Robust Parameter Interval Identification for a Logistic-Type Fractional Difference System
Abstract
1. Introduction
- Systematic Finite-Time Dynamical Characterization. We provide a systematic finite-time analysis of the individual and coupled effects of the nonlinear gain parameter, memory strength, and initial condition on the emergence, persistence, and robustness of chaotic dynamics in a logistic-type fractional difference system.
- Development of a Composite Chaos Evaluation (CCE) Framework. A quantitative chaos evaluation framework is developed to identify admissible parameter intervals, rather than isolated parameter points, that can reliably sustain robust chaotic dynamics under finite iteration and parameter perturbations.
- Identification and Conservative Validation of Robust Parameter Intervals. The identified parameter intervals are conservatively validated using Lyapunov exponent-based criteria, demonstrating the reliability, robustness, and reproducibility of the proposed framework for practical applications.
2. A Logistic-Type Fractional Difference Map with Power-Law Memory
3. Dynamic Characterization of the FOLM
3.1. Individual Influence on Chaos Onset
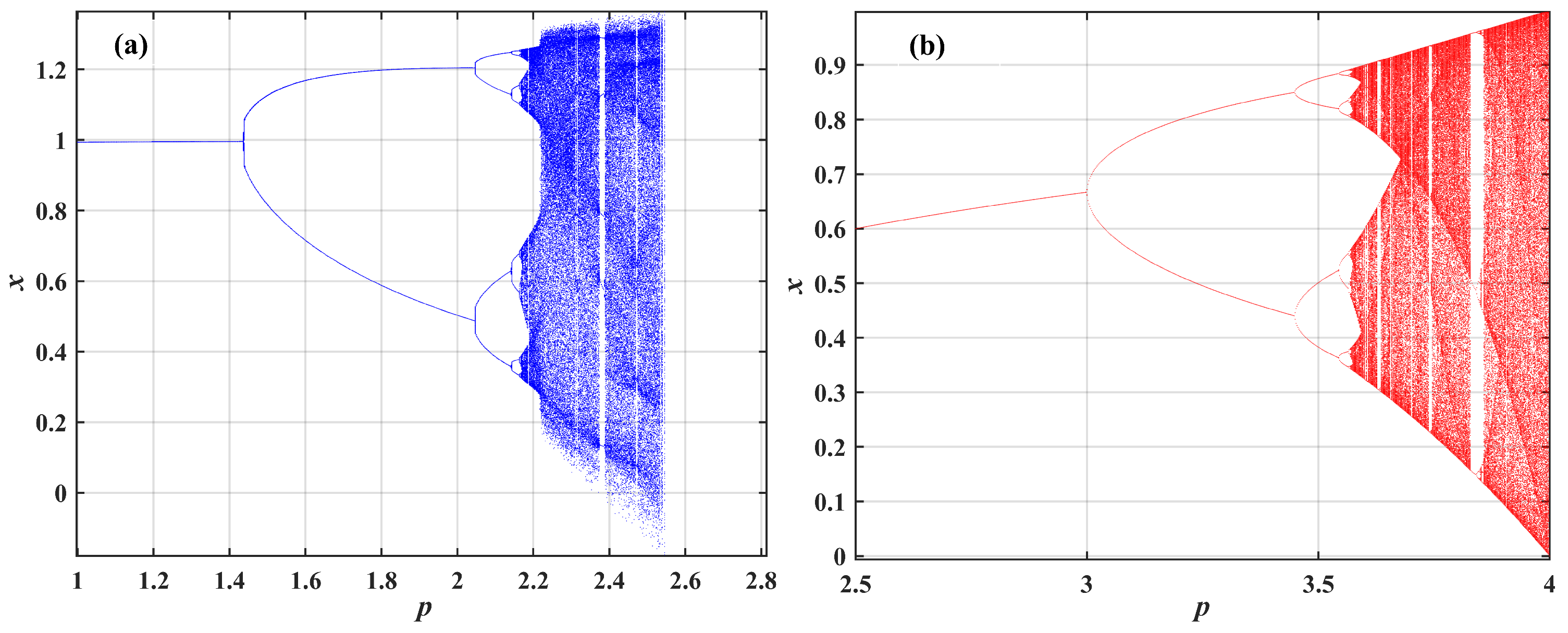
3.1.1. Effect of q at Fixed
3.1.2. Effect of at Fixed q
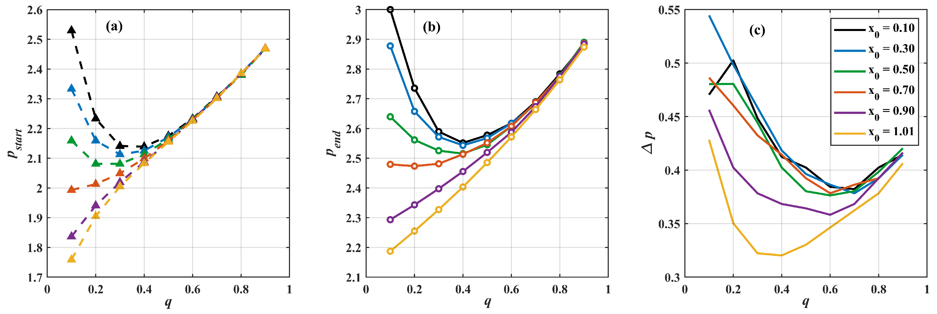
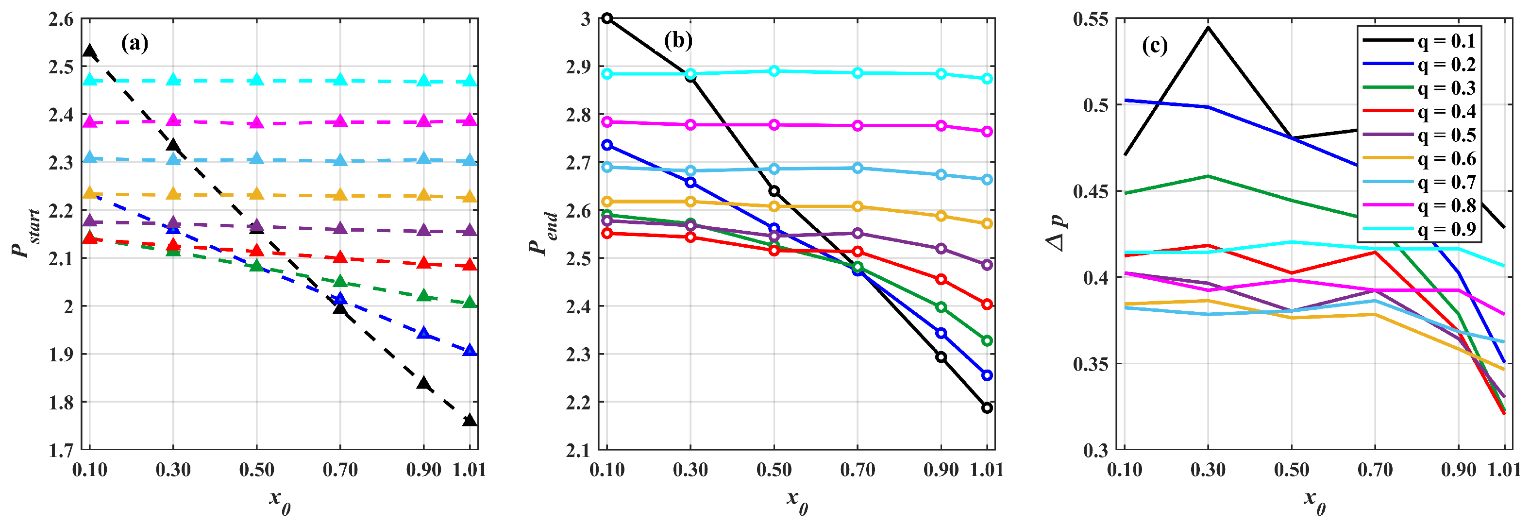
3.1.3. Stable-Core Consistency Across Initial Conditions
3.2. Coupled Effects and Stability Evaluation
3.2.1. Coupled Influence of
3.2.2. Coupled Influence of
3.2.3. Coupled Influence of
4. Robust Parameter Interval Identification via Composite Chaos Evaluation
4.1. Global Evaluation of the Control Parameter p
4.2. Numerical Robustness Evaluation of the Fractional Order q
4.3. Numerical Determination of the Initial-Condition Region
4.4. Validation of the Parameter Intervals
4.4.1. Validation of the Interval
4.4.2. Validation of the Interval
4.4.3. Validation of the Interval
| Algorithm 1: Composite Chaos Evaluation (CCE) procedure |
Input: Finite-time numerical results from Section 3 Output: Robust parameter intervals Step 1: Identification of the control-parameter interval.; Evaluate , , and to determine the numerically reliable interval (Section 4.1); Step 2: Identification of the fractional-order interval.; Within , aggregate , , , and to obtain the robust interval (Section 4.2); Step 3: Identification of the admissible initial-condition region.; Within , evaluate the chaotic reliability index and apply a consistency threshold to determine (Section 4.3); Step 4: Conservative validation.; Assess the effectiveness of using the minimum of the maximal Lyapunov exponent analysis (Section 4.4); |
4.5. Computational Cost and Scalability
5. Conclusions and Discussion
Author Contributions
Funding
Data Availability Statement
Conflicts of Interest
References
- Hsieh, D.A. Chaos and nonlinear dynamics: Application to financial markets. J. Financ. 1991, 46, 1839–1877. [Google Scholar] [CrossRef]
- May, R.M. Simple mathematical models with very complicated dynamics. Nature 1976, 261, 459–467. [Google Scholar] [CrossRef] [PubMed]
- Alligood, K.T.; Sauer, T.D.; Yorke, J.A. Chaos: An Introduction to Dynamical Systems; Springer: New York, NY, USA, 1997. [Google Scholar]
- Strogatz, S.H. Nonlinear Dynamics and Chaos: With Applications to Physics, Biology, Chemistry, and Engineering, 2nd ed.; Chapman and Hall/CRC: Boca Raton, FL, USA, 2024. [Google Scholar]
- Iqbal, S.; Wang, J. A novel fractional-order 3-D chaotic system and its application to secure communication based on chaos synchronization. Phys. Scr. 2025, 100, 025243. [Google Scholar] [CrossRef]
- Zhang, B.; Liu, L. Chaos-based image encryption: Review, application, and challenges. Mathematics 2023, 11, 2585. [Google Scholar] [CrossRef]
- Azar, A.T.; Vaidyanathan, S. Advances in Chaos Theory and Intelligent Control; Springer: Cham, Switzerland, 2016; Volume 337. [Google Scholar]
- Jiao, C.; Yu, K.; Zhou, Q. An opposition-based learning adaptive chaotic particle swarm optimization algorithm. J. Bionic Eng. 2024, 21, 3076–3097. [Google Scholar] [CrossRef]
- Wang, B.; Zhang, Z.; Siarry, P.; Liu, X.; Królczyk, G.; Hua, D.; Brumercik, F.; Li, Z. A nonlinear African vulture optimization algorithm combining Henon chaotic mapping theory and reverse learning competition strategy. Expert Syst. Appl. 2024, 236, 121413. [Google Scholar] [CrossRef]
- Yang, J.; Yan, F.; Zhang, J.; Peng, C. Hybrid chaos game and grey wolf optimization algorithms for UAV path planning. Appl. Math. Model. 2025, 142, 115979. [Google Scholar] [CrossRef]
- Dong, Y.; Zhang, S.; Zhang, H.; Zhou, X.; Jiang, J. Chaotic evolution optimization: A novel metaheuristic algorithm inspired by chaotic dynamics. Chaos Solitons Fractals 2025, 192, 116049. [Google Scholar] [CrossRef]
- Li, S.; Chen, G.; Mou, X. On the dynamical degradation of digital piecewise linear chaotic maps. Int. J. Bifurc. Chaos 2005, 15, 3119–3151. [Google Scholar] [CrossRef]
- Bao, H.; Hua, Z.; Li, H.; Chen, M.; Bao, B. Discrete memristor hyperchaotic maps. IEEE Trans. Circuits Syst. I Regul. Pap. 2021, 68, 4534–4544. [Google Scholar] [CrossRef]
- Zhang, J.-X.; Zhang, X.; Boutat, D.; Liu, D.-Y. Fractional-order complex systems: Advanced control, intelligent estimation and reinforcement learning image-processing algorithms. Fractal Fract. 2025, 9, 67. [Google Scholar] [CrossRef]
- Calgan, H.; Gokyildirim, A.; Ilten, E.; Demirtas, M. Classification of fractional-order chaotic systems using deep learning methods. Eur. Phys. J. Spec. Top. 2025, 234, 4879–4897. [Google Scholar] [CrossRef]
- Boulaaras, S.; Sriramulu, S.; Arunachalam, S.; Allahem, A.; Alharbi, A.; Radwan, T. Chaos and stability analysis of the nonlinear fractional-order autonomous system. Alex. Eng. J. 2025, 118, 278–291. [Google Scholar] [CrossRef]
- Nail, B.; Atoussi, M.A.; Saadi, S.; Tibermacine, I.E.; Napoli, C. Real-time synchronisation of multiple fractional-order chaotic systems: An application study in secure communication. Fractal Fract. 2024, 8, 104. [Google Scholar] [CrossRef]
- Edelman, M.; Helman, A.B.; Smidtaite, R. Bifurcations and transition to chaos in generalized fractional maps of the orders 0 < α < 1. Chaos 2023, 33, 063123. [Google Scholar] [CrossRef]
- Edelman, M. Asymptotically periodic and bifurcation points in fractional difference maps. Fractal Fract. 2025, 9, 231. [Google Scholar] [CrossRef]
- Wu, G.-C.; Wu, Z.-Q.; Zhu, W. Data-driven discrete fractional chaotic systems, new numerical schemes and deep learning. Chaos 2024, 34, 093144. [Google Scholar] [CrossRef]
- Danca, M.-F. Fractional order logistic map: Numerical approach. Chaos Solitons Fractals 2022, 157, 111851. [Google Scholar] [CrossRef]
- Lin, M.; Zhang, X.; Qiu, H. Adaptive backstepping fuzzy synchronization control of fractional-order chaotic systems with input saturation and external disturbances. AIP Adv. 2023, 13, 085206. [Google Scholar] [CrossRef]
- Al-Raeei, M. Applying fractional quantum mechanics to systems with electrical screening effects. Chaos Solitons Fractals 2021, 150, 111209. [Google Scholar] [CrossRef]
- Medina, K.G.; Estevez-Rams, E.; Kunka, D. Non-linear oscillators with Kuramoto-like local coupling: Complexity analysis and spatiotemporal pattern generation. Chaos Solitons Fractals 2023, 175, 114056. [Google Scholar] [CrossRef]
- Ates, A. Enhanced equilibrium optimization method with fractional-order chaos and application to engineering problems. Neural Comput. Appl. 2021, 33, 9849–9876. [Google Scholar] [CrossRef]
- Abd Elaziz, M.; Yousri, D.; Mirjalili, S. A hybrid Harris hawks–moth flame optimization algorithm including fractional-order chaotic maps and evolutionary population dynamics. Adv. Eng. Softw. 2021, 154, 102973. [Google Scholar] [CrossRef]
- Edelman, M. Dynamics of nonlinear systems with power-law memory. In Handbook of Fractional Calculus with Applications: Applications in Physics; Tarasov, V.E., Ed.; De Gruyter: Berlin, Germany, 2019; Volume 4, pp. 103–132. [Google Scholar]
- Wu, G.-C.; Baleanu, D. Discrete fractional logistic map and its chaos. Nonlinear Dyn. 2014, 75, 283–287. [Google Scholar] [CrossRef]
- Peng, Y.; Sun, K.; He, S.; Wang, L. Comments on “Discrete fractional logistic map and its chaos” [Nonlinear Dyn. 75, 283–287 (2014)]. Nonlinear Dyn. 2019, 97, 897–901. [Google Scholar] [CrossRef]
- Edelman, M. Maps with power-law memory: Direct introduction and Eulerian numbers, fractional maps, and fractional difference maps. In Handbook of Fractional Calculus with Applications: Theory; Kochubei, A., Luchko, Y., Eds.; De Gruyter: Berlin, Germany, 2019; Volume 2, pp. 47–64. [Google Scholar]
- Petkevičiūtė-Gerlach, D.; Šmidtaitė, R.; Ragulskis, M. Intermittent bursting in the fractional difference logistic map of matrices. Int. J. Bifurc. Chaos 2022, 32, 2230002. [Google Scholar] [CrossRef]
- Kanso, A.; Smaoui, N. Logistic chaotic maps for binary numbers generations. Chaos Solitons Fractals 2009, 40, 2557–2568. [Google Scholar] [CrossRef]
- Wolf, A.; Swift, J.B.; Swinney, H.L.; Vastano, J.A. Determining Lyapunov exponents from a time series. Phys. D 1985, 16, 285–317. [Google Scholar] [CrossRef]
- Geist, K.; Parlitz, U.; Lauterborn, W. Comparison of different methods for computing Lyapunov exponents. Prog. Theor. Phys. 1990, 83, 875–893. [Google Scholar] [CrossRef]
- Barreira, L.; Pesin, Y.B. Lyapunov Exponents and Smooth Ergodic Theory; American Mathematical Society: Providence, RI, USA, 2002; pp. 61–74. [Google Scholar]
- Pollicott, M.; Vytnova, P. Accurate bounds on Lyapunov exponents for expanding maps of the interval. Commun. Math. Phys. 2023, 397, 485–502. [Google Scholar] [CrossRef]















| Aspect | Common Practices in Chaos-Based Applications | Interval-Based Evaluation Objective (This Study) |
|---|---|---|
| Parameter selection form | Single parameter point, often selected empirically or tuned for a specific task | Admissible parameter intervals identified to ensure robustness under finite-time iterations |
| Initial-condition treatment | Fixed or randomly chosen initial condition | Explicit evaluation across admissible ranges of initial conditions |
| Handling of periodic windows | Often ignored or avoided heuristically | Explicit distance-based exclusion with safety margins from periodic windows |
| Robustness criterion | Performance at the selected parameter point | Worst-case behavior within the admissible parameter interval |
| Validation strategy | Visual inspection or task-dependent numerical metrics | Conservative finite-time Lyapunov-exponent-based validation |
| Application scope | Performance tuning or heuristic enhancement | Robust parameter interval identification for practical applications |
Disclaimer/Publisher’s Note: The statements, opinions and data contained in all publications are solely those of the individual author(s) and contributor(s) and not of MDPI and/or the editor(s). MDPI and/or the editor(s) disclaim responsibility for any injury to people or property resulting from any ideas, methods, instructions or products referred to in the content. |
© 2026 by the authors. Licensee MDPI, Basel, Switzerland. This article is an open access article distributed under the terms and conditions of the Creative Commons Attribution (CC BY) license.
Share and Cite
Li, Y.; Allen-Zhao, Z.; Song, W.; Liu, S. Robust Parameter Interval Identification for a Logistic-Type Fractional Difference System. Fractal Fract. 2026, 10, 29. https://doi.org/10.3390/fractalfract10010029
Li Y, Allen-Zhao Z, Song W, Liu S. Robust Parameter Interval Identification for a Logistic-Type Fractional Difference System. Fractal and Fractional. 2026; 10(1):29. https://doi.org/10.3390/fractalfract10010029
Chicago/Turabian StyleLi, Yiwei, Zhihua Allen-Zhao, Wenhang Song, and Sanyang Liu. 2026. "Robust Parameter Interval Identification for a Logistic-Type Fractional Difference System" Fractal and Fractional 10, no. 1: 29. https://doi.org/10.3390/fractalfract10010029
APA StyleLi, Y., Allen-Zhao, Z., Song, W., & Liu, S. (2026). Robust Parameter Interval Identification for a Logistic-Type Fractional Difference System. Fractal and Fractional, 10(1), 29. https://doi.org/10.3390/fractalfract10010029

