Next Article in Journal
The Challenges of Firefighters’ Interventions in Old Urban Centres: A Case Study
Next Article in Special Issue
Climate Change and Urban Resilience in Smart Cities: Adaptation and Mitigation Strategies in Brazil and Germany
Previous Article in Journal
The Interplay Between Climate and Urban Expansion on Building Energy Demand in Morocco
Previous Article in Special Issue
Digital Revolution in Spatial Planning: The Potential of Geolocation Data in Czechia
 
 
Font Type:
Arial Georgia Verdana
Font Size:
Aa Aa Aa
Line Spacing:
Column Width:
Background:
Article

The Future Is in Sustainable Urban Tourism: Technological Innovations, Emerging Mobility Systems and Their Role in Shaping Smart Cities

Faculty of Tourism and Hospitality Management, Singidunum University, 11000 Belgrade, Serbia
*
Author to whom correspondence should be addressed.
Urban Sci. 2025, 9(5), 169; https://doi.org/10.3390/urbansci9050169
Submission received: 5 April 2025 / Revised: 9 May 2025 / Accepted: 13 May 2025 / Published: 15 May 2025
(This article belongs to the Special Issue Sustainable Urbanization, Regional Planning and Development)

Abstract

This research focuses on the impact of smart city technologies on urban tourism, specifically analyzing Amsterdam, Barcelona, and Vienna, while also considering implications for smart tourism development in Belgrade and other Serbian cities. The aim of the study was to examine how smart city technologies contribute to enhancing the efficiency, digital engagement, and sustainability of urban tourism. A representative sample of 1239 tourists was surveyed, with a balanced gender representation and a predominance of younger respondents, indicating that smart tourism initiatives should cater to tech-savvy travelers. The study employed a questionnaire with 31 statements ranked on a five-point Likert scale, and factor analysis and Structural Equation Modeling (SEM) identified three key dimensions: smart efficiency, smart travel, and digital enhancement. These factors highlight how smart technologies optimize urban mobility, enhance travel experiences, and improve tourist engagement. The research confirms the initial hypothesis that integrating smart city technologies enhances urban tourism efficiency and sustainability. Additionally, the study adopts a positivist epistemological approach, emphasizing empirical analysis and statistical validation to derive generalizable findings. The results provide valuable insights for policymakers and stakeholders aiming to develop sustainable urban tourism strategies in Serbian cities.

1. Introduction

Technological innovations have significantly transformed sustainable urban tourism, enhancing the overall visitor experience while promoting eco-friendly practices [1,2]. Smart technologies, such as the Internet of Things (IoT), are being employed to streamline operations and provide information that enhances visitor engagement [3]. The intersection of technological innovations and emerging mobility systems plays a critical role in shaping smart cities that are environmentally responsible and economically viable [4]. The allure of smart cities for tourists lies in their multifaceted approach to urban living, characterized by enhanced connectivity, innovative amenities, and a strong emphasis on sustainability and safety [5]. By integrating advanced technologies into their infrastructure and services, these cities not only improve the overall travel experience but also cater to the evolving preferences of contemporary travelers [6]. As more cities embrace the principles of smart urban development, it is evident that the future of tourism will increasingly be intertwined with the capabilities and offerings of smart cities, making them desirable destinations for travelers seeking convenience, innovation, and a commitment to sustainability [7]. By examining these elements in detail, it becomes evident that the future of urban tourism lies in the synergy between technological advancements and sustainable practices, paving the way for cities that cater to both residents and tourists alike [8].
According to Tavmen [9], mobile applications equipped with real-time navigation and information about public transportation options have become essential tools for tourists, with platforms such as Citymapper providing seamless updates to help visitors navigate urban landscapes efficiently. These technological advancements not only enhance the visitor experience but also encourage more sustainable behaviors, as they reduce reliance on traditional forms of tourism that may contribute to congestion and environmental degradation [10]. Emerging mobility systems are fundamentally reshaping urban tourism by offering integrated solutions that connect public transportation services with tourism [11,12,13]. The trend towards multi-modal transport systems is indicative of a growing recognition of the need for seamless travel experiences [14]. According to Shamsuzzoha et al. [15], Cities like Singapore, Helsinki and London have successfully implemented integrated transport solutions that allow tourists to move effortlessly between different modes of transportation—such as buses, trains, and bike-sharing systems—using a single payment method [16]. This integration not only simplifies the travel experience but also encourages the use of public transportation over private vehicles, reducing the carbon footprint associated with tourism [17]. According to Chen [18], the development of dedicated tourist transportation services, such as hop-on–hop-off buses or guided cycling tours, exemplifies how cities can create personalized experiences that highlight local attractions while promoting sustainable travel options. According to Lee and Liao [19], case studies of cities that have embraced these emerging mobility systems demonstrate their effectiveness in enhancing urban tourism, fostering a more interconnected and environmentally conscious travel landscape.
The role of smart cities in shaping sustainable urban tourism extends beyond technological innovations and mobility systems; it encompasses comprehensive urban planning and infrastructure development tailored to the needs of both residents and tourists [20]. Effective urban planning prioritizes the creation of public spaces that are inviting and accessible, integrating parks, plazas, and cultural sites into the urban fabric [21]. According to Sevtsuk and Alhassan [22], the transformation of New York City’s Times Square into a pedestrian-friendly zone illustrates the potential of urban design to enhance the visitor experience while benefiting local communities. According to Russo [23], the implementation of green spaces and sustainable architecture is crucial in promoting eco-friendly tourism practices. Cities like Copenhagen have set a benchmark with their commitment to sustainability, featuring green roofs, energy-efficient buildings, and extensive cycling infrastructure [24]. Such initiatives not only attract environmentally conscious tourists but also improve the quality of life for residents [25,26,27]. By designing urban environments that prioritize sustainability, cities can foster a tourism model that supports local economies while protecting the environment for future generations [28].
This study examines the impact of smart city technologies on urban tourism, focusing on their role in enhancing efficiency, digital engagement, and overall traveler satisfaction. The research is based on an initial hypothesis that the integration of smart city solutions contributes to a seamless and sustainable smart tourism ecosystem, positioning smart tourism as the future of urban tourism. A sample of 1239 tourists from three major European urban centers—Amsterdam, Barcelona, and Vienna—was analyzed to assess the extent to which smart technologies influence tourism dynamics. The findings highlight three key dimensions: smart efficiency, smart travel, and digital enhancement, which collectively account for 87.003% of the total variance in urban tourism experiences. Smart efficiency pertains to the optimization of urban mobility and travel planning through technology, thereby improving the overall tourist experience. Smart travel encompasses the integration of advanced digital solutions that enhance safety, interactivity, and sustainability in urban tourism. Digital enhancement underscores the significance of digital infrastructure investments and personalized services in meeting the evolving needs of modern travelers. A Structural Equation Model (SEM) further illustrates the interdependence of these factors, revealing that smart efficiency has a significant influence on smart travel, while digital enhancement drives further investment in smart city technologies despite existing challenges.
Amsterdam, Barcelona, and Vienna serve as exemplary models of smart urban tourism, demonstrating the effectiveness of integrated digital solutions in improving city experiences. Amsterdam’s smart energy grids and cycling infrastructure promote sustainability [29,30,31], while Barcelona’s intelligent waste management and environmental monitoring systems foster community engagement [32]. Vienna’s efficient public transport networks and citizen-inclusive digital platforms showcase the potential of technology-driven urban planning [33,34]. The study’s primary objective was to apply these insights to the development of smart tourism in Belgrade and other Serbian cities, addressing key challenges such as fragmented digital infrastructure, limited integration of smart technologies, concerns over data privacy, and financial constraints. The aim of this study was also to explore how the integration of smart city technologies enhances urban tourism, with a particular focus on improving efficiency, digital engagement, sustainability, and traveler satisfaction. By analyzing data from three leading European smart cities—Amsterdam, Barcelona, and Vienna—this research identified key dimensions of smart tourism and assesses their applicability for developing smart tourism initiatives in Belgrade and other Serbian cities.

2. Literature Review

The concept of smart cities has emerged as a transformative approach to urban development, aiming to enhance the quality of life for residents while promoting sustainable practices [35]. Characterized by the integration of advanced technologies, smart cities leverage data and connectivity to optimize urban services and citizen engagement [36]. As urbanization accelerates globally—over half of the world’s population now lives in cities—the need for innovative solutions to address urban challenges becomes increasingly urgent [37]. Smart cities are defined as urban areas that utilize digital technology and data-driven solutions to improve the quality of life for their residents [38]. Key characteristics include technology integration, sustainability, and active citizen engagement. Technology integration involves the seamless use of information and communication technologies (ICT) to manage city resources and services effectively [39,40]. According to Prateeppornnarong [41], cities like Barcelona have adopted integrated systems that connect transportation, energy, and public services, allowing for real-time data sharing and responsiveness [42]. Sustainability is another cornerstone of smart city initiatives, as cities strive to minimize their ecological footprint through energy-efficient buildings, renewable energy sources, and green spaces. According to Suhardono et al. [43], citizen engagement is fundamental to the smart city model, as it encourages active participation in decision-making processes and fosters a sense of community ownership. The city of Amsterdam exemplifies this characteristic through its citizen-centric approach, which includes initiatives that involve residents in urban planning and development projects, thereby enhancing civic responsibility and social cohesion [44,45]. According to Riepl et al. [46], Vienna stands out as a smart city leader by integrating digital innovation, sustainability, and citizen participation into urban planning. The city’s holistic approach ensures efficient public services, eco-friendly infrastructure, and an inclusive governance model, making it a benchmark for other cities aiming to enhance urban life through smart technologies [47].
The development of smart cities is heavily reliant on various technologies that facilitate efficient urban management. One of the most pivotal technologies is the Internet of Things (IoT), which encompasses a network of interconnected devices that communicate and exchange data [48]. According to Chiradeja and Yoomak [49], smart sensors deployed in public spaces can monitor traffic patterns, air quality, and energy consumption, providing city planners with valuable insights for informed decision-making. According to Liu et al. [50], big data analytics plays a crucial role in resource allocation and strategic planning, enabling municipalities to analyze vast amounts of data collected from various sources to identify trends and optimize services. According to Olivier et al. [51], New York City uses data analytics to enhance its public transportation systems, allowing for more efficient routing and scheduling based on real-time commuter patterns. Furthermore, smart infrastructure—encompassing transportation, energy, and waste management systems—is essential for the functionality of smart cities. Initiatives such as smart grids that optimize energy distribution and intelligent waste management systems that monitor waste levels demonstrate how technology can lead to more sustainable urban environments [52].
The concept of smart cities has emerged as a transformative phenomenon in urban development, blending technology with urban living to enhance the quality of life for residents and visitors alike. One of the most compelling reasons tourists gravitate towards smart cities is the enhanced connectivity and accessibility they offer. The integration of advanced transportation systems, such as automated public transit options, electric vehicle charging stations, and bike-sharing programs, allows visitors to navigate urban landscapes with ease [53]. According to Xanthopoulos et al. [54], cities like Amsterdam have successfully implemented integrated transportation hubs, where travelers can effortlessly transfer between buses, trams, and trains while utilizing real-time data applications to plan their journeys efficiently. These mobile applications provide crucial information, such as live updates on transit schedules and traffic conditions, which not only saves time but also enhances the overall travel experience [55]. According to Bösehans et al. [56], smart cities are increasingly improving public transportation options through the introduction of electric buses and autonomous shuttles, reducing wait times and increasing reliability. This emphasis on connectivity ensures that tourists can explore various attractions without the stress typically associated with urban travel, making their stay both enjoyable and convenient [57,58].
In addition to enhanced connectivity, smart cities provide innovative amenities and services that cater to the diverse needs of modern tourists. Smart accommodation options, such as hotels equipped with high-tech features like keyless entry, personalized room settings, and voice-activated assistants, offer guests a unique and luxurious experience [59]. According to Diwan [60], hotels in smart cities often leverage Internet of Things (IoT) technology to allow guests to control lighting, temperature, and entertainment systems directly from their smartphones. Moreover, the availability of smart public services, such as efficient waste management and energy-efficient buildings, contributes to the overall attractiveness of these urban environments [61]. Tourists can enjoy clean and well-maintained public spaces, which enhance their overall experience. According to Li et al. [62], smart cities often leverage digital platforms to provide access to entertainment and cultural experiences, enabling visitors to explore local art, cuisine, and history through augmented reality applications or virtual tours. This innovative approach not only enriches the tourist experience but also empowers travelers to engage with the local culture in meaningful ways [63].
Sustainability and safety are paramount in the appeal of smart cities, as they increasingly prioritize eco-friendly practices and advanced safety measures. The implementation of green spaces, such as urban parks and community gardens, not only enhances the aesthetic appeal of these cities but also promotes biodiversity and environmental sustainability. Initiatives like green roofs and solar-powered buildings contribute to reducing the urban heat island effect and lowering energy consumption, which resonate strongly with environmentally conscious travelers [64]. According to Zakaria and Yusof [65], smart cities employ enhanced safety measures through smart surveillance systems and emergency services that utilize real-time data analytics to respond swiftly to incidents. According to Bolívar et al. [66], cities like Barcelona have integrated smart streetlights that can detect unusual activity and alert local authorities. This commitment to safety fosters a sense of security among tourists, allowing them to explore the city with peace of mind [67].
Amsterdam, Barcelona, Vienna, and Belgrade each present unique geographical, cultural, and infrastructural contexts that significantly shape tourists’ interactions with smart city technologies. These differences are critical for interpreting the study’s findings, as the cultural and urban fabric of each city can profoundly influence tourists’ expectations and experiences. Known for its extensive cycling infrastructure and commitment to sustainable urban mobility, Amsterdam has developed a highly integrated public transport network, complemented by innovative digital tools for real-time navigation and eco-friendly travel [68]. This focus on sustainability and active transportation strongly aligns with the smart efficiency factor, as tourists in Amsterdam may prioritize seamless, green, and tech-enabled mobility solutions. As a Mediterranean hub for tech innovation and cultural tourism, Barcelona blends advanced digital infrastructure with rich historical sites, making it a prime location for testing smart tourism technologies [69]. The city’s focus on smart governance, IoT applications, and mobile-centric visitor services aligns well with the digital enhancement factor, as tourists often rely on mobile apps for local recommendations, digital ticketing, and personalized travel experiences. Vienna’s historical and cultural heritage, combined with its efficient public transport system and commitment to digital governance, creates a unique smart tourism environment [70]. The city’s emphasis on preserving cultural authenticity while integrating smart technologies makes it a strong example of balancing tradition and innovation, aligning closely with both the smart travel and digital enhancement factors. These contextual differences underscore the need for adaptive smart tourism strategies that consider local cultural norms, infrastructure capacities, and technological readiness [71]. While Amsterdam’s emphasis on sustainability may drive higher engagement with eco-friendly travel apps, tourists in Barcelona might prioritize digital services that enhance social connectivity and personalized cultural experiences. Meanwhile, Vienna’s focus on cultural preservation may require smart tourism solutions that respect heritage sites while enhancing visitor engagement. Similar initiatives can also be observed in Central and Eastern Europe. According to Neumannová [72,73], the development of the Špitálka Smart District in Brno, Czech Republic, serves as an example of how post-socialist cities are addressing challenges related to urban transformation, infrastructure modernization, and governance adaptation. By incorporating such regionally relevant examples alongside the global best practices, Serbian cities can better align their smart tourism strategies with the specific socio-economic and institutional context they face, ensuring more feasible and sustainable outcomes. To fully grasp the urgency and strategic importance of integrating smart city solutions into urban tourism and development agendas, it is essential to consider the broader global context of the ongoing polycrisis—a term denoting the synergistic interplay of multiple, overlapping crises affecting contemporary society. This perspective is particularly relevant as cities like Belgrade, Novi Sad, and Niš navigate complex challenges that extend beyond tourism management. As Matlovič and Matlovičová [74] emphasize in their comprehensive ontological and epistemological delineation of the polycrisis phenomenon in the Anthropocene, cities must now confront the simultaneous effects of energy crises, climate crises, economic crises, social crises, public health crises, and governance crises. Recognizing this interconnected reality underscores the need for smart city technologies that not only enhance tourist experiences but also bolster urban resilience, reduce resource dependency, and strengthen local economies, making Serbian cities more adaptive and competitive in a rapidly changing world. Belgrade’s emerging smart tourism ecosystem will benefit from lessons learned in these established smart cities, with a particular focus on infrastructure modernization and digital literacy. Future research should further explore these nuances to enhance the cross-cultural applicability of smart tourism strategies, ensuring that technological solutions are appropriately tailored to the diverse contexts of different urban environments.

3. Materials and Methods

The subject of this research was “The Role of Smart City Technologies in Enhancing Urban Tourism: A Comparative Analysis of Amsterdam, Barcelona, and Vienna with Implications for Smart Tourism Development in Belgrade and Serbian Cities”. It accurately reflects the study’s focus on the impact of smart city technologies on urban tourism, using Amsterdam, Barcelona, and Vienna as case studies, while also considering their implications for the development of smart tourism in Belgrade and other Serbian cities.
According to Ahmed (2024), [75] the ideal sample size for cities such as Amsterdam (about 20 million tourists annually), Vienna (about 8 million tourists annually) and Barcelona (about 10 million tourists annually), (confidence level of 95% and margin of error of 5%) is between 385 and 400 respondents per city. Therefore, the samples of 441 respondents from Amsterdam, 395 respondents from Vienna and 403 respondents from Barcelona are sufficient and representative. The sample consists of 45.0% male (n = 557) and 55.0% female (n = 682) respondents, indicating a slight predominance of female participants in the study. This balanced gender representation suggests that the findings can be generalized across both male and female tourists with minimal gender bias. The age structure of the respondents shows that the largest proportion belongs to the 18–24 age group (56.3%), followed by the 25–34 group (14.7%). Other age groups are less represented: 35–44 (5.8%), 45–54 (7.7%), 55–64 (6.8%), and 65 and above (8.7%). The high representation of younger tourists (over 70% under 35) significantly influenced the results, as this demographic tends to exhibit higher digital fluency and greater comfort with technology, which directly impacts their engagement with smart efficiency, smart travel, and digital enhancement. Younger tourists are more likely to utilize mobile apps, digital payments, and interactive platforms, aligning closely with the smart efficiency and digital enhancement dimensions, which emphasize seamless travel, real-time information, and personalized experiences. In contrast, older respondents (35 and above) may have less frequent interactions with these technologies, potentially due to lower digital literacy or concerns about data privacy, affecting their perception of smart travel and digital enhancement. This generational divide highlights the importance of designing inclusive smart tourism solutions that cater to both digital natives and older, less tech-savvy travelers.
Most respondents reported having completed at least secondary education (46.7%), with 39.0% holding higher education degrees, and 10.4% possessing a master’s or doctoral degree. A smaller proportion (3.9%) had only primary education. This educational distribution is a critical factor influencing the results, as higher education levels are generally associated with greater digital literacy and openness to technological innovation. Educated tourists are more likely to appreciate the benefits of smart efficiency, including optimized travel planning and real-time updates, while also valuing the personalized services offered through digital enhancement. This group may also demonstrate a higher willingness to engage with advanced smart tourism features, such as AI-driven recommendations and augmented reality experiences. However, the small proportion of respondents with only primary education underscores the need for user-friendly and accessible technology solutions that bridge the digital divide, ensuring that smart tourism strategies remain inclusive and effective across all educational backgrounds.
Given that more than 70% of the sample is under 35 years old, smart tourism initiatives should be designed with younger, tech-savvy travelers in mind, emphasizing mobile applications, interactive digital platforms, and AI-driven solutions. The slight predominance of female tourists suggests that smart city solutions should cater equally to both genders, potentially considering aspects such as safety in urban travel and accessibility. With a high proportion of well-educated respondents, there is a strong potential for digital literacy and openness to advanced smart city technologies, which could be leveraged for personalized tourism experiences. Overall, the demographic structure of the sample suggests that urban smart tourism strategies should be youth-oriented, highly digitalized, and accessible to an educated audience, while also ensuring inclusivity for older and less tech-savvy travelers. Amsterdam, Barcelona, and Vienna are all leading smart tourism destinations, each exhibiting distinct cultural, geographical, and infrastructural characteristics that likely influence tourists’ interactions with smart city technologies. Amsterdam’s extensive cycling infrastructure and focus on sustainable mobility may shape tourist expectations around smart mobility differently than the more historical and culturally dense environment of Vienna, or the Mediterranean and tech-driven tourism approach in Barcelona. Understanding these contextual differences is critical for interpreting the study’s findings, as the cultural and urban fabric of each city can significantly impact tourists’ perceptions and use of smart technologies. Future research should further explore these nuances to enhance the cross-cultural applicability of smart tourism strategies.
The paper started from the initial hypothesis that the integration of smart city technologies enhances the efficiency, travel experience, and digital engagement of tourists, ultimately shaping a seamless and sustainable smart tourism ecosystem, indicating that the future of urban tourism lies in sustainable smart tourism. In order to prove the initial hypothesis, it was necessary to conduct research on a representative sample of respondents. The authors constructed a questionnaire of 31 statements for which it was necessary to rank the answers on a 5-point Likert scale (1—strongly disagree; 5—Strongly agree). The research lasted from March 2024 to March 2025, and the authors stayed in these cities on several occasions. Participants were approached at tourist hotspots and hotel receptions in each city, where reception staff were asked to distribute the questionnaire to guests upon check-in or during their stay. However, the distribution process through hotel receptions may have introduced a degree of selection bias, as tourists staying in formal accommodations may differ in travel behavior and digital engagement from those using alternative lodging options such as Airbnb or hostels. The study acknowledges this potential limitation in sampling randomness and generalizability. To mitigate bias, efforts were made to include a wide range of accommodation types and tourist areas (over 20 hotels).
The study employed factor analysis to identify key dimensions that characterize the impact of smart city technologies on urban tourism. After analyzing the data, the responses were grouped into three distinct factors: smart efficiency, smart travel, and digital enhancement. These factors represent the underlying structure of tourist perceptions regarding the role of smart technologies in enhancing urban travel experiences. Smart efficiency encompasses the ways in which smart city solutions optimize urban mobility, improve trip planning, and enhance the overall efficiency of travel. Smart travel reflects the integration of advanced technological solutions that contribute to a safer, more interactive, and sustainable urban tourism experience. Digital enhancement highlights the role of digital infrastructure and personalized services in shaping tourist engagement and satisfaction. By applying factor analysis, the study was able to reduce the complexity of the dataset while identifying meaningful patterns in tourist experiences.
Χ i = λ 1 F 1 + λ 2 F 2 + λ 3 F 3 + ε i
where Χ i represents observed variables, λ are factor loadings, F are the extracted factors and ε is the error term.
This statistical approach confirmed that the selected factors explain a significant portion of the variance in how tourists perceive and interact with smart city technologies. The findings provide a robust framework for understanding the relationship between technology and urban tourism, enabling further exploration of the interconnections between these factors through Structural Equation Modeling (SEM). Ultimately, this methodological approach strengthens the study’s conclusions by ensuring that the identified dimensions are data-driven and statistically validated.
Y = βX + ζY
where Y (dependent variable) is the outcome variable being studied, meaning the factor or concept influenced by the independent variables. In our research, Y could represent overall smart tourism development, tourist satisfaction, or another key outcome related to smart city technologies in urban tourism. X (independent variables) represents the predictors or explanatory variables that influence Y. In our study, X likely represents the three identified factors: smart efficiency, smart travel, and digital enhancement. β (path coefficient) represents the strength and direction of the relationship between the independent variables (X) and the dependent variable (Y). Higher β values indicate a stronger influence. ζ (error term) accounts for the unexplained variance in Y, meaning the portion of the dependent variable that is not predicted by X due to measurement errors, unobserved factors, or random variation.
Y = β1(Smart Efficiency) + β2 (Smart Travel) + β3 (Digital Enhancement) + ζY
where Y could be the overall smart tourism experience or urban tourism efficiency. β1, β2 and β3 are the respective path coefficients measuring how strongly each factor influences the dependent variable. ζ captures other unmeasured influences on Y.
After extracting the key factors, the following three key questions arose:
-
How does smart efficiency influence the convenience and planning of urban tourism?
-
What is the effect of smart travel on the overall experience and satisfaction of tourists?
-
In what ways does digital enhancement contribute to the personalization and accessibility of tourism services?
In order to obtain answers to these questions, it was necessary to construct three sub-hypotheses of the work, which are as follows:
-
H1: Smart mobility and seamless planning technologies significantly enhance tourists’ travel efficiency and overall experience in urban destinations.
-
H2: Digital enhancements, including interactive and personalized services, positively impact tourist satisfaction and engagement.
-
H3: Investments in digital infrastructure and secure smart tourism applications increase tourists’ trust and willingness to use smart city services.
The epistemological approach adopted in this study aligns with positivism, as it emphasizes scientific explanation through empirical analysis and statistical validation. The research is structured around a clearly defined hypothesis, testing the assumption that the integration of smart city technologies enhances urban tourism efficiency, digital engagement, and sustainability. By employing a quantitative methodology, including factor analysis and Structural Equation Modeling (SEM) on a sample of 1239 tourists from Amsterdam, Barcelona, and Vienna, the study aims to establish objective and generalizable findings. A core characteristic of positivism is its focus on cause–effect relationships, which is evident in the study’s analysis of how smart city technologies influence urban tourism dynamics. The identification of key dimensions—smart efficiency, smart travel, and digital enhancement—further supports this explanatory framework, demonstrating how technological integration shapes the tourist experience. The study also follows a nomothetic approach, seeking to derive universal principles from best practices in leading European smart cities and applying them to Belgrade and other Serbian cities. Given the emphasis on measurable variables, statistical validation, and generalizable conclusions, the positivist epistemological stance is the most appropriate for this research. It enables a rigorous, evidence-based assessment of smart city technologies in tourism, providing policymakers and stakeholders with actionable insights for sustainable urban tourism development.

4. Results

The results of the factor analysis (refer to Table 1) produced a model that classifies the variables into three distinct factors, which together represent 87.003% of the total variance. As illustrated in Table 1, the presence of an Eigenvalue greater than 1 for these three factors serves as evidence that the extracted factors are both adequate and sufficient.
Table 2 shows the extracted factors. The singled-out factors are as follows: F1. smart efficiency; F2. smart travel; F3. digital enhancement.
Factor 1: Smart Efficiency. This refers to the role of smart technologies in enhancing the overall efficiency of urban systems, particularly in the context of tourism. This factor consists of two key elements: efficient mobility and seamless planning, both of which help improve the travel experience in smart cities. For efficient mobility, smart technologies in cities contribute to efficient mobility by offering time-saving services. These technologies make it easier for tourists to navigate urban environments with minimal delays. For example, smart systems provide easy access to information, such as real-time updates on public transportation schedules and availability. This reduces wait times for various modes of transport, like buses, trams, and trains. By optimizing transport schedules and routes, tourists spend less time waiting and more time enjoying their visit, enhancing the overall efficiency of the city’s mobility system. Seamless planning refers to how smart city technologies assist tourists in organizing and managing their trips more effectively. Real-time information about key travel aspects, such as flight statuses, hotel availability, and public transport options, enables tourists to plan their journeys with ease. With integrated smart systems, travelers can check the status of flights, make hotel bookings, and adjust plans on the go, all through accessible digital platforms. This integration of real-time data ensures that tourists can manage their trips smoothly, reducing the likelihood of disruptions and helping them make the most of their time in the city. Together, these elements of smartEfficiency contribute to making urban tourism more convenient, time-efficient, and stress-free. By utilizing technologies that streamline transportation and planning, cities create a more enjoyable and seamless experience for visitors, which aligns with the goal of sustainable urban tourism. Moreover, optimizing mobility and planning through smart technologies helps reduce congestion and improve the sustainability of urban environments.
Factor 2: Smart Travel. This focuses on how the integration of advanced technologies in cities enhances the overall travel experience for tourists. This factor includes several key elements, such as improved travel enjoyment, digital enhancements, security, interactivity, convenience, and sustainability, all driven by smart technologies. For enhanced travel (v6), smart technologies make travel more enjoyable by adding convenience and excitement to the experience. Whether through smoother transportation options or personalized recommendations, these technologies help create a more comfortable and pleasant trip. For digital enhancement, digital tools, such as mobile apps for booking, virtual assistants, and augmented reality tours, enrich the quality of the trip. These tools provide tourists with easy access to essential information, help with navigation, and even offer immersive experiences, elevating the overall enjoyment of the destination. Regarding secure travel, with the rise of digital tools, trust in security has become crucial. Smart city technologies ensure that personal data are handled securely, which increases tourists’ confidence in using digital services like online bookings or location-based tools. Tourists feel reassured knowing that their information is protected through measures such as data encryption and privacy protocols. Regarding interactive experience, smart tourism services, such as interactive museums, virtual tours, and smart exhibits, provide tourists with an engaging and educational experience. These technologies allow for a deeper connection to the city’s culture and history, offering experiences that are more dynamic and personalized compared to traditional methods. Regarding instant access, the ability to access real-time information via mobile apps or websites significantly improves the convenience of traveling. Tourists can quickly find relevant details such as transportation schedules, restaurant recommendations, or local events, making their trip more efficient and less stressful. Regarding sustainable innovation, smart city technologies not only improve the travel experience but also contribute to the sustainability of tourism. Innovations such as energy-efficient buildings, eco-friendly transportation options, and waste reduction systems help reduce the environmental footprint of tourism, aligning with the growing demand for responsible and sustainable travel. Together, these elements of smart travel highlight how technological advancements can enhance the travel experience by making it more enjoyable, secure, interactive, convenient, and sustainable. Through the use of smart tools and services, tourists can enjoy a more seamless, efficient, and immersive journey, while cities can promote sustainable tourism practices that benefit both the environment and the local economy.
Factor 3: Digital Enhancement. This refers to the role of digital technologies in improving the tourism experience by providing more tailored, accessible, and convenient services. This factor emphasizes the importance of investing in digital infrastructure and offering personalized experiences that leverage smart technologies. Regarding digital investment, this element highlights the need for cities to invest in robust digital infrastructure to enhance the tourist experience. By improving access to digital tools like Wi-Fi networks, smart hotel services, and digital tour guides, cities can ensure that tourists have the connectivity and support they need throughout their visit. This investment in digital infrastructure creates a more seamless and enjoyable travel experience, enabling tourists to access essential services and information with ease. Regarding personalizes services, smart cities can offer personalized services that cater to the individual preferences of tourists. By utilizing data analytics, AI, and other technologies, cities can provide tailored recommendations, customized itineraries, and other personalized features that make a trip more meaningful and unique. These services enhance the overall travel experience by making it easier for tourists to discover what they truly enjoy, whether it is specific attractions, local events, or dining options. Together, these elements of digital enhancement highlight the critical role of digital infrastructure and personalized services in modern tourism. By investing in advanced digital tools and creating customized experiences, cities can meet the diverse needs of tourists, improve convenience, and foster a deeper connection to the destination.
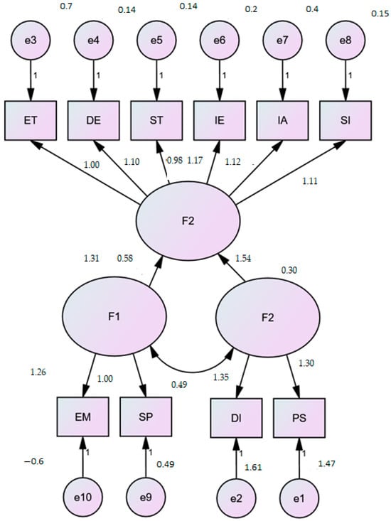
Smart city technologies significantly shape the modern travel experience by influencing efficiency, digital enhancement, and overall travel satisfaction. The Structural Equation Model (SEM) represents how different factors interact, showing direct and indirect causal relationships (Figure 1).
Smart travel (F2) enhances smart efficiency (F1).
-
When tourists perceive that smart technologies (such as mobile apps, interactive services, and real-time updates) improve their overall travel experience, they also find travel more efficient.
-
Cause: Tourists enjoy enhanced travel experiences through digital services (F2).
-
Effect: They experience greater efficiency in mobility and planning (F1).
-
Example: A visitor who uses real-time transport apps (ET, IA) faces shorter waiting times, making their trip smoother (EM, SP).
Smart Travel (F2) increases demand for digital enhancement (F3).
-
A positive perception of smart technologies encourages travelers to expect and support further digital investments.
-
Cause: When smart city solutions (such as virtual tours, AI-driven recommendations, or seamless payment systems) enhance the travel experience (F2), tourists value these innovations.
-
Effect: They demand more investment in digital infrastructure (DI) and expect more personalized services (PS).
-
Example: A traveler who enjoys an interactive museum experience (IE) may later expect similar innovations in other cities, increasing their preference for smart tourism investments.
Smart efficiency (F1) and digital enhancement (F3) reinforce each other.
-
As cities invest in digital infrastructure, travel efficiency improves, creating a positive feedback loop.
-
Cause: When digital services provide seamless and personalized experiences (F3), travelers experience smoother mobility and trip planning (F1).
-
Effect: As travelers find transport and planning more efficient (F1), they support continued digital innovation (F3).
-
Example: A smart city that improves Wi-Fi coverage and app integration (DI) enhances trip efficiency (EM, SP), leading tourists to expect even better digital services.
This model shows that smart travel (F2) is the central driver of smart city tourism. For tourists who enjoy smart travel solutions, the following statements are true:
-
Find travel more efficient (F1).
-
Advocate for more digital investment (F3).
-
Expect a continuously improving smart tourism ecosystem.
Over time, higher digital investment (F3) leads to better efficiency (F1), which, in turn, reinforces the need for smart travel solutions (F2). This cycle transforms tourism into a more tech-driven, sustainable, and seamless experience.
Table 3 presents standardized regression weights from a Structural Equation Model (SEM) and highlights the relationships between smart efficiency, smart travel, and digital enhancement in shaping the tourist experience in smart cities. The causal connections between these factors indicate how different elements of smart city infrastructure influence tourists’ perceptions and behaviors.

4.1. The Role of Smart Efficiency in Smart Travel

The findings show that smart efficiency has a strong positive impact on smart travel (1.602). This means that when tourists perceive mobility services as seamless and well-integrated, and they can easily plan their trips using real-time data, they tend to have a more enjoyable travel experience.
-
Cause: Efficient mobility services (e.g., well-connected transport, minimal wait times, easy-to-use apps) and seamless trip planning.
-
Effect: Travelers experience greater convenience and satisfaction, enhancing their overall perception of smart travel.
Additionally, smart efficiency improves trip planning (0.853), meaning that travelers who find urban transport and digital services efficient also find it easier to organize their journeys.

4.2. The Paradox of Digital Enhancement

One unexpected result is that digital enhancement negatively affects smart travel (−1.266). This suggests that while digital innovations like smart guides, augmented reality, and AI-based services can improve certain aspects of travel, they may also create overcomplexity or frustration if they are not well-integrated or user-friendly.
-
Cause: A high level of digital infrastructure and reliance on smart technologies.
-
Effect: Instead of always improving travel, excessive digitalization might create barriers, such as difficulty navigating complex apps, privacy concerns, or dependence on internet connectivity
However, digital enhancement has positive effects in other areas, particularly by encouraging personalized services (0.412) and further investment in smart city technologies (0.504). This means that travelers who have positive experiences with digital solutions tend to support the expansion of smart city infrastructure and expect tailored, AI-driven recommendations.

4.3. Smart Travel Enhances Multiple Aspects of Tourism

Once tourists perceive smart technologies as enhancing their travel experience, they begin to trust and rely on them more, leading to a series of positive effects:
-
Smart travel improves enhanced travel (0.898) → Tourists feel that their trips are more convenient and enjoyable.
-
Smart travel increases trust in Secure travel (0.806) → If smart city services protect personal data and ensure safe digital transactions, travelers feel more confident using them.
-
Smart travel boosts interactive experiences (0.977) → This is the strongest positive effect, meaning that technologies like interactive museums, augmented reality, and digital tour guides significantly improve tourist satisfaction.
-
Smart travel ensures instant access to information (0.941) → Travelers greatly appreciate having real-time access to navigation, accommodation, and cultural experiences.
-
Smart travel promotes sustainable innovation (0.834) → Tourists recognize that smart city solutions contribute to eco-friendly travel, such as energy-efficient public transport and digital alternatives to printed materials.

4.4. The Relationship Between Digital Enhancement and Smart Travel

While digital enhancement does not directly improve smart travel, it indirectly supports its development by increasing investment in digital infrastructure and personalization. This means that even though travelers may sometimes feel overwhelmed by digitalization, they still recognize its long-term benefits in shaping better travel experiences.
The results suggest that smart city tourism development should focus on practical efficiency improvements rather than excessive digitalization. Key takeaways include the following: smart efficiency is the most critical factor for smart travel success. Investments should focus on real-time information, seamless mobility, and easy-to-use transport services; digital solutions should be carefully designed. While tourists appreciate digital tools, they should enhance—not complicate—the travel experience. Interactive experiences and instant access to information have the highest positive impact on smart travel. Prioritizing these aspects will lead to the greatest tourist satisfaction; sustainable smart solutions are well-received. Technologies that contribute to eco-friendly tourism and reduce environmental impact will be valued by travelers. Ultimately, a balanced approach that integrates efficiency, personalization, and sustainability will create the most successful smart tourism strategies in urban destinations.

5. Discussion

Amsterdam’s pioneering smart city initiatives, particularly in the realm of mobility, align seamlessly with the concepts of smart efficiency and seamless planning. The city has long been a frontrunner in integrating smart technologies to enhance urban living, with a focus on improving efficiency, convenience, and sustainability. Smart efficiency is exemplified through Amsterdam’s implementation of smart grid technology, which allows for real-time energy management. This dynamic system ensures that energy demands are met efficiently, especially during peak times, by redistributing energy from renewable sources and reducing reliance on fossil fuels. This not only promotes sustainability but also enhances the overall efficiency of the city’s energy infrastructure. The city’s commitment to efficient mobility further exemplifies smart efficiency. Amsterdam’s extensive network of bike lanes and bike-sharing programs, such as OV-fiets, has reduced car dependency and promoted cycling as a primary mode of transportation. These initiatives provide efficient alternatives to traditional car travel, helping save time and reduce congestion. Furthermore, Amsterdam’s integration of public transport systems with cycling infrastructure encourages seamless transitions between modes of transport, creating a more efficient and sustainable urban mobility ecosystem. The GVB app’s real-time information on tram and bus schedules enables users to plan their trips efficiently, further contributing to time savings and reduced wait times.
In addition, seamless planning is reflected in the city’s digital infrastructure, particularly through its use of data analytics and Internet of Things (IoT) applications. The city’s real-time monitoring of traffic patterns, air quality, and energy consumption allows for smarter urban planning decisions. This data-driven approach not only optimizes city operations but also empowers residents and visitors to plan their trips more effectively. The Amsterdam Smart City platform exemplifies seamless planning by allowing residents to suggest and vote on projects, fostering community engagement and ensuring that initiatives reflect local needs. The platform’s integration with other smart systems ensures that planning for transportation, energy use, and sustainability is more streamlined and user-centered. By embracing smart city technologies, Amsterdam has created an environment where efficient mobility and seamless planning are central to its urban experience, empowering residents and visitors with the tools to navigate the city in a time-efficient and sustainable manner.
Barcelona’s approach to smart efficiency demonstrates how the city has strategically integrated technology into urban management to promote sustainability, optimize resources, and improve the quality of life for its residents. One of the standout features of Barcelona’s smart efficiency initiatives is its innovative waste management system. By deploying smart bins equipped with sensors to monitor waste levels, the city has been able to significantly improve waste collection operations. These bins communicate in real time with waste management teams, optimizing collection routes based on actual need rather than fixed schedules. This not only reduces operational costs but also lessens the environmental impact by minimizing unnecessary trips, contributing to a cleaner, more sustainable city. Barcelona also exemplifies smart efficiency through its use of Internet of Things (IoT) sensors throughout the city. These sensors monitor various environmental parameters, such as air quality and noise pollution, offering real-time data that can be used to inform both citizens and city officials. By raising public awareness about pollution levels, Barcelona encourages more sustainable behaviors and fosters a culture of environmental responsibility among its residents. This transparency and engagement are key to fostering community participation in smart city initiatives. In addition, the city’s smart lighting system serves as another example of its commitment to energy efficiency. The system adjusts the brightness of streetlights based on pedestrian activity, ensuring that energy is used only when needed. This responsive system not only saves energy but also improves public safety by enhancing visibility during periods of high pedestrian traffic while conserving power during quieter times.
Furthermore, Barcelona’s focus on energy-efficient buildings aligns with its broader sustainability goals. Many of the city’s new developments comply with rigorous energy codes, incorporating renewable materials and energy-efficient technologies that reduce the carbon footprint of construction projects. These efforts are part of Barcelona’s holistic approach to urban sustainability, where smart technologies and environmentally conscious design converge to create a cleaner, safer, and more livable city. By combining innovative waste management, environmental monitoring, responsive lighting systems, and sustainable building practices, Barcelona exemplifies the power of smart efficiency in shaping a more sustainable urban future. These initiatives not only optimize city operations but also contribute to a higher quality of life for residents, fostering a stronger sense of environmental responsibility and sustainability across the community.
Vienna’s approach to smart efficiency is a holistic model that integrates sustainable urban mobility, green infrastructure, and citizen engagement, making it a leading example of how smart technologies can enhance both environmental sustainability and quality of life. The city’s extensive public transport network, including trams, buses, and metro lines, directly contributes to efficient mobility. By leveraging smart technologies, Vienna optimizes its transportation services to save time for commuters. Real-time information about public transport schedules, coupled with an integrated ticketing system, ensures that residents and visitors can easily access transportation with minimal wait times. This efficiency is further enhanced by Vienna’s promotion of cycling and walking, creating a pedestrian-friendly urban environment that reduces congestion and carbon emissions. These initiatives not only improve mobility but also encourage a shift toward more sustainable modes of transport.
In terms of seamless planning, Vienna’s digital platforms, such as the Smart City App, exemplify how technology can streamline urban planning and decision-making processes. The app allows residents to provide feedback, report issues, and engage in discussions about city projects, all while receiving real-time updates on ongoing developments. This ensures that residents can make informed decisions about their trips and interactions with the city, fostering a seamless planning experience. Furthermore, the city’s green spaces, including parks and green roofs, enhance both the ecological footprint of the city and the quality of life for its residents, offering recreational spaces that are also energy-efficient and contribute to urban biodiversity. Vienna’s approach reflects a comprehensive vision of smart efficiency that not only promotes efficient mobility through sustainable transportation solutions but also enhances seamless planning through digital platforms that engage citizens in the governance process. The combination of smart transport systems, green infrastructure, and participatory urban planning showcases Vienna’s commitment to creating a sustainable, inclusive, and well-connected urban environment.
Amsterdam’s approach to smart travel perfectly exemplifies how cities can leverage innovative technologies to enhance the travel experience while promoting sustainability and convenience. As the cycling capital of the world, Amsterdam has seamlessly integrated cycling infrastructure with public transport, creating a cohesive and efficient transportation system. This integration not only enhances travel but also contributes to a sustainable innovation in urban mobility. The city’s extensive network of bike lanes and bike-sharing programs such as “OV-fiets” empower both residents and tourists to easily access bicycles at key locations, including train stations, which encourages a car-free lifestyle. This initiative supports sustainable tourism practices by providing an eco-friendly alternative to traditional modes of transport, aligning with the city’s commitment to reducing its environmental impact. Amsterdam’s public transport system, which includes trams, buses, and ferries, further promotes efficient mobility by ensuring easy transitions between different transport modes. The GVB app, which provides real-time information on schedules, enhances travel by helping users plan their journeys with minimal waiting times and maximum convenience. This instant access to crucial travel information not only makes the experience more enjoyable but also improves the overall quality of the trip by making the city more navigable.
Moreover, Amsterdam’s integration of smart technologies ensures secure travel by safeguarding personal information through data collection and privacy measures, providing tourists with peace of mind while using digital tools. The availability of interactive experiences, such as smart museums and interactive exhibits, further enriches the visitor experience, allowing for a deeper engagement with the city’s cultural heritage and attractions. By combining smart transport systems, cycling infrastructure, real-time information, and secure digital tools, Amsterdam is setting a benchmark for smart travel that promotes enhanced travel experiences, reduces environmental impact, and prioritizes the convenience and safety of residents and visitors alike. This holistic approach to urban mobility and tourism is a prime example of how digital enhancement and sustainable innovation can work together to create a smarter, more enjoyable city for all.
Barcelona’s approach to smart Travel exemplifies how the integration of technology into public transport systems can enhance efficiency, convenience, and user satisfaction. The city’s T-Diagonal integrated ticketing system is a key innovation that simplifies the travel experience by allowing passengers to use a single ticket across various forms of transport, including buses, trams, and the metro. This cohesive system eliminates the need for multiple tickets, making public transport more accessible and attractive to both residents and tourists, and encouraging the use of sustainable travel options over private vehicles. Furthermore, Barcelona’s transport infrastructure is enhanced by real-time tracking and updates, made possible by digital displays at transport stops and mobile apps. This technology empowers travelers with up-to-the-minute information about service schedules and potential disruptions, allowing for more efficient mobility and seamless planning of their journeys. Passengers can check live updates on the arrival times of buses and metros, ensuring they are better informed, can minimize wait times, and improve overall satisfaction during their travel experience.
By prioritizing user convenience and digital enhancement, Barcelona is not only improving the overall quality of its public transport system but also addressing urban mobility challenges effectively. The city’s commitment to smart travel solutions through the integration of real-time information and efficient ticketing systems underscores its position as a leader in sustainable innovation and smart city initiatives. This forward-thinking approach ensures that both locals and tourists can navigate the city with ease, convenience, and sustainability at the forefront. Vienna’s approach to smart travel showcases a seamless integration of technology, sustainability, and user convenience, making it a model for efficient urban mobility. The city’s comprehensive public transport network, which includes the U-Bahn, trams, and buses, forms a well-coordinated system that allows for efficient mobility and smooth transitions between different modes of transport. The high frequency of U-Bahn trains minimizes wait times, while synchronized tram and bus schedules ensure that passengers can easily connect between various modes of transport. This level of seamless planning improves the travel experience by reducing travel time and enhancing overall satisfaction. Vienna further enhances this system with a unified ticketing platform, allowing passengers to use a single ticket across all public transport services within the city. This system simplifies the travel process, making it more convenient for both residents and tourists to navigate the city’s extensive transport network.
In line with its commitment to sustainability, Vienna has invested in eco-friendly vehicles, ensuring that the public transport system contributes to a reduction in carbon emissions and promotes greener travel options. This dedication to sustainability is also reflected in the city’s emphasis on encouraging public transport over private car usage, helping to alleviate traffic congestion and reduce the environmental impact of urban mobility. Vienna’s smart travel technologies, such as mobile applications that provide real-time updates and route planning assistance, further contribute to enhanced travel experiences. These digital tools make it easier for passengers to plan their trips, access real-time information, and make informed decisions about their journeys. Through these innovations, Vienna has demonstrated how smart travel technologies can address urban transportation challenges while prioritizing sustainability, efficiency, and user convenience. By integrating technology with eco-friendly infrastructure, Vienna offers a blueprint for how cities can foster more sustainable and user-centric urban mobility solutions, making it a leading example of smart travel.
Amsterdam’s robust digital infrastructure is a prime example of how smart city initiatives can significantly improve urban living, while also enhancing the tourist experience. The city has strategically invested in a variety of Internet of Things (IoT) applications, such as smart sensors that monitor air quality and traffic patterns. These systems enable city officials to make data-driven decisions that improve public health, safety, and overall urban management. By leveraging digital investment, Amsterdam showcases how cities can enhance both residents’ and tourists’ experiences through technology. In line with Factor 3 (digital enhancement), Amsterdam’s approach to citizen engagement is also noteworthy. The Amsterdam Smart City platform allows residents to suggest and vote on projects, fostering community ownership and ensuring that initiatives align with the needs of the people. This transparency and participation not only benefit the local population but also personalize services for tourists, as the city’s initiatives cater to real-time community and visitor needs.
Furthermore, the city’s commitment to sustainability is further demonstrated through digital innovations like the Smart Solar Charging Stations, which provide renewable energy for electric vehicles. This sustainable infrastructure complements Amsterdam’s goal to create a smarter, more sustainable urban environment that enhances the travel experience for both locals and visitors. Through investments in digital infrastructure, personalized services such as tailored recommendations, and the use of technology to improve urban life, Amsterdam sets a strong precedent for how cities can use digital enhancement to both streamline daily operations and elevate the travel experience. By embracing smart technologies, the city not only enhances the quality of life for residents but also fosters a seamless and personalized experience for tourists, making it an attractive destination for those seeking a smart and sustainable urban environment.
Barcelona’s digital enhancement strategies reflect the city’s ambition to become a leading smart city in Europe, with a strong focus on utilizing technology to improve urban living and enhance the tourist experience. A key aspect of this transformation is the use of data analytics for urban planning and services. By employing big data to analyze various urban dynamics, from traffic flows to waste management, the city can optimize services, making them more efficient and responsive to residents’ and visitors’ needs. The ‘Barcelona Data Commons’ initiative facilitates the sharing of urban data among businesses, citizens, and other stakeholders, fostering innovation and enabling collaborative problem-solving for urban challenges. In line with Factor 3: Digital Enhancement, Barcelona has invested in smart mobility solutions, including its expansive ‘Bicing’ bike-sharing program. This service promotes sustainable transport while enhancing user convenience through a mobile app that provides real-time information on bike availability and routes. By simplifying the bike-sharing experience, Barcelona encourages sustainable travel and offers a personalized service that caters to the needs of both residents and tourists.
Barcelona’s digital investment in smart mobility and its integration of digital services like bike-sharing and urban data sharing enhance not only the efficiency of the city’s services but also the quality of the tourist experience. By providing real-time updates and personalized services—such as tailored recommendations and custom itineraries based on data analytics—the city creates a seamless, convenient, and enjoyable experience for visitors. This commitment to digital transformation and sustainability demonstrates how Barcelona is effectively using technology to improve urban life and offers personalized services that enhance the overall travel experience.
Vienna’s digital advancements in governance and e-services highlight the city’s commitment to digital enhancement, offering a successful model of how cities can leverage technology to improve urban life. Through significant investment in e-government initiatives, Vienna has simplified access to public services, allowing citizens to handle various tasks—such as applying for permits and accessing public records—via a single, user-friendly digital platform. This streamlined approach enhances the efficiency of municipal services and makes everyday interactions with the government more convenient for both residents and visitors, contributing to a smarter, more accessible urban environment. Further enhancing the city’s digital transformation, Vienna places a strong emphasis on the role of digital arts and culture in enriching the urban experience. Initiatives like the ‘Digital City Vienna’ project offer digital exhibitions and interactive art installations, fostering a vibrant cultural scene that is accessible to all. This integration of digital arts with the urban environment encourages cultural engagement while making art more inclusive and engaging for residents and tourists alike.
When comparing Vienna’s citizen participation platforms with those in Amsterdam and Barcelona, it becomes clear that Vienna offers a more structured approach to civic engagement. While Amsterdam encourages open-ended suggestions and voting, and Barcelona focuses on data-driven collaboration, Vienna’s approach provides a robust framework that includes regular town hall meetings and digital feedback mechanisms. This multi-faceted approach strengthens the relationship between the government and its citizens, ensuring that public policies reflect diverse voices and needs. This commitment to participation enhances the city’s ability to develop services that align with the values and preferences of its residents. Vienna’s integration of digital infrastructure, cultural engagement, and structured citizen participation reinforces the city’s status as a smart city and demonstrates how digital technologies can foster a more efficient, inclusive, and culturally vibrant urban environment.

Practical Implications

The integration of smart city technologies into the urban tourism landscape of Belgrade and other Serbian cities presents a significant opportunity to enhance efficiency, improve the travel experience, and support sustainable tourism development. The findings of this study indicate that the successful implementation of smart tourism initiatives can be structured around three key dimensions: smart efficiency, smart travel, and digital enhancement. Applying these smart tourism factors to Belgrade, Novi Sad, Niš, Kragujevac, and other Serbian cities involves integrating advanced technologies to streamline operations, enhance visitor engagement, and promote sustainability. Smart efficiency focuses on optimizing urban mobility, improving infrastructure management, and enhancing service delivery. Key steps for implementing this dimension include the following: real-time mobility solutions (deploy real-time public transport tracking and digital ticketing systems to improve travel efficiency. Belgrade and Novi Sad could benefit from smart mobility applications that provide real-time updates on bus and tram schedules, minimizing delays and enhancing transport accessibility); integrated travel platforms (develop integrated digital platforms that consolidate transport options, parking information, and real-time traffic data to streamline city navigation for tourists); data-driven infrastructure management (use of IoT sensors and big data analytics to optimize the maintenance of public infrastructure, reduce congestion, and enhance urban resilience).
Smart travel emphasizes creating immersive, personalized, and sustainable travel experiences through digital innovations. Key strategies include the following: digital experience enhancement (integrate AI-driven travel assistants, augmented reality (AR), and virtual reality (VR) applications in cultural and historical landmarks like Kalemegdan Fortress (Belgrade), Petrovaradin Fortress (Novi Sad), Niš Fortress, and the Old Town of Subotica to enrich visitor engagement); sustainable tourism solutions (promote eco-friendly practices in destinations like Zlatibor, Kopaonik, and Sokobanja, including smart waste management, electric vehicle (EV) infrastructure, and energy-efficient accommodation); safety and security enhancements (implement smart surveillance systems, emergency response networks, and contactless payment solutions to improve visitor safety and confidence).
Digital enhancement focuses on building robust digital infrastructure to support seamless, connected, and data-driven tourism experiences. Key recommendations include the following: connectivity expansion (expand free public Wi-Fi networks in key tourist areas, optimize mobile network coverage, and ensure high-speed internet access in urban and rural destinations); personalized services (use of AI algorithms to offer personalized recommendations for accommodations, dining, and cultural experiences based on tourist preferences and past behaviors); digital marketing and analytics (leverage big data analytics for targeted marketing, real-time customer insights, and predictive demand forecasting to optimize tourism management).
The successful adoption of these smart tourism strategies requires significant investment in technology infrastructure, data management systems, and workforce training. It is crucial to conduct cost–benefit analyses to assess the long-term financial viability of these initiatives. Potential financial challenges include high initial setup costs, ongoing maintenance expenses, and the need for skilled personnel. The economic benefits, including increased tourist spending, higher satisfaction rates, and improved urban efficiency, can outweigh these costs over time if managed effectively. To enhance the practical implications of this study, it is important to consider not only global examples like Amsterdam, Barcelona, and Vienna, but also regional initiatives, such as the 15-Minute City concept explored in Slovak cities by Mocák et al. [75]. This approach emphasizes the importance of decentralizing urban functions to improve livability and reduce environmental impact, aligning well with the goals of sustainable urban tourism in Serbian cities. In addition to technological integration, cities like Belgrade must proactively anticipate and mitigate cumulative risks to ensure that tourism development strategies align with broader goals of urban resilience and systemic sustainability. This approach is essential for maintaining the long-term viability and attractiveness of urban destinations. Finally, the integration of smart technologies in tourism must be accompanied by spatial, environmental, and social foresight. In an era of polycrisis, urban systems are increasingly vulnerable to cascading failures, making comprehensive planning and proactive risk management crucial for sustained growth and resilience. Challenges may arise in applying smart tourism dimensions to the unique institutional, infrastructural, and financial contexts of Serbian cities, particularly regarding digital literacy, cross-sector coordination, and equitable access to technology. A phased, context-sensitive approach will be essential to ensure successful outcomes. By adopting these smart tourism dimensions, Serbian cities can transform their urban tourism offerings, fostering an efficient, immersive, and sustainable tourism ecosystem. This approach not only enhances tourist satisfaction but also contributes to the long-term economic growth and global competitiveness of Serbian urban destinations.

6. Conclusions

In the rapidly evolving landscape of urban living, cities across the globe are increasingly adopting digital innovations to improve quality of life, streamline services, and promote sustainable development. Among them, Amsterdam, Barcelona, and Vienna have emerged as leading examples of smart cities, showcasing effective integration of technology in urban planning and tourism. Each city applies a distinct mix of technological infrastructure, sustainability practices, and citizen engagement to address the demands of modern travelers. Smart travel initiatives in these cities clearly demonstrate how tailored approaches can enhance urban mobility and sustainability. Amsterdam’s integrated cycling and public transport systems, Barcelona’s smart ticketing and real-time public transit solutions, and Vienna’s coordinated transport network exemplify efforts to create efficient and user-friendly travel experiences. These initiatives help mitigate urban challenges such as congestion and inefficiency while enhancing accessibility and comfort for tourists.
The analysis of Amsterdam, Barcelona, and Vienna demonstrates that smart mobility (e.g., integrated public transport systems, cycling infrastructure, real-time transport apps) and seamless planning technologies (e.g., digital platforms, IoT-based urban management, participatory planning) significantly enhance travel efficiency and the overall tourist experience. These technologies reduce congestion, improve transport reliability, optimize resource use, and provide real-time information, making urban navigation more convenient and sustainable for tourists. Smart efficiency fundamentally transforms urban tourism by making travel more seamless, informed, and tailored to individual needs. By leveraging real-time data, integrated transport systems, and digital engagement platforms, cities enhance the planning, accessibility, and overall convenience of urban tourism, ensuring a more enjoyable and stress-free experience for visitors. This answered the following question: how does smart efficiency influence the convenience and planning of urban tourism? Thus, the sub-hypothesis H1 is confirmed.
The smart travel initiatives in Amsterdam, Barcelona, and Vienna illustrate how smart mobility and seamless planning technologies significantly enhance tourists’ travel efficiency and overall experience. Amsterdam integrates cycling infrastructure with public transport, real-time travel apps (GVB), and smart digital tools to ensure seamless, eco-friendly, and convenient navigation. Barcelona employs integrated ticketing (T-Diagonal), real-time transport updates, and digital displays to optimize travel convenience and reduce wait times. Vienna prioritizes synchronized public transport, eco-friendly mobility, real-time travel apps, and a unified ticketing system to enhance efficiency and sustainability. These technological advancements reduce congestion, streamline travel planning, and improve the overall experience for tourists, confirming that smart mobility and seamless planning significantly enhance urban tourism. This answered the question: What is the effect of smart travel on the overall experience and satisfaction of tourists? Thus, the sub-hypothesis H2 is confirmed.
The examples of Amsterdam, Barcelona, and Vienna demonstrate how investments in digital infrastructure and secure smart tourism applications increase tourists’ trust and willingness to use smart city services: The Amsterdam Smart City platform fosters transparency and citizen participation, while smart sensors and IoT applications improve urban management, enhancing both residents’ and tourists’ trust. The Smart Solar Charging Stations further promote sustainable and secure smart tourism services. The Barcelona Data Commons initiative promotes data transparency and urban service optimization, while the Bicing bike-sharing program with real-time updates improves tourists’ confidence in using smart transport solutions. The city’s e-government services simplify administrative processes, increasing trust in digital governance. The Digital City Vienna project promotes digital cultural engagement, encouraging tourists to interact with smart city features confidently. Digital enhancement transforms tourism services by making them highly personalized, accessible, and immersive. By integrating AI, real-time data, and smart city applications, urban destinations enhance visitor convenience, improve accessibility, and create unique travel experiences, ultimately making tourism more efficient, inclusive, and enjoyable for all. This answered the following question: in what ways does digital enhancement contribute to the personalization and accessibility of tourism services? Thus, the sub-hypothesis H3 is confirmed.
Amsterdam, Barcelona, and Vienna are prime examples of how smart city initiatives can significantly enhance urban living through improved efficiency and planning. Amsterdam utilizes smart technologies, such as a smart grid for energy management and a comprehensive cycling infrastructure, to promote sustainability and reduce car dependency. Barcelona has adopted innovative waste management systems and smart lighting that adjusts to pedestrian activity, while also monitoring air quality and noise pollution to engage the community. Vienna emphasizes efficient mobility with its extensive public transport network and digital platforms that involve citizens in urban planning, showcasing how technology can create sustainable, efficient, and user-centered environments that improve the quality of life for residents and visitors alike.
The findings of this study highlight the critical role of smart mobility and digital tourism technologies in shaping the future of urban tourism. Further comparative research and longitudinal studies are needed to assess how these technologies evolve over time across different cities. Longitudinal studies in these contexts can reveal long-term trends, critical success factors, and transferable lessons for other cities, while also identifying potential challenges and opportunities for sustainable digital transformation. Moreover, the digital divide remains a significant challenge in the equitable distribution of smart tourism benefits. Older, less tech-savvy tourists and those lacking reliable digital access risk being excluded from these innovations, potentially widening social inequalities. To address this, cities should prioritize the development of user-friendly digital tools, provide alternative non-digital services, and implement targeted digital literacy programs. This approach can help bridge the gap, ensuring that all tourists can benefit from the full range of smart tourism services, promoting inclusivity and broader participation in the digital transformation of urban tourism.

Author Contributions

Conceptualization, A.V. and M.A.; methodology, A.V.; software, M.A.; validation, A.V., M.A. and M.K.; formal analysis M.A.; investigation, M.A.; resources, A.V.; data curation, A.V.; writing—original draft preparation, A.V. and M.K.; writing—review and editing, M.A.; visualization, A.V.; supervision, M.A. All authors have read and agreed to the published version of the manuscript.

Funding

This research received no external funding.

Institutional Review Board Statement

The study was conducted in accordance with the Declaration of Helsinki, and approved by the Ethics Committee of Singidunum University (protocol code 166, 25 March 2024) for studies involving humans.

Informed Consent Statement

Informed consent was obtained from all subjects involved in the study.

Data Availability Statement

The aggregated data analyzed in this study are available from the corresponding author(s) upon reasonable request.

Conflicts of Interest

The authors declare no conflicts of interest.

References

  1. Alkhereibi, H.A.; Abulibdeh, R.; Abulibdeh, A. Global smart cities classification using a machine learning approach to evaluating livability, technology, and sustainability performance across key urban indices. J. Clean. Prod. 2025, 503, 145394. [Google Scholar] [CrossRef]
  2. Jiang, L.; Xuan, Y.; Zhang, K. Dynamic interaction and evolution analysis of the resource-environment-economy-society complex system in China under the advancement of smart cities. Renew. Energy 2025, 244, 122704. [Google Scholar] [CrossRef]
  3. Cengiz, B.; Adam, Y.I.; Ozdem, M.; Das, R. A survey on data fusion approaches in IoT-based smart cities: Smart applications, taxonomies, challenges, and future research directions. Inf. Fusion 2025, 121, 103102. [Google Scholar] [CrossRef]
  4. Gu, Q.; Sing, M.C.P.; Jefferies, M.; Kanjanabootra, S. Bridging the gap between smart cities and sustainability: Current practices and future trends. Cities 2025, 159, 105799. [Google Scholar] [CrossRef]
  5. Qian, W. Application of e-learning and interactive business experience based on edge computing in smart city tourism management. Entertain. Comput. 2024, 50, 100681. [Google Scholar] [CrossRef]
  6. Wang, X. Construction of smart tourism system integrating tourist needs and scene characteristics. Syst. Soft Comput. 2024, 6, 200168. [Google Scholar] [CrossRef]
  7. Samasti, M.; Cakmak, E.; Ozpinar, A. Strategic classification of smart city strategies in developing countries. Eng. Sci. Technol. Int. J. 2025, 61, 101936. [Google Scholar] [CrossRef]
  8. Sustacha, I.; Baños-Pino, J.F.; Del Valle, E. The role of technology in enhancing the tourism experience in smart destinations: A meta-analysis. J. Destin. Mark. Manag. 2023, 30, 100817. [Google Scholar] [CrossRef]
  9. Tavmen, G. “Open data means business”: Infrastructural and economic implications of opening up data in smart London. Digit. Geogr. Soc. 2024, 7, 100098. [Google Scholar] [CrossRef]
  10. Lu, C.-W.; Huang, J.-C.; Chen, C.; Shu, M.-H.; Hsu, C.-W.; Bapu, B.R.T. An energy-efficient smart city for sustainable green tourism industry. Sustain. Energy Technol. Assess. 2021, 47, 101494. [Google Scholar] [CrossRef]
  11. Daniele, C.; Elena, M.; Evangelia, P. Assessing the role of public transportation to foster city bike tourism. The case of Italy. Case Stud. Transp. Policy 2023, 12, 101015. [Google Scholar] [CrossRef]
  12. Rishan, M.; Heiets, I.; Wiedemann, M.; Gerasymchuk, Y. Evaluating air transport barriers to tourism development in island states–A case study of an air service subsidy scheme in the Maldives. J. Air Transp. Res. Soc. 2025, 4, 100054. [Google Scholar] [CrossRef]
  13. Pitakaso, R.; Khonjun, S.; Gonwirat, S.; Luesak, P.; Jirasirilerd, G.; Boonmee, C.; Dinkoksung, S.; Nanthasamroeng, N.; Srichok, T. Optimizing safe and sustainable public transit for wellness tourism: Southeast Asian case studies. J. Clean. Prod. 2024, 475, 143656. [Google Scholar] [CrossRef]
  14. Wei, S. Exploring Adaptation of Transportation Policy to Revolution Challenges: Evolution of Transportation Services and the Concept of Next-generation Solutions. Open Transp. J. 2025, 19, e26671212348537. [Google Scholar] [CrossRef]
  15. Shamsuzzoha, A.; Nieminen, J.; Piya, S.; Rutledge, K. Smart city for sustainable environment: A comparison of participatory strategies from Helsinki, Singapore and London. Cities 2021, 114, 103194. [Google Scholar] [CrossRef]
  16. Sha, K.; Taeihagh, A. Designing adaptive policy packages for inclusive smart cities: Lessons from Singapore’s smart nation program. Sustain. Cities Soc. 2024, 115, 105868. [Google Scholar] [CrossRef]
  17. Sharifi, A.; Amirzadeh, M.; Khavarian-Garmsir, A.R. The metaverse as a future form of smart cities: A systematic literature review of co-benefits and trade-offs for sustainable development goals. Cities 2025, 161, 105879. [Google Scholar] [CrossRef]
  18. Chen, L.-H. Pedaling beyond ratings: A data-driven quest to Unravel the determinants of guided bicycle-tour satisfaction. Tour. Manag. 2024, 103, 104906. [Google Scholar] [CrossRef]
  19. Lee, Y.-C.; Liao, P.-T. The effect of tourism on teleconnected ecosystem services and urban sustainability: An emergy approach. Ecol. Model. 2021, 439, 109343. [Google Scholar] [CrossRef]
  20. Tan, O. Research on sustainable carrying capacity of urban tourism environment based on multi objective optimization algorithm. Results Eng. 2023, 19, 101344. [Google Scholar] [CrossRef]
  21. Abouelmagd, D. Sustainable urbanism and cultural tourism, the case of the Sphinx Avenue, Luxor. Alex. Eng. J. 2023, 71, 239–261. [Google Scholar] [CrossRef]
  22. Sevtsuk, A.; Alhassan, A. Madina Python package: Scalable urban network analysis for modeling pedestrian and bicycle trips in cities. J. Transp. Geogr. 2025, 123, 104130. [Google Scholar] [CrossRef]
  23. Russo, A. Savage Gardens: Balancing Maintenance, Aesthetics, and Ecosystem Services in the Biodiversity Crisis Era. Urban Sci. 2024, 8, 170. [Google Scholar] [CrossRef]
  24. Smiley, K.T.; Chen, Y.-A.; Shao, W. Being green in a green capital: Assessing drivers of pro-environmental behaviors in Copenhagen. Cities 2022, 122, 103538. [Google Scholar] [CrossRef]
  25. Jung, M.; Gomes, L.S.; Remme, R.P. Strategic green roof placement in Toronto to maximize benefits while incorporating citizen preferences. Urban For. Urban Green. 2025, 107, 128798. [Google Scholar] [CrossRef]
  26. Jia, S.; Weng, Q.; Yoo, C.; Voogt, J.A. Global investigation of pedestrian-level cooling and energy-saving potentials of green and cool roofs in 43 megacities. Energy Build. 2025, 337, 115671. [Google Scholar] [CrossRef]
  27. Sommese, F.; Diana, L. A holistic framework for the implementation of green roofs on existing buildings: A case study in the Mediterranean climate of Naples. Build. Environ. 2025, 274, 112811. [Google Scholar] [CrossRef]
  28. Liu, M.; Luo, Q.; Huang, R.; Wu, Y.; Zhou, J. Dynamic impacts of urban expansion on vegetation growth in urban environments: A sustainable land management framework. Land Use Policy 2025, 153, 107541. [Google Scholar] [CrossRef]
  29. Shehadeh, A.; Alshboul, O.; Taamneh, M.M.; Jaradat, A.Q.; Alomari, A.H.; Arar, M. Advanced integration of BIM and VR in the built environment: Enhancing sustainability and resilience in urban development. Heliyon 2025, 11, e42558. [Google Scholar] [CrossRef]
  30. Yigitcanlar, T.; Han, H.; Kamruzzaman, M.; Ioppolo, G.; Sabatini-Marques, J. The making of smart cities: Are Songdo, Masdar, Amsterdam, San Francisco and Brisbane the best we could build? Land Use Policy 2019, 88, 104187. [Google Scholar] [CrossRef]
  31. Lnenicka, M.; Hervert, P.; Horak, O. Understanding big data and data protection measures in smart city strategies: An analysis of 28 cities. Urban Gov. 2024, 4, 255–273. [Google Scholar] [CrossRef]
  32. Noori, N.; Hoppe, T.; van der Werf, I.; Janssen, M. A framework to analyze inclusion in smart energy city development: The case of Smart City Amsterdam. Cities 2025, 158, 105710. [Google Scholar] [CrossRef]
  33. Grimaldi, D.; Fernandez, V. The alignment of University curricula with the building of a Smart City: A case study from Barcelona. Technol. Forecast. Soc. Change 2017, 123, 298–306. [Google Scholar] [CrossRef]
  34. Fernandez-Anez, V.; Fernández-Güell, J.M.; Giffinger, R. Smart City implementation and discourses: An integrated conceptual model. The case of Vienna, Cities 2018, 78, 4–16. [Google Scholar] [CrossRef]
  35. Roblek, V. 5-The smart city of Vienna. In Smart City Emergence; Anthopoulos, L., Ed.; Elsevier: Amsterdam, The Netherlands, 2019; pp. 105–127. [Google Scholar] [CrossRef]
  36. Costales, E.; Zeyen, A. From social interaction to societal discourse: An ordonomic analysis of the smart city. Cities 2025, 161, 105885. [Google Scholar] [CrossRef]
  37. Randall, L.; Rinne, T.; Berlina, A.; Sigurjónsdóttir, R.H. Smart magic? Global discourse and local planning in three Nordic cities. Cities 2025, 160, 105837. [Google Scholar] [CrossRef]
  38. Parra-Pulido, R.A.; Hernández-Peña, Y.T.; Zafra-Mejía, C.A. Systematic Review of Dimensions and Indicators in Sustainable and Smart Cities: Trends, Interdependencies, and Continental Variations. Urban Sci. 2024, 8, 202. [Google Scholar] [CrossRef]
  39. García-Aranda, C.; Martínez-Cuevas, S.; Torres, Y.; Pedrote Sanz, M. A Digital Twin of a University Campus from an Urban Sustainability Approach: Case Study in Madrid (Spain). Urban Sci. 2024, 8, 167. [Google Scholar] [CrossRef]
  40. Chovancová, J.; Petruška, I.; Pata, U.K. A Cross-National Study on Sustainable Smart City Indicators and Their Influence on Life Expectancy—A Cluster Analysis of EU Countries. Urban Sci. 2024, 8, 164. [Google Scholar] [CrossRef]
  41. Prateeppornnarong, D. Cities and sustainability: Exploring contributions, opportunities and challenges of smart city implementation towards social sustainability. Urban Gov. 2025, 5, 69–78. [Google Scholar] [CrossRef]
  42. Yang, R.; Zhen, F. Smart city development Models: A cross-cultural regional analysis from theory to practice. Res. Glob. 2024, 8, 100221. [Google Scholar] [CrossRef]
  43. Suhardono, S.; Lee, C.-H.; Phan, T.T.T.; Suryawan, I.W.K. Resident action in smart waste management during landfill disclosure transition: Insights from Yogyakarta’s smart city initiatives. Clean. Prod. Lett. 2025, 8, 100093. [Google Scholar] [CrossRef]
  44. Dindarian, A. Chapter 20-Overview: The smart sustainable city initiatives and the circular economy. In Circular Economy and Sustainability; Stefanakis, A., Nikolaou, I., Eds.; Elsevier: Amsterdam, The Netherlands, 2022; pp. 369–384. [Google Scholar] [CrossRef]
  45. Peerlings, E.; Vranic, S.; Kalas, J.O.M.; Steeneveld, G.-J. Indoor heat in Amsterdam: Comparing observed indoor air temperatures from a professional network and from a citizen science approach. City Environ. Interact. 2024, 24, 100173. [Google Scholar] [CrossRef]
  46. Riepl, T.; Schaffartzik, A.; Grabow, S.; Banabak, S. Living well with the foundational economy: Assessing the spatial accessibility of foundational infrastructures in Vienna and the relationship to socio-economic status. Ecol. Econ. 2025, 232, 108558. [Google Scholar] [CrossRef]
  47. Mattijssen, T.J.M.; Hennen, W.; Buijs, A.B.; Dooij, P.D.; Lammeren, R.V.; Walet, L. Urban greening co-creation: Participatory spatial modelling to bridge data-driven and citizen-centred approaches. Urban For. Urban Green. 2024, 94, 128257. [Google Scholar] [CrossRef]
  48. Podder, S.K.; Samanta, D.; Etemi, B.P. Impact of Internet of Things (IoT) applications on HR analytics and sustainable business practices in smart city. Meas. Sens. 2024, 35, 101296. [Google Scholar] [CrossRef]
  49. Chiradeja, P.; Yoomak, S. Development of public lighting system with smart lighting control systems and internet of thing (IoT) technologies for smart city. Energy Rep. 2023, 10, 3355–3372. [Google Scholar] [CrossRef]
  50. Liu, D.; Wei, J.; Kan, Z. Integrated transit service status assessment using smart transit card big data under the x-minute city framework. J. Transp. Geogr. 2025, 125, 104189. [Google Scholar] [CrossRef]
  51. Olivier, A.; Adams, M.; Mohammadi, S.; Smyth, A.; Thomson, K.; Kepler, T.; Dadlani, M. Data analytics for improved closest hospital suggestion for EMS operations in New York City. Sustain. Cities Soc. 2022, 86, 104104. [Google Scholar] [CrossRef]
  52. Huang, G.; Li, D.; Zhou, S.; Thomas Ng, S.; Wang, W.; Wang, L. Public opinion on smart infrastructure in China: Evidence from social media. Util. Policy 2025, 93, 101886. [Google Scholar] [CrossRef]
  53. Xie, X.; Zheng, L.; Wang, R.; Gou, Z. Visitors’ experience of using smart facilities in urban parks: A study in Shenzhen. J. Outdoor Recreat. Tour. 2024, 46, 100759. [Google Scholar] [CrossRef]
  54. Xanthopoulos, S.; van der Tuin, M.; Azadeh, S.S.; de Almeida Correia, G.H.; van Oort, N.; Snelder, M. Optimization of the location and capacity of shared multimodal mobility hubs to maximize travel utility in urban areas. Transp. Res. Part A Policy Pract. 2024, 179, 103934. [Google Scholar] [CrossRef]
  55. El-Afifi, M.I.; Sedhom, B.E.; Padmanaban, S.; Eladl, A.A. A review of IoT-enabled smart energy hub systems: Rising, applications, challenges, and future prospects. Renew. Energy Focus 2024, 51, 100634. [Google Scholar] [CrossRef]
  56. Bösehans, G.; Bell, M.; Thorpe, N.; Liao, F.; de Almeida Correia, G.H.; Dissanayake, D. eHUBs—Identifying the potential early and late adopters of shared electric mobility hubs. Int. J. Sustain. Transp. 2023, 17, 199–218. [Google Scholar] [CrossRef]
  57. Rongen, T.; Tillema, T.; Arts, J.; Alonso-González, J.M.; Witte, J.-J. An analysis of the mobility hub concept in the Netherlands: Historical lessons for its implementation. J. Transp. Geogr. 2022, 104, 103419. [Google Scholar] [CrossRef]
  58. Junyent, I.A.; Casanovas, M.M.; Roukouni, A.; Sanz, J.M.; Blanch, E.R.; de Almeida Correia, G.H. Planning shared mobility hubs in European cities: A methodological framework using MCDA and GIS applied to Barcelona. Sustain. Cities Soc. 2024, 106, 105377. [Google Scholar] [CrossRef]
  59. Song, B.; Xia, H.; Law, B.; Muskat, B.; Li, G. Discovery of smart hotels’ competitiveness based on online reviews. Int. J. Hosp. Manag. 2024, 123, 103926. [Google Scholar] [CrossRef]
  60. Diwan, S.A. Optimizing guest experience in smart hospitality: Integrated fuzzy-AHP and machine learning for centralized hotel operations with IoT. Alex. Eng. J. 2025, 116, 535–547. [Google Scholar] [CrossRef]
  61. Firoozi, A.A.; Oyejobi, D.O.; Firoozi, A.A. Innovations in energy-efficient construction: Pioneering sustainable building practices. Clean. Eng. Technol. 2025, 26, 100957. [Google Scholar] [CrossRef]
  62. Li, S.; Yuan, F.; Liu, J. Smart city VR landscape planning and user virtual entertainment experience based on artificial intelligence. Entertain. Comput. 2024, 51, 100743. [Google Scholar] [CrossRef]
  63. Esper, J.P.; de S. Fraga, L.; Viana, A.C.; Cardoso, K.V.; Correa, S.L. +Tour: Recommending personalized itineraries for smart tourism. Comput. Netw. 2025, 260, 111118. [Google Scholar] [CrossRef]
  64. Yoo, S.; Beumer, R.; van Wee, B.; Mouter, N.; Molin, E. Perceived accessibility by air transportation: A focus group study of potential air travelers in The Netherlands. Transp. Res. Part A Policy Pract. 2025, 193, 104394. [Google Scholar] [CrossRef]
  65. Zakaria, N.; Yusof, S.A.M. Crossing Cultural Boundaries Using the Internet: Toward Building a Model of Swift Trust Formation in Global Virtual Teams. J. Int. Manag. 2020, 26, 100654. [Google Scholar] [CrossRef]
  66. Bolívar, M.P.R.; Muñoz, L.A.; Muñoz, C.A. Identifying patterns in smart initiatives’ planning in smart cities. An empirical analysis in Spanish smart cities. Technol. Forecast. Soc. Change 2023, 196, 122781. [Google Scholar] [CrossRef]
  67. Butt, A.U.R.; Saba, T.; Khan, I.; Mahmood, T.; Khan, A.R.; Singh, S.K.; Daradkeh, Y.I.; Ullah, I. Proactive and data-centric Internet of Things-based fog computing architecture for effective policing in smart cities. Comput. Electr. Eng. 2025, 123, 110030. [Google Scholar] [CrossRef]
  68. Gričar, S.; Longar, U.; Longar, T.; Šugar, V. Cycling into Sustainability: Lessons from the Netherlands for Slovenia’s E-Bike Adoption. Sustainability 2024, 16, 9987. [Google Scholar] [CrossRef]
  69. Ivars-Baidal, J.A.; Celdrán-Bernabeu, M.A.; Femenia-Serra, F.; Perles-Ribes, J.F.; Vera-Rebollo, J.F. Smart city and smart destination planning: Examining instruments and perceived impacts in Spain. Cities 2023, 137, 104266. [Google Scholar] [CrossRef]
  70. Szczepańska, A.; Kaźmierczak, R.; Myszkowska, M. Smart City Solutions from a Societal Perspective-A Case Study. Int. J. Environ. Res. Public Health 2023, 20, 5136. [Google Scholar] [CrossRef]
  71. Floričić, T.; Šker, I.; Maras Benassi, H. Enhancing Digital Promotion of Cultural Attractions: Assess. Websites, Online Marketing Toolsand Smart Technologies. Bus. Syst. Res. 2023, 14, 72–92. [Google Scholar] [CrossRef]
  72. Neumannová, M. Smart districts: New phenomenon in sustainable urban development—Case study of Špitálka in Brno, Czech Republic. Folia Geogr. 2022, 64, 27–48. [Google Scholar]
  73. Mocák, P.; Matlovičová, K.; Matlovič, R.; Pénzes, J.; Pachura, P.; Mishra, P.K.; Kostilníková, K.; Demková, M. 15-minute city concept as a sustainable urban development alternative: A brief outline of conceptual frameworks and Slovak cities as a case. Folia Geogr. 2022, 64, 69–89. [Google Scholar]
  74. Matlovič, R.; Matlovičová, K. Polycrisis in the Anthropocene as a key research agenda for geography: Ontological delineation and the shift to a postdisciplinary approach. Folia Geogr. 2024, 66, 5–33. [Google Scholar]
  75. Ahmed, K.S. How to choose a sampling technique and determine sample size for research: A simplified guide for researchers. Oral Oncol. Rep. 2024, 12, 100662. [Google Scholar] [CrossRef]
Figure 1. Structural Equation Modeling (SEM). Source: Prepared by the authors (2025).
Figure 1. Structural Equation Modeling (SEM). Source: Prepared by the authors (2025).
Urbansci 09 00169 g001
Table 1. Total variance explained.
Table 1. Total variance explained.
FactorInitial EigenvaluesExtraction Sums of Squared LoadingsRotation Sums of Squared Loadings
Total% of VarianceCumulative %Total% of VarianceCumulative %Total% of VarianceCumulative %
15.24752.46852.4682.03420.33820.3384.65546.54946.549
22.34023.40475.8724.89248.91969.2571.78217.82164.370
31.11311.13187.0021.25212.51581.7721.74017.40281.772
40.3843.83890.840
50.2752.74993.589
60.2562.56196.150
70.1671.67497.825
80.0990.98698.810
90.0770.76699.576
100.0420.424100.000
Table 2. Factor matrix.
Table 2. Factor matrix.
Factors
Factor 1Factor 2Factor 3
Enhanced Travel−0.0290.8930.077
Digital Enhancement0.0150.8370.039
Secure Travel−0.0430.7980.068
Digital Investment0.4250.3220.735
Efficient Mobility0.999−0.002−0.004
Interactive Experience−0.0050.981−0.095
Seamless Planning0.8650.067−0.064
Instant Access0.0210.942−0.104
Personalized Services0.3170.3270.820
Sustainable Innovation−0.0400.8320.038
Table 3. Standardized regression weights: (group number 1—default model).
Table 3. Standardized regression weights: (group number 1—default model).
Estimate
Smart Travel<---Digital Enhancement−1.266
Smart Travel<---Smart Efficiency1.602
Personalized Services<---Digital Enhancement0.412
Digital Investment<---Digital Enhancement0.504
Enhanced Travel<---Smart Travel0.898
Digital Enhancement<---Smart Travel0.841
Secure Travel<---Smart Travel0.806
Interactive Experience<---Smart Travel0.977
Instant Access<---Smart Travel0.941
Sustainable Innovation<---Smart Travel0.834
Seamless Planning<---Smart Efficiency0.853
Efficient Mobility<---Smart Efficiency1.015
Disclaimer/Publisher’s Note: The statements, opinions and data contained in all publications are solely those of the individual author(s) and contributor(s) and not of MDPI and/or the editor(s). MDPI and/or the editor(s) disclaim responsibility for any injury to people or property resulting from any ideas, methods, instructions or products referred to in the content.

Share and Cite

MDPI and ACS Style

Vujko, A.; Knežević, M.; Arsić, M. The Future Is in Sustainable Urban Tourism: Technological Innovations, Emerging Mobility Systems and Their Role in Shaping Smart Cities. Urban Sci. 2025, 9, 169. https://doi.org/10.3390/urbansci9050169

AMA Style

Vujko A, Knežević M, Arsić M. The Future Is in Sustainable Urban Tourism: Technological Innovations, Emerging Mobility Systems and Their Role in Shaping Smart Cities. Urban Science. 2025; 9(5):169. https://doi.org/10.3390/urbansci9050169

Chicago/Turabian Style

Vujko, Aleksandra, Miroslav Knežević, and Martina Arsić. 2025. "The Future Is in Sustainable Urban Tourism: Technological Innovations, Emerging Mobility Systems and Their Role in Shaping Smart Cities" Urban Science 9, no. 5: 169. https://doi.org/10.3390/urbansci9050169

APA Style

Vujko, A., Knežević, M., & Arsić, M. (2025). The Future Is in Sustainable Urban Tourism: Technological Innovations, Emerging Mobility Systems and Their Role in Shaping Smart Cities. Urban Science, 9(5), 169. https://doi.org/10.3390/urbansci9050169

Article Metrics

Back to TopTop