Assessing the Impact of Air Quality and Socioeconomic Conditions on Respiratory Disease Incidence
Abstract
1. Introduction
- What are the associations between the AQI, ambient ozone, and NO2 concentrations, and the incidence rates of asthma, COPD, and tuberculosis?
- How do socioeconomic factors such as GDP per capita, tobacco smoking prevalence, and healthcare expenditure influence these associations?
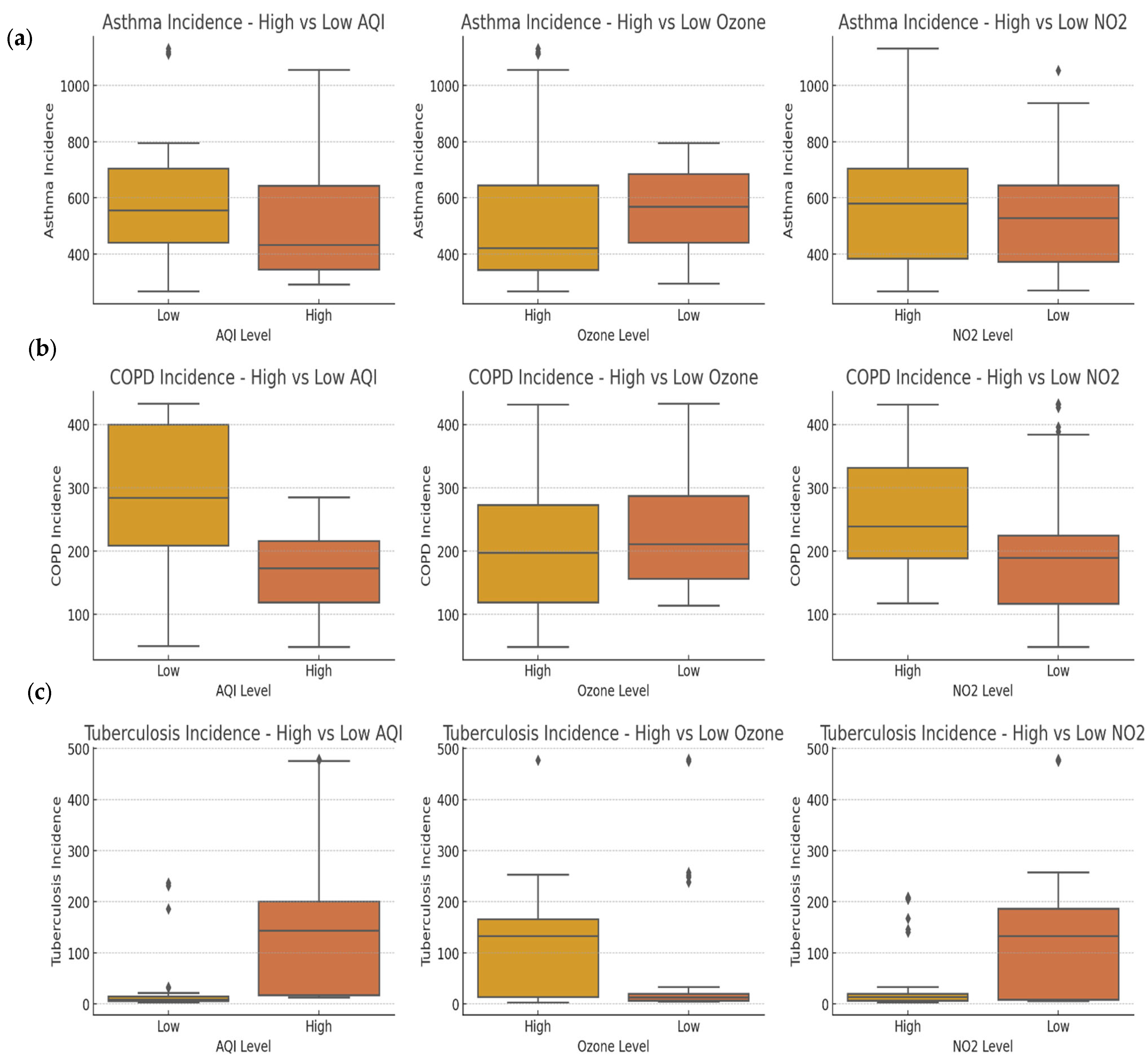
- How do periods of high and low air pollution affect the incidence of respiratory diseases such as tuberculosis, COPD, and asthma?
2. Methodology
2.1. Study Design
2.2. Variable Selection
2.3. Source of Data
- Air Pollution Data: AQI values were obtained from the IQAir World Air Quality (https://www.iqair.com/world-most-polluted-countries (accessed on 20 October 2024)) which compiles pollution data from governments and independent monitoring stations globally. Since this study used secondary AQI data, AQI value was not directly calculated but relied on the estimates provided by IQAir. These values are derived from ground-based air quality-monitoring stations, satellite observations, and machine learning models that integrate meteorological data to improve accuracy in areas with limited ground monitoring. While we do not have access to IQAir’s proprietary equations, their data are consistent with international AQI calculation standards, making them a reliable source for this study (https://www.iqair.com/ca/newsroom/airvisual_vs_nowcast?srsltid=AfmBOop4_mw1JwaOz-dkunr_PeMF2zJ8igqOd2D--jAFSoSR3nbN6Odq (accessed on 20 October 2024)). Ambient ozone and NO2 levels were sourced from the Global Burden of Disease GBD Results Tool (https://vizhub.healthdata.org/gbd-results/# (accessed on 20 October 2024)), which provides population-weighted averages, accounting for pollutant exposure across diverse demographics.
- Health Data: The incidence rates for asthma, COPD, and tuberculosis were obtained from the GBD Results Tool (https://vizhub.healthdata.org/gbd-results/# (accessed on 20 October 2024)). These rates were standardized across countries, covering all age groups and sexes.
- Socioeconomic Indicators: Data on GDP per capita and tobacco smoking prevalence were retrieved from the World Bank Database (https://databank.worldbank.org/source/world-development-indicators (accessed on 20 October 2024)) while healthcare expenditure statistics were sourced from the WHO Global Health Expenditure Database (https://www.who.int/data/gho/data/indicators/indicator-details/GHO/current-health-expenditure-(che)-per-capita-in-us-dollar (accessed on 20 October 2024)). These indicators provided essential context for controlling confounding effects on health outcomes.
2.4. Statistical Analysis
- β1, β2, and β3 represent the coefficients for air pollution markers.
- β4, β5, and β6 represent the coefficients for confounders.
- i represents each country.
2.5. Ethical Considerations
2.6. Potential Bias in Data Sources
3. Results
3.1. Summary Statistics
3.2. Correlation Analysis
3.2.1. Across All Countries
3.2.2. Country-by-Country Correlation
3.3. Socioeconomic Factors
3.3.1. Across All Countries
3.3.2. Country by Country
3.4. Multivariate Regression Analysis
3.5. ANOVA Analysis
3.6. Discussion
3.6.1. Associations Between Air Pollution Markers and the Respiratory Disease Incidence Rates
3.6.2. Regional Variability in the Impact of Air Pollution on Respiratory Disease Incidence
3.6.3. Socioeconomic Factors: Influence on the Association Between Air Pollution and Respiratory Diseases
3.6.4. Impact of Pollution Periods on Respiratory Diseases
3.7. Limitations of the Study
3.8. Recommendations for Future Research
4. Conclusions
Funding
Institutional Review Board Statement
Informed Consent Statement
Data Availability Statement
Acknowledgments
Conflicts of Interest
Appendix A
- Japan
- Australia
- Poland
- Thailand
- Macedonia
- Germany
- Cambodia
- Costa Rica
- New Zealand
- Canada
- Portugal
- Sweden
- Brazil
- Mexico
- Chile
- Colombia
- United Kingdom
- United States
- Argentina
- Turkey
- India
- Ethiopia
- Pakistan
- South Africa
- Nigeria
- Bangladesh
- Angola
References
- Fuller, R.; Landrigan, P.J.; Balakrishnan, K.; Bathan, G.; Bose-O’Reilly, S.; Brauer, M.; Caravanos, J.; Chiles, T.; Cohen, A.; Corra, L.; et al. Pollution and health: A progress update. Lancet Planet. Health 2022, 6, e535–e547. [Google Scholar] [CrossRef] [PubMed]
- Manisalidis, I.; Stavropoulou, E.; Stavropoulos, A.; Bezirtzoglou, E. Environmental and Health Impacts of Air Pollution: A Review. Front. Public Health 2020, 8, 505570. [Google Scholar] [CrossRef] [PubMed]
- Wiegman, C.H.; Li, F.; Ryffel, B.; Togbe, D.; Chung, K.F. Oxidative Stress in Ozone-Induced Chronic Lung Inflammation and Emphysema: A Facet of Chronic Obstructive Pulmonary Disease. Front. Immunol. 2020, 11, 1957. [Google Scholar] [CrossRef] [PubMed]
- Enweasor, C.; Flayer, C.H.; Haczku, A. Ozone-Induced Oxidative Stress, Neutrophilic Airway Inflammation, and Glucocorticoid Resistance in Asthma. Front. Immunol. 2021, 12, 631092. [Google Scholar] [CrossRef] [PubMed]
- Kim, M.-S.; Lim, Y.-H.; Oh, J.; Myung, J.; Han, C.; Bae, H.-J.; Kim, S.; Hong, Y.-C.; Lee, D.-W. Long-Term Ozone Exposure, COPD, and Asthma Mortality: A Retrospective Cohort Study in the Republic of Korea. Atmosphere 2024, 15, 1340. [Google Scholar] [CrossRef]
- Duan, R.; Hao, K.; Yang, T. Air pollution and chronic obstructive pulmonary disease. Chronic Dis. Transl. Med. 2020, 6, 260–269. [Google Scholar] [CrossRef]
- Wang, M.; Aaron, C.P.; Madrigano, J.; Hoffman, E.A.; Angelini, E.; Yang, J.; Laine, A.; Vetterli, T.M.; Kinney, P.L.; Sampson, P.D.; et al. Association Between Long-term Exposure to Ambient Air Pollution and Change in Quantitatively Assessed Emphysema and Lung Function. JAMA 2019, 322, 546–556. [Google Scholar] [CrossRef]
- Altug, H.; Lucht, S.; Tzivian, L.; Ogurtsova, K.; Ofenheimer, A.; Karimi, A.; Azizzadeh, M.; Mraz, T.; Wouters, E.F.; Hartl, S.; et al. Associations between long-term exposure to air pollution and lung function in the LEAD general population study. Eur. Respir. J. 2024, 64, PA3129. [Google Scholar] [CrossRef]
- Ko, U.W.; Kyung, S.Y. Adverse Effects of Air Pollution on Pulmonary Diseases. Tuberc. Respir. Dis. 2022, 85, 313–319. [Google Scholar] [CrossRef]
- Gaffney, A.W.; Himmelstein, D.U.; Christiani, D.C.; Woolhandler, S. Socioeconomic Inequality in Respiratory Health in the US From 1959 to 2018. JAMA Intern. Med. 2021, 181, 968–976. [Google Scholar] [CrossRef]
- Schikowski, T.; Sugiri, D.; Reimann, V.; Pesch, B.; Ranft, U.; Krämer, U. Contribution of smoking and air pollution exposure in urban areas to social differences in respiratory health. BMC Public Health 2008, 8, 179. [Google Scholar] [CrossRef] [PubMed]
- Rentschler, J.; Leonova, N. Global air pollution exposure and poverty. Nat. Commun. 2023, 14, 4432. [Google Scholar] [CrossRef] [PubMed]
- Amegah, A.K.; Jaakkola, J.J. Household air pollution and the sustainable development goals. Bull. World Health Organ. 2016, 94, 215–221. [Google Scholar] [CrossRef] [PubMed]
- Okhovat-Isfahani, B.; Bitaraf, S.; Mansournia, M.A.; Doosti-Irani, A. Inequality in the global incidence and prevalence of tuberculosis (TB) and TB/HIV according to the human development index. Med. J. Islam. Repub. Iran 2019, 33, 275–280. [Google Scholar] [CrossRef]
- Rodriguez, A.; Brickley, E.; Rodrigues, L.; Normansell, R.A.; Barreto, M.; Cooper, P.J. Urbanisation and asthma in low-income and middle-income countries: A systematic review of the urban–rural differences in asthma prevalence. Thorax 2019, 74, 1020–1030. [Google Scholar] [CrossRef]
- Jie, Y.; Ismail, N.H.; Jie, X.; Isa, Z.M. Do indoor environments influence asthma and asthma-related symptoms among adults in homes? A review of the literature. J. Formos. Med. Assoc. 2011, 110, 555–563. [Google Scholar] [CrossRef][Green Version]
- Laniado-Laborín, R. Smoking and chronic obstructive pulmonary disease (COPD). Parallel Epidemics of the 21st Century. Int. J. Environ. Res. Public Health 2009, 6, 209–224. [Google Scholar] [CrossRef]
- Adatia, A.; Wahab, M.; Shahid, I.; Moinuddin, A.; Killian, K.J.; Satia, I. Effects of cigarette smoke exposure on pulmonary physiology, muscle strength and exercise capacity in a retrospective cohort with 30,000 subjects. PLoS ONE 2021, 16, e0250957. [Google Scholar] [CrossRef]
- Yan, M.; Gong, J.; Liu, Q.; Li, W.; Duan, X.; Cao, S.; Li, S.; He, L.; Yin, Z.; Lin, W.; et al. Prevalence of respiratory diseases in relation to smoking rate in adults living in four Chinese cities: A comparison between 2017– 2018 and 1993–1996. J. Thorac. Dis. 2020, 12, 6315–6326. [Google Scholar] [CrossRef]
- Momtazmanesh, S.; Moghaddam, S.S.; Ghamari, S.-H.; Rad, E.M.; Rezaei, N.; Shobeiri, P.; Aali, A.; Abbasi-Kangevari, M.; Abbasi-Kangevari, Z.; Abdelmasseh, M.; et al. Global burden of chronic respiratory diseases and risk factors, 1990–2019: An update from the Global Burden of Disease Study 2019. EClinicalMedicine 2023, 59, 101936. [Google Scholar] [CrossRef]
- Ivankova, V.; Gavurova, B.; Khouri, S. Understanding the relationships between health spending, treatable mortality and economic productivity in OECD countries. Front. Public Health 2022, 10, 1036058. [Google Scholar] [CrossRef]
- Khomenko, S.; Cirach, M.; Pereira-Barboza, E.; Mueller, N.; Barrera-Gómez, J.; Rojas-Rueda, D.; de Hoogh, K.; Hoek, G.; Nieuwenhuijsen, M. Premature mortality due to air pollution in European cities: A health impact assessment. Lancet Planet. Health 2021, 5, e121–e134. [Google Scholar] [CrossRef] [PubMed]
- Park, J.; Kim, H.-J.; Lee, C.H.; Lee, H.W. Impact of long-term exposure to ambient air pollution on the incidence of chronic obstructive pulmonary disease: A systematic review and meta-analysis. Environ. Res. 2021, 194, 110703. [Google Scholar] [CrossRef] [PubMed]
- Huang, S.; Xiang, H.; Yang, W.; Zhu, Z.; Tian, L.; Deng, S.; Zhang, T.; Lu, Y.; Liu, F.; Li, X.; et al. Short-Term Effect of Air Pollution on Tuberculosis Based on Kriged Data: A Time-Series Analysis. Int. J. Environ. Res. Public Health 2020, 17, 1522. [Google Scholar] [CrossRef]
- Peptenatu, D.; Băloi, A.M.; Andronic, O.; Bolocan, A.; Cioran, N.; Gruia, A.K.; Grecu, A.; Panciu, T.C.; Georgescu, L.; Munteanu, I.; et al. Spatio-Temporal Pattern of Tuberculosis Distribution in Romania and Particulate Matter Pollution Associated With Risk of Infection. GeoHealth 2024, 8, e2023GH000972. [Google Scholar] [CrossRef]
- Dimakopoulou, K.; Douros, J.; Samoli, E.; Karakatsani, A.; Rodopoulou, S.; Papakosta, D.; Grivas, G.; Tsilingiridis, G.; Mudway, I.; Moussiopoulos, N.; et al. Long-term exposure to ozone and children’s respiratory health: Results from the RESPOZE study. Environ. Res. 2019, 182, 109002. [Google Scholar] [CrossRef]
- Saki, H.; Goudarzi, G.; Jalali, S.; Barzegar, G.; Farhadi, M.; Parseh, I.; Geravandi, S.; Salmanzadeh, S.; Yousefi, F.; Mohammadi, M.J. Study of relationship between nitrogen dioxide and chronic obstructive pulmonary disease in Bushehr, Iran. Clin. Epidemiol. Glob. Health 2020, 8, 446–449. [Google Scholar] [CrossRef]
- Wenig, J.R.; Erfurt, L.; Kroger, C.B.; Nowak, D. Smoking cessation in groups--who benefits in the long term? Health Educ. Res. 2013, 28, 869–878. [Google Scholar] [CrossRef]
- Zhang, Q.-Y.; Yang, D.-M.; Cao, L.-Q.; Liu, J.-Y.; Tao, N.-N.; Li, Y.-F.; Liu, Y.; Xu, T.-T.; Li, S.-J.; An, Q.-Q.; et al. Association between economic development level and tuberculosis registered incidence in Shandong, China. BMC Public Health 2020, 20, 1557. [Google Scholar] [CrossRef]
- Brunekreef, B.; Holgate, S.T. Air pollution and health. Lancet 2002, 360, 1233–1242. [Google Scholar] [CrossRef]
- Horne, B.D.; Joy, E.A.; Hofmann, M.G.; Gesteland, P.H.; Cannon, J.B.; Lefler, J.S.; Blagev, D.P.; Korgenski, E.K.; Torosyan, N.; Hansen, G.I.; et al. Short-Term Elevation of Fine Particulate Matter Air Pollution and Acute Lower Respiratory Infection. Am. J. Respir. Crit. Care Med. 2018, 198, 759–766. [Google Scholar] [CrossRef] [PubMed]
- Tran, H.M.; Tsai, F.-J.; Lee, Y.-L.; Chang, J.-H.; Chang, L.-T.; Chang, T.-Y.; Chung, K.F.; Kuo, H.-P.; Lee, K.-Y.; Chuang, K.-J.; et al. The impact of air pollution on respiratory diseases in an era of climate change: A review of the current evidence. Sci. Total. Environ. 2023, 898, 166340. [Google Scholar] [CrossRef] [PubMed]
- Wang, L.; Xie, J.; Hu, Y.; Tian, Y. Air pollution and risk of chronic obstructed pulmonary disease: The modifying effect of genetic susceptibility and lifestyle. EBioMedicine 2022, 79, 103994. [Google Scholar] [CrossRef] [PubMed]
- Murray, M.; Oxlade, O.; Lin, H.-H. Modeling social, environmental and biological determinants of tuberculosis. Int. J. Tuberc. Lung Dis. 2011, 15, 64–70. [Google Scholar] [CrossRef]
- Zhang, Z.; Zhao, M.; Zhang, Y.; Feng, Y. How does urbanization affect public health? New evidence from 175 countries worldwide. Front. Public Health 2023, 10, 1096964. [Google Scholar] [CrossRef]
- Epelle, E.I.; Macfarlane, A.; Cusack, M.; Burns, A.; Thissera, B.; Mackay, W.; Rateb, M.E.; Yaseen, M. Bacterial and fungal disinfection via ozonation in air. J. Microbiol. Methods 2022, 194, 106431. [Google Scholar] [CrossRef]
- Farooq, S.; Tizaoui, C. A critical review on the inactivation of surface and airborne SARS-CoV-2 virus by ozone gas. Crit. Rev. Environ. Sci. Technol. 2023, 53, 87–109. [Google Scholar] [CrossRef]
- Burney, P.G.; Patel, J.; Newson, R.; Minelli, C.; Naghavi, M. Global and regional trends in COPD mortality, 1990–2010. Eur. Respir. J. 2015, 45, 1239–1247. [Google Scholar] [CrossRef]
- Lai, T.-C.; Chiang, C.-Y.; Wu, C.-F.; Yang, S.-L.; Liu, D.-P.; Chan, C.-C.; Lin, H.-H. Ambient air pollution and risk of tuberculosis: A cohort study. Occup. Environ. Med. 2015, 73, 56–61. [Google Scholar] [CrossRef]




| Variable | Mean | Std Dev | Min | Max | 25th Percentile | 75th Percentile |
|---|---|---|---|---|---|---|
| AQI | 21.68 | 19.09 | 5.00 | 97.00 | 9.38 | 32.00 |
| Ozone (ppb) | 14.73 | 12.14 | 2.33 | 49.16 | 5.93 | 19.69 |
| NO2 (ppb) | 15.70 | 8.70 | 2.22 | 35.33 | 8.11 | 23.13 |
| Asthma (per 100k) | 558.40 | 220.84 | 266.37 | 1132.42 | 373.46 | 665.78 |
| COPD (per 100k) | 225.99 | 112.81 | 47.99 | 450.57 | 140.91 | 322.37 |
| Tuberculosis (per 100k) | 79.82 | 112.93 | 2.37 | 452.63 | 8.13 | 96.97 |
| GDP per capita (USD) | 20,172.06 | 20,648.17 | 758.30 | 71,056.00 | 2519.87 | 27,576.82 |
| Health Expenditure (USD) | 2191.69 | 2811.98 | 23.85 | 12,051.10 | 120.43 | 3030.46 |
| Pollutant | Disease | Correlation | p-Value |
|---|---|---|---|
| AQI | Asthma | −0.31975 | <0.001 |
| AQI | COPD | −0.34001 | <0.001 |
| AQI | Tuberculosis | 0.376927 | <0.001 |
| OZONE | Asthma | −0.25681 | 0.007297 |
| OZONE | COPD | −0.26938 | 0.004815 |
| OZONE | Tuberculosis | 0.376529 | <0.001 |
| NO2 | Asthma | 0.026574 | 0.78485 |
| NO2 | COPD | 0.332522 | <0.001 |
| NO2 | Tuberculosis | −0.40483 | <0.001 |
| Country | Pollutant | Disease | Correlation | p-Value |
|---|---|---|---|---|
| Japan | AQI | Tuberculosis | 0.986431 | 0.013569 |
| Poland | OZONE | COPD | 0.977646 | 0.022354 |
| Poland | OZONE | Tuberculosis | −0.98662 | 0.013381 |
| Thailand | AQI | COPD | −0.9902 | 0.009804 |
| Thailand | OZONE | COPD | 0.95613 | 0.04387 |
| Macedonia | AQI | COPD | −0.95414 | 0.045863 |
| Macedonia | AQI | Tuberculosis | 0.974516 | 0.025484 |
| Macedonia | OZONE | COPD | −0.99894 | 0.001062 |
| Germany | AQI | COPD | −0.98862 | 0.011379 |
| Cambodia | OZONE | COPD | 0.997751 | 0.002249 |
| Cambodia | OZONE | Tuberculosis | −0.96493 | 0.035073 |
| Costa Rica | AQI | Asthma | 0.985665 | 0.014335 |
| Costa Rica | AQI | COPD | −0.9583 | 0.041697 |
| Costa Rica | OZONE | Asthma | −0.99545 | 0.004553 |
| Costa Rica | OZONE | COPD | 0.980057 | 0.019943 |
| New Zealand | AQI | Tuberculosis | −0.99361 | 0.006389 |
| New Zealand | OZONE | Tuberculosis | 0.991269 | 0.008731 |
| Portugal | AQI | Asthma | 0.995486 | 0.004514 |
| Portugal | AQI | Tuberculosis | 0.964202 | 0.035798 |
| Portugal | OZONE | COPD | −0.9902 | 0.009804 |
| Sweden | OZONE | COPD | −0.961 | 0.039002 |
| Brazil | AQI | COPD | −0.95032 | 0.049679 |
| Brazil | AQI | Tuberculosis | 0.982348 | 0.017652 |
| Brazil | OZONE | COPD | 0.991433 | 0.008567 |
| Brazil | OZONE | Tuberculosis | −0.99982 | 0.000178 |
| Mexico | OZONE | Asthma | 0.985579 | 0.014421 |
| Mexico | OZONE | COPD | −0.97464 | 0.025362 |
| Chile | AQI | Asthma | −0.95829 | 0.041708 |
| Colombia | OZONE | Asthma | −0.96736 | 0.032645 |
| Colombia | OZONE | COPD | 0.998609 | 0.001391 |
| Colombia | OZONE | Tuberculosis | −0.99968 | 0.00032 |
| United States | OZONE | COPD | −0.99959 | 0.00041 |
| United States | OZONE | Tuberculosis | −0.98343 | 0.01657 |
| Argentina | AQI | Tuberculosis | 0.953342 | 0.046658 |
| Argentina | OZONE | Asthma | −0.96261 | 0.037394 |
| Argentina | OZONE | COPD | 0.972659 | 0.027341 |
| Argentina | OZONE | Tuberculosis | −0.95793 | 0.042072 |
| Turkey | OZONE | COPD | −0.99576 | 0.004239 |
| India | OZONE | COPD | 0.996541 | 0.003459 |
| India | OZONE | Tuberculosis | 0.983482 | 0.016518 |
| Ethiopia | OZONE | COPD | 0.99897 | 0.00103 |
| Pakistan | OZONE | Tuberculosis | −0.99273 | 0.007273 |
| Pakistan | NO2 | COPD | −0.95445 | 0.045552 |
| South Africa | OZONE | Asthma | −0.95643 | 0.043567 |
| South Africa | OZONE | COPD | 0.992937 | 0.007063 |
| Nigeria | OZONE | COPD | 0.999815 | 0.000185 |
| Nigeria | OZONE | Tuberculosis | −0.99837 | 0.00163 |
| Bangladesh | AQI | Asthma | 0.974085 | 0.025915 |
| Bangladesh | OZONE | COPD | 0.998054 | 0.001946 |
| Bangladesh | OZONE | Tuberculosis | −0.96288 | 0.037117 |
| Angola | AQI | COPD | −0.99351 | 0.00649 |
| Angola | AQI | Tuberculosis | 0.993709 | 0.006291 |
| Angola | OZONE | Tuberculosis | 0.950886 | 0.049114 |
| Socioeconomic Factor | Disease | Coeff (p-Value) |
|---|---|---|
| GDP per capita | Asthma | 0.18 (0.12) |
| GDP per capita | COPD | 0.77 (<0.001) |
| GDP per capita | Tuberculosis | −0.55 (<0.001) |
| Tobacco use | Asthma | −0.29 (0.01) |
| Tobacco use | COPD | 0.31 (0.005) |
| Tobacco use | Tuberculosis | 0.01 (0.95) |
| Health expenditure | Asthma | 0.26 (0.02) |
| Health expenditure | COPD | 0.74 (<0.001) |
| Health expenditure | Tuberculosis | −0.48 (<0.001) |
| Country | Confounder | Disease | Corr (p-Value) |
|---|---|---|---|
| Turkey | GDP/capita | COPD | −0.99 (0.04) |
| Angola | GDP/capita | COPD | −0.99 (0.007) |
| Ethiopia | GDP/capita | COPD | 0.99 (0.01) |
| Chile | GDP/capita | COPD | −0.99 (0.05) |
| Australia | GDP/capita | Tuberculosis | 0.99 (0.02) |
| New Zealand | GDP/capita | Tuberculosis | −0.99 (0.001) |
| Bangladesh | GDP/capita | Tuberculosis | −0.99 (0.05) |
| Australia | Tobacco use | Asthma | 0.99 (0.04) |
| Poland | Tobacco use | Asthma | −0.99 (0.003) |
| Sweden | Tobacco use | Asthma | −0.99 (0.009) |
| New Zealand | Tobacco use | Asthma | 0.99 (0.03) |
| India | Health expenditure | COPD | 0.99 (0.01) |
| Ethiopia | Health expenditure | COPD | 0.99 (0.03) |
| Thailand | Health expenditure | COPD | 0.99 (0.04) |
| Bangladesh | Health expenditure | COPD | 0.99 (0.04) |
| Bangladesh | Health expenditure | Tuberculosis | −0.99 (0.02) |
| Pollution | Asthma β (p-Value) | COPD β (p-Value) | Tuberculosis β (p-Value) |
| AQI | −4.33 (0.56) | −7.34 (0.0087) | 0.29 (0.907) |
| Ozone | 2.997 (0.552) | 2.05 (0.258) | 4.31 (0.0673) |
| NO2 | 3.937 (0.211) | 1.26 (0.254) | −5.10 (<0.001) |
| Disease | Pollution Level | F-Statistic (p-Value) |
|---|---|---|
| Asthma | AQI_level | 1.45 (0.23) |
| Asthma | OZONE_level | 0.001 (0.98) |
| Asthma | NO2_level | 1.92 (0.17) |
| COPD | AQI_level | 42.84 (<0.001) |
| COPD | OZONE_level | 2.95 (0.09) |
| COPD | NO2_level | 15.32 (<0.001) |
| Tuberculosis | AQI_level | 38.35 (<0.001) |
| Tuberculosis | OZONE_level | 5.27 (0.02) |
| Tuberculosis | NO2_level | 20.09 (<0.001) |
Disclaimer/Publisher’s Note: The statements, opinions and data contained in all publications are solely those of the individual author(s) and contributor(s) and not of MDPI and/or the editor(s). MDPI and/or the editor(s) disclaim responsibility for any injury to people or property resulting from any ideas, methods, instructions or products referred to in the content. |
© 2025 by the author. Licensee MDPI, Basel, Switzerland. This article is an open access article distributed under the terms and conditions of the Creative Commons Attribution (CC BY) license (https://creativecommons.org/licenses/by/4.0/).
Share and Cite
Alkhanani, M.F. Assessing the Impact of Air Quality and Socioeconomic Conditions on Respiratory Disease Incidence. Trop. Med. Infect. Dis. 2025, 10, 56. https://doi.org/10.3390/tropicalmed10020056
Alkhanani MF. Assessing the Impact of Air Quality and Socioeconomic Conditions on Respiratory Disease Incidence. Tropical Medicine and Infectious Disease. 2025; 10(2):56. https://doi.org/10.3390/tropicalmed10020056
Chicago/Turabian StyleAlkhanani, Mustfa Faisal. 2025. "Assessing the Impact of Air Quality and Socioeconomic Conditions on Respiratory Disease Incidence" Tropical Medicine and Infectious Disease 10, no. 2: 56. https://doi.org/10.3390/tropicalmed10020056
APA StyleAlkhanani, M. F. (2025). Assessing the Impact of Air Quality and Socioeconomic Conditions on Respiratory Disease Incidence. Tropical Medicine and Infectious Disease, 10(2), 56. https://doi.org/10.3390/tropicalmed10020056
