Next Article in Journal
Thermal Stress in Outdoor Spaces During Mediterranean Heatwaves: A PET and UTCI Analysis of Different Demographics
Previous Article in Journal
Urban Canopy Parameters’ Computation and Evaluation in an Indian Context Using Multi-Platform Remote Sensing Data
 
 
Font Type:
Arial Georgia Verdana
Font Size:
Aa Aa Aa
Line Spacing:
Column Width:
Background:
Article

Determining the Effectiveness of Interventions for the Reduction of Child Exposure to Traffic-Related Air Pollution at Schools in England

Air Quality Management Resource Centre (AQMRC), University of the West of England, Frenchay Campus, Bristol BS16 1QY, UK
*
Author to whom correspondence should be addressed.
Urban Sci. 2024, 8(4), 192; https://doi.org/10.3390/urbansci8040192
Submission received: 29 September 2024 / Revised: 21 October 2024 / Accepted: 25 October 2024 / Published: 28 October 2024

Abstract

Traffic-related air pollution (TRAP) is a significant risk to human health and is particularly damaging to children as a vulnerable group. TRAP exposure near schools and on the school commute is linked to a growing number of adverse health effects, including respiratory and cardiovascular disease and can lead to (and exacerbate existing) respiratory conditions. The current study aimed to assess the effectiveness of interventions for the reduction of potential child exposure to TRAP at the school gates and on the school commute. This study employed dispersion modelling to assess the effects of interventions for reducing TRAP concentrations in the vicinity of five schools in England. The results revealed that all interventions led to reductions in nitrogen dioxide (NO2) concentrations. Improved travel routes were the most effective intervention for reducing concentrations along travel routes, while the introduction of low-emission zones (LEZs) proved most effective in reducing NO2 concentrations at schools, with greater effectiveness observed at shorter distances. Active travel also demonstrated effectiveness, particularly in areas with heavy traffic. When considering all receptors, LEZ implementation, active travel, and rideshare interventions exhibited effectiveness, with greater distance providing greater reductions in NO2 concentrations. Anti-idling was found to be more effective in sparsely populated areas. Combined with improved travel routes, anti-idling showed the greatest percentage difference in concentrations, followed by active travel, and rideshare.

1. Introduction

Traffic-related air pollution (TRAP) poses a significant health risk, particularly to vulnerable populations such as children [1]. The significant impact of TRAP on children’s health is well researched, particularly due to their developing respiratory systems and higher breathing rates compared to adults. Exposure to TRAP has been associated with a range of adverse health outcomes, including respiratory illnesses, reduced lung function, and an increased incidence of asthma attacks [2,3]. Additional research has further linked prolonged exposure to nitrogen dioxide (NO2) and particulate matter (PM) from motor transport to cardiovascular issues and cognitive development impairments in children [4,5]. These findings underscore the urgent need for effective measures to reduce children’s exposure to TRAP, especially around schools and during peak commuting periods. By incorporating additional recent studies, the current investigation aims to reinforce the evidence base that underpins the need for interventions aimed at mitigating TRAP exposure.
Children are particularly vulnerable to the adverse effects of TRAP due to several physiological and behavioural factors. Research indicates that children’s lungs are still developing, and they breathe more air per unit of body weight than adults, leading to higher exposure levels when pollutants are present in the air [1]. Prolonged exposure to pollutants such as NO2 and fine particulate matter can impair lung development, increase the risk of respiratory infections, and exacerbate existing conditions like asthma and bronchitis [2]. Additionally, there is growing evidence that TRAP is linked to neurodevelopmental issues, including reduced cognitive function, behavioural problems, and increased risks of attention deficit hyperactivity disorder (ADHD) [5]. The long-term health impacts of early-life exposure to air pollution extend into adulthood, contributing to chronic conditions such as cardiovascular disease and reduced lung capacity [3]. These findings highlight the critical need for effective strategies to reduce TRAP exposure, particularly around schools where children spend a significant amount of time.
In England, where urbanisation and vehicle usage rates are high, efforts to mitigate the impact of TRAP on schoolchildren have gained considerable attention. Various interventions have been proposed and implemented to improve air quality near schools, aiming to protect the health and wellbeing of children [6].
Active travel on the school commute is considered beneficial to children as a source of physical activity [7] and to lower traffic and pollution at peak times [8]. There is an inverse relationship between physical activity and youth obesity [9,10,11,12], and adult coronary heart disease has been associated with poor body composition in childhood [13].
Active travel has been demonstrated to help reduce body mass index (BMI) and consequently reduce long-term diseases such as those related to obesity [14,15]. The increased exercise associated with active travel uptake has also been shown to improve academic performance among pupils [16,17] and also has the advantage over other physical activities of being low cost and convenient [9,10].
Active travel provides an opportunity for children and young people to benefit from regular physical activity whilst reducing the traffic burden at peak travel times and lowering pollution around schools and on the school commute (Lee, Orenstein, and Richardson, 2008). In many contexts, the substitution of walking or cycling in place of vehicular transport use provides benefits in terms of increased physical activity that outweigh the adverse effects associated with the inhalation of air pollution during these physical activities [18].
Campaigns and technologies associated with anti-idling are prevalent in the literature, including research by Ryan et al. [19] and Paton-Walsh et al. [20], who assessed the effectiveness of anti-idling campaigns, and Xu et al. [21], who developed and implemented an anti-idling detection and warning system. The areas immediately surrounding schools are often regarded as having high traffic concentrations at peak times [22] and are accordingly sources of elevated pollution. Living near these traffic sources is also associated with the development of asthma and the worsening of existing respiratory illnesses [23]. Child microenvironments commonly include schools and travel to and from schools, sometimes in vehicles. These environments have been argued as particularly relevant when considering TRAP exposure, especially when considering the number of schools in close proximity to major roads in the UK [24]. Paton-Walsh et al. [20] identified limiting motor vehicle idling as an effective measure for the reduction of air pollution, in addition to co-benefits such as reduced fuel costs. Idling vehicle emissions contribute to student exposure to air pollution [2], and rush hour peaks in exposure have also been identified [25]. Anti-idling is considered to be an effective measure for improving air quality, as most idling occurs at exposure hotspots such as road junctions, car parks, and schools. The researchers recommended the introduction of anti-idling zones, particularly around at-risk populations, such as child-care centres, care homes, schools, and hospitals.
Anti-idling is argued to be most effective for air quality improvement in areas where traffic associated with drop-off and pick-up is a significant contributor to the local air pollution mix [26,27]. However, the intervention is not as effective when schools are near major roadways [2,21]. Appropriate education must also accompany anti-idling efforts to ensure that drivers are fully informed about the health impacts of poor air quality and vehicular emissions and are then more likely to show compliance and less likely to resent the intervention [28].
Ridesharing (or carpooling) is the organised sharing of a private vehicle for commuting purposes [29]. Ridesharing arrangements may involve the payment of a nominal charge to the owner of the vehicle, but a more typical arrangement involves sharing different owner’s vehicles on a rotational basis without charge [30]. For this reason, ridesharing is often considered in terms of public transport [31].
The benefits associated with a successful ridesharing scheme are substantial, including reducing emissions and fuel consumption, lowering congestion during peak traffic periods, and reducing parking costs for users [31]. Those commuting by ride-share also save time and money in the form of fuel and parking costs [30], and for employers, reductions of parking requirements and additional benefits associated with improved productivity among less stressed workers [32]. There are also broader benefits in the form of the reduction of congestion, improvements to energy security, and lower greenhouse gas emissions [33]. The introduction of vehicle-restricted areas, known as low-emission zones (LEZs), is a significant policy intervention globally, aimed at improving urban air quality. There are over 200 LEZs in operation in Europe alone, underlining their widespread adoption as a means of reducing emissions and improving air quality [34].
LEZs are localised measures implemented in specific geographic areas to reduce vehicle emissions and improve local air quality [35]. They come in various forms, including those activated during pollution exceedances, technology-based restrictions, and traffic-prioritisation for emission reduction [36]. Timing is an important factor in LEZ implementation, with some urban centres using pollution forecasts to trigger action [37].
Some studies highlight the benefits of implementing low-emission zones (LEZs) and specifically note positive effects in the case of the London LEZ [38,39,40]. It is important to distinguish between LEZs and ‘School Streets’ initiatives. LEZs aim to reduce air pollution by encouraging low-emission vehicles and alternative transportation methods [41]. School Streets initiatives, on the other hand, focus on improving safety and reducing congestion around schools during drop-off and pick-up times, making it safer for children to walk or cycle [42,43]. While conflicting evidence exists [44], some research shows that following implementation traffic can be reduced overall rather than displaced [45].
The effectiveness of interventions to reduce TRAP often relies on accurate modelling of pollutant dispersion. Various models, such as the ADMS-Roads, CALINE4, and AERMOD, have been employed to predict pollutant concentrations under different conditions, considering factors such as meteorology, traffic patterns, and topography [46,47,48]. Verification and validation of these models are critical to ensuring their accuracy and reliability. Verification involves comparing model outputs with observed data to identify discrepancies, while validation confirms that the model can accurately predict pollutant levels in scenarios outside the initial calibration dataset. The current study utilised the ADMS-Roads model, and to ensure robustness, it was subjected to a thorough verification process (see Section 2.4. Model Verification). Details of this process are elaborated in the methodology section, highlighting how model adjustments were made to improve accuracy and ensure reliable predictions.
By integrating real-world data on traffic patterns, meteorological conditions, and the geographic layout of schools, this study simulates the dispersion of air pollutants emitted by traffic sources around selected schools. The interventions for assessment were selected based on the study detailed in Brown [49], within which a systematic review identified suitable mitigation interventions for the reduction of child exposure to traffic-related air pollution exposure during peak morning traffic on the school commute and at the school gates. These measures were then ratified by parents and teachers via a questionnaire distributed to schools throughout England. The measures include mode shifts to active travel, improved travel routes, anti-idling, rideshare, and implementation of low-emission zones (LEZs). It is important to note that in the case of school children, studies have shown that peak exposure occurs at drop-off and collection times from school [26,49], and after that, exposure is dominated by conditions in the indoor microclimate, which is neither represented by the model nor the monitoring data. Given that the study here uses averaged daily data, it does not demonstrate the effectiveness of the interventions at specific times of day, such as peak traffic. Rather, this study is intended as a measure of comparative effectiveness of each included intervention.
Whilst a range of interventions currently exist for reducing TRAP, there are currently no studies that comprehensively compare their effectiveness on the school commute and at the school gates during peak morning traffic. The current study addresses this research gap by employing dispersion modelling to assess the effects of interventions for the reduction of potential child exposure to TRAP concentrations on the school commute and at the school gates. The study aim is to determine the most effective TRAP reduction interventions around the school gates and for children on the school commute in England at peak traffic times. Accordingly, this study evaluates the effectiveness of various interventions aimed at reducing TRAP exposure among children at schools in England. This is achieved by using dispersion modelling, which allows for a detailed assessment of how different strategies impact pollutant concentrations near school zones. This study seeks to address the following key objectives:
  • To compare the relative effectiveness of interventions for reducing TRAP around schools in England.
  • To provide insights for policymakers on the potential benefits and trade-offs of implementing these strategies in urban settings.
This study offers a novel contribution to the literature by comprehensively comparing multiple TRAP reduction interventions within a single framework. This research integrates approaches to assess their comparative effectiveness across different school environments. Furthermore, by incorporating real-world data and using dispersion modelling, this study delivers relevant insights that can directly inform policy decisions aimed at improving air quality around schools. The findings of this study develop understanding of the spatial distribution and concentration levels of air pollutants and provide critical insights to policymakers, urban planners, and stakeholders involved in designing and implementing strategies for reducing TRAP and child exposure on the school commute.

2. Materials and Methods

2.1. School Site Selection

The selection of school sites for this study was based on data availability, including the presence of necessary traffic, air quality, and meteorological data. While this allowed for a robust analysis of the interventions at these sites, it is important to acknowledge that the chosen schools may not be fully representative of the diverse range of traffic patterns, population densities, and socio-economic environments present across England. The selected schools are primarily located in urban areas with specific characteristics (due predominantly to a comparative lack of robust data availability in areas affected with lower air pollution levels), which may limit the generalisability of the findings to other contexts, such as rural areas or highly congested city centres.
Schools were selected according to the criteria within the methodology presented in Brown [49], based on the data input requirements of ADMS Roads (Version 5.0). These criteria include the following requirements:
  • The school must be located within an AQMA.
  • The school must be located within 500 m of an AURN station.
  • Suitable meteorological data must be available.
  • Suitable traffic data must be available.
Five school sites were selected for modelling, each containing a suitable primary school for use as a principal receptor. In those cases where other educational establishments existed within the boundary, these were added to the model as secondary receptors, although the interventions were only modelled on the primary schools (principal receptors) in each site where possible (Table 1).
Each site was demarcated by a 500-m buffer surrounding each school to provide a boundary for the modelling area. In each site, primary schools were preferred for use as principal receptors due to the vulnerability of their pupils. All selected schools were located within AQMA boundaries in England and were heavily polluted according to IDW-derived annual mean NO2 concentrations. Each of the selected school sites also had all required input data available for dispersion modelling. Each region contained highly polluted schools, and the surrounding sites contained air quality and traffic monitors and access to necessary meteorological data. All schools were added to ADMS as receptors, and the sites with schools were plotted using the ADMS Mapper function (Appendix A).
Diffusion tube and continuous monitoring data were available at all sites. AURN monitoring data were sourced from Air Quality England [50]. Monitored data from local authorities were sourced from Bristol City Council [51], Sheffield City Council [52], Coventry City Council [53], and Oxford City Council [54].
All sites are roadside sites with 2019 data, so they were suitable for verification and adjustment (see Appendix D). Predictions of pollutants closer to roadside sites are commonly used by local authorities because these are at greater risk of exceedances. Accordingly, the verification of models is generally based on these monitoring sites. Because dispersion models may perform differently at different site types, two AURN sites were not included: Oxford St Ebbe’s and Sheffield Tinsley. Both sites are AURN continuous monitoring urban background sites and were considered unrepresentative of the nearby roads [55].
The St Paul’s site in the City of Bristol is a highly populated urban centre that is close to the M32 motorway, which approaches the city centre. The site contains the A4032, A4044, and A38. Several small urban parks are sited throughout the densely packed housing area surrounding Cabot Primary School and St Paul’s Nursery and Children’s Schools.
The Bedminster site in the City of Bristol contains Parson St Primary School and is characterised by a busy road network comprising several A-roads. The school is located by traffic lights on a busy 3-way intersection joining the A38 and the A3029. There is limited green space within the site.
The Binley site in Coventry is comparatively less populated, containing many more commercial buildings and some larger areas of green space. The A4600 and A444 intersect by Gosford Green and run through the site.
The St Ebbe’s site in Oxford contains the most sparsely populated urban residential area, with large areas of green space and the River Thames crossing the region. The A420 and the A4144 intersect, and the latter crosses the length of the site.
The Sheffield Tinsley site is sparsely populated but is characterised by industrial buildings with some residential areas. The M1 runs through the site and intersects the A6178 and A631.

2.2. Model Inputs

2.2.1. Receptors

Schools were marked as receptors, as was each junction point throughout the modelled travel routes (see Section 2.3.1. Assumptions), providing representative categories with which to determine reductions against the baseline due to the implementation of mitigation measures. In addition, continuous monitors and diffusion tubes within the boundaries of the modelling sites were also added as receptors for model verification.
Where the inlet height of diffusion tubes was not available from local authorities, the height was entered as 2 m, which is typical for diffusion tube placement as it corresponds to approximate human height. DEFRA’s advice to local authorities on this issue maintains that, whilst samplers should ideally be placed at breathing height for local air quality management, it is recommended that they are placed between 2 and 4 m to reduce tube theft if the risk is anticipated [56].
School receptor heights were set at the average height of the children attending. For primary schools, this was 1.2 m (the average height of a 7-year-old child), and for children’s centres and infant schools, 1 m (the average height of a 3-to-5-year-old child) [57]. All travel route receptors were allocated at a height of 1.2 m for consistency across all sites.

2.2.2. Background Pollution

This study utilised DEFRA’s background pollution maps to establish baseline air quality levels across different sites. While these maps provide a broad estimate of background pollutant concentrations, they do not account for temporal variability, such as daily or hourly fluctuations. In urban areas, pollution levels can vary significantly throughout the day due to factors like peak traffic, weather conditions, and localised emissions, which may not be adequately captured by static annual averages. This limitation introduces an element of uncertainty into the dispersion model outputs, as the true baseline pollution levels during key times (e.g., morning rush hours) might differ from the average values used. However, the maps were considered suitable for the requirements of the current study to establish a consistent baseline against which comparative assessment of the selected interventions can take place.
Based on local authority mean concentrations, the background pollutant concentrations of NOX and NO2 for all sites were determined using DEFRA’s background maps projected for 2019 [58] and input to a GIS with mapped local authority boundaries [59]. DEFRA provides the background data for LAQM purposes, and the data are projected based on assumptions prior to the UK COVID-19 outbreak. The mean concentrations for each site area were calculated using the ‘summarize within’ function of ArcMap (Version 10.8.1), specifying local authority boundaries as the boundary layer (see Appendix B for calculated background school pollution values).

2.2.3. Meteorology

Meteorological conditions, including wind speed, wind direction, temperature, and atmospheric stability, are key factors that influence the dispersion and concentration of air pollutants. These variables affect how pollutants are transported, diluted, and deposited in the environment. For example, high wind speeds can disperse pollutants more effectively, reducing concentrations near the source, while low wind speeds may lead to stagnation and higher local pollution levels. Similarly, atmospheric stability can affect vertical mixing, with stable conditions often leading to pollutant accumulation near the ground. In the current study, meteorological data from the year 2019 were incorporated into the dispersion models, but it is important to acknowledge that variations in weather conditions can significantly impact the results.
Meteorological data for all sites were sourced from the CEDA Archive [60] (Appendix C). All observation stations are within 50 km of their respective school sites, and all had recorded suitable and sufficient data for 2019.

2.2.4. Traffic Counts

Traffic count data were sourced to provide counts for major roads with which to base input data to the models [61]. A limitation of the traffic data is that it is annualised and averaged. The Annual Average Daily Flow (AADF) measures one-way traffic flow. Annual Average Daily Traffic (AADT) is traffic measured in both directions. This value is determined by dividing the yearly traffic volume count by 365. The Average Daily Traffic (ADT) value is obtained by dividing a traffic count by the number of days within its collection period. When converted into AADF, AADT assumes an equal directional split unless additional data (studies or traffic counts) show a directional bias (ibid.). In this respect, school holiday times should be considered due to the reduction of traffic around schools during the summer holidays [62]. However, this was not possible given the traffic count format and is identified as a limitation of the available data.
This presents a key limitation of this study, given the reliance on averaged daily traffic data, which does not account for specific peak periods, particularly during the morning rush hours when children are most likely to be commuting to school. Morning traffic peaks tend to have higher vehicle volumes and potentially greater emissions, which can lead to increased short-term exposure to TRAP among children. The absence of time-specific traffic data means the model may not fully capture these critical periods of heightened exposure. While this limitation impacts the precision of the findings during peak times, the use of averaged data allows for a consistent comparison of different interventions across all sites, offering insights into their relative effectiveness.

2.2.5. Links

The number of road links modelled were ultimately determined by the geographies surrounding the schools and the limits of the model (150). Given the dangers to health associated with proximity to air pollution [63,64,65] a 500-m buffer was applied to each key school receptor in each site. Input parameters such as road width and canyon height were calculated using measurements taken on Google Earth Pro (Version 7.3.4).

2.3. Modelling Interventions

Interventions were selected based on the findings of the systematic review and stakeholder survey detailed in Brown [49]. These included active travel, anti-idling, rideshare, low-emission zones (LEZs), and alternative walking routes.

2.3.1. Assumptions

A set of assumptions was required for consistent modelling across all the sites. These were established prior to the modelling and acknowledged incomplete or unavailable data and limitations in the modelling software or process:
Ideally, the interventions would be applied only to the morning rush hour, but the input data are averaged over a day, so the model averages the effects of the interventions over an entire day. This is accounted for in the application of the interventions to the models, in which any relevant traffic reductions were applied to all affected road links without temporal association.
Due to the limited number of road links in ADMS-Roads, the interventions were modelled at two schools in Bristol St Paul’s. Walking and driving routes were plotted to Cabot Primary School, but active travel routes to St Paul’s Children’s Centre were not because children would be too young to walk there alone. The LEZ was modelled on St Paul’s Children’s Centre because of its central position and the ability to demarcate 100-m radii up to 500 m.
Catchment data are unique to each school and difficult to obtain. To ensure consistency, travel routes were plotted based on the assumption that most pupils travel from the centre of residential areas within 500 m of the schools. Receptors were placed at each road junction along the routes to provide data for the interventions. When two road links were within 10 m, only one receptor was placed for consistency.
RAC data [66] show 55% of morning traffic is school-related, so this was assumed for all sites.
The Oxford St Ebbe’s centroid marks the school’s location, but the main access point for children is 217 m east. This is the destination receptor in the plotted travel routes.
Converting AADT to AAHT underestimates traffic volumes in the models. Verification will ensure that appropriate volumes are specified for each model region. However, the interventions will be assessed using traffic reductions that are proportional to their starting volumes. Therefore, greater traffic volume accuracy is not necessary for the modelling but should be considered for future research.

2.3.2. Application of Interventions to Sites

This section describes key considerations and practical points of application of the selected interventions to each site.
Mode shifts to active travel:
School traffic was reduced by 40% on all school routes, assuming 55% [66] of morning traffic is school-related (22% of overall traffic) (see Section 2.3.1. Assumptions). Receptors were placed at each junction along the most direct driving routes.
Improved travel routes:
The models assumed no change to traffic and assessed the effectiveness of the route changes under the same conditions. Alternative route choices were plotted to use low-traffic routes (then referred to as ‘improved travel routes’) to reduced potential exposure to TRAP. Receptors were placed at each road or path junction for each improved walking route. The total mean TRAP was determined for each route by averaging all receptors’ NO2 concentration values. External receptors were omitted from the analyses because their concentration values did not change following the intervention.
Anti-Idling:
The anti-idling measure was applied during morning drop-off and afternoon collection times. A 55% traffic reduction was used to simulate the removal of idling traffic in the vicinity of the schools. This was considered acceptable as it provided an output that could be used for comparison with other measures. Some roads were not suitable for the application of this measure, so anti-idling was modelled on the street immediately behind the school and the section of Parson St that contains the entrance to the school car park.
Rideshare:
Existing travel routes were used to simulate school traffic. Under ideal circumstances, a rideshare scheme would require 25% uptake, with each car carrying four passengers (including the driver). School traffic was reduced by 80% to simulate the rideshare scenario.
Low-Emission Zones (LEZs):
The simulation closed all streets within 200, 300, 400, and 500 m of the school to non-essential traffic. A 55% traffic reduction was applied in each radius. This ensured that school grounds were encapsulated at each site and consistency was maintained across each escalation of distance.

2.4. Model Verification

The models were verified and adjusted according to the LAQM Technical Guidance [64]. Verification and adjustment plots are provided in Appendix D.

3. Results

Table 2 details NO2 reductions for active travel, anti-idling, improved travel routes, and all interventions combined with improved travel routes. Table 3 shows the reductions due to the LEZ interventions and the LEZ combined with improved travel routes.

3.1. Overview of Intervention Reductions

The active travel intervention was most successful at Cabot Primary School, Southfields Primary School, and Parson St School. All three sites are characterised by heavy traffic and congestion, with tightly knit roadways and nearby major road networks (see Table 2).
All interventions were equally effective at St Ebbe’s and Tinsley Meadows, which have sparse populations and limited roads. Active travel promotion and rideshare were more effective than anti-idling at Parson St, which has heavy traffic.
A similar but less pronounced pattern was observable at Southfields Primary School, Coventry Binley, which also showed that active travel promotion (3.15%) and rideshare (2.91%) were comparatively more effective than anti-idling (1.74%).
The effectiveness of LEZs increased with diameter, but this was not as pronounced at St Ebbe’s. The percentage reduction in NO2 levels continued to increase with LEZ diameter, but the rate of reduction decreased (see Table 3).
Sheffield Tinsley was the only site in which anti-idling was more effective than rideshare and active travel. At Bristol St Paul’s, Bristol Bedminster, and Coventry Binley, active travel was the most effective intervention, followed by rideshare. At the Oxford St Ebbe’s site, rideshare was more effective than active travel and anti-idling.
For all sites, increasing the diameter of the LEZ produced a greater percentage reduction of concentrations. However, the degree of reduction with increased diameters is inconsistent across sites.

3.2. Intervention Reductions at Travel Routes

The shift to improved travel routes was the most effective intervention for mean concentration reduction on travel routes at Bristol St Paul’s (21.90%), Bristol Bedminster (18.67%), and Oxford St Ebbe’s (10.36%) (Table 2). At the Sheffield Tinsley site, rideshare was most effective (12.02%) and was marginally more effective than improved travel routes at Coventry Binley (19.35 and 18.96%, respectively).
Observable reduction patterns largely mirrored the interventions’ effectiveness at schools with anti-idling performing poorly compared to other interventions at Bristol St Paul’s, Bristol Bedminster, and Coventry Binley. Greater reduction proportions were achieved at these sites with heavier traffic.
The introduction of a 500 m LEZ was the most effective distance for concentration reduction at all sites (Table 3). The degree of effectiveness of increasing the LEZ diameter declined at Coventry Binley and Oxford St Ebbe’s.
Compared to active travel, anti-idling, rideshare, and improved travel routes, the comparative effectiveness of LEZ differs among sites. Improved travel routes were more effective than all other interventions at Bristol St Paul’s and second to LEZ (500 m) at Bristol Bedminster and rideshare at Coventry Binley. Active travel was also more effective than all LEZ diameters at Coventry Binley.

3.3. Overall Effectiveness of Interventions at All Sites Combined

3.3.1. Overview of All Sites Combined

To determine the overall performance of the interventions, mean reductions were produced by combining modelled NO2 reductions for schools, all site receptors, and combined travel routes at all sites as a consequence of the interventions. Percentage reductions compared to the baseline were then calculated for each intervention (Table 4).
For all travel routes, improved travel routes produced the greatest percentage of NO2 reduction, followed by LEZ (500 m) (16.02% and 15.85%, respectively) (Table 4). When considering all site receptors, the LEZ (400 m) produced the greatest percentage reduction (9.67%), followed by active travel (8.15%) (Table 4). Whilst the LEZ was more effective at 500 m at all sites, the degree of effectiveness differed from site to site, making the 400-m iteration the most effective overall when considering all sites. When considering all schools, the proportions of reduction were closer, although LEZ (500 m) was the most effective.

3.3.2. Effectiveness of Individual Interventions

The current section describes the effectiveness of each intervention at all sites, considering reductions at schools, all site receptors, and travel routes.
Active travel reduced NO2 concentrations at all sites, with the greatest reductions found at Bristol Bedminster. The most effective concentration reductions were found on travel routes at all sites. Parson St School, Bristol Bedminster, had the greatest reduction among schools (12.63%), and also the greatest overall reduction (mean reduction of all receptors, 9.57%) (Table 2).
Anti-idling reduced NO2 concentrations at all sites, but the reductions were smallest at Oxford St Ebbe’s. The most effective concentration reductions were found on travel routes at all sites. Parson St School, Bristol Bedminster, had the greatest reduction among schools (5.66%). Sheffield Tinsley had the greatest overall reduction (mean reduction of all receptors, 6.03%) (Table 2).
Rideshare reduced NO2 concentrations most on travel routes at all sites, with the greatest reductions at Bristol St Paul’s and Bristol Bedminster (16.82% and 15.15%, respectively). The reductions were smallest at Oxford St Ebbe’s (8.18%). The reductions at Parson St School, Bristol Bedminster, were greater than the site receptors mean (11.36% and 7.65%, respectively) (Table 2).
A sensitivity analysis was conducted to determine the most effective improved travel routes for each site. The most effective routes were those with the greatest percentage reduction in NO2 concentrations. The greatest reductions were found in the travel routes at Bristol St Paul’s (21.90%), Bristol Bedminster (18.67%), and Coventry Binley (18.96%). The lowest reductions were found in the travel routes at Oxford St Ebbe’s and Sheffield Tinsley (10.36 and 10.21%) (Table 2).
The patterns of reduction for each site were largely consistent, with the most prominent reductions found at travel routes at all sites. Far lower reductions were found at the schools. Of all schools, Parson St School shows the greatest reduction at the 500 m iteration (12.36%) (Table 3).

3.3.3. Combined Interventions

Combining improved travel routes with other interventions further reduced NO2 concentrations on each route and the overall mean concentrations. Accordingly, no difference was found for schools or other receptors external from the improved travel route receptors.
The mean NO2 concentration reductions on improved travel routes were 24.58%, 25.62%, and 22.65% at Bristol St Paul’s, Bristol Bedminster, and Coventry Binley, respectively (Table 2). Oxford St Ebbe’s and Sheffield Tinsley showed comparatively smaller reductions of 13.34% and 13.13%, respectively.
The combination of improved travel routes and anti-idling intervention resulted in a mean NO2 concentration reduction of 17.47% (3.89 µg/m3) at all sites. The greatest proportional reductions were found at Bristol St Paul’s, Coventry Binley, and Bristol Bedminster (22.64%, 19.15%, and 19.05%, respectively). Oxford St Ebbe’s and Sheffield Tinsley showed comparatively smaller reductions of 13.70% and 12.79%, respectively (Table 2).
The combination of improved travel routes and rideshare intervention resulted in a mean NO2 concentration reduction of 19.86% (4.46 µg/m3) at all sites (Table 2). The greatest proportional reductions were found at Bristol St Paul’s, Bristol Bedminster, and Coventry Binley (25.15%, 24.21%, and 22.00%, respectively). Oxford St Ebbe’s and Sheffield Tinsley showed comparatively smaller reductions of 13.85% and 14.08%, respectively.
The combination of improved travel routes and LEZ intervention resulted in the largest NO2 concentration reductions at Bristol St Paul’s and Bristol Bedminster (−7.44 and −7.05 µg/m3, respectively). The greatest proportionate reductions were found at these sites as well (18.89% and 18.30%, respectively) (Table 3). The percentage of reduction follows a similar pattern at all sites, with the effectiveness of the LEZ increasing with a greater distance, although the magnitude of effectiveness declines with increasing distance at Coventry Binley and Oxford St Ebbe’s.

3.3.4. Comparison of Combined Interventions with Single Interventions

The overall reductions associated with improved travel routes when combined with each intervention were calculated. The most effective interventions combined with improved travel routes overall (combined mean of all sites) were active travel and rideshare (each 19.86%) (Table 2). LEZ implementation produced a generally consistent percentage reduction, with increasing distance when compared to the original reductions achieved without the addition of improved travel routes.
The combined active travel intervention and improved travel routes resulted in the greatest NO2 reductions at Coventry Binley (3.59 µg/m3) and the smallest reductions at Sheffield Tinsley (0.36 µg/m3).
The combined interventions were more effective than the single active travel intervention at all sites, with the greatest differences at Bristol St Paul’s, Bristol Bedminster, and Coventry Binley (2.19, 2.21, and 3.59 µg/m3, respectively). The combined interventions also resulted in the greatest percentage reductions in NO2 at Bristol St Paul’s, Bristol Bedminster, and Oxford St Ebbe’s (8.32, 8.72, and 7.72%, respectively) (Table 5).
The combined anti-idling intervention and improved travel routes resulted in the greatest NO2 reductions at Coventry Binley (17.1 µg/m3) and the smallest reductions at Sheffield Tinsley (1.89 µg/m3).
The combined interventions were more effective than the single anti-idling intervention at all sites, with the greatest differences at Bristol St Paul’s, Bristol Bedminster, and Coventry Binley (2.91, 2.94, and 2.64 µg/m3, respectively). The combined interventions also resulted in the greatest percentage reductions in NO2 at Bristol St Paul’s, Bristol Bedminster, and Coventry Binley (11.05, 11.59, and 11.75%, respectively) (Table 6).
The combined rideshare intervention and improved travel routes resulted in the greatest NO2 reductions at Bristol St Paul’s and Bristol Bedminster (6.62 and 6.14 µg/m3) and the smallest reductions at Oxford St Ebbe’s and Sheffield Tinsley (2.42 and 2.08 µg/m3).
The combined interventions also resulted in the greatest percentage reductions in NO2 at Bristol St Paul’s, Bristol Bedminster, and Oxford St Ebbe’s (8.33, 9.06, and 5.67%) and the smallest reductions at Sheffield Tinsley (2.06%) (Table 7).
The outcome of the LEZ intervention with the improved travel routes combined with the LEZ intervention was assessed. The greatest percentage of NO2 (µg/m3) differences were found at the Bristol Bedminster site between the LEZ (200 m) (20.17%) and LEZ (500 m) iterations (20.25%) (Table 3).

4. Discussion

This study investigated the effectiveness of different interventions to reduce TRAP (NO2) on the school commute. The interventions included LEZs, improved travel routes, active travel, and rideshare. This study did not attempt to extrapolate morning peak traffic patterns from afternoon or off-peak data. Instead, the decision was made to use averaged daily traffic data, ensuring that the analysis provided a consistent baseline across all monitored sites. This approach facilitates the assessment of intervention effectiveness under comparable conditions, though it should be noted that this may not reflect the specific traffic conditions and pollution levels experienced during the morning peak. Future studies with access to more detailed traffic data would be better equipped to model intervention impacts during these critical times.
The results showed that LEZs were the most effective intervention for reducing NO2 at schools and on travel routes. The effectiveness of LEZs increased with the radius of the zone. Improved travel routes were the most effective intervention for reducing NO2 exposure on travel routes, but they did not affect NO2 concentrations at schools. Active travel and rideshare were also effective interventions for reducing NO2 on travel routes.
This study also found that the practical limitations of LEZ implementation at schools should not be discounted. Many schools are located near main roads, and the closure of these roads is problematic in practical terms. The typical model for LEZs, in which drivers are charged to enter, could penalise poorer parents, and the scheme could lose support.
Overall, this study found that LEZs were the most effective intervention for reducing potential NO2 exposure on the school commute. However, the practical limitations of LEZ implementation at schools should be considered when implementing this intervention. It is also important to interpret this conclusion with caution. The 500 m distance was the upper limit of the LEZ scenarios modelled in this study, and further extending the zone was not explored. Therefore, while the results suggest greater reductions at this distance, they do not rule out the possibility that a larger LEZ could produce even more significant reductions. Future studies should investigate the effects of extending LEZ boundaries beyond 500 m to determine the optimal distance for maximum air quality benefits.
The implementation of low-emission zones (LEZs) has been effective in reducing traffic-related air pollution (TRAP) around school zones by restricting or charging high-emission vehicles. However, one potential unintended consequence of LEZs is the redistribution of traffic to surrounding areas outside the zone [35,36]. This can lead to increased congestion and background pollution on adjacent roads, potentially offsetting the benefits of the intervention by shifting pollution burdens to nearby communities. In the current study, while reductions in NO2 were observed within the LEZ boundaries, there is a need to better understand the spatial extent of pollution redistribution to evaluate the net benefits of LEZs.
Rideshare and mode shifts to active travel were both effective interventions for reducing traffic and air pollution on the school commute. Rideshare was particularly beneficial for parents who are required to drive their children to school, as it can save them time and money. Mode shifts to active travel were more effective at the more congested school sites with dense residential populations.
Improved travel routes were the most effective intervention on all travel routes, although pollution at the school sites remained unaffected. This is unsurprising given the nature of the intervention modelling, which essentially changed the location of receptors to mark out less polluted routes. In an ideal scenario, more parents would be encouraged to take these demonstrably improved routes as active travel routes, reducing traffic at schools and accordingly reducing pollution at the school gates.
The results of this study suggest that a combination of interventions is likely to be most effective in reducing traffic and air pollution on the school commute. Rideshare, mode shifts to active travel, and improved travel routes could all be used to achieve this goal.
Improved travel routes were found to be the most effective intervention for reducing traffic and air pollution on the school commute. However, in practice, identifying improved travel routes can be challenging. Schools and parents can work together to identify safe and convenient routes, and schools can provide support such as allocating active travel partners and meeting points for walking buses.
Anti-idling was the least effective measure overall, but it was more effective in sparser geographies. This is likely because there is less traffic in these areas, so idling vehicles have a greater impact on air quality.
This study’s findings suggest that a combination of interventions is likely to be most effective in reducing traffic and air pollution on the school commute. Improved travel routes, anti-idling, and rideshare could all be used to achieve this goal.
Leaving a stationary vehicle engine running unnecessarily is an offense, and local authorities have the power to enforce this. However, the effectiveness of anti-idling zones in reducing idling and air pollution around schools is limited, especially in areas with heavy traffic. Nevertheless, anti-idling campaigns can still be an important part of broader pollution reduction and awareness campaigns.
One of the emerging strategies for reducing the environmental impact of motor transport is the transition to alternative fuels, such as electricity, hydrogen, and biofuels. These fuels offer the potential to significantly reduce emissions of nitrogen oxides, particulate matter, and carbon dioxide compared to conventional petrol and diesel engines [40,41]. Electric vehicles (EVs), in particular, have gained widespread adoption due to their zero gaseous exhaust emissions, making them a viable option for reducing air pollution in urban areas. Hydrogen fuel cell vehicles and biofuels also present promising solutions, especially for heavy-duty transport where electrification may be less feasible. The transition to alternative fuels not only helps mitigate air pollution but also aligns with broader goals of sustainability and carbon reduction. Highlighting this shift towards cleaner energy sources complements the interventions discussed in this study by providing a holistic approach to reducing TRAP around schools and other sensitive environments.

Limitations and Future Research

The dispersion modelling process has some limitations, including the temporal specificity of the interventions and the application of travel routes. The available data were limited, particularly in terms of timely traffic data. This meant that the interventions could not be modelled for the morning traffic peaks, when the majority of children are likely to be traveling to school. However, the models were still useful for assessment of the relative effectiveness of the different interventions. Future research should aim to integrate time-specific traffic data, particularly for peak periods such as the morning rush hour when children are most likely to be exposed to higher levels of TRAP. This could involve the use of traffic monitoring systems capable of capturing hourly variations in traffic flow and emissions. By focusing on key periods of elevated exposure, future studies can develop more precise models that better reflect the conditions faced by children during their school commute, leading to more effective and targeted intervention strategies.
The reliance on static background maps in the current study means that the dispersion models may not fully reflect the dynamic nature of urban air quality. Although these maps provide a consistent baseline for comparison, they cannot capture the impact of temporal variability, such as the spikes in pollution that might occur during busy morning and evening periods. This limitation may affect the accuracy of the intervention assessments, particularly in densely populated urban settings where background pollution can change rapidly over short timescales.
To better understand and quantify the potential uncertainties introduced by using static background pollution maps, future research should include sensitivity analyses that explore how temporal variability in background levels might impact model outcomes. This could involve testing the models under different scenarios, such as varying the baseline pollution levels according to typical hourly fluctuations observed in urban environments. Additionally, integrating real-time or time-specific background data, when available, could provide a more accurate reflection of actual conditions, thereby improving the reliability of the intervention assessments.
The current study focused on the effectiveness of LEZs within defined school zones and did not specifically model the impacts on surrounding areas where traffic may have been diverted. This represents a limitation, as traffic redistribution could increase TRAP levels on roads adjacent to the LEZs, potentially affecting air quality in nearby residential areas. A more comprehensive assessment would require an expanded modelling area to capture these effects and provide a clearer understanding of the net benefits and trade-offs associated with LEZ implementation.
Future studies should explore the broader implications of LEZ implementation by examining the spatial extent of pollution redistribution. This could involve expanding the modelling area to include adjacent roads and communities and using traffic flow data to assess whether congestion and emissions have increased outside of the LEZ boundaries. Additionally, strategies to mitigate potential negative impacts, such as improving public transport options or creating supplementary LEZs in high-risk areas, should be considered to ensure that the benefits of reducing TRAP within school zones are not at the expense of other communities.
The analysis of LEZ effectiveness was constrained in the current study to distances up to 500 m, which served as the upper limit for the simulations. While the data indicate that expanding the LEZ to 500 m achieved the most significant reduction in NO2 concentrations, it remains unclear whether extending the zone further could yield additional benefits. As such, the effectiveness of the 500 m LEZ should be viewed within the context of this study’s limitations. Further exploration is necessary to determine whether larger LEZs could enhance air quality improvements without unintended consequences, such as increased traffic diversion.
To better understand the optimal configuration for LEZs, future research should extend the analysis to include larger LEZ boundaries, beyond the 500 m distance used in this study. Examining the effects of expanded zones would help determine whether further reductions in NO2 concentrations are possible or whether there is a point of diminishing returns. Additionally, it would be important to assess the potential implications of larger LEZs, such as increased traffic diversion and its impact on surrounding areas, to ensure that air quality improvements are balanced across the urban environment.
The study findings are derived from five school sites selected based on the availability of comprehensive data, meaning these results may not reflect the full spectrum of conditions experienced across England. For example, rural schools may have different exposure patterns due to less dense traffic, while schools in highly congested urban centres might face more significant pollution challenges. Additionally, socio-economic factors, such as the availability of alternative transport options and local infrastructure, can play a role in the effectiveness of interventions. Therefore, caution should be exercised when extrapolating these results to regions with differing characteristics from those studied.
Future studies should aim to include a more diverse set of school environments to improve the generalisability of the findings. This could involve selecting schools from a range of regions, including rural areas, highly urbanised centres, and locations with varying socio-economic profiles. Such an approach would provide a more comprehensive understanding of how different interventions perform across different contexts, ensuring that policy recommendations are applicable to a wider array of school environments. Additionally, engaging with local stakeholders, such as parents and community leaders, can help to identify and address the specific challenges faced by schools in different regions.
The dispersion of pollutants is highly sensitive to meteorological conditions, which can vary significantly between seasons and locations. For example, colder temperatures and stable atmospheric conditions in winter can lead to poor dispersion and higher concentrations of pollutants near the source, whereas warmer, more turbulent conditions in summer may enhance dispersion. The current study’s use of 2019 meteorological data provides a representation of typical conditions suitable for the study aims, but it does not account for the full range of seasonal variability that might affect air pollution exposure throughout the year. This represents a limitation, as the effectiveness of interventions could vary under different weather scenarios. Future research should investigate how seasonal variations in meteorological conditions influence the effectiveness of air pollution mitigation measures. This could involve modelling different scenarios that account for changes in wind patterns, temperature, and atmospheric stability across the seasons. Such an approach would provide a more comprehensive understanding of how interventions perform under different weather conditions, helping policymakers design strategies that are effective throughout the year. Additionally, seasonal models could identify times of the year when additional measures may be necessary to address periods of heightened exposure due to adverse meteorological conditions.
The ADMS-Roads model is limited to 150 plotted road links per run. This was sufficient for the scope of the current research, but it should be considered for future research that may require modelling over a larger region.
The findings of this study provide the basis for future research on the effectiveness of interventions to reduce air pollution and potential exposure on the school commute. Future research should focus on the following areas:
Categorisation of school environments based on intervention effectiveness could provide additional insights and help to develop a foundation upon which to base packages of mitigation measures for stakeholders. This would involve developing a system for classifying schools based on factors such as the surrounding geography, the availability of green space, and the proximity to public transportation. This would allow for the development of targeted interventions that are most likely to be effective in different types of schools.
Assessment of additional factors associated with child exposure to air pollution would also help to enrich the study findings. This would involve looking at factors such as the diurnal variation in exposure, the patterns of exposure during playtimes and breaks, and the exposure in the classroom.
Similarly, the assessment of the effectiveness of interventions under different seasonal conditions could also provide additional insights and would involve modelling the interventions in different seasons to see how the effectiveness of the interventions varies with the weather.
Identification of PM (particulate matter) reductions achievable with the currently assessed and additional interventions would be beneficial given the harmful effects of particulate exposure. This would involve modelling the interventions to see how much they can reduce PM pollution.
Investigation of air pollution exposure in rural schools would provide further insights towards the categorisation of mitigation measures by site-specific effectiveness. This would involve studying air pollution levels at schools in rural areas, where there is less traffic but still a potential for high exposure due to the congregative periods when children are being dropped off and collected.

5. Conclusions

The school commute is a major source of air pollution exposure in children. This study investigated interventions for reducing and mitigating exposure to traffic-related air pollution (TRAP) on the school commute.
This study found that low-emission zones, mode shifts to active travel, improved travel routes, ridesharing, and anti-idling are all effective methods for reducing child exposure to TRAP. These interventions can be implemented by policymakers, teachers, and parents.
This study also found that the most polluted schools are found in urban environments. Schools in England are significantly more polluted than schools in other UK countries, and London has a significantly greater number of polluted schools than any other region in England. While it is well-established that urban schools in megacities such as London face significant challenges due to higher levels of TRAP, this study included schools from smaller cities and less densely populated areas to provide a more comprehensive understanding of the issue. The rationale for this broader selection, beyond data availability, was to capture the diversity of traffic patterns, school environments, and community behaviours across different regions of England. By studying schools in various contexts, including urban, suburban, and smaller city settings, this study aimed to evaluate the effectiveness of interventions across a range of conditions, not just in areas with the highest pollution levels. This approach ensures that the findings and recommendations are more widely applicable, allowing policymakers to consider how these interventions might be adapted to local needs beyond megacities like London.
The findings of this study are transferable to other regions in the UK and the EU, but it is important to consider the specific context of each region when implementing interventions.
This study has several limitations, including the small number of case study schools and the lack of a control group. However, this study provides valuable information and insights into the effectiveness of interventions for reducing TRAP and potential child exposure.
This study concludes that further action is needed to reduce TRAP exposure on the school commute. This includes implementing the interventions identified in this study as well as raising awareness of the issue and promoting public engagement.

Author Contributions

Conceptualization, methodology, software, validation, formal analysis, investigation, data curation, writing—original draft preparation, writing—review and editing, L.B. Supervision, E.H. Supervision, J.B. All authors have read and agreed to the published version of the manuscript.

Funding

This research received no external funding.

Data Availability Statement

Data are available upon request.

Conflicts of Interest

The authors declare no conflicts of interest.

Appendix A. Schools and Road Link Plots in ADMS

Table A1. Number of road links to be modelled for selected school site areas.
Table A1. Number of road links to be modelled for selected school site areas.
SiteNumber of Modelled Road Links
Bristol St Paul’s149
Bristol Bedminster139
Coventry Binley150
Oxford St Ebbe’s52
Sheffield Tinsley66
Figure A1. Bristol St Paul’s modelling site with road links (Road sources) and receptors (Specified points).
Figure A1. Bristol St Paul’s modelling site with road links (Road sources) and receptors (Specified points).
Urbansci 08 00192 g0a1
Figure A2. Bristol Bedminster modelling site with road links (Road sources) and receptors (Specified points).
Figure A2. Bristol Bedminster modelling site with road links (Road sources) and receptors (Specified points).
Urbansci 08 00192 g0a2
Figure A3. Coventry Binley modelling site with road links (Road sources) and receptors (Specified points).
Figure A3. Coventry Binley modelling site with road links (Road sources) and receptors (Specified points).
Urbansci 08 00192 g0a3
Figure A4. Oxford St Ebbe’s modelling site with road links (Road sources) and receptors (Specified points).
Figure A4. Oxford St Ebbe’s modelling site with road links (Road sources) and receptors (Specified points).
Urbansci 08 00192 g0a4
Figure A5. Sheffield Tinsley modelling site with road links (Road sources) and receptors (Specified points).
Figure A5. Sheffield Tinsley modelling site with road links (Road sources) and receptors (Specified points).
Urbansci 08 00192 g0a5

Appendix B. Background School Pollution Values

Table A2. PCM-derived mean background concentration input values of NOX and NO2 (µg/m3) for all modelling sites.
Table A2. PCM-derived mean background concentration input values of NOX and NO2 (µg/m3) for all modelling sites.
SiteBackground NOX (µg/m3)Background NO2 (µg/m3)
Bristol St Paul’s20.2514.81
Bristol Bedminster20.2514.81
Coventry Binley21.3515.38
Oxford St Ebbe’s19.5014.20
Sheffield Tinsley13.179.82

Appendix C. Meteorological Observation Stations and Meteorological Data

Table A3. Meteorological observation station details for all sites.
Table A3. Meteorological observation station details for all sites.
SiteObservation StationStation IDCountyDistance from Site (km)
Bristol St Paul’sAmmerdown House9529Somerset33.2
Bristol Parson StAmmerdown House9529Somerset29.3
Coventry BinleyLittle Risington692Gloucestershire38.5
Oxford St Ebbe’sRadcliffe Observatory606Oxfordshire1.45
Sheffield TinsleyNottingham Watnall556Nottinghamshire44.38
Table A4. Summary data for 2019 from meteorological stations used for each modelling site.
Table A4. Summary data for 2019 from meteorological stations used for each modelling site.
Meteorological StationSiteDominant Wind Direction (°)Average Wind Speed (m s−1)Average Cloud Cover (oktas)Average Temperature (°C)
Ammerdown House (mean)Bristol St Paul’s and Bristol Bedminster198.90 (SSW)4.57 (2.56)4.87 (2.50)9.20 (4.87)
Little Risington (mean (SD))Coventry Binley205.07 (SSW)4.48 (2.34)5.39 (3.27)8.94 (5.58)
Radcliffe Observatory (mean (SD))Oxford St Ebbe’s204.24 (SSW)4.43 (2.45)5.39 (3.27)9.23 (5.63)
Nottingham Watnall (mean (SD))Sheffield Tinsley218.35 (SW)4.03 (1.97)5.06 (3.31)9.15 (5.61)

Appendix D. Verification and Adjustment

Table A5. Summary of site adjustment outcomes.
Table A5. Summary of site adjustment outcomes.
SiteNumber of Monitors±10%±25%Adjustment Factor (Regression)
Bristol St Paul’s10371.19
Bristol Parson St6240.99
Coventry Binley Rd4131.28
Oxford St Ebbe’s5320.93
Sheffield Tinsley4222.64
i.
Bristol St Paul’s.
Table A6. Bristol St Paul’s model outputs (µg/m3) for verification and adjustment.
Table A6. Bristol St Paul’s model outputs (µg/m3) for verification and adjustment.
ReceptorTotTot
Mon NO2Mod NO2% diffMod Rds. NOxMon Rd-NOx
Bristol St Paul’s BRS8 AURN23.427.4715%24.4116.21
Bristol Temple Way BR11 AURN39.226.09−50%21.6249.87
15 Horsefair42.230.53−38%30.7256.76
363 5102 facade34.028.54−19%26.6038.2
22 Stokes Croft44.335.27−26%40.8661.73
497 20 Ashley Road29.128.56−2%26.6327.82
295 Lamppost 16 Ashley Rd St48.128.05−72%25.6070.97
374 St Paul St39.950.4221%76.4251.25
20 Newfoundland Way42.431.09−36%31.9057.21
373 123 Newfoundland St facade31.229.14−7%27.8432.13
Table A7. Adjusted Bristol St Paul’s model outputs (µg/m3) for verification and adjustment.
Table A7. Adjusted Bristol St Paul’s model outputs (µg/m3) for verification and adjustment.
ReceptorNOx ADJMODELLEDTot
Corr1Adj Rd-NOxRd-NO2Adj Tot-NO2Mon NO2
Bristol St Paul’s BRS8 AURN0.6629.0913.428.2123.4
Bristol Temple Way BR11 AURN2.3125.7717.5132.3339.2
15 Horsefair1.8536.6224.5339.3442.2
363 5102 facade1.4431.7015.0829.8934.0
22 Stokes Croft1.5148.7022.5737.3844.3
497 20 Ashley Road1.0431.7415.1129.9229.1
295 Lamppost 16 Ashley Rd St2.7730.5125.8140.6248.1
374 St Paul St0.6791.0833.2548.0739.9
20 Newfoundland Way1.7938.0226.441.2142.4
373 123 Newfoundland St facade1.1533.1820.2635.0831.2
Regression1.19
Table A8. Bristol St Paul’s final site differences for verification and adjustment.
Table A8. Bristol St Paul’s final site differences for verification and adjustment.
SiteFinal NO2 Difference
µg/m3%
Bristol St Paul’s BRS8 AURN4.8620.80%
Bristol Temple Way BR11 AURN−6.92−17.63%
15 Horsefair−2.89−6.84%
363 5102 facade−4.11−12.09%
22 Stokes Croft−6.95−15.68%
497 20 Ashley Road0.822.82%
295 Lamppost 16 Ashley Rd St−7.51−15.60%
374 St Paul St8.2220.63%
20 Newfoundland Way−1.21−2.85%
373 123 Newfoundland St facade3.9212.58%
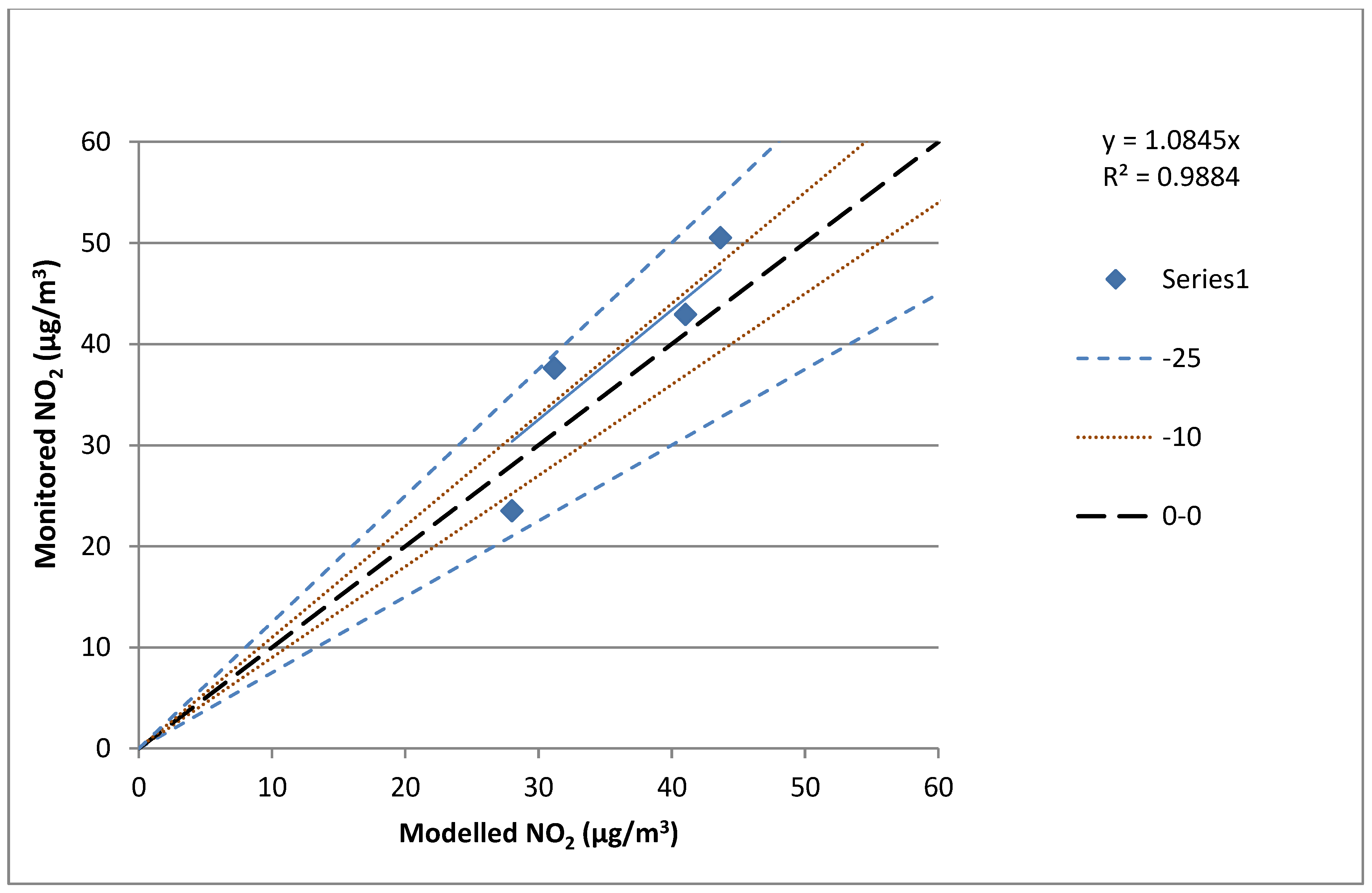
Figure A6. Bristol St Paul’s total NO2 with deviation interval classes at 10 and 25 per cent. Series 1 represents total monitored NO2 against total modelled NO2.
Figure A6. Bristol St Paul’s total NO2 with deviation interval classes at 10 and 25 per cent. Series 1 represents total monitored NO2 against total modelled NO2.
Urbansci 08 00192 g0a6
Figure A7. Bristol St Paul’s Road NO2 with deviation interval classes at 10 and 25 per cent. Series 1 represents total monitored road NO2, and series 2 represents adjusted road NOX.
Figure A7. Bristol St Paul’s Road NO2 with deviation interval classes at 10 and 25 per cent. Series 1 represents total monitored road NO2, and series 2 represents adjusted road NOX.
Urbansci 08 00192 g0a7
Figure A8. Bristol St Paul’s adjusted NO2 (µg/m3) with deviation interval classes at 10 and 25 per cent. Series 1 represents adjusted total NO2 against total monitored NO2.
Figure A8. Bristol St Paul’s adjusted NO2 (µg/m3) with deviation interval classes at 10 and 25 per cent. Series 1 represents adjusted total NO2 against total monitored NO2.
Urbansci 08 00192 g0a8
ii.
Bristol Bedminster
Table A9. Bristol Bedminster model outputs (µg/m3) for verification and adjustment.
Table A9. Bristol Bedminster model outputs (µg/m3) for verification and adjustment.
ReceptorTotTot
Mon NO2Mod NO2% diffMod Rds. NOxMon Rd-NOx
215 Parson St School32.935.066%40.4035.75
242 Parson St Bedminster Down Rd41.126.8−53%23.0553.85
418 Bedminster Down Rc lamppost51.132.98−55%35.9278.19
419 Parson St lamppost Scuba39.145.3114%63.8849.28
439 Parson St School31.733.596%37.2233.25
474 Martial Arts West Street29.138.8625%48.8527.83
Table A10. Adjusted Bristol Bedminster model outputs (µg/m3) for verification and adjustment.
Table A10. Adjusted Bristol Bedminster model outputs (µg/m3) for verification and adjustment.
ReceptorNOx ADJMODELLEDTot
Corr1Adj Rd-NOxRd-NO2Adj Tot-NO2Mon NO2
215 Parson St School0.8840.1622.4437.2632.9
242 Parson St Bedminster Down Rd2.3422.9215.9830.7941.1
418 Bedminster Down Rc lamppost2.1835.7037.452.2251.1
419 Parson St lamppost Scuba0.7763.5126.9441.7639.1
439 Parson St School0.8937.0020.5635.3731.7
474 Martial Arts West Street0.5748.5618.0832.8929.1
Regression0.99
Table A11. Bristol Bedminster final site differences for verification and adjustment.
Table A11. Bristol Bedminster final site differences for verification and adjustment.
ReceptorFinal NO2 Difference
µg/m3%
215 Parson St School4.3513.23%
242 Parson St Bedminster Down Rd−10.26−24.99%
418 Bedminster Down Rc lamppost1.102.15%
419 Parson St lamppost Scuba2.716.94%
439 Parson St School3.6411.47%
474 Martial Arts West Street3.7512.87%
Figure A9. Bristol Bedminster total NO2 with deviation interval classes at 10 and 25 per cent. Series 1 represents total monitored NO2 against total modelled NO2.
Figure A9. Bristol Bedminster total NO2 with deviation interval classes at 10 and 25 per cent. Series 1 represents total monitored NO2 against total modelled NO2.
Urbansci 08 00192 g0a9
Figure A10. Bristol Bedminster Road NO2 with deviation interval classes at 10 and 25 per cent. Series 1 represents total monitored road NO2, and series 2 represents adjusted road NOX.
Figure A10. Bristol Bedminster Road NO2 with deviation interval classes at 10 and 25 per cent. Series 1 represents total monitored road NO2, and series 2 represents adjusted road NOX.
Urbansci 08 00192 g0a10
Figure A11. Bristol Bedminster adjusted NO2 (µg/m3) with deviation interval classes at 10 and 25 per cent. Series 1 represents adjusted total NO2 against total monitored NO2.
Figure A11. Bristol Bedminster adjusted NO2 (µg/m3) with deviation interval classes at 10 and 25 per cent. Series 1 represents adjusted total NO2 against total monitored NO2.
Urbansci 08 00192 g0a11
iii.
Coventry Binley
Table A12. Coventry Binley model outputs (µg/m3) for verification and adjustment.
Table A12. Coventry Binley model outputs (µg/m3) for verification and adjustment.
ReceptorTotTot
Mon NO2Mod NO2% diffMod Rds. NOxMon Rd-NOx
Coventry Binley Road COBR AURN30.933.437%35.8930.64
Site FGS436.927.77−33%24.0043.66
Site FGS232.930.31−8%29.2734.80
Site BH1a37.127.86−33%24.1943.95
Table A13. Adjusted Coventry Binley model outputs (µg/m3) for verification and adjustment.
Table A13. Adjusted Coventry Binley model outputs (µg/m3) for verification and adjustment.
ReceptorNOx ADJMODELLEDTot
Corr1Adj Rd-NOxRd-NO2Adj Tot-NO2Mon NO2
Coventry Binley Road COBR AURN0.8545.9128.2743.6550.5
Site FGS41.8230.7015.7931.1837.6
Site FGS21.1937.4425.6441.0242.9
Site BH1a1.8230.9512.622823.5
Regression1.28
Table A14. Coventry Binley final site differences for verification and adjustment.
Table A14. Coventry Binley final site differences for verification and adjustment.
ReceptorFinal NO2 Difference
µg/m3%
Coventry Binley Road COBR AURN−6.85−13.56%
Site FGS4−6.42−17.07%
Site FGS2−1.91−4.45%
Site BH1a4.4919.10%
Figure A12. Coventry Binley total NO2 with deviation interval classes at 10 and 25 per cent. Series 1 represents total monitored NO2 against total modelled NO2.
Figure A12. Coventry Binley total NO2 with deviation interval classes at 10 and 25 per cent. Series 1 represents total monitored NO2 against total modelled NO2.
Urbansci 08 00192 g0a12
Figure A13. Coventry Binley Road NO2 with deviation interval classes at 10 and 25 per cent. Series 1 represents total monitored road NO2, and series 2 represents adjusted road NOX.
Figure A13. Coventry Binley Road NO2 with deviation interval classes at 10 and 25 per cent. Series 1 represents total monitored road NO2, and series 2 represents adjusted road NOX.
Urbansci 08 00192 g0a13
Figure A14. Coventry Binley adjusted NO2 (µg/m3) with deviation interval classes at 10 and 25 per cent. Series 1 represents adjusted total NO2 against total monitored NO2.
Figure A14. Coventry Binley adjusted NO2 (µg/m3) with deviation interval classes at 10 and 25 per cent. Series 1 represents adjusted total NO2 against total monitored NO2.
Urbansci 08 00192 g0a14
iv.
Oxford St Ebbe’s
Table A15. Oxford St Ebbe’s model outputs (µg/m3) for verification and adjustment.
Table A15. Oxford St Ebbe’s model outputs (µg/m3) for verification and adjustment.
ReceptorTotTot
Mon NO2Mod NO2% diffMod Rds. NOxMon Rd-NOx
DT61 Friars Wharf20.024.920%20.5010.9
DT60 N Butterwyke Place Thames33.025.72−28%22.1537.44
DT59 Thames St26.026.622%23.9722.76
DT58 Folly Bridge34.026.77−27%24.2739.62
DT1 St Ebbe’s First School16.024.9436%20.573.32
Table A16. Adjusted Oxford St Ebbe’s model outputs (µg/m3) for verification and adjustment.
Table A16. Adjusted Oxford St Ebbe’s model outputs (µg/m3) for verification and adjustment.
ReceptorNOx ADJMODELLEDTot
Corr1Adj Rd-NOxRd-NO2Adj Tot-NO2Mon NO2
DT61 Friars Wharf0.5319.0511.2624.923.5
DT60 N Butterwyke Place Thames1.6920.5911.7825.7223.5
DT59 Thames St0.9522.2812.5926.6223.5
DT58 Folly Bridge1.6322.5612.6926.7723.5
DT1 St Ebbe’s First School0.1619.1213.4524.9423.5
Regression0.93
Table A17. Oxford St Ebbe’s final site differences for verification and adjustment.
Table A17. Oxford St Ebbe’s final site differences for verification and adjustment.
ReceptorFinal NO2 Difference
µg/m3%
DT61 Friars Wharf1.395.91%
DT60 N Butterwyke Place Thames2.219.40%
DT59 Thames St3.1113.23%
DT58 Folly Bridge3.2613.87%
DT1 St Ebbe’s First School1.436.08%
Figure A15. Oxford St Ebbe’s total NO2 with deviation interval classes at 10 and 25 per cent. Series 1 represents total monitored NO2 against total modelled NO2.
Figure A15. Oxford St Ebbe’s total NO2 with deviation interval classes at 10 and 25 per cent. Series 1 represents total monitored NO2 against total modelled NO2.
Urbansci 08 00192 g0a15
Figure A16. Oxford St Ebbe’s road NO2 with deviation interval classes at 10 and 25 per cent. Series 1 represents total monitored road NO2, and series 2 represents adjusted road NOX.
Figure A16. Oxford St Ebbe’s road NO2 with deviation interval classes at 10 and 25 per cent. Series 1 represents total monitored road NO2, and series 2 represents adjusted road NOX.
Urbansci 08 00192 g0a16
Figure A17. Oxford St Ebbe’s adjusted NO2 (µg/m3) with deviation interval classes at 10 and 25 per cent. Series 1 represents adjusted total NO2 against total monitored NO2.
Figure A17. Oxford St Ebbe’s adjusted NO2 (µg/m3) with deviation interval classes at 10 and 25 per cent. Series 1 represents adjusted total NO2 against total monitored NO2.
Urbansci 08 00192 g0a17
v.
Sheffield Tinsley
Table A18. Sheffield Tinsley model outputs (µg/m3) for verification and adjustment.
Table A18. Sheffield Tinsley model outputs (µg/m3) for verification and adjustment.
ReceptorTotTot
Mon NO2Mod NO2% diffMod Rds. NOxMon Rd-NOx
Site 7 Bawtry Gate39.020.12−94%19.2859.49
Site 47 Bawtry Rd44.023.1−90%25.1771.37
Site 30 Siemens Close44.018.92−133%16.9471.37
Site Tinsley Meadows Primary A38.018.27−108%15.7057.18
Site Ferrars Road33.020.43−62%19.8945.94
Site 109 Bawtry Rd35.025.01−40%29.0550.37
Table A19. Adjusted Sheffield Tinsley model outputs (µg/m3) for verification and adjustment.
Table A19. Adjusted Sheffield Tinsley model outputs (µg/m3) for verification and adjustment.
ReceptorNOx ADJMODELLEDTot
Corr1Adj Rd-NOxRd-NO2Adj Tot-NO2Mon NO2
Site 7 Bawtry Gate3.0850.9413.6423.4723.5
Site 47 Bawtry Rd2.8466.4915.9125.7323.5
Site 30 Siemens Close4.2144.7610.3620.1823.5
Site Tinsley Meadows Primary A3.6441.498.8318.6623.5
Site Ferrars Road2.3152.5410.9320.7523.5
Site 109 Bawtry Rd1.7376.7315.825.6323.5
Regression2.64
Table A20. Sheffield Tinsley final site differences for verification and adjustment.
Table A20. Sheffield Tinsley final site differences for verification and adjustment.
ReceptorFinal NO2 Difference
µg/m3%
Site 7 Bawtry Gate−0.04−0.17%
Site 47 Bawtry Rd2.229.44%
Site 30 Siemens Close−3.33−14.16%
Site Tinsley Meadows Primary A−4.85−20.63%
Site Ferrars Road−2.76−11.74%
Site 109 Bawtry Rd2.129.02%
Figure A18. Sheffield Tinsley total NO2 with deviation interval classes at 10 and 25 per cent. Series 1 represents total monitored NO2 against total modelled NO2.
Figure A18. Sheffield Tinsley total NO2 with deviation interval classes at 10 and 25 per cent. Series 1 represents total monitored NO2 against total modelled NO2.
Urbansci 08 00192 g0a18
Figure A19. Sheffield Tinsley Road NO2 with deviation interval classes at 10 and 25 per cent. Series 1 represents total monitored road NO2, and Series 2 represents adjusted road NOX.
Figure A19. Sheffield Tinsley Road NO2 with deviation interval classes at 10 and 25 per cent. Series 1 represents total monitored road NO2, and Series 2 represents adjusted road NOX.
Urbansci 08 00192 g0a19
Figure A20. Sheffield Tinsley adjusted NO2 (µg/m3) with deviation interval classes at 10 and 25 per cent. Series 1 represents adjusted total NO2 against total monitored NO2.
Figure A20. Sheffield Tinsley adjusted NO2 (µg/m3) with deviation interval classes at 10 and 25 per cent. Series 1 represents adjusted total NO2 against total monitored NO2.
Urbansci 08 00192 g0a20

References

  1. Kulkarni, N.; Pierse, N.; Rushton, L.; Grigg, J. Carbon in Airway Macrophages and Lung Function in Children. New Engl. J. Med. 2006, 355, 21–30. [Google Scholar] [CrossRef] [PubMed]
  2. Spira-Cohen, A.; Chen, L.C.; Kendall, M.; Sheesley, R.; Thurston, G.D. Personal Exposures to Traffic-Related Particle Pollution Among Children with Asthma in the South Bronx, NY. J. Expo. Sci. Environ. Epidemiol. 2010, 20, 446–456. [Google Scholar] [CrossRef]
  3. Ashmore, M.R.; Dimitroulopoulou, C. Personal Exposure of Children to Air Pollution. Atmos. Environ. 2009, 43, 128–141. [Google Scholar] [CrossRef]
  4. Barnett, A.G.; Williams, G.M.; Schwartz, J.; Neller, A.H.; Best, T.L.; Petroeschevsky, A.L.; Simpson, R.W. Air Pollution and Child Respiratory Health: A Case-Crossover Study in Australia and New Zealand. Am. J. Respir. Crit. Care Med. 2005, 171, 1272–1278. [Google Scholar] [CrossRef]
  5. Ward, D.J.; Ayres, J.G. Particulate Air Pollution and Panel Studies in Children: A Systematic Review. Occup. Environ. Med. 2004, 61, 13. [Google Scholar] [CrossRef]
  6. Jeanjean, A.P.R.; Gallagher, J.; Monks, P.S.; Leigh, R.J. Ranking Current and Prospective NO2 Pollution Mitigation Strategies: An Environmental and Economic Modelling Investigation in Oxford Street, London. Environ. Pollut. 2017, 225, 587–597. [Google Scholar] [CrossRef]
  7. Faulkner, G.E.J.; Buliung, R.N.; Flora, P.K.; Fusco, C. Active School Transport, Physical Activity Levels and Body Weight of Children and Youth: A Systematic Review. Prev. Med. 2009, 48, 3–8. [Google Scholar] [CrossRef] [PubMed]
  8. Pang, B.; Kubacki, K.; Rundle-Thiele, S. Promoting Active Travel to School: A Systematic Review (2010–2016). BMC Public Health 2017, 17, 638. [Google Scholar] [CrossRef] [PubMed]
  9. Moodie, M.; Haby, M.M.; Swinburn, B.; Carter, R. Assessing Cost-Effectiveness in Obesity: Active Transport Program for Primary School Children—TravelSMART Schools Curriculum Program. J. Phys. Act. Health 2011, 8, 503–515. [Google Scholar] [CrossRef]
  10. Rosenberg, D.E.; Sallis, J.F.; Conway, T.L.; Cain, K.L.; McKenzie, T.L. Active transportation to school over 2 years in relation to weight status and physical activity. Obesity 2006, 14, 1771–1776. [Google Scholar] [CrossRef]
  11. Tremblay, M.S.; Willms, J.D. Is the Canadian Childhood Obesity Epidemic Related to Physical Inactivity? Int. J. Obes. 2003, 27, 1100–1105. [Google Scholar] [CrossRef] [PubMed]
  12. Mellin, A.E.; Neumark-Sztainer, D.; Story, M.; Ireland, M.; Resnick, M.D. Unhealthy Behaviors and Psychosocial Difficulties Among Overweight Adolescents: The Potential Impact of Familial Factors. J. Adolesc. Health 2002, 31, 145–153. [Google Scholar] [CrossRef] [PubMed]
  13. Baker, J.L.; Olsen, L.W.; Sørensen, T.I. Childhood Body-Mass Index and the Risk of Coronary Heart Disease in Adulthood. New Engl. J. Med. 2007, 357, 2329–2337. [Google Scholar] [CrossRef] [PubMed]
  14. Dollman, J.; Lewis, N.R. Active Transport to School as Part of a Broader Habit of Walking and Cycling Among South Australian Youth. Pediatr. Exerc. Sci. 2007, 19, 436. [Google Scholar] [CrossRef] [PubMed]
  15. Janssen, I. Physical Activity Guidelines for Children and Youth. Appl. Physiol. Nutr. Metab. 2007, 32, 109–121. [Google Scholar] [CrossRef]
  16. Lee, M.C.; Orenstein, M.R.; Richardson, M.J. Systematic Review of Active Commuting to School and Children’s Physical Activity and Weight. J. Phys. Act. Health 2008, 5, 930–949. [Google Scholar] [CrossRef]
  17. Dwyer, T.; Sallis, J.F.; Blizzard, L.; Lazarus, R.; Dean, K. Relation of Academic Performance to Physical Activity and Fitness in Children. Pediatr. Exerc. Sci. 2001, 13, 225–237. [Google Scholar] [CrossRef]
  18. De Hartog, J.J.; Boogaard, H.; Nijland, H.; Hoek, G. Do the Health Benefits of Cycling Outweigh the Risks? Environ. Health Perspect. 2010, 118, 1109–1116. [Google Scholar] [CrossRef]
  19. Ryan, P.H.; Reponen, T.; Simmons, M.; Yermakov, M.; Sharkey, K.; Garland-Porter, D.; Eghbalnia, C.; Grinshpun, S.A. The Impact of An Anti-Idling Campaign on Outdoor Air Quality at Four Urban Schools. Environ. Sci. Process. Impacts 2013, 15, 2030–2037. [Google Scholar] [CrossRef]
  20. Paton-Walsh, C.; Rayner, P.; Simmons, J.; Fiddes, S.L.; Schofield, R.; Bridgman, H.; Zhang, Y. A Clean Air Plan for Sydney: An Overview of The Special Issue on Air Quality in New South Wales. Atmosphere 2019, 10, 774. [Google Scholar] [CrossRef]
  21. Xu, Y.; Elango, V.; Guensler, R.; Khoeini, S. Idle Monitoring, Real-Time Intervention, and Emission Reductions from Cobb County, Georgia, School Buses. Transp. Res. Rec. 2013, 2340, 59–65. [Google Scholar] [CrossRef]
  22. Osborne, S.; Uche, O.; Mitsakou, C.; Exley, K.; Dimitroulopoulou, S. Air Quality Around Schools: Part II-Mapping PM2. 5 Concentrations and Inequality Analysis. Environ. Res. 2021, 197, 111038. [Google Scholar] [CrossRef] [PubMed]
  23. Burgess, A. Limiting Exposure to Traffic-Related Air Pollution Near Denver Public Schools Through Anti-Idling Campaigns. NC State University Libraries. 2019. Available online: https://repository.lib.ncsu.edu/items/80097bd8-a7df-48d1-a8c7-f62692e1ff49 (accessed on 11 April 2022).
  24. Kumar, P.; Omidvarborna, H.; Barwise, Y.; Tiwari, A. Mitigating Exposure to Traffic Pollution in and Around Schools: Guidance for Children, Schools and Local Communities. Open Research Surrey. 2020. Available online: https://openresearch.surrey.ac.uk/esploro/fulltext/book/Mitigating-Exposure-to-Traffic-Pollution-In/99514795102346?repId=12139546350002346&mId=13140524810002346&institution=44SUR_INST (accessed on 24 August 2022).
  25. Mazaheri, M.; Clifford, S.; Yeganeh, B.; Viana, M.; Rizza, V.; Flament, R.; Morawska, L. Investigations into Factors Affecting Personal Exposure to Particles in Urban Microenvironments Using Low-Cost Sensors. Environ. Int. 2018, 120, 496–504. [Google Scholar] [CrossRef]
  26. Kim, J.Y.; Ryan, P.H.R.; Yermakov, M.; Schaffer, C.; Reponen, T.; Grinshpun, S.A. The Effect of An Anti-Idling Campaign on Indoor Aerosol at Urban Schools. Aerosol Air Qual. Res. 2014, 14, 585–595. [Google Scholar] [CrossRef]
  27. Van Roosbroeck, S.; Wichmann, J.; Janssen, N.A.; Hoek, G.; van Wijnen, J.H.; Lebret, E.; Brunekreef, B. Long-term personal exposure to traffic-related air pollution among school children, a validation study. Sci. Total Environ. 2006, 368, 565–573. [Google Scholar] [CrossRef]
  28. Eghbalnia, C.; Sharkey, K.; Garland-Porter, D.; Alam, M.; Crumpton, M.; Jones, C.; Ryan, P. A Community-Based Participatory Research Partnership to Reduce Vehicle Idling Near Public Schools. J. Environ. Health 2013, 75, 14–19. [Google Scholar]
  29. Chaube, V.; Kavanaugh, A.K.; Perez-Quinones, M.A. Leveraging Social Networks to Embed Trust in Rideshare Programs. In Proceedings of the 2010 43rd Hawaii International Conference on System Sciences, Honolulu, HI, USA, 5–8 January 2010. [Google Scholar]
  30. Lenhoff, S.W.; Singer, J.; Stokes, K.; Mahowald, J.B.; Khawaja, S. Beyond the Bus: Reconceptualizing School Transportation for Mobility Justice. Harv. Educ. Rev. 2022, 92, 336–360. [Google Scholar] [CrossRef]
  31. Cui, Y.; Makhija, R.S.M.S.; Chen, R.B.; He, Q.; Khani, A. Understanding and Modeling the Social Preferences for Riders in Rideshare Matching. Transportation 2021, 48, 1809–1835. [Google Scholar] [CrossRef]
  32. Bastien, S.V.; Watkins, J.; Louzado-Feliciano, P.; Santiago, K.; Ogunsina, K.; Kling, H.; Caban-Martinez, A. Health and Safety Concerns of US Rideshare Drivers: A Nonstandard Work Arrangement Qualitative Pilot Study. APHA’s 2020 VIRTUAL Annual Meeting and Expo (October 24–28) APHA. 2020. Available online: https://apha.confex.com/apha/2020/meetingapi.cgi/paper/472724?filename=2020_abstract472724.pdf&template=word (accessed on 23 August 2022).
  33. Bertazzon, S.; Shahid, R. Schools, Air Pollution, and Active Transportation: An Exploratory Spatial Analysis of Calgary, Canada. Int. J. Environ. Res. Public Health 2017, 14, 834. [Google Scholar] [CrossRef]
  34. Moral-Carcedo, J. Dissuasive Effect of Low Emission Zones on Traffic: The Case of Madrid Central. Transportation 2024, 51, 25–49. [Google Scholar] [CrossRef]
  35. Tarrino-Ortiz, J.; Gomez, J.; Soria-Lara, J.A.; Vassallo, J.M. Analyzing the Impact of Low Emission Zones on Modal Shift. Sustain. Cities Soc. 2022, 77, 103562. [Google Scholar] [CrossRef]
  36. Amundsen, A.H.; Sundvor, I. Low Emission Zones in Europe: Requirement, Enforcement and Air Quality. Institute of Transport Economics, Norwegian Centre for Transport Research. 2018. Available online: https://www.toi.no/publications/low-emission-zones-in-europe-requirement-enforcement-and-air-quality-article35211-29.html (accessed on 23 August 2022).
  37. Holman, C.; Harrison, R.; Querol, X. Review of the Efficacy of Low Emission Zones to Improve Urban Air Quality in European Cities. Atmos. Environ. 2015, 111, 161–169. [Google Scholar] [CrossRef]
  38. Kelly, F.; Anderson, H.R.; Armstrong, B.; Atkinson, R.; Barratt, B.; Beevers, S.; Wilkinson, P. The Impact of the Congestion Charging Scheme on Air Quality in London. Part 1. Emissions Modelling and Analysis of Air Pollution Measurements. Health Eff. Inst. 2011, 155, 5–71. [Google Scholar]
  39. Kelly, F.; Armstrong, B.; Atkinson, R.; Anderson, H.R.; Barratt, B.; Beevers, S.; Wilkinson, P. The London Low Emission Zone Baseline Study. Health Eff. Inst. 2011, 163, 3–79. [Google Scholar]
  40. Bigazzi, A.Y.; Mohamed, A. Motivation and Implementation of Traffic Management Strategies to Reduce Motor Vehicle Emissions in Canadian Cities. Can. J. Civ. Eng. 2018, 45, 241–247. [Google Scholar] [CrossRef]
  41. Wood, H.; Marlin, N.; Mudway, I.; Bremner, S.; Cross, L.; Dundas, I.; Grieve, A.; Grigg, J.; Jamaludin, J.; Kelly, F.; et al. Effects of Air Pollution and the Introduction of the London Low Emission Zone on the Prevalence of Respiratory and Allergic Symptoms in Schoolchildren in East London: A Sequential Cross-Sectional Study. PLoS ONE 2015, 10, e0109121. [Google Scholar] [CrossRef]
  42. Thomas, A.; Furlong, J.; Aldred, R. Equity in Temporary Street Closures: The Case of London’s Covid-19 ‘School Streets’ Schemes. Transp. Res. Part D Transp. Environ. 2022, 110, 103402. [Google Scholar] [CrossRef]
  43. Chivers, H.; Wong, A.; Preston, J. School Streets Case Studies from Southampton-How Using Temporary Street Closures and Trial Interventions Can Help to Gain Support for Permanent Changes to Improve Our School Environments. University of Southampton Institutional Repository. 2019. Available online: https://eprints.soton.ac.uk/437850/ (accessed on 11 April 2022).
  44. Mudway, I.S.; Dundas, I.; Wood, H.E.; Marlin, N.; Jamaludin, J.B.; Bremner, S.A.; Griffiths, C.J. Impact of London’s Low Emission Zone on Air Quality and Children’s Respiratory Health: A Sequential Annual Cross-Sectional Study. Lancet Public Health 2019, 4, 28–40. [Google Scholar] [CrossRef] [PubMed]
  45. Hopkinson, L.; Goodman, A.; Sloman, L.; Aldred, R.; Thomas, A. School Streets Reducing Children’s Exposure to toxic Air Pollution and Road Danger. Health Soc. Care Community 2021, 23, 107–120. [Google Scholar]
  46. Craig, K.J.; Baringer, L.M.; Chang, S.Y.; McCarthy, M.C.; Bai, S.; Seagram, A.F.; Eisinger, D.S. Modeled and measured near-road PM2.5 concentrations: Indianapolis and Providence cases. Atmos. Environ. 2020, 240, 117775. [Google Scholar] [CrossRef]
  47. Dhyani, R.; Sharma, N. Vehicular pollution dispersion modelling along roads using CALINE4 model-a review. International J. Environ. Technol. Manag. 2018, 21, 91–110. [Google Scholar] [CrossRef]
  48. De Ferreyro Monticelli, D.; Santos, J.M.; Goulart, E.V.; Mill, J.G.; Kumar, P.; Reis, N.C., Jr. A review on the role of dispersion and receptor models in asthma research. Environ. Pollut. 2021, 287, 117529. [Google Scholar] [CrossRef] [PubMed]
  49. Brown, L. An Investigation of Interventions for the Reduction of Traffic-Related Air Pollution at Schools in England. Ph.D. Thesis, University of the West of England, Bristol, UK, 2023. Available online: https://uwe-repository.worktribe.com/output/10194429 (accessed on 18 May 2023).
  50. AQE. Latest Measured Air Quality. Air Quality England. 2023. Available online: https://www.airqualityengland.co.uk/ (accessed on 23 August 2022).
  51. Open Data Bristol. Air Quality (NO2 Diffusion Tube) Data. Open Data Bristol. 2022. Available online: https://opendata.bristol.gov.uk/explore/?sort=modified (accessed on 23 August 2022).
  52. Sheffield City Council. Air Quality in Sheffield. Sheffield City Council. 2022. Available online: https://www.sheffield.gov.uk/pollution-nuisance/air-quality (accessed on 23 August 2022).
  53. Coventry City Council. Air Quality. Air Quality in Coventry. 2022. Available online: https://www.coventry.gov.uk/pollution-1/air-quality/3 (accessed on 23 August 2022).
  54. Oxfordshire Air Quality. Oxfordshire Air Quality. Oxfordshire District Council. 2022. Available online: https://oxfordshire.air-quality.info/ (accessed on 23 August 2022).
  55. Defra. Local Air Quality Management—Technical Guidance (TG16) Part IV of the Environment Act 1995. Environment (Northern Ireland) Order 2002 Part III. Department for Environment Food and Rural Affairs. 2021. Available online: https://www.kirklees.gov.uk/beta/planning-policy/pdf/examination/national-evidence/NE59-LAQM-Technical-Guidance-DEFRA-2016.pdf (accessed on 24 August 2022).
  56. Defra. Practical Guidance for Laboratories and Users and the Technical Guidance (TG16) LAQM Support Website. Department for Environment Food and Rural Affairs. 2022. Available online: https://laqm.defra.gov.uk/ (accessed on 24 August 2022).
  57. RCPCH. UK-WHO Growth Charts—2–18 Years. Royal College of Paediatrics and Child Health. 2022. Available online: https://www.rcpch.ac.uk/resources/uk-who-growth-charts-2-18-years (accessed on 25 August 2022).
  58. Defra. Why Use Diffusion Tubes? Diffusion Tubes Overview. Department for Environment Food and Rural Affairs. 2022. Available online: https://laqm.defra.gov.uk/air-quality/air-quality-assessment/diffusion-tubes-overview/ (accessed on 24 August 2022).
  59. ONS Geography. Local Authority District to Combined Authority (June 2016) Lookup in England. Open Geography Portal. Office for National Statistics. 2022. Available online: https://geoportal.statistics.gov.uk/datasets/ons::local-authority-district-to-combined-authority-june-2016-lookup-in-england/about (accessed on 23 August 2022).
  60. CEDA Archive. The CEDA Archive. NERC Environmental Data Service. 2022. Available online: https://archive.ceda.ac.uk/ (accessed on 23 August 2022).
  61. Department for Transport. Road Traffic Bulk Downloads. Road Traffic Statistics. Department for Transport. 2022. Available online: https://roadtraffic.dft.gov.uk/downloads (accessed on 24 August 2022).
  62. Boniardi, L.; Dons, E.; Campo, L.; Van Poppel, M.; Panis, L.I.; Fustinoni, S. Annual, Seasonal, and Morning Rush Hour Land Use Regression Models for Black Carbon in a School Catchment Area of Milan, Italy. Environ. Res. 2019, 176, 108520. [Google Scholar] [CrossRef] [PubMed]
  63. Jerrett, M.; Arain, M.A.; Kanaroglou, P.; Beckerman, B.; Crouse, D.; Gilbert, N.L.; Finkelstein, M.M. Modelling the Intra-Urban Variability of Ambient Traffic Pollution in Toronto, Canada. J. Toxicol. Environ. Health Part A 2007, 70, 200–212. [Google Scholar] [CrossRef]
  64. Zhou, Y.; Levy, J.I. Factors Influencing the Spatial Extent of Mobile Source Air Pollution Impacts: A Meta-Analysis. BMC Public Health 2007, 7, 89. [Google Scholar] [CrossRef]
  65. Reponen, T.; Grinshpun, S.A.; Trakumas, S.; Martuzevicius, D.; Wang, Z.M.; Lemasters, G.; Biswas, P. Concentration Gradient Patterns of Aerosol Particles Near Interstate Highways in the Greater Cincinnati Airshed. J. Environ. Monit. 2003, 5, 557–562. [Google Scholar] [CrossRef]
  66. RAC. RAC Data Confirms the Morning Rush Hour Has Fully Returned. RAC Media Centre. 21 September 2020. Available online: https://media.rac.co.uk/pressreleases/rac-data-confirms-the-morning-rush-hour-has-fully-returned-3036057 (accessed on 29 July 2022).
Table 1. School sites and schools selected for modelling.
Table 1. School sites and schools selected for modelling.
CityLocalityEstablishment NameEstablishment NumberReceptor TypeEstablishment TypeRegion
City of BristolSt Paul’sCabot Primary School2139Principal Community schoolSouth West
City of BristolSt Paul’sSt Paul’s Nursery School and Children’s School1010SecondaryChildren’s centreSouth West
City of BristolBedminsterParson St Primary School2061PrincipalAcademy converterSouth West
CoventryBinleySouthfields Primary School2153PrincipalCommunity schoolWest Midlands
CoventryBinleyGosford Park Children’s CentreN/ASecondaryChildren’s centreWest Midlands
Oxford St Ebbe’sSt Ebbe’s Primary School3833PrincipalVoluntary aided schoolSouth East
SheffieldTinsleyTinsley Meadows Primary School2230PrincipalAcademy converterSouth Yorkshire
SheffieldTinsleyTinsley Green Children’s CentreN/ASecondaryChildren’s centre linked siteSouth Yorkshire
Table 2. NO2 concentration reductions (%) for active travel, anti-idling, rideshare, improved travel routes, and all interventions combined with improved travel routes.
Table 2. NO2 concentration reductions (%) for active travel, anti-idling, rideshare, improved travel routes, and all interventions combined with improved travel routes.
ReceptorsActive Travel (%)Active Travel and Improved Travel Routes (%)Anti-Idling (%)Anti-Idling and Improved Travel Routes (%)Rideshare (%)Rideshare and Improved Travel Routes (%)Improved Travel Routes (%)
Bristol St Paul’s:
  Cabot Primary4.16-3.14-3.27--
  Receptors4.81-3.25-4.90--
  All Routes16.2624.5811.5922.6416.8225.1521.90
Bristol Bedminster:
  Parson St School12.63-5.66-11.36--
  Receptors9.57-3.73-7.65--
  All Routes16.9025.627.4619.0515.1524.2118.67
Coventry Binley:
  Southfields Primary3.15-1.74-2.91--
  Receptors8.17-3.04-7.10--
  All Routes15.3322.655.9719.1513.6522.0018.96
Oxford St Ebbe’s:
  St Ebbe’s Primary1.31-1.87-1.77--
  Receptors1.70-1.46-2.42--
  All Routes5.6213.346.0613.708.1813.8510.36
Sheffield Tinsley:
  Tinsley Meadows Primary2.34-2.40-2.47--
  Receptors5.35-6.03-5.71--
  All Routes10.7313.1310.2612.7912.0214.0810.21
Mean7.8719.864.9117.477.6919.8616.02
Table 3. NO2 concentration reductions (%) for LEZ implementation at diameters of 300, 400, and 500 m, and all LEZ implementations combined with improved travel routes.
Table 3. NO2 concentration reductions (%) for LEZ implementation at diameters of 300, 400, and 500 m, and all LEZ implementations combined with improved travel routes.
ReceptorsLEZ Implementation Diameters (m)
200 (%)200 and
Improved Travel Routes (%)
300 (%)300 and
Improved Travel Routes (%)
400 (%)400 and
Improved Travel Routes (%)
500 (%)500 and
Improved Travel Routes (%)
Bristol St Paul’s:
  Cabot Primary3.81-4.04-4.18-4.27-
  Receptors3.35-4.46-4.82-6.12-
  All Routes14.8420.1717.4419.5617.6319.2118.9118.89
Bristol Bedminster:
  Parson St School11.30-11.74-12.27-12.36-
  Receptors6.50-7.96-9.89-10.83-
  All Routes12.6519.7114.9619.1117.3818.5920.2518.30
Coventry Binley:
  Southfields Primary1.91-2.22-2.48-2.56-
  Receptors3.45-5.32-8.23-8.86-
  All Routes7.1418.368.9717.9411.5217.7311.8517.68
Oxford St Ebbe’s:
  St Ebbe’s Primary2.49-2.78-2.82-2.85-
  Receptors1.76-2.70-3.63-3.78-
  All Routes7.0515.1010.0714.9311.3314.7912.0514.67
Sheffield Tinsley:
  Tinsley Meadows Primary2.58-3.18-3.44-3.55-
  Receptors6.30-6.98-7.33-7.60-
  All Routes11.2812.8013.6112.4514.7512.3316.1712.15
Mean6.4317.237.7616.808.7816.539.4716.34
Table 4. Comparison of modelled NO2 (µg/m3) concentration reductions (%) for all interventions.
Table 4. Comparison of modelled NO2 (µg/m3) concentration reductions (%) for all interventions.
LEZs (Low-Emission Zones)
Active Travel (%)Anti-Idling
(%)
Rideshare
(%)
Improved Routes
(%)
200 m
(%)
300 m
(%)
400 m
(%)
500 m
(%)
Schools4.112.574.36-3.464.044.565.12
All Receptors8.154.545.56-6.447.619.677.44
Travel Routes12.978.2713.1616.0210.5913.0114.5215.85
Table 5. Modelled percentage NO2 reduction following single active travel intervention and combined improved travel routes and active travel intervention.
Table 5. Modelled percentage NO2 reduction following single active travel intervention and combined improved travel routes and active travel intervention.
Site % Reduction Post Intervention% Reduction Combined Intervention% Difference
Bristol St Paul’s16.2624.588.32
Bristol Bedminster16.925.628.72
Coventry Binley15.3321.245.91
Oxford St Ebbe’s5.6213.347.72
Sheffield Tinsley10.7313.132.4
Table 6. Modelled percentage NO2 reduction following single anti-idling intervention and combined improved travel routes and anti-idling intervention.
Table 6. Modelled percentage NO2 reduction following single anti-idling intervention and combined improved travel routes and anti-idling intervention.
Site % Reduction Post Intervention% Reduction Combined Intervention% Difference
Bristol St Paul’s11.5922.6411.05
Bristol Bedminster7.4619.0511.59
Coventry Binley5.9717.7211.75
Oxford St Ebbe’s6.0613.77.64
Sheffield Tinsley10.2612.792.53
Table 7. Modelled percentage NO2 reduction following single rideshare intervention and combined improved travel routes and rideshare intervention.
Table 7. Modelled percentage NO2 reduction following single rideshare intervention and combined improved travel routes and rideshare intervention.
Site % Reduction Post Intervention% Reduction Combined Intervention% Difference
Bristol St Paul’s16.8225.158.33
Bristol Bedminster15.1524.219.06
Coventry Binley13.6520.626.97
Oxford St Ebbe’s8.1813.855.67
Sheffield Tinsley12.0214.082.06
Disclaimer/Publisher’s Note: The statements, opinions and data contained in all publications are solely those of the individual author(s) and contributor(s) and not of MDPI and/or the editor(s). MDPI and/or the editor(s) disclaim responsibility for any injury to people or property resulting from any ideas, methods, instructions or products referred to in the content.

Share and Cite

MDPI and ACS Style

Brown, L.; Hayes, E.; Barnes, J. Determining the Effectiveness of Interventions for the Reduction of Child Exposure to Traffic-Related Air Pollution at Schools in England. Urban Sci. 2024, 8, 192. https://doi.org/10.3390/urbansci8040192

AMA Style

Brown L, Hayes E, Barnes J. Determining the Effectiveness of Interventions for the Reduction of Child Exposure to Traffic-Related Air Pollution at Schools in England. Urban Science. 2024; 8(4):192. https://doi.org/10.3390/urbansci8040192

Chicago/Turabian Style

Brown, Louis, Enda Hayes, and Jo Barnes. 2024. "Determining the Effectiveness of Interventions for the Reduction of Child Exposure to Traffic-Related Air Pollution at Schools in England" Urban Science 8, no. 4: 192. https://doi.org/10.3390/urbansci8040192

APA Style

Brown, L., Hayes, E., & Barnes, J. (2024). Determining the Effectiveness of Interventions for the Reduction of Child Exposure to Traffic-Related Air Pollution at Schools in England. Urban Science, 8(4), 192. https://doi.org/10.3390/urbansci8040192

Article Metrics

Back to TopTop