings. (a) The UDF-CDF of the q-LD for various values of q, with λ = 2 and β = 1 . (b) The UDF-CDF of the q-LD for various values of q, with λ = 3.5 and β = 5 .
Figure 4. Comparison of the UDF-CDF of the q-LD under different arbitrarily chosen parameter settings. (a) The UDF-CDF of the q-LD for various values of q, with λ = 2 and β = 1 . (b) The UDF-CDF of the q-LD for various values of q, with λ = 3.5 and β = 5 .
Fractalfract 10 00155 g004aFractalfract 10 00155 g004b
Figure 5. The UDF-SF of the q-LD and its relation to the classical Lomax survival function. (a) The UDF-SF of the q-LD for various values of q, with arbitrarily chosen λ = 2 and β = 1 . (b) The UDF-SF of the q-LD for various values of q, with arbitrarily chosen λ = 3.5 and β = 5 .
Figure 5. The UDF-SF of the q-LD and its relation to the classical Lomax survival function. (a) The UDF-SF of the q-LD for various values of q, with arbitrarily chosen λ = 2 and β = 1 . (b) The UDF-SF of the q-LD for various values of q, with arbitrarily chosen λ = 3.5 and β = 5 .
Fractalfract 10 00155 g005
Figure 6. Comparison of the UDF-HF of the q-LD under different parameter settings. (a) The UDF-HF of the q-LD for various values of q, with arbitrarily chosen λ = 2 and β = 1 . (b) The UDF-HF of the q-LD for various values of q, with arbitrarily chosen λ = 3.5 and β = 5 .
Figure 6. Comparison of the UDF-HF of the q-LD under different parameter settings. (a) The UDF-HF of the q-LD for various values of q, with arbitrarily chosen λ = 2 and β = 1 . (b) The UDF-HF of the q-LD for various values of q, with arbitrarily chosen λ = 3.5 and β = 5 .
Fractalfract 10 00155 g006
Figure 7. The PDF of the third-order statistics, g 3 , q ( x ) , from a sample of size n = 10 drawn from UD q-LD with arbitrarily chosen λ = 3.5 and β = 5 , shown for several values of the fractional parameter q.
Figure 7. The PDF of the third-order statistics, g 3 , q ( x ) , from a sample of size n = 10 drawn from UD q-LD with arbitrarily chosen λ = 3.5 and β = 5 , shown for several values of the fractional parameter q.
Fractalfract 10 00155 g007
Figure 8. Empirical CDF versus fitted q-LD CDF.
Figure 8. Empirical CDF versus fitted q-LD CDF.
Fractalfract 10 00155 g008
Table 1. The mean, variance, skewness, and kurtosis of the q-LD for selected parameter values, with the corresponding classical Lomax measures.
Table 1. The mean, variance, skewness, and kurtosis of the q-LD for selected parameter values, with the corresponding classical Lomax measures.
λ β qMeanVarianceSkewnessKurtosis
520.30.08660.00802.206110.7607
0.50.16200.02982.410212.7384
0.70.26050.08422.734716.4305
0.90.40020.23083.439427.5177
0.99990.49990.41644.644473.2094
Classical LD0.50000.41674.647673.8000
570.30.19850.04052.08639.7028
0.50.39300.16442.187210.5647
0.70.68640.53272.377312.3304
0.91.21611.93422.918318.6249
0.99991.74925.09694.638372.2388
Classical LD1.75005.10424.647673.8000
550.30.16420.02802.11599.9544
0.50.31920.11042.243411.0773
0.70.54250.34172.470613.2967
0.90.91551.13113.066520.8101
0.99991.24962.60124.640772.5967
Classical LD1.25002.60424.647673.8000
Table 2. Goodness of fit comparison of candidate models.
Table 2. Goodness of fit comparison of candidate models.
ModelKSp-Value 2 ln L AICBIC
q-LD0.13710.8208136.0818142.0818144.9151
GO-LD0.13940.8059136.2617144.2617148.0395
MC-LD0.14230.8065136.5214146.5214151.2436
PLD0.14610.7592136.7164142.7164145.5497
BLD0.14720.7610136.8295144.8295148.6072
EX-LD0.14720.7520136.8294142.8295145.6628
GLD0.14730.7520136.8330144.8330148.6107
WLD0.15860.6684136.7741144.7741148.5519
KLD0.15960.5960136.7818144.7818148.5510
Table 3. Comparison the proposed UD q-LD with the classical Lomax and its common extensions.
Table 3. Comparison the proposed UD q-LD with the classical Lomax and its common extensions.
ModelHazard Rate BehaviorKey Features
LDMonotone decreasingSimple heavy-tailed model with limited flexibility.
UD q -LDDecreasing hazard with slope controlled by q; slower decay for smaller qFractional parameter q introduces non-local memory, controls tail weight, and enhances flexibility without adding many parameters.
PLDDecreasing for β 1 ; inverted-bathtub for β > 1 Adds a power parameter; improve tail adjustment but no fractional memory
WLDIncreasing, decreasing, or J-shaped depending on the parametersFlexible hazard shapes; modifies early-life behavior
GoLDIncreasing, decreasing, or non-monotone depending on the parametersGood for modeling accelerating or decelerating failure rates
BLDHighly flexible: can be increasing, decreasing, U-shaped, or inverted-bathtubTwo shape parameters allow for strong flexibility
KLDIncreasing, decreasing, bathtub or reversed-bathtubSimilar to Beta but simpler; good tail control
MC-LDCan show monotone or multi-modal hazard shapesVery flexible due to three generators; many parameters
EX-LDUsually decreasing; curvature controlled by the parameterAdjusts early-failure regions; preserves Lomax tail behavior
Ga-LDIncreasing, decreasing, or bathtub-shapedGamma mixing adds moderate flexibility; suitable for medium-to-heavy tails.
Disclaimer/Publisher’s Note: The statements, opinions and data contained in all publications are solely those of the individual author(s) and contributor(s) and not of MDPI and/or the editor(s). MDPI and/or the editor(s) disclaim responsibility for any injury to people or property resulting from any ideas, methods, instructions or products referred to in the content.

Share and Cite

MDPI and ACS Style

Al-Olaimat, N.M.; Amleh, M.A.; Abughazaleh, B.; Saadeh, R.; Hafez, M. Statistical Applications of the Ujlayan–Dixit Fractional Lomax Probability Distribution. Fractal Fract. 2026, 10, 155. https://doi.org/10.3390/fractalfract10030155

AMA Style

Al-Olaimat NM, Amleh MA, Abughazaleh B, Saadeh R, Hafez M. Statistical Applications of the Ujlayan–Dixit Fractional Lomax Probability Distribution. Fractal and Fractional. 2026; 10(3):155. https://doi.org/10.3390/fractalfract10030155

Chicago/Turabian Style

Al-Olaimat, Nesreen M., Mohammad A. Amleh, Baha’ Abughazaleh, Rania Saadeh, and Mohamed Hafez. 2026. "Statistical Applications of the Ujlayan–Dixit Fractional Lomax Probability Distribution" Fractal and Fractional 10, no. 3: 155. https://doi.org/10.3390/fractalfract10030155

APA Style

Al-Olaimat, N. M., Amleh, M. A., Abughazaleh, B., Saadeh, R., & Hafez, M. (2026). Statistical Applications of the Ujlayan–Dixit Fractional Lomax Probability Distribution. Fractal and Fractional, 10(3), 155. https://doi.org/10.3390/fractalfract10030155

Article Metrics

Back to TopTop