On the Convergence Rate of the Caputo Fractional Difference Logistic Map of Nilpotent Matrices
Abstract
1. Introduction
- The finite time evolution of the fractional difference logistic map is characterized by [33] as a cascade of bifurcation-type trajectories and an inverse cascade of bifurcation-type trajectories. In a cascade of bifurcation-type trajectories, cascades of bifurcations are not the result of changes in map parameters, but they occur on single trajectories during the trajectories’ time evolution (iterations). In the fractional difference logistic map, an asymptotically stable period or asymptotically chaotic trajectories with the initial conditions near zero start converging to the unstable period’s l trajectory, but then bifurcate and start converging to the period’s trajectory, and so on, until, after i consecutive bifurcations, they converge to the asymptotically stable trajectory or become chaotic. The fractional difference logistic map’s asymptotically stable period’s p trajectories with the initial conditions near one may initially converge to period trajectories, and after i consecutive mergers (inverse bifurcations), converge to the stable trajectories (see examples in [16]).
- Numerical simulations show that, in fractional and fractional difference maps, convergence to the asymptotically stable periodic points follows the power law. In the case of convergence to the asymptotically stable fixed points of fractional difference maps, the power law convergence was strictly proven in [34]. In a cascade of bifurcation-type trajectories, as is shown in [16], the initial convergence to an unstable fixed point prior to a bifurcation also follows the same power law.
2. Preliminaries
2.1. The Logistic Map of Matrices
2.2. The Logistic Map of Nilpotent Matrices
2.3. The Divergence Rate of the Logistic Map of Nilpotent Matrices
2.4. The Fractional Difference Logistic Map
2.5. The Fractional Difference Logistic Map of Matrices
2.6. The Motivation of This Study
3. The Fractional Difference Logistic Map of Nilpotent Matrices
4. The Divergence Rate of the Fractional Difference Logistic Map of Nilpotent Matrices
4.1. The Divergence Rate of
4.2. The Divergence Rate of
4.3. The Divergence Rate of
5. Computational Experiments
5.1. The Iterative Map of the Recurrent Eigenvalue in the Fractional Difference Logistic Map of Nilpotent Matrices

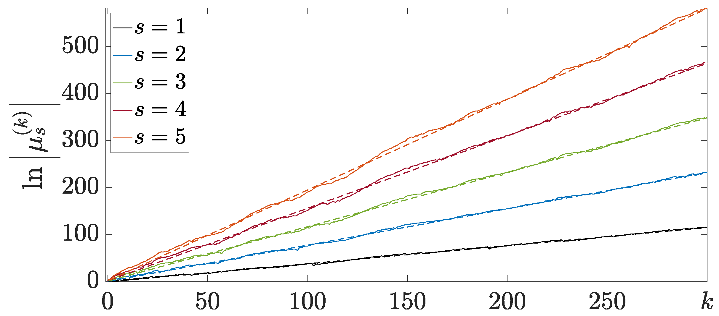
5.2. The Divergence of the Fractional Difference Logistic Map of Nilpotent Matrices

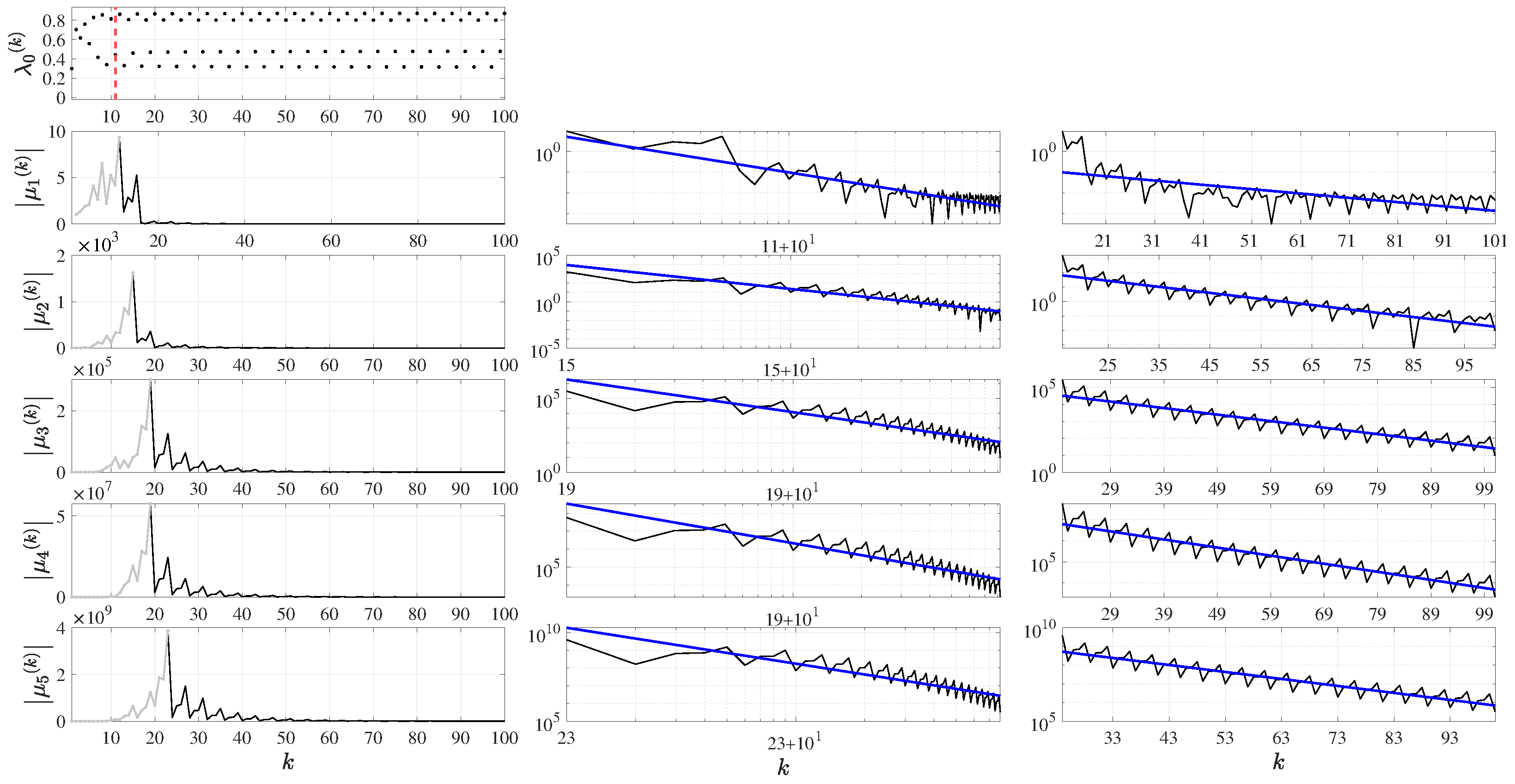
5.3. The Convergence of the Fractional Difference Logistic Map of Nilpotent Matrices
5.3.1. The Algorithm Used to Identify the Type of Convergence
5.3.2. Monotonous Convergence of the Fractional Difference Logistic Map of Nilpotent Matrices at

5.3.3. Convergence After the Finite-Time Divergence at

5.3.4. Convergence After the Intermittent Bursting at and



6. Discussion and Concluding Remarks
Author Contributions
Funding
Data Availability Statement
Conflicts of Interest
References
- Lorenz, E.N. The problem of deducing the climate from the governing equations. Tellus 1964, 16, 1–11. [Google Scholar] [CrossRef]
- May, R. Simple mathematical models with very complicated dynamics. Nature 1976, 261, 459–467. [Google Scholar] [CrossRef] [PubMed]
- Feigenbaum, M.J. Quantitative universality for a class of nonlinear transformations. J. Stat. Phys. 1978, 19, 25–52. [Google Scholar] [CrossRef]
- Cvitanović, P. Universality in chaos. In Universality in Chaos, 2nd ed.; Routledge: New York, NY, USA, 2017; pp. 2–32. [Google Scholar] [CrossRef]
- Strogatz, S.H. Nonlinear Dynamics and Chaos: With Applications to Physics, Biology, Chemistry, and Engineering, 2nd ed.; CRC Press: Boca Raton, FL, USA, 2001. [Google Scholar] [CrossRef]
- Barreira, L. Lyapunov Exponents; Springer: Berlin/Heidelberg, Germany, 2017; Volume 1002. [Google Scholar] [CrossRef]
- Ausloos, M. The Logistic Map and the Route to Chaos: From the Beginnings to Modern Applications; Springer Science & Business Media: New York, NY, USA, 2006. [Google Scholar] [CrossRef]
- Bland, M. An Introduction to Medical Statistics; Oxford University Press: New York, NY, USA, 2015. [Google Scholar]
- Abdellah, M. Generalized logistic map and its applications. AIP Adv. 2025, 15, 035239. [Google Scholar] [CrossRef]
- Dubois, D.M. Mathematical foundations of discrete and functional systems with strong and weak anticipations. In Anticipatory Behavior in Adaptive Learning Systems; Lecture Notes in Computer Science; Springer: Berlin/Heidelberg, Germany, 2003; pp. 110–132. [Google Scholar] [CrossRef]
- Leydesdorff, L.; Franse, S. The communication of meaning in social systems. Syst. Res. Behav. Sci. 2009, 26, 109–117. [Google Scholar] [CrossRef]
- Alexandrov, V.; Gajdusek, M.F.; Knight, C.G.; Yotova, A. Global Environmental Change: Challenges to Science and Society in Southeastern Europe; Springer: Berlin/Heidelberg, Germany, 2010. [Google Scholar] [CrossRef]
- Miśkiewicz, J.; Ausloos, M. A logistic map approach to economic cycles. (I). The best adapted companies. Phys. A Stat. Mech. Appl. 2004, 336, 206–214. [Google Scholar] [CrossRef]
- Ausloos, M.; Clippe, P.; Miśkiewicz, J.; Pe¸kalski, A. A (reactive) lattice-gas approach to economic cycles. Phys. A Stat. Mech. Appl. 2004, 344, 1–7. [Google Scholar] [CrossRef]
- Miśkiewicz, J.; Ausloos, M. Delayed information flow effect in economy systems. An ACP model study. Phys. A Stat. Mech. Appl. 2007, 382, 179–186. [Google Scholar] [CrossRef]
- Edelman, M. Evolution of Systems with Power-Law Memory: Do We Have to Die? (Dedicated to the Memory of Valentin Afraimovich). In Demography of Population Health, Aging and Health Expenditures; Skiadas, C.H., Skiadas, C., Eds.; Springer International Publishing: Cham, Switzerland, 2020; pp. 65–85. [Google Scholar] [CrossRef]
- Tarasov, V.E.; Tarasova, V.V. Economic Dynamics with Memory: Fractional Calculus Approach; Walter de Gruyter: Berlin/Heidelberg, Germany; Boston, MA, USA, 2021. [Google Scholar] [CrossRef]
- Petráš, I. Fractional-order control: New control techniques. In Fractional Order Systems; Radwan, A.G., Khanday, F.A., Said, L.A., Eds.; Emerging Methodologies and Applications in Modelling; Academic Press: London, UK, 2022; pp. 71–106. [Google Scholar] [CrossRef]
- Reed, E.A.; Ramos, G.; Bogdan, P.; Pequito, S. The role of long-term power-law memory in controlling large-scale dynamical networks. Sci. Rep. 2023, 13, 19502. [Google Scholar] [CrossRef]
- Cylke, A.; Banerjee, S. Gene expression cycles drive non-exponential bacterial growth. Phys. Rev. Res. 2025, 7, 033123. [Google Scholar] [CrossRef]
- Ortigueira, M.D. Principles of fractional signal processing. Digit. Signal Process. 2024, 149, 104490. [Google Scholar] [CrossRef]
- Yang, Q.; Chen, D.; Zhao, T.; Chen, Y. Fractional calculus in image processing: A review. Fract. Calc. Appl. Anal. 2016, 19, 1222–1249. [Google Scholar] [CrossRef]
- Zhu, L.; Jiang, D.; Ni, J.; Wang, X.; Rong, X.; Ahmad, M.; Chen, Y. A stable meaningful image encryption scheme using the newly-designed 2D discrete fractional-order chaotic map and Bayesian compressive sensing. Signal Process. 2022, 195, 108489. [Google Scholar] [CrossRef]
- Edelman, M. On the fractional Eulerian numbers and equivalence of maps with long term power-law memory (integral Volterra equations of the second kind) to Grünvald-Letnikov fractional difference (differential) equations. Chaos 2015, 25, 073103. [Google Scholar] [CrossRef]
- Edelman, M. Cycles in asymptotically stable and chaotic fractional maps. Nonlinear Dyn. 2021, 104, 2829–2841. [Google Scholar] [CrossRef]
- Tarasov, V.E. Multi-kernel discrete maps with memory from general fractional differential and integral equations. Nonlinear Dyn. 2025, 113, 34341–34369. [Google Scholar] [CrossRef]
- Edelman, M. Fractional Maps and Fractional Attractors. Part II: Fractional Difference Caputo α-Families of Maps. Interdiscip. J. Discontin. Nonlinearity Complex. 2015, 4, 391–402. [Google Scholar] [CrossRef]
- Jonnalagadda, J. Periodic solutions of fractional nabla difference equations. Commun. Appl. Anal. 2016, 20, 585–610. [Google Scholar]
- Jonnalagadda, J.M. Quasi-periodic solutions of fractional nabla difference systems. Fract. Differ. Calc. 2017, 7, 339–355. [Google Scholar] [CrossRef]
- Kaslik, E.; Sivasundaram, S. Non-existence of periodic solutions in fractional-order dynamical systems and a remarkable difference between integer and fractional-order derivatives of periodic functions. Anal. Real World Appl. 2012, 13, 1489–1497. [Google Scholar] [CrossRef]
- Edelman, M. Asymptotically periodic and bifurcation points in fractional difference maps. Fractal Fract. 2025, 9, 231. [Google Scholar] [CrossRef]
- Edelman, M.; Helman, A.B.; Smidtaite, R. Bifurcations and transition to chaos in generalized fractional maps of the orders 0 < α < 1. Chaos 2023, 33, 063123. [Google Scholar] [CrossRef]
- Edelman, M.; Tarasov, V.E. Fractional standard map. Phys. Lett. A 2009, 374, 279–285. [Google Scholar] [CrossRef]
- Anh, P.T.; Babiarz, A.; Czornik, A.; Niezabitowski, M.; Siegmund, S. Asymptotic properties of discrete linear fractional equations. Bull. Pol. Acad. Sci. 2019, 67, 749–759. [Google Scholar] [CrossRef]
- Navickas, Z.; Smidtaite, R.; Vainoras, A.; Ragulskis, M. The logistic map of matrices. Discret. Contin. Dyn. Syst. Ser. B 2011, 16, 927–944. [Google Scholar] [CrossRef]
- Kaneko, K. Coupled map lattice. In Chaos, Order, and Patterns; Springer: Berlin/Heidelberg, Germany, 1991; pp. 237–247. [Google Scholar]
- Gang, H.; Zhilin, Q. Controlling spatiotemporal chaos in coupled map lattice systems. Phys. Rev. Lett. 1994, 72, 68–71. [Google Scholar] [CrossRef]
- Hagerstrom, A.M.; Murphy, T.E.; Roy, R.; Hövel, P.; Omelchenko, I.; Schöll, E. Experimental observation of chimeras in coupled-map lattices. Nat. Phys. 2012, 8, 658–661. [Google Scholar] [CrossRef]
- Smidtaite, R.; Navickas, Z.; Ragulskis, M. Clocking divergence of iterative maps of matrices. Commun. Nonlinear Sci. Numer. Simul. 2021, 95, 105589. [Google Scholar] [CrossRef]
- Smidtaite, R.; Ragulskiene, J.; Bikulciene, L.; Ragulskis, M. Hyper Coupled Map Lattices for Hiding Multiple Images. Complexity 2023, 2023, 8831078. [Google Scholar] [CrossRef]
- Petkevičiūtė-Gerlach, D.; Šmidtaitė, R.; Ragulskis, M. Intermittent Bursting in the Fractional Difference Logistic Map of Matrices. Int. J. Bifurc. Chaos 2022, 32, 2230002. [Google Scholar] [CrossRef]
- Bick, C.; Timme, M.; Kolodziejski, C. Adapting Predictive Feedback Chaos Control for Optimal Convergence Speed. SIAM J. Appl. Dyn. Syst. 2012, 11, 1310–1324. [Google Scholar] [CrossRef]
- Yang, X.S.; He, X. Bat algorithm: Literature review and applications. Int. J. Bio-Inspir. Com. 2013, 5, 141–149. [Google Scholar] [CrossRef]
- Davis, D.; Yin, W. Convergence rate analysis of several splitting schemes. In Splitting Methods in Communication, Imaging, Science, and Engineering; Springer: Berlin/Heidelberg, Germany, 2017; pp. 115–163. [Google Scholar] [CrossRef]
- Huang, M.; Luo, R.; Fu, J.; Su, H. Robust exponential synchronization of a class of chaotic systems with variable convergence rates via the saturation control. Complexity 2020, 2020, 8293190. [Google Scholar] [CrossRef]
- Wang, X.; Cao, J.; Yang, B.; Chen, F. Fast fixed-time synchronization control analysis for a class of coupled delayed Cohen-Grossberg neural networks. J. Frankl. Inst. 2022, 359, 1612–1639. [Google Scholar] [CrossRef]
- Su, H.; Luo, R.; Huang, M.; Fu, J. Fast convergence control of a class of uncertain chaotic systems with input nonlinearity by using a new sliding mode controller. Eur. J. Control 2023, 69, 100751. [Google Scholar] [CrossRef]
- Borowski, H.; Marden, J.R. Fast convergence in semianonymous potential games. IEEE Trans. Control Netw. Syst. 2015, 4, 246–258. [Google Scholar] [CrossRef]
- Smith, L.N.; Topin, N. Super-convergence: Very fast training of neural networks using large learning rates. In Proceedings of the Artificial Intelligence and Machine Learning for Multi-Domain Operations Applications, Baltimore, MD, USA, 14–18 April 2019; SPIE: Bellingham, WA, USA, 2019; Volume 11006, pp. 369–386. [Google Scholar] [CrossRef]
- Nguyen, H.T.; Al-Sumaiti, A.S.; Vu, V.P.; Al-Durra, A.; Do, T.D. Optimal power tracking of PMSG based wind energy conversion systems by constrained direct control with fast convergence rates. Int. J. Electr. Power Energy Syst. 2020, 118, 105807. [Google Scholar] [CrossRef]
- Zhang, Z.; Chow, M.Y. Convergence analysis of the incremental cost consensus algorithm under different communication network topologies in a smart grid. IEEE Trans. Power Syst. 2012, 27, 1761–1768. [Google Scholar] [CrossRef]
- Mohamed, E.A.; Ahmed, E.M.; Elmelegi, A.; Aly, M.; Elbaksawi, O.; Mohamed, A.A.A. An Optimized Hybrid Fractional Order Controller for Frequency Regulation in Multi-Area Power Systems. IEEE Access 2020, 8, 213899–213915. [Google Scholar] [CrossRef]
- Zhang, H.; Liang, S.; Liang, J.; Han, Y. Convergence analysis of a distributed gradient algorithm for economic dispatch in smart grids. Int. J. Elec. Power Energy Syst. 2022, 134, 107373. [Google Scholar] [CrossRef]
- Sun, Y.; Li, W.; Zhao, D. Convergence time and speed of multi-agent systems in noisy environments. Chaos 2012, 22, 043126. [Google Scholar] [CrossRef]
- Cheng, L.; Wang, Y.; Ren, W.; Hou, Z.G.; Tan, M. On convergence rate of leader-following consensus of linear multi-agent systems with communication noises. IEEE Trans. Autom. 2016, 61, 3586–3592. [Google Scholar] [CrossRef]
- Ma, Q.; Xu, X.; Zhang, R.; Xiong, Q.; Zhang, X.; Zhang, X. Robust consensus control of nonlinear multi-agent systems based on convergence rate estimation. Int. J. Robust Nonlin. 2023, 33, 2003–2021. [Google Scholar] [CrossRef]
- Talaat, F.M.; Aljadani, A. AI-driven churn prediction in subscription services: Addressing economic metrics, data transparency, and customer interdependence. Neural Comput. Appl. 2025, 37, 8651–8676. [Google Scholar] [CrossRef]
- Nobis, G.; Springenberg, M.; Aversa, M.; Detzel, M.; Daems, R.; Murray-Smith, R.; Nakajima, S.; Lapuschkin, S.; Ermon, S.; Birdal, T.; et al. Generative fractional diffusion models. Adv. Neural Inf. Process. Syst. 2024, 37, 25469–25509. [Google Scholar]
- Nedić, A. Convergence rate of distributed averaging dynamics and optimization in networks. Found. Trends Syst. Control. 2015, 2, 1–100. [Google Scholar] [CrossRef]
- Tarasov, V.E. Review of some promising fractional physical models. Int. J. Mod. Phys. B 2013, 27, 1330005. [Google Scholar] [CrossRef]
- Uchaikin, V.V. Fractional Derivatives for Physicists and Engineers; Springer: Berlin/Heidelberg, Germany, 2013; Volume 2. [Google Scholar] [CrossRef]
- Lu, L.; Yu, X. The fractional dynamics of quantum systems. Ann. Phys. 2018, 392, 260–271. [Google Scholar] [CrossRef]
- Rihan, F.A. Numerical Modeling of Fractional-Order Biological Systems. Abstr. Appl. Anal. 2013, 2013, 816803. [Google Scholar] [CrossRef]
- Chakraverty, S.; Jena, R.M.; Jena, S.K. Time-Fractional Order Biological Systems with Uncertain Parameters; Synthesis Lectures on Mathematics & Statistics Series; Springer: Cham, Switzerland, 2020. [Google Scholar] [CrossRef]
- D’Alessandro, M.; Van Mieghem, P. Fractional derivative in continuous-time Markov processes and applications to epidemics in networks. Phys. Rev. Res. 2025, 7, 013017. [Google Scholar] [CrossRef]
- Tenreiro Machado, J.A.; Silva, M.F.; Barbosa, R.S.; Jesus, I.S.; Reis, C.M.; Marcos, M.G.; Galhano, A.F. Some Applications of Fractional Calculus in Engineering. Math. Probl. Eng. 2010, 2010, 639801. [Google Scholar] [CrossRef]
- Chen, W.; Sun, H.; Li, X. Fractional Derivative Modeling in Mechanics and Engineering; Springer: Berlin/Heidelberg, Germany, 2022. [Google Scholar] [CrossRef]
- Arshad, M.; Lu, D.; Wang, J. (N+1)-dimensional fractional reduced differential transform method for fractional order partial differential equations. Commun. Nonlinear Sci. Numer. Simul. 2017, 48, 509–519. [Google Scholar] [CrossRef]
- Fallahgoul, H.; Focardi, S.; Fabozzi, F. Fractional Calculus and Fractional Processes with Applications to Financial Economics: Theory and Application; Academic Press: New York, NY, USA, 2016. [Google Scholar]
- Tarasov, V.E. Mathematical Economics: Application of Fractional Calculus. Mathematics 2020, 8, 660. [Google Scholar] [CrossRef]
- Yousefpour, A.; Jahanshahi, H.; Munoz-Pacheco, J.M.; Bekiros, S.; Wei, Z. A fractional-order hyper-chaotic economic system with transient chaos. Chaos Soliton. Fract. 2020, 130, 109400. [Google Scholar] [CrossRef]
- Tarasov, V.E. General Fractional Economic Dynamics with Memory. Mathematics 2024, 12, 2411. [Google Scholar] [CrossRef]
- Zhang, X.; Feng, C.; Zhou, Y.; Deng, X. Finite-time tracking control for fractional-order nonlinear high-order parametric systems with time-varying control gain and external disturbances: An approximation-based adaptive control method. Adv. Cont. Discr. Mod. 2025, 2025, 144. [Google Scholar] [CrossRef]
- Xu, X.; Lu, J.; Chen, J. Convergence Analysis of Iterative Learning Control for Initialized Fractional Order Systems. Fractal Fract. 2024, 8, 168. [Google Scholar] [CrossRef]
- Louakar, A.; Vivek, D.; Kajouni, A.; Hilal, K. Iterative Learning Control for Hilfer-Type Fractional Stochastic Differential Systems: A Simulation Study for Robotic Applications. Int. J. Robust Nonlin. 2025; early view. [Google Scholar] [CrossRef]
- Wang, J.; Fec, M.; Zhou, Y. Nonexistence of periodic solutions and asymptotically periodic solutions for fractional differential equations. Commun. Nonlinear Sci. Numer. Simul. 2013, 18, 246–256. [Google Scholar] [CrossRef]
- Čermák, J.; Győri, I.; Nechvátal, L. On explicit stability conditions for a linear fractional difference system. Fract. Calc. Appl. Anal. 2015, 18, 651–672. [Google Scholar] [CrossRef]
- Petkevičiūtė-Gerlach, D.; Timofejeva, I.; Ragulskis, M. Clocking convergence of the fractional difference logistic map. Nonlinear Dyn. 2020, 100, 3925–3935. [Google Scholar] [CrossRef]
- Wang, Y.; Liu, S.; Li, H. On fractional difference logistic maps: Dynamic analysis and synchronous control. Nonlin. Dyn. 2020, 102, 579–588. [Google Scholar] [CrossRef]
- Joshi, D.D.; Gade, P.M.; Bhalekar, S. Study of low-dimensional nonlinear fractional difference equations of complex order. Chaos 2022, 32, 113101. [Google Scholar] [CrossRef]
- Hilborn, R.C. Chaos and Nonlinear Dynamics: An Introduction for Scientists and Engineers; Oxford University Press: New York, NY, USA, 2000. [Google Scholar] [CrossRef]
- Edelman, M. Periodic Points, Stability, Bifurcations, and Transition to Chaos in Generalized Fractional Maps. IFAC-PapersOnLine 2024, 58, 131–142. [Google Scholar] [CrossRef]
- Cencini, M.; Cecconi, F.; Vulpiani, A. Chaos: From Simple Models to Complex Systems; Series on advances in statistical mechanics; World Scientific: Singapore, 2010. [Google Scholar]
- Pikovsky, A.; Politi, A. Lyapunov Exponents: A Tool to Explore Complex Dynamics; Cambridge University Press: Cambridge, UK, 2016. [Google Scholar]
- Bukh, A.; Strelkova, G.; Anishchenko, V. Spiral wave patterns in a two-dimensional lattice of nonlocally coupled maps modeling neural activity. Chaos Soliton. Fract. 2019, 120, 75–82. [Google Scholar] [CrossRef]
- Wan, W.; Harsh, R.; Meninno, A.; Dreher, P.; Sajan, S.; Guo, H.; Errea, I.; de Juan, F.; Ugeda, M.M. Evidence for ground state coherence in a two-dimensional Kondo lattice. Nat. Commun. 2023, 14, 7005. [Google Scholar] [CrossRef] [PubMed]
- Ding, J.; Lei, Y.; Xie, J.; Small, M. Chaos synchronization of two coupled map lattice systems using safe reinforcement learning. Chaos Soliton. Fract. 2024, 186, 115241. [Google Scholar] [CrossRef]
| Parameter Set | Aux. Param. | |||
|---|---|---|---|---|
(Figure 3) | 2.17 × 10−2 | 5.70 × 10−2 | <1 | |
| 1.10 × 100 | 2.47 × 10-1 | >1 | ||
| 2.14 × 100 | 6.11 × 10−2 | >1 | ||
| 1.43 × 100 | 6.81 × 10−2 | >1 | ||
| 1.45 × 100 | 1.19 × 10-1 | >1 | ||
| 1.30 × 100 | 1.16 × 10-1 | >1 | ||
(Figure 4) | 2.94 × 100 | 4.63 × 100 | <1 | |
| 2.34 × 101 | 4.91 × 100 | >1 | ||
| 1.65 × 101 | 3.03 × 100 | >1 | ||
| 1.60 × 101 | 3.07 × 100 | >1 | ||
| 1.10 × 101 | 2.65 × 100 | >1 | ||
(Figure 5) | 8.78 × 101 | 1.29 × 100 | >1 | |
| 8.48 × 101 | 1.33 × 100 | >1 | ||
| 2.87 × 102 | 1.50 × 100 | >1 | ||
| 1.94 × 103 | 1.78 × 100 | >1 | ||
| 7.63 × 102 | 1.64 × 100 | >1 | ||
(Figure 6) | 1.14 × 102 | 1.56 × 100 | >1 | |
| 4.54 × 103 | 1.79 × 100 | >1 | ||
| 2.67 × 103 | 1.77 × 100 | >1 | ||
| 5.28 × 103 | 1.91 × 100 | >1 | ||
| 8.64 × 102 | 1.74 × 100 | >1 |
Disclaimer/Publisher’s Note: The statements, opinions and data contained in all publications are solely those of the individual author(s) and contributor(s) and not of MDPI and/or the editor(s). MDPI and/or the editor(s) disclaim responsibility for any injury to people or property resulting from any ideas, methods, instructions or products referred to in the content. |
© 2026 by the authors. Licensee MDPI, Basel, Switzerland. This article is an open access article distributed under the terms and conditions of the Creative Commons Attribution (CC BY) license.
Share and Cite
Smidtaite, R.; Kazlauskas, A.; Edelman, M.; Ragulskis, M. On the Convergence Rate of the Caputo Fractional Difference Logistic Map of Nilpotent Matrices. Fractal Fract. 2026, 10, 40. https://doi.org/10.3390/fractalfract10010040
Smidtaite R, Kazlauskas A, Edelman M, Ragulskis M. On the Convergence Rate of the Caputo Fractional Difference Logistic Map of Nilpotent Matrices. Fractal and Fractional. 2026; 10(1):40. https://doi.org/10.3390/fractalfract10010040
Chicago/Turabian StyleSmidtaite, Rasa, Algirdas Kazlauskas, Mark Edelman, and Minvydas Ragulskis. 2026. "On the Convergence Rate of the Caputo Fractional Difference Logistic Map of Nilpotent Matrices" Fractal and Fractional 10, no. 1: 40. https://doi.org/10.3390/fractalfract10010040
APA StyleSmidtaite, R., Kazlauskas, A., Edelman, M., & Ragulskis, M. (2026). On the Convergence Rate of the Caputo Fractional Difference Logistic Map of Nilpotent Matrices. Fractal and Fractional, 10(1), 40. https://doi.org/10.3390/fractalfract10010040

