Next Article in Journal
An Integrated AHP–Entropy Weight Approach for Urban Construction Land Suitability Evaluation in Zhengzhou, China
Previous Article in Journal
Integration of Electric Vehicles as a Sustainable Development Approach: The Case of Yerevan as a Smart City
 
 
Font Type:
Arial Georgia Verdana
Font Size:
Aa Aa Aa
Line Spacing:
Column Width:
Background:
Article

Simulation of Coupling Coordination and Resilience in Regional Economies and Information Network Institutions: The Case of the Beijing–Tianjin–Hebei Urban Agglomeration

College of Applied Arts and Sciences, Beijing Union University, Beijing 100191, China
*
Author to whom correspondence should be addressed.
Urban Sci. 2026, 10(1), 66; https://doi.org/10.3390/urbansci10010066 (registering DOI)
Submission received: 9 December 2025 / Revised: 13 January 2026 / Accepted: 15 January 2026 / Published: 22 January 2026

Abstract

In the context of high-quality urbanization, a key challenge for urban agglomerations is the structural mismatch between economic linkages and rapidly expanding information interactions, which may constrain the performance of coupled systems under shocks. Taking the Beijing–Tianjin–Hebei (BTH) urban agglomeration as a case, we construct an inter-city economic network from cross-city corporate investment ties and an information network from online attention flows, and further derive an economic–information coupled network using a coupling-coordination framework. Using social network analysis and resilience assessment (hierarchy, assortativity, clustering, and disruption simulations), we compare network structures in 2013 and 2023 and evaluate how the structural gap shapes coupled resilience. Results show that (i) economic ties strengthen steadily but moderately, whereas the information network expands faster and becomes more inclusive, widening the structural gap between “virtual” and “material” flows; (ii) despite a persistently high correlation between the two layers, coordination declines, indicating increasing local divergence in link organization; and (iii) resilience improves overall, but differentiation remains: the information network gains robustness through decentralization and redundancy, while the economic network is more sensitive to targeted removals of core nodes, and the coupled network exhibits intermediate performance. These findings suggest that enhancing BTH resilience requires strengthening cross-jurisdictional redundant links and reducing excessive dependence on core corridors to better translate information interactions into balanced economic connectivity.

1. Introduction

As economic globalization deepens, urban agglomerations have become the core spatial vehicles through which countries participate in global competition and steer future development, and represent the highest spatial form of urbanization [1]. The traditional “space of places” analytical paradigm based on static city attribute data can no longer fully reveal the complex functional linkages and dynamic evolution mechanisms within urban agglomerations [2]. Against this backdrop, the “space of flows” theory, which takes the movement of factors as its core, has emerged, viewing urban agglomerations as complex networked systems woven by multiple factor flows, and has become a frontier topic in regional science and urban geography [3,4].
Within this network-oriented research paradigm, scholars have conducted extensive and in-depth studies of urban networks based on different types of factor flows. In terms of economic linkages, many studies use enterprise “headquarters–branch” data, inter-firm investment relations and transactions in goods to characterize economic networks, revealing the hierarchical structure, core–periphery patterns and sectoral heterogeneity of urban agglomeration economies [5,6,7]. From the perspective of information linkages, information flow data represented by the Baidu Index have been widely employed to measure inter-urban information network connections and to analyze spatial organization patterns such as “axis–belt driven” and “centre–hinterland” structures [8,9,10]. In addition, multiple other factor flows, including high-speed rail flows, population migration, scientific and technological cooperation and air transport, have been used to construct urban networks from different dimensions, greatly enriching our understanding of spatial interactions within urban agglomerations [11,12,13,14].
However, a single-dimensional factor network can only depict a specific facet of relationships within an urban agglomeration, whereas real-world urban systems are complex mega-systems in which multiple networks are interwoven and coupled [4,15]. Some studies have begun to focus on the comparison and interrelation of multi-dimensional networks. For example, scholars have examined the dynamic coupling between high-speed rail networks and inter-regional investment networks [16], or comparatively analyzed the similarities and differences between high-speed rail flows and information flows in network evolution [17]. These studies indicate that there are significant similarities and differences among different types of networks, and that their coupled interactions jointly shape the overall spatial pattern of urban agglomerations [18]. Among them, the economic network constitutes the core skeleton of urban agglomeration development, reflecting the tangible linkages of capital, industry and services [19], whereas the information network serves as a virtual channel for regional knowledge diffusion and innovation collaboration, capturing the soft connections and influence between cities [8]. Economic activities and information exchanges are becoming increasingly inseparable, and the degree to which they are coupled directly affects the depth and quality of coordinated development in urban agglomerations [15].
Studies on urban agglomeration networks at home and abroad provide important references for understanding different structural types. The Northeastern United States urban agglomeration has developed a multi-centre, networked spatial organization pattern [20,21]. The Rhine–Ruhr urban agglomeration in Europe is characterized by multiple cores and decentralization, and exhibits strong network resilience. By contrast, the Tokyo metropolitan area in Japan displays a highly monocentric pattern [22,23,24]. Beyond such typological descriptions, empirical research in the United States and Europe has operationalized “network resilience” through robustness testing under random failures and targeted attacks, emphasizing redundancy and alternative routing in large urban transport systems [25]. At the governance level, U.S. megaregion studies highlight collaborative, networked arrangements that cross jurisdictional boundaries to manage interdependencies and disruption response at supra-metropolitan scale [26]. In Europe, policy and planning debates on polycentric development link multi-centre spatial organization with competitiveness–cohesion balancing at the city-regional scale [27], while public-transport studies show that operational measures such as reserve capacity can mitigate disruption impacts and improve network robustness [28]. However, international research has mostly focused on assessing the resilience of physical infrastructure networks (such as transport and energy), and has rarely examined their coordination mechanisms and resilience characteristics from the perspective of multi-layer network coupling between economic and information systems [29].
In China, the three major urban agglomerations—the Yangtze River Delta, the Pearl River Delta and Beijing–Tianjin–Hebei—show marked heterogeneity. The Yangtze River Delta has formed a multi-centre, hierarchical structure that is close to the pattern of mature international urban regions [30,31,32]. The Pearl River Delta (Guangdong–Hong Kong–Macao Greater Bay Area) presents a multi-core linkage pattern, where the Shenzhen–Hong Kong–Guangzhou innovation corridor is highly internationalized and inter-city industrial chains are tightly coupled. In contrast, the Beijing–Tianjin–Hebei urban agglomeration manifests a typical mono-centric network structure dominated by Beijing. The growth rate of its inter-city enterprise investment network is only 19%, network density remains low and hierarchical differentiation is pronounced; administrative boundaries still create barriers to the formation of inter-city links and lead to imbalances in resource allocation, and the overall degree of networkisation needs to be improved [33]. This distinctive stage of development makes Beijing–Tianjin–Hebei an ideal case for studying network evolution, coupling mechanisms and resilience enhancement in urban agglomerations undergoing transformation.
At the same time, the complexity and coupling of networks bring new vulnerabilities. As a closely connected whole, an urban agglomeration is subject to the risk that local node failures or external shocks may propagate through networks, trigger chain reactions and affect the stability of the entire system [20,21]. Therefore, “resilience”—as a key concept for assessing the capacity of a system to withstand shocks, maintain functions and recover or adapt—has been introduced into urban network research [34]. Extending this view to inter-city linkages in an urban agglomeration, urban agglomeration network resilience refers to the capability of the inter-city flow network to sustain basic functioning and element-exchange capacity when some nodes/links are disrupted, supported by redundancy and alternative paths [15]. Existing studies have attempted to construct urban resilience evaluation frameworks from the perspective of multi-dimensional associated networks in the economic, social and ecological domains, or to identify vulnerable links by analyzing urban material metabolism networks [22,24]. Nevertheless, there is still a lack of research that integrates the two themes of network “coupling” and “resilience”, and, in particular, systematic and dynamic simulations and evaluations of the resilience of the core economic–information coupled network remain scarce [35].
Against the backdrop of the deep implementation of the Beijing–Tianjin–Hebei coordinated development strategy, sudden events such as the COVID-19 pandemic and supply-chain disruptions have further highlighted the importance of network resilience in urban agglomerations. As a key national strategic region in China, the internal network structure of the Beijing–Tianjin–Hebei urban agglomeration has attracted sustained attention. Although under the coordinated development strategy, the network pattern is evolving from a monocentric radiation structure towards a more complex multi-centre configuration [36], how the economic and information networks are coupled and coordinated, and how such coupling structures affect the resilience performance of the entire urban agglomeration when facing disturbances, are scientific questions that urgently require further investigation.
In summary, existing studies have advanced our understanding of urban agglomeration networks, yet several gaps remain when economic and information flows are considered jointly from a resilience perspective. First, economic and information networks are often examined separately, and their consistency is frequently inferred from aggregate indicators, leaving the overlap and divergence of strong ties and their evolution within the same urban agglomeration underexplored. Second, although “coupling” has been widely discussed, coordinated coupling between economic and information networks is rarely quantified in a way that simultaneously considers interaction intensity and spatial configuration. Third, resilience assessments still rely largely on static robustness descriptions, and comparatively few studies provide dynamic evidence on how coupling shapes vulnerability under different disruption mechanisms (e.g., random failures versus targeted attacks). In view of these gaps, this study takes the Beijing–Tianjin–Hebei urban agglomeration as the case area and constructs economic and information linkage networks based on inter-firm investment data and online information attention data. Social network analysis is employed to depict the spatial structural characteristics of the two networks. On this basis, a coupling coordination model is developed to quantify the coupling and differentiation patterns of the economic–information network. Finally, by simulating deliberate attacks and random failures, the dynamic resilience of the coupled network is evaluated to provide decision support for enhancing regional urban network resilience.

2. Materials and Methods

2.1. Study Area

The Beijing–Tianjin–Hebei (BTH) region consists of Beijing, Tianjin, and Hebei Province, covering 13 prefecture-level and above administrative units with a total area of approximately 216,000 km2 (Figure 1). Located in northern China and adjacent to the Bohai Rim, the BTH region holds a prominent strategic position in national and regional development. Its spatial configuration, in which the two municipalities of Beijing and Tianjin are surrounded by Hebei, provides a distinctive geo-spatial basis for coordinated regional development.
In terms of functional positioning, Beijing serves as China’s political, cultural and international exchange centre as well as a major hub for scientific and technological innovation, exerting strong radiating and driving effects. Tianjin, as the economic centre and an important port city in northern China, is a key gateway for the country’s opening-up to the north. Hebei Province, with its vast territory and rich resource endowment, is the core carrier for industrial layout and spatial expansion within the Beijing–Tianjin–Hebei region. Notably, the spatial configuration in which the two municipalities of Beijing and Tianjin are surrounded by Hebei provides a unique geo-spatial foundation for coordinated regional development. Driven by national strategies, this region has become a critical engine for China’s new-type urbanization and regional integration processes, and plays an important demonstration role for national economic and social development.

2.2. Data Sources

This study is based on two types of network data—information flows and cross-city investment—on the basis of which a composite coupled network is constructed.
The information flow data are derived from the Baidu Index platform. Using web crawler techniques, we obtain the Baidu search index between the 13 cities in the Beijing–Tianjin–Hebei region for the years 2013 and 2023. The city where the search originates is treated as the source of information, and the city being searched is treated as the target. The annual average search volume is used to construct the information linkage strength between city pairs, thereby forming an undirected weighted information network. These data can effectively reflect public information attention and the spatial pattern of inter-urban information flows.
The cross-city investment network data are obtained from the CSMAR database (China Stock Market & Accounting Research Database, https://data.csmar.com/, 1 December 2025). We select data on Chinese A-share listed companies and their subsidiaries, which feature relatively high disclosure quality and a long time span, and extract information on the establishment of subsidiaries by these firms in 2013 and 2023. In constructing the network, cities are treated as nodes. When a listed company headquartered in one city establishes a subsidiary in another city, an investment linkage is considered to exist between the two cities. The edge weight is defined as the number of subsidiaries established by firms from the investing city in the target city in a given year, thus forming a cross-city investment network that reflects the spatial pattern of capital flows and diffusion. These data not only ensure the authenticity and traceability of investment behaviour, but also provide a solid basis for characterizing capital linkages among cities and regional investment connections.

2.3. Research Methods

2.3.1. Measurement of Network Coupling

Spatial consistency and divergence between the economic and information networks are examined by first conducting a correlation test based on their adjacency matrices. The Quadratic Assignment Procedure (QAP) is introduced, whereby the network matrices are randomly permuted many times and the significance of the correlation coefficient is calculated, so as to avoid spurious correlation caused by spatial autocorrelation. QAP is a permutation-based inference framework designed for hypothesis testing with relational (matrix) data, explicitly accounting for the inherent dependencies among dyadic observations [37]. The correlation coefficient is computed as in Equation (1),
r = i = 1 n j = 1 n ( x i j x ¯ ) ( y i j y ¯ ) i = 1 n j = 1 n ( x i j x ¯ ) 2 i = 1 n j = 1 n ( y i j y ¯ ) 2
where x i j and y i j denote the elements of the adjacency matrices of the economic and information networks, respectively, and x ¯ and y ¯ are their mean values.
On this basis, we further calculate the weighted coupling degree, which reflects the degree of overlap among strong linkages between the two networks and is defined in Equation (2). A higher value of weighted coupling degree indicates a greater consistency of strong ties between the economic and information networks.
C w = i = 1 n j = 1 n min ( x i j , y i j ) i = 1 n j = 1 n max ( x i j , y i j )

2.3.2. Analysis of Network Structural Characteristics

Based on the constructed economic, information and coupled networks, this study employs social network analysis to characterize both global and node-level structural features.
Network density is defined as the ratio of the number of existing edges to the maximum possible number of edges, and is calculated as:
D = 2 E N ( N 1 )
where E is the number of edges and N is the number of nodes.
The average degree reflects the average level of connectivity in the network and is given by:
H = 1 N i = 1 N k i
Degree centrality measures the number of direct connections of a node, indicating its direct influence in the network [38]. Betweenness centrality captures the extent to which a node lies on the shortest paths between other nodes, and is calculated as:
B C i = s i t σ s t ( i ) σ s t
where σ s t ( i ) is the number of shortest paths between nodes s and t and σ s t ( i ) is the number of those paths that pass through node i.
Eigenvector centrality takes into account not only the degree of a node but also its connections to other influential nodes. It is defined as:
x i = 1 λ j = 1 N A i j x j
where xi is the eigenvector centrality of node i, Aij is the element of the adjacency matrix, λ is the largest eigenvalue, and x is the corresponding eigenvector.

2.3.3. Measurement of Network Resilience

Network robustness is evaluated from a structural perspective along three dimensions: hierarchy, assortativity, and clustering. Network hierarchy is measured through power-law fitting of the degree distribution and the hierarchical index β [39]. Specifically, we adopt a log–log regression of the form:
ln C ( k ) = α + β ln k
where C(k) is the average clustering coefficient of nodes with degree k, and β is the hierarchical index. When β < 0, high-degree nodes exhibit lower clustering, indicating a pronounced hierarchical structure.
Degree assortativity r is used to characterize the tendency of nodes to connect with others of similar degree [40], and is computed as:
r = i j ( A i j k i k j ) 1 2 m i j A i j ( k i + k j ) 2 2 i j A i j ( k i 2 + k j 2 ) 2 1 2 m i j A i j ( k i + k j ) 2 2
where Aij denotes the adjacency matrix, ki and kj are the degrees of nodes i and j, and m is the number of edges. Positive r indicates assortative mixing, whereas negative r indicates disassortative mixing.
The average clustering coefficient measures local redundancy and triangular relationships in the network, and is given by:
C = 1 N i = 1 N 2 e i k i ( k i 1 )
where e i is the number of actual edges among the neighbours of node i. A higher average clustering coefficient implies stronger local redundancy and substitutability, which is conducive to enhancing network resilience.

2.3.4. Simulation of Disruption Scenarios

Network stability under external shocks is assessed by constructing two types of attack scenarios—random attacks and targeted attacks—and describe the degradation of system performance using a reliability function. In the random attack scenario, nodes are removed randomly according to a given probability, simulating network failures under general disturbances. In the targeted attack scenario, nodes with the highest degree centrality or betweenness centrality are removed first, simulating the damage of key hubs [41]. By comparing the evolution of network connectivity under different attack sequences, we can quantitatively evaluate and compare the resilience of the economic, information and coupled networks under various disruption scenarios.

3. Results and Discussion

3.1. Spatial Structural Characteristics of the Networks

3.1.1. Overall Network Structure

Based on the formulas introduced above, the economic and information networks of the Beijing–Tianjin–Hebei urban agglomeration are first constructed and their adjacency matrices are obtained. The edge weights are binarized using the mean value as a threshold to reduce redundant paths and highlight key linkages. On this basis, network linkage maps are plotted (Figure 2), and the overall structural metrics are reported in Table 1. The results indicate that the economic and information networks follow markedly different development trajectories over the decade.
In the economic network, the number of edges increases from 41 in 2013 to 43 in 2023, and network density rises from 0.526 to 0.551, suggesting that inter-city economic ties have been steadily strengthened. The links between Beijing–Tianjin and Beijing–Tangshan remain the strongest and further increase in weight. Beijing also maintains strong connections with Shijiazhuang, Baoding and Langfang, indicating that economic radiation has gradually extended from the core area towards the central Hebei hinterland. Meanwhile, the importance of coastal cities along the Bohai Rim—such as Tangshan, Qinhuangdao, Langfang and Cangzhou—has increased significantly, forming a spatial pattern characterized by a “Beijing–Tianjin core—coastal belt—hinterland followers”.
The information network, by contrast, expands more rapidly and in a more inclusive manner. The number of edges grows from 16 to 24, and network density rises from 0.205 to 0.308, with a growth rate clearly exceeding that of the economic network. In 2013, information flows are highly concentrated between Beijing and a few core cities. By 2023, weak ties are substantially reduced and a large number of medium–strong links emerge; cities such as Handan, Langfang, Tangshan, Cangzhou, Zhangjiakou, Chengde, Qinhuangdao and Hengshui see marked increases in their information linkages. Although the Beijing–Tianjin and Beijing–Shijiazhuang corridors remain the strongest information channels, their relative dominance weakens, and the overall pattern evolves from core monopoly towards multi-node interaction.
QAP tests show that the spatial patterns of the two networks are highly correlated (Table 2). The correlation coefficient decreases from 0.924 to 0.863, and all 5000 random permutations are statistically significant (p < 0.01), indicating that economic linkages largely constrain information exchange. At the same time, the decline in the correlation coefficient suggests that the information network is gradually freeing itself from strong dependence on the economic network. The matrix coupling results are consistent with this finding: the weighted coupling degree is high in both years (0.859 in 2013 and 0.769 in 2023), implying substantial overlap among strong ties, whereas the binary coupling degree increases from 0.357 to 0.523, showing that the coverage and topology of the information network are becoming more similar to those of the economic network.
The coupled network constructed based on the coupling coordination degree further reveals the release of superposition effects (Figure 2c,f). The number of edges increases from 14 to 15 and network density rises from 0.179 to 0.192; although the overall level remains relatively low, there is a clear structural improvement. In 2013, the coupled network is mainly supported by the Beijing–Tianjin and Beijing–Shijiazhuang corridors. By 2023, the Beijing–Baoding linkage upgrades into a high-level connection, and the links associated with Hengshui, Handan, Langfang, Zhangjiakou, Tangshan and Chengde are strengthened. The network status of the “corridor around Beijing”, the Bohai Rim arc and the central–southern Hebei plain corridor is significantly enhanced, indicating a transformation of the coupled network from core-driven to multi-node collaboration.
Overall, from 2013 to 2023, the Beijing–Tianjin–Hebei urban agglomeration exhibits a pattern of “steady strengthening of the economic network, rapid expansion of the information network, and relative lag of the coupled network”. The regional structure evolves from loose to tight, and from a dual-core configuration to multi-node collaboration. Meanwhile, weak ties are reduced and inter-subregional connectivity is enhanced, with the network changing from point-like agglomeration to area-wide linkage, thereby providing a more solid network foundation for coordinated development and regional integration.
The divergent trajectories of the two layers are consistent with the heterogeneous “frictions” of factor flows. Corporate investment ties are typically more path-dependent and institutionally mediated, and thus tend to concentrate along established core corridors where market access, headquarters control, and administrative coordination are strongest. By contrast, online attention flows exhibit lower spatial friction and faster topological diffusion, so the information network can expand rapidly toward peripheral cities once digital infrastructure and inter-city interactions intensify. The coupled network, however, requires simultaneous alignment of virtual interactions and material investment linkages; therefore, local mismatches in link organization (e.g., information links emerging where investment ties remain weak) can accumulate and manifest as a lagging coupled structure and a declining coordination degree.

3.1.2. Spatial Distribution of Network Structural Metrics

Between 2013 and 2023, the structural resilience of all three networks in the Beijing–Tianjin–Hebei region improves to varying degrees, but their strengths and weaknesses differ significantly. The spatial distribution of structural metrics in 2013 and 2023 is shown in Figure 3 and Figure 4.
In the economic network, the average degree increases from 0.526 to 0.551, while the unevenness of the degree distribution decreases from 0.266 to 0.238, and the average clustering coefficient remains at a relatively high level. This indicates that both overall connectivity and local redundancy have improved, consolidating the structural robustness of the economic system. However, edge weights become more concentrated in core nodes: the combined eigenvector centrality share of Beijing and Tianjin rises from 0.625 to 0.677, suggesting that their core advantages have been further strengthened and that the economic network has become more dependent on the dual cores. Intermediation functions also undergo a significant shift: the cross-regional “corridor” role that was dominated by Tangshan in 2013 is gradually taken over by Tianjin. The intermediary capacity of central–southern Hebei cities such as Handan, Xingtai and Hengshui increases, whereas the importance of Qinhuangdao and Tangshan declines. At the node level, the degree centrality of Tianjin and Shijiazhuang increases markedly, and Zhangjiakou also makes some progress, while the positions of Langfang and Tangshan weaken.
In comparison, the information network shows the most pronounced structural improvement. Its average degree rises from 0.205 to 0.308, the unevenness of degree distribution declines substantially, and the average clustering coefficient surges from 0.329 to 0.624. At the same time, the concentration of structural weight decreases, and the relative advantages of core cities such as Beijing and Tianjin are weakened. Beijing’s betweenness centrality declines from 0.712 to 0.455; Shijiazhuang maintains strong intermediary functions but shows a tendency towards decentralization, while cities such as Tianjin, Cangzhou and Xingtai newly acquire or reinforce secondary intermediary roles. In terms of node influence, the centrality of Shijiazhuang, Langfang, Handan, Cangzhou, Qinhuangdao and Tangshan increases the most. This substantial enhancement of decentralization and local redundancy makes network connectivity more stable under random failures and moderate targeted attacks.
The evolution of the coupled network can be characterized as steady yet progressive. Its average degree increases from 0.212 to 0.227, and the average clustering coefficient rises from 0.274 to 0.373, indicating improvements in both overall redundancy and local stability. The concentration of structural weight is slightly alleviated, with the combined centrality share of the two core cities, Beijing and Tianjin, declining from 0.595 to 0.479. Nevertheless, breakpoint cities remain in both periods—Chengde in 2013 and Hengshui in 2023—indicating structural gaps in certain areas of the coupled network. Regarding intermediation, Beijing’s betweenness continues to increase, while the secondary core shifts from the Shijiazhuang–Handan axis to the Xingtai–Shijiazhuang axis. Increases in node influence are mainly observed in Shijiazhuang, Handan and Xingtai, with Baoding and Zhangjiakou also strengthening, whereas Tianjin’s influence declines. This pattern suggests that the coupled network is gradually exhibiting a trend of multi-point reinforcement, but dependence on Beijing remains high. Overall, the information network shows the greatest progress in redundancy and decentralization and thus demonstrates the strongest robustness under disturbances; the economic network also enhances its redundancy but its structural weight becomes more concentrated in Beijing and Tianjin; the coupled network lies between the two: although it becomes more balanced overall, local breakpoints and core dependence still persist.

3.2. Evaluation of Network Structural Resilience

3.2.1. Measurement of Overall Structural Resilience

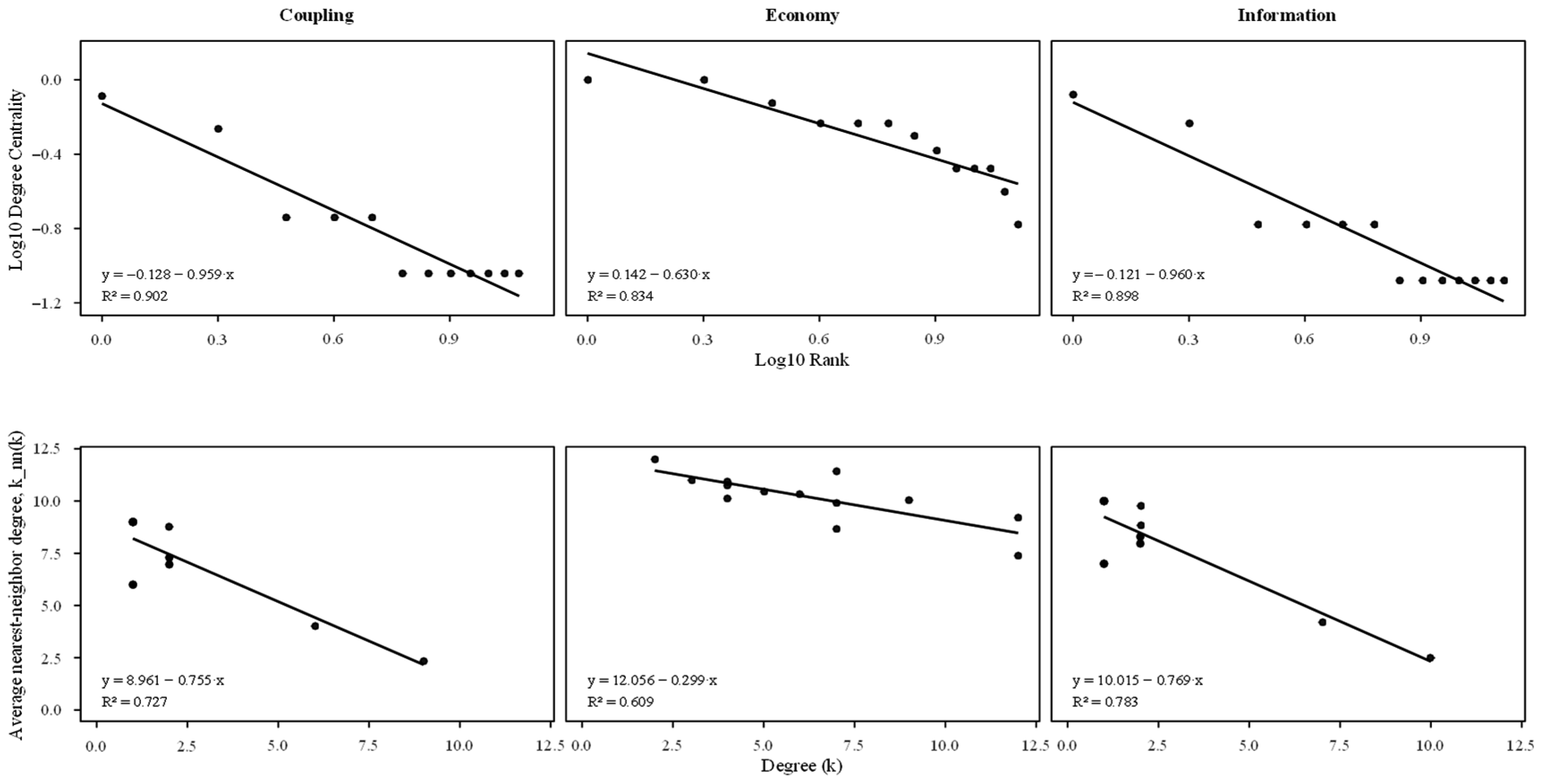
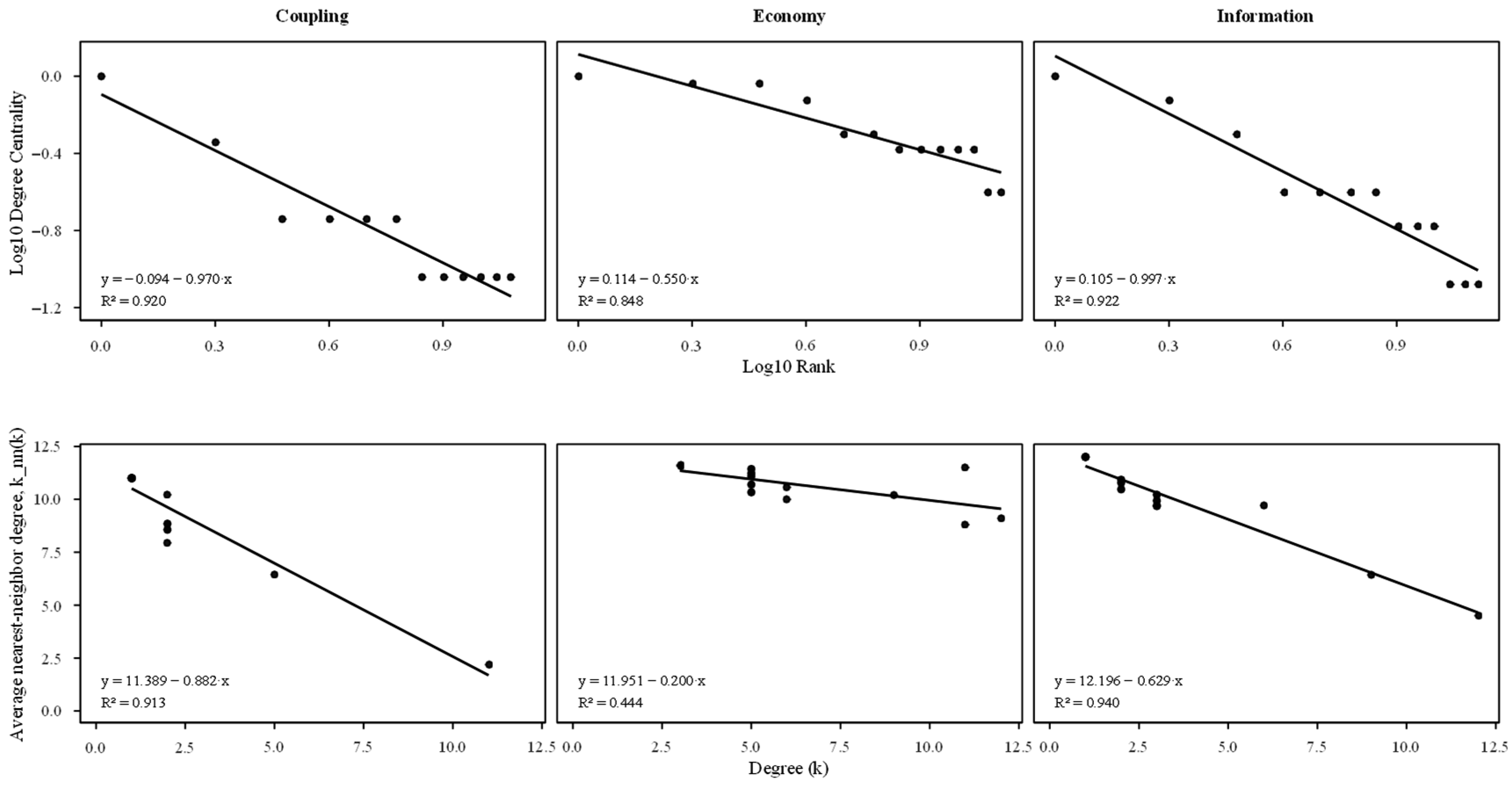
From the perspective of overall structural characteristics, this study evaluates and compares the evolution of resilience in the economic, information and coupled networks of the Beijing–Tianjin–Hebei region between 2013 and 2023 along three dimensions—hierarchy, assortativity and clustering. The results are presented in Figure 5 and Figure 6 and Table 3.
In terms of hierarchy, all three networks exhibit power-law degree distributions, indicating scale-free properties. In 2013, the economic and coupled networks had steeper slopes and more pronounced stratification, whereas the information network had a gentler slope and was closer to being homogeneous. By 2023, the power-law fit of the information network improves significantly and the absolute value of the slope decreases, reflecting weaker hierarchy and more balanced resource allocation. In contrast, the coupled network shows an increase in the absolute value of the slope, indicating a strengthening of hierarchical differentiation; the hierarchical index β of the economic network decreases from −0.506 to −0.568, implying a further increase in the influence of core nodes. Overall, the information network transitions from strong hierarchy to weak hierarchy, while the economic and coupled networks display strengthened or persistent hierarchical structures, and the dependence of the system on core nodes remains evident.
With respect to assortativity, all three networks show clear negative values in 2013, reflecting a “core–periphery” pattern. By 2023, the disassortativity of the economic and coupled networks is slightly mitigated: their assortativity coefficients r increase, although the negative tendency remains pronounced. In the information network, negative assortativity becomes even stronger, with the slope of the degree–degree correlation function approaching −1, indicating that a small number of core nodes play an increasingly dominant role in maintaining network connectivity. Thus, all three networks still exhibit a strong-core and weak-periphery structure, among which the information network shows the most notable potential vulnerability in terms of assortativity.
Regarding clustering, all three networks show improvements. The average clustering coefficient of the economic network increases slightly from 0.773 to 0.778, suggesting a modest enhancement in the stability of local structures. The information network experiences a dramatic rise from 0.329 to 0.624, indicating a substantial strengthening of local triadic relations and small-group connections. The coupled network’s average clustering coefficient increases from 0.274 to 0.373, also reflecting a clear improvement. These trends show that as factor linkages deepen, local redundancy and substitutability increase, which in turn enhances the overall capacity of the three networks to withstand shocks

3.2.2. Structural Resilience Under Disruption Scenarios

The results of the disruption scenario simulations are shown in Figure 7. Overall, the structural resilience of the three networks in the Beijing–Tianjin–Hebei region improves between 2013 and 2023, but significant differences remain.

4. Evolutionary Mechanisms and Theoretical Interpretation

On the basis of the above quantitative analysis, we find that between 2013 and 2023 the economic, information and coupled networks of the Beijing–Tianjin–Hebei urban agglomeration follow a complex evolutionary path that is at once coordinated and differentiated in terms of structure and resilience. To gain a deeper understanding of this phenomenon, this section carries out a systematic mechanism analysis and theoretical interpretation from three perspectives: the external driving forces of network evolution, the internal mechanisms of coupling coordination, and the deep-seated causes of resilience differentiation.

4.1. Driving Forces of Network Evolution

4.1.1. External Driving Forces: Coordinated Advances in Policy, Market and Technology

The increase in density and link strength of the economic, information and coupled networks in the Beijing–Tianjin–Hebei region is the result of the joint action of three major external driving forces: policy guidance, market forces and technological change.
First, at the policy level, the state-led promotion of regional integration has been decisive. The top-level design provided by the Outline of the Beijing–Tianjin–Hebei Coordinated Development Plan (approved in 2014), together with subsequent major policies such as the relocation of Beijing’s non-capital functions, the establishment of Xiong’an New Area in 2017, and the construction of Beijing’s sub-city centre, has substantially reduced administrative barriers to the flow of factors between cities. With both mandatory and guiding effects, these policies have not only directly promoted the establishment of intergovernmental coordination mechanisms, but have also driven cross-jurisdictional restructuring of industrial chains. For example, the continuous expansion of “cross-provincial processing” of government services among the three regions has already covered 234 items, and 179 items now share unified procedures and standards. This has greatly strengthened the interconnection of economic and information factors, providing a fundamental impetus for the continuous increase in the number and density of network edges.
Second, at the market level, industrial relocation and cost gradients have driven spatial restructuring. Long-standing differences in factor costs within the Beijing–Tianjin–Hebei region form an endogenous economic impetus for network evolution. High costs in Beijing have pushed manufacturing and parts of the service sector to relocate to places such as Baoding, Langfang and Cangzhou, while Hebei’s advantages in land and labour have attracted spillover investments of capital from Beijing and Tianjin. This market-driven process of industrial relocation and spatial restructuring has produced an economic network pattern of “Beijing–Tianjin core—coastal belt—hinterland followers”. It not only expands the economic linkage network, but also leads information linkages to strengthen in step with enterprise location decisions and market expansion.
Third, at the technological level, the synchronous development of transport and digital infrastructure has played a key role. Between 2015 and 2023, the improvement of high-speed and intercity rail networks such as the Beijing–Zhangjiakou, Beijing–Xiong’an and Tianjin–Baoding lines, together with the integrated development of the Beijing–Tianjin–Hebei airport and port clusters, has greatly compressed time–space distances between cities. Meanwhile, the rapid deployment of new information infrastructure, including 5G networks, data centres and cloud computing platforms, has substantially increased the carrying capacity and spatial reach of information flows. The completion of these technological infrastructures directly reduces the costs of information transmission, logistics and personnel movement between cities, and constitutes the most immediate external force driving the three networks to evolve from loose to dense structures.

4.1.2. Sources of Differences in Evolutionary Speed

Despite being subject to the same external driving forces, the three types of networks evolve at markedly different speeds. The fundamental reason lies in the different factor attributes and constraints on which each network depends.
The information network evolves the fastest because of its virtual nature. Information flows have extremely low marginal costs and nearly instantaneous diffusion speeds. Their transmission relies on internet infrastructure that can easily transcend administrative boundaries and geographical distances, and is only weakly constrained by physical space. The rapid diffusion of digital infrastructure and the leap in the level of social informatization enable the information network to expand and decentralize at lower cost and higher speed.
The economic network, by contrast, progresses steadily due to its material nature. Capital flows and industrial linkages are constrained by sunk costs, the rigidity of industrial structures, investment return cycles and institutional factors such as administrative approval, all of which entail strong adjustment inertia and high transaction costs. As a result, although the economic network continues to expand, it does so at a slow, roughly linear pace, following a more path-dependent evolutionary trajectory.
The development of the coupled network lags behind because of its coordination complexity. As the superposition of the economic and information networks, its evolution requires not only the strengthening of each individual network, but also coordination in terms of link strength and topology. However, in the current Beijing–Tianjin–Hebei region, the digitalization of economic activities remains incomplete and cross-regional information-sharing mechanisms are still underdeveloped. These problems prevent the superimposed linkages between economic and information flows from fully synchronizing, and thus the integration of the virtual and real economies proceeds more slowly than the self-reinforcement of every single network.

4.2. Mechanisms of Coupling Coordination

The correlation coefficient between the economic and information networks decreases from 0.924 to 0.863, showing a distinctive pattern of “still highly correlated but with weakening correlation”. This is mainly the result of the joint action of three sub-mechanisms: coordination, spatial factors and self-organization.
In the early stage (around 2013), information infrastructure coverage was uneven, and the spatial distribution of information flows depended heavily on the locations of economic activity. Enterprise investment and market expansion decisions were the main sources of information demand, leading to a high degree of overlap between the two networks. As information infrastructure became more widespread, the costs of obtaining and disseminating information fell sharply, and the spatial diffusion capacity of information flows gradually surpassed the physical constraints on economic flows (such as plant location and sunk capital). The information network thus began to acquire an autonomous evolutionary momentum. For example, growth in information flows driven by noneconomic factors such as public attention and digital public services led the two networks to remain highly correlated but with gradually weakening correlation.
Geographical proximity and functional complementarity significantly enhance coupling strength. For example, intensive commuting linkages and industrial cooperation between Beijing and Langfang or Baoding have created high-intensity economic–information coupling zones. The time–space compression effects brought about by the construction of the high-speed rail network further reinforce this spatial stickiness based on geographical proximity. However, administrative boundaries (such as those between Beijing and Hebei or between Tianjin and Hebei) still pose barriers to the free movement of some factors, especially high-end economic factors. It is noteworthy that information flows can partly bypass these administrative barriers and diffuse across regions, which causes the spatial configuration of the information network to diverge locally from that of the economic network and reduces the complete overlap of their spatial structures.
Urban network evolution generally exhibits a preferential attachment mechanism: core nodes with many existing connections (such as Beijing and Tianjin) can, by virtue of early resource accumulation and positional advantages, continue to attract new linkages and thus generate a Matthew effect, which is highly path-dependent. However, due to its low switching costs, the topological expansion of the information network proceeds much faster than that of the economic network. Peripheral cities such as Shijiazhuang and Handan can quickly enhance their centrality in the information network by building information hubs and participating in digital cooperation, but they are unable to challenge the positions of core cities in the economic network in the short term. This difference in self-organized evolutionary rates leads to a relative decline in the structural similarity between the two networks.

4.3. Deep-Seated Causes of Resilience Differentiation

4.3.1. Network Properties and Differences in Node Substitutability

Information network resilience has improved the fastest, the economic network is the most fragile, and the coupled network lies in between; the fundamental reason is that the three networks differ in their inherent properties and in the substitutability of their nodes. Information flows are characterized by low sunk costs, high replicability and immediacy, which are typical features of the virtual economy. When local nodes or links fail, information can quickly be rerouted and reconfigured through alternative channels.
The economic network, however, is constrained by capital specificity, fixed-asset investment and high switching costs; investment relationships and industrial chains cannot be easily adjusted or replaced in the short term, which leads to weak disturbance resistance. The coupled network bears both the flexibility of information flows and the inertia of economic flows, and therefore exhibits an intermediate level of resilience. Nodes in the information network (such as data centres and information gateway cities) have relatively standardized functions and strong substitutability, making it easy to form multi-centre, flat structures. By contrast, in the economic network, Beijing and Tianjin act as control centres for high-end capital, innovation and decision-making; their functions are highly specialized and exclusive, with very limited substitutability. This difference in node substitutability directly determines that it is easier for the information network to decentralize, whereas the economic network finds it difficult to escape structural dependence on core nodes.

4.3.2. The Dual Role of Core Nodes and Its Impact on Resilience

Core nodes (Beijing and Tianjin) play different roles in the three networks, which is a key factor shaping overall resilience. In the economic network, Beijing and Tianjin are irreplaceable efficiency centres and capital hubs that undertake most intermediary functions of the network. While this single-core-dependent structure enhances the efficiency of network operation, it also creates critical points of vulnerability: once they come under targeted attack, the network is easily segmented, resulting in the lowest overall resilience.
In the information network, Beijing and Tianjin remain important sources and hubs of information, but their core status is relatively weakened. The information weights of peripheral nodes such as Langfang, Shijiazhuang and Tangshan increase significantly, forming an effective multi-point support configuration. This means that Beijing’s core functions can be partially substituted, thereby enabling the information network to demonstrate higher stability and resilience under various disturbances.
In the coupled network, the bridging roles of Beijing and Tianjin remain prominent: Beijing dominates the coordination of virtual and real factors, while Tianjin links the coastal economic belt. Although this hub function improves the efficiency of coupling, it also transmits the vulnerability of core nodes into the coupled network, making its resilience fall between that of the economic and information networks. The dual role of core nodes as both efficiency centres and points of fragility in the coupled network is the direct reason why its resilience performance is intermediate.

5. Conclusions

5.1. Summary

This study investigates the Beijing–Tianjin–Hebei (BTH) urban agglomeration using a two-layer network framework by constructing an economic network from inter-city corporate investment ties and an information network from online attention flows, and by deriving an economic–information coupled network via coupling coordination. Comparing 2013 and 2023, we find an increasingly evident structural gap: the information network expands faster and becomes more inclusive, while the economic network strengthens more steadily and remains more corridor- and core-dependent. Although the two layers remain strongly connected, local link organization diverges, and the coupled network tends to lag behind the more rapidly evolving information layer. Resilience assessment indicates that the information network gains robustness from decentralization and redundancy, whereas the economic network is more sensitive to targeted removals of core nodes and corridors; the coupled network exhibits intermediate resilience performance.

5.2. Implications and Policy Recommendations

The results imply that enhancing urban agglomeration resilience requires not only strengthening each layer independently but also improving the alignment between “virtual” interactions and “material” investment linkages so that expanding information connectivity can be translated into more balanced economic connectivity. Policies can prioritize the construction of cross-jurisdictional redundancy by shifting from a “single-corridor dominance” pattern to a multi-route connectivity structure. In practice, this means coordinating inter-city transport and logistics planning across administrative boundaries, promoting multi-hub network layouts, and supporting alternative corridors that can substitute core routes during disruptions. Cross-city emergency mutual-aid arrangements and joint contingency planning can be institutionalized so that functional connectivity is maintained even when key nodes or links are compromised, consistent with governance-oriented insights from urban and interdependent infrastructure resilience research.
The coupled network lags when information links intensify without a comparable strengthening of investment ties in the same relational space. Therefore, policy instruments should explicitly aim at converting high-frequency digital interaction into higher-quality economic cooperation. A feasible strategy is to build a cross-city project pipeline that bundles innovation, industrial collaboration, and investment facilitation into shared programmes, paired with interoperable approval processes and coordinated incentives for cross-city projects that include peripheral cities. Establishing shared databases for industrial resources, innovation platforms, and investment opportunities—together with unified standards for data exchange and public service interoperability—can reduce coordination costs and help align link organization across layers. Evidence from the urban network resilience literature suggests that redundancy and coordination capacity are central to sustaining functionality under disturbances, and the policy emphasis should be placed on strengthening these capacities at the metropolitan scale.
Given the differentiated vulnerability of the economic layer to targeted shocks, resilience-oriented regional planning can further emphasize risk diversification by reducing excessive dependence on a small set of core nodes. This can be advanced by developing functional complementarities among secondary cities, creating stable cross-city collaboration mechanisms for supply chains and innovation networks, and using regional performance evaluation to reward cross-boundary collaboration and redundancy building. Such measures can improve coupling coordination while avoiding a purely “connectivity expansion” approach that may raise volume without improving systemic robustness.

5.3. Limitations and Future Research

Several limitations should be acknowledged. First, the analysis relies on two benchmark years (2013 and 2023), which limits the observation of intermediate dynamics and the identification of short-term responses to shocks or policy changes; future work should incorporate multi-year panels to capture continuous evolution. Second, the network size is relatively small (13 cities), which may affect the stability of certain indicators; thus, this study emphasizes comparative interpretations and supplements them with robustness considerations. Third, online attention flows and corporate investment ties are proxies of broader information and economic interactions; integrating additional datasets such as mobility, logistics, multi-platform information flows, and more comprehensive firm-to-firm transactions would enhance external validity. Finally, institutional explanations related to administrative segmentation are not yet fully quantified in this study; future research will operationalize “administrative barriers” using measurable network-derived and institutional proxies and embed them in statistical or causal designs to more explicitly test how such barriers shape multilayer coupling and resilience outcomes.

Author Contributions

Conceptualization, M.W.; Methodology, M.W.; Software, M.W.; Validation, M.W.; Formal analysis, M.W., J.H. and Y.Y.; Investigation, M.W.; Resources, M.W.; Data curation, M.W.; Writing—original draft, M.W.; Writing—review and editing, M.W. and J.H.; Visualization, M.W.; Supervision, M.W.; Project administration, M.W.; Funding acquisition, J.H. All authors have read and agreed to the published version of the manuscript.

Funding

This research was supported by the National Natural Science Foundation of China (Grant No. 42171206).

Institutional Review Board Statement

Not applicable.

Informed Consent Statement

Not applicable.

Data Availability Statement

The authors confirm that the data supporting the findings of this study are available within the article. Further inquiries can be directed to the corresponding author.

Conflicts of Interest

The authors declare that the publication of this paper has no conflicts of interest.

References

  1. Wen, Y.; Yu, Z.; Zhang, C. The construction of China’s world-class urban agglomeration: Concept, framework, and paths. Urban Probl. 2024, 353, 4–19. [Google Scholar]
  2. Taylor, P.J. Specification of the World City Network. Geogr. Anal. 2001, 33, 181–194. [Google Scholar] [CrossRef]
  3. Neal, Z.P.; Derudder, B.; Taylor, P. Forecasting the world city network. Habitat Int. 2020, 106, 102146. [Google Scholar] [CrossRef]
  4. Shen, W.; Li, P.; Yao, W.; Zhao, X.; Ren, Y.; Zheng, Y.; Jiang, Y. The structural characteristics and spatial organization pattern of China’s urban network based on the multiple flow. Geogr. Res. 2023, 42, 514–533. [Google Scholar]
  5. Li, Z.; Feng, Z. Mapping Urban Networks through Inter-Firm Investment Linkages: The Case of Listed Companies in Jiangsu, China. Sustainability 2020, 12, 89. [Google Scholar] [CrossRef]
  6. Ji, R.; Wang, Y.; Li, T.; Zhao, M.; Pang, Q. Research on Network Structure of Beijing-Tianjin-Hebei Urban Agglomeration from the Perspective of Inter-enterprise Transaction Flow. Areal Res. Dev. 2024, 43, 62–69. [Google Scholar]
  7. Zhao, J. Research on the evolution of urban networks under the Beijing-Tianjin-Hebei Region coordinated development strategy: An empirical analysis based on “headquarters-branch” data of large enterprises. Urban Probl. 2024, 352, 87–94. [Google Scholar]
  8. Zhang, L.; Du, H.; Zhao, Y.; Wu, R.; Zhang, X. Urban networks among Chinese cities along “the Belt and Road”: A case of web search activity in cyberspace. PLoS ONE 2017, 12, e0188868. [Google Scholar] [CrossRef] [PubMed]
  9. Fang, C.; Yu, X.; Zhang, X.; Fang, J.; Liu, H. Big data analysis on the spatial networks of urban agglomeration. Cities 2020, 102, 102735. [Google Scholar] [CrossRef]
  10. Lin, Q.; Xiang, M.; Zhang, L.; Yao, J.; Wei, C.; Ye, S. Research on Urban Spatial Connection and Network Structure of Urban Agglomeration in Yangtze River Delta—Based on the Perspective of Information Flow. Int. J. Environ. Res. Public Health 2021, 18, 10288. [Google Scholar] [CrossRef]
  11. Jiao, J.; Wang, J.; Jin, F. Impacts of high-speed rail lines on the city network in China. J. Transp. Geogr. 2017, 60, 257–266. [Google Scholar] [CrossRef]
  12. Lin, J. Network analysis of China’s aviation system, statistical and spatial structure. J. Transp. Geogr. 2012, 22, 109–117. [Google Scholar] [CrossRef]
  13. Zhang, J.; Cao, X.B.; Du, W.B.; Cai, K.-Q. Evolution of Chinese airport network. Phys. A Stat. Mech. Its Appl. 2010, 389, 3922–3931. [Google Scholar] [CrossRef] [PubMed]
  14. Gong, J.; Li, S.; Ye, X.; Peng, Q.; Kudva, S. Modelling impacts of high-speed rail on urban interaction with social media in China’s mainland. Geo-Spat. Inf. Sci. 2021, 24, 638–653. [Google Scholar]
  15. Wei, S.; Pan, J. Resilience of Urban Network Structure in China: The Perspective of Disruption. ISPRS Int. J. Geo-Inf. 2021, 10, 796. [Google Scholar]
  16. Shao, Y.; Zhang, H.; Si, Y.; Jiao, J. Dynamic Coupling Analysis of High-Speed Railway and Remote Investment Network in China. Trop. Geogr. 2024, 44, 1196–1209. [Google Scholar]
  17. Guo, J.; Liu, X.; Han, Z.; Wang, S.; Feng, T. The Differences and Connections Between High-Speed Rail Flow and Information Flow in Promoting the Evolution of Urban Cross-Border Networks in the Bohai Rim Region. Hum. Geogr. 2024, 39, 130–141. [Google Scholar]
  18. Peng, T.; Chen, G. Characteristics and Influence Mechanism of Multi-dimensional Urban Network of Chengdu-Chongqing Circle. J. Nat. Sci. Hunan Norm. Univ. 2023, 46, 51–60. [Google Scholar]
  19. Ma, H.; Huang, X. Visualizing the urban network constructed by the most innovative enterprises in China. Reg. Stud. Reg. Sci. 2022, 9, 343–346. [Google Scholar] [CrossRef]
  20. Gottmann, J.; Fund, T.C. Megalopolis: The Urbanized Northeastern Seaboard of the United States; Literary Licensing, LLC: Whitefish, MT, USA, 2025. [Google Scholar]
  21. Meijers, E.J.; Burger, M.J.; Hoogerbrugge, M.M. Borrowing size in networks of cities: City size, network connectivity and metropolitan functions in Europe. Pap. Reg. Sci. 2016, 95, 181–199. [Google Scholar] [CrossRef]
  22. Meerow, S.; Newell, J.P.; Stults, M. Defining urban resilience: A review. Landsc. Urban Plan. 2016, 147, 38–49. [Google Scholar] [CrossRef]
  23. Bettencourt, L.M.A. Urban growth and the emergent statistics of cities. Sci. Adv. 2020, 6, eaat8812. [Google Scholar] [CrossRef]
  24. Sharifi, A.; Khavarian-Garmsir, A.R.; Kummitha, R.K.R. Contributions of Smart City Solutions and Technologies to Resilience against the COVID-19 Pandemic: A Literature Review. Sustainability 2021, 13, 8018. [Google Scholar] [CrossRef]
  25. Ganin, A.A.; Kitsak, M.; Marchese, D.; Keisler, J.M.; Seager, T.P.; Linkov, I. Resilience and efficiency in transportation networks. Sci. Adv. 2017, 3, e1701079. [Google Scholar] [CrossRef]
  26. Innes, J.E.; Booher, D.E.; Vittorio, S.D. Strategies for megaregion governance. J. Am. Plan. Assoc. 2010, 77, 55–67. [Google Scholar] [CrossRef]
  27. Waterhout, B.; Zonneveld, W.; Meijers, E. Polycentric development policies in Europe: Overview and debate. Built Environ. 2005, 31, 163–173. [Google Scholar] [CrossRef]
  28. Cats, O.; Jenelius, E. Planning for the unexpected: The value of reserve capacity for public transport network robustness. Transp. Res. Part A Policy Pract. 2015, 81, 47–61. [Google Scholar] [CrossRef]
  29. Folke, C.; Carpenter, S.; Walker, B.; Scheffer, M.; Chapin, T.; Rockstrom, J. Resilience Thinking: Integrating Resilience, Adaptability and Transformability. Ecol. Soc. 2010, 15, 20. [Google Scholar] [CrossRef]
  30. Luo, F. Research on Innovation Capability and Collaborative Innovation of Urban Agglomerations in the Yangtze River Economic. Ph.D. Thesis, Southwestern University of Finance and Economics, Chengdu, China, 2025. [Google Scholar]
  31. Zhang, H.; Liang, X.; Liu, D.; Shi, Q.; Chen, H. The resilience evolution and scenario simulation of social-ecological landscape in the fragile area. Acta Geogr. Sin. 2019, 74, 1450–1466. [Google Scholar]
  32. Zhao, L. Research on Urban Network and Urban Development Efficiency Improvement in the Yangtze River Economic Belt. Ph.D. Thesis, Southwestern University of Finance and Economics, Chengdu, China, 2025. [Google Scholar]
  33. Zhang, W.; Derudder, B.; Wang, J.; Witlox, F. An Analysis of the Determinants of the Multiplex Urban Networks in the Yangtze River Delta. Tijdschr. Voor Econ. Soc. Geogr. 2020, 111, 117–133. [Google Scholar] [CrossRef]
  34. Gross, T.; Barth, L. Network Robustness Revisited. Front. Phys. 2022, 10, 823564. [Google Scholar] [CrossRef]
  35. Feng, X.; Xiu, C.; Bai, L.; Zhong, Y.; Wei, Y. Comprehensive evaluation of urban resilience based on the perspective of landscape pattern: A case study of Shenyang city. Cities 2020, 104, 102722. [Google Scholar] [CrossRef]
  36. Li, C.; Lu, M.; Zhang, J.; Yu, J. Evolution and Influencing Factors of Industrial Investment Network in Beijing-Tianjin-Hebei Urban Agglomeration. Hum. Geogr. 2022, 37, 162–170. [Google Scholar]
  37. Krackhardt, D. Predicting with networks: Nonparametric multiple regression analysis of dyadic data. Soc. Netw. 1988, 10, 359–381. [Google Scholar] [CrossRef]
  38. Freeman, L.C. A set of measures of centrality based on betweenness. Sociometry 1977, 40, 35–41. [Google Scholar] [CrossRef]
  39. Barabási, A.L. ALBERTR Emergence of scaling in random networks. Science 1999, 286, 509–512. [Google Scholar] [CrossRef]
  40. Newman, M.E.J. Mixing patterns in networks. Phys. Rev. E 2003, 67, 026126. [Google Scholar] [CrossRef]
  41. Cohen, R.; Erez, K.; Ben-Avraham, D.; Havlin, S. Resilience of the internet to random breakdowns. Phys. Rev. Lett. 2000, 85, 4626–4628. [Google Scholar] [CrossRef]
Figure 1. Location map of Beijing–Tianjin–Hebei region. (Map projection: WGS 84/UTM zone 50N, EPSG:32650). Panels (a), (b), and (c) represent the location of the study area in China, the elevation (DEM), and the land-use/land-cover map, respectively.
Figure 1. Location map of Beijing–Tianjin–Hebei region. (Map projection: WGS 84/UTM zone 50N, EPSG:32650). Panels (a), (b), and (c) represent the location of the study area in China, the elevation (DEM), and the land-use/land-cover map, respectively.
Urbansci 10 00066 g001
Figure 2. Network connection map of Beijing–Tianjin–Hebei region. (Map projection: WGS 84/UTM zone 50N, EPSG:32650). Panels (a), (b) and (c) represent the economic, information and coupled networks in 2013, respectively; panels (d), (e) and (f) represent the economic, information and coupled networks in 2023, respectively.
Figure 2. Network connection map of Beijing–Tianjin–Hebei region. (Map projection: WGS 84/UTM zone 50N, EPSG:32650). Panels (a), (b) and (c) represent the economic, information and coupled networks in 2013, respectively; panels (d), (e) and (f) represent the economic, information and coupled networks in 2023, respectively.
Urbansci 10 00066 g002
Figure 3. Spatial distribution of network structural metrics in 2013. (Map projection: WGS 84/UTM zone 50N, EPSG:32650).
Figure 3. Spatial distribution of network structural metrics in 2013. (Map projection: WGS 84/UTM zone 50N, EPSG:32650).
Urbansci 10 00066 g003
Figure 4. Distribution of various network structure indicators in 2023. (Map projection: WGS 84/UTM zone 50N, EPSG:32650).
Figure 4. Distribution of various network structure indicators in 2023. (Map projection: WGS 84/UTM zone 50N, EPSG:32650).
Urbansci 10 00066 g004
Figure 5. Scatter plot of resilience metrics in 2013.
Figure 5. Scatter plot of resilience metrics in 2013.
Urbansci 10 00066 g005
Figure 6. Scatter plot of resilience metrics in 2023.
Figure 6. Scatter plot of resilience metrics in 2023.
Urbansci 10 00066 g006
Figure 7. Resilience metrics under simulated disruption scenarios. Panels (ac) show the resilience metrics for 2013, and panels (df) show the resilience metrics for 2023.
Figure 7. Resilience metrics under simulated disruption scenarios. Panels (ac) show the resilience metrics for 2013, and panels (df) show the resilience metrics for 2023.
Urbansci 10 00066 g007
Table 1. Basic Network Attributes of Economic Networks and Information Networks.
Table 1. Basic Network Attributes of Economic Networks and Information Networks.
YearNetwork TypeNumber of NodesNumber of EdgesDensity
2013Economy13410.526
Information13160.205
Coupling13140.179
2023Economy13430.551
Information13240.308
Coupling13150.192
Table 2. Correlation and coupling degree between the economic and information networks.
Table 2. Correlation and coupling degree between the economic and information networks.
YearR2p-ValueWeighted Coupling DegreeBinary Coupling Degree
20130.9240.0020.8590.357
20230.8630.0020.7690.523
Table 3. Resilience metrics for the economic, information and coupled networks.
Table 3. Resilience metrics for the economic, information and coupled networks.
NetworkHierarchyAssortativityClustering
Degree Distribution (β)Degree Correlation (r)Average Clustering Coefficient
Economy−0.506−0.5040.773
Information−1.441−0.8400.329
Coupling−1.596−0.8200.274
Economy−0.568−0.4800.778
Information−0.880−0.7540.624
Coupling−1.447−0.8000.373
Disclaimer/Publisher’s Note: The statements, opinions and data contained in all publications are solely those of the individual author(s) and contributor(s) and not of MDPI and/or the editor(s). MDPI and/or the editor(s) disclaim responsibility for any injury to people or property resulting from any ideas, methods, instructions or products referred to in the content.

Share and Cite

MDPI and ACS Style

Wang, M.; Huang, J.; Yuan, Y. Simulation of Coupling Coordination and Resilience in Regional Economies and Information Network Institutions: The Case of the Beijing–Tianjin–Hebei Urban Agglomeration. Urban Sci. 2026, 10, 66. https://doi.org/10.3390/urbansci10010066

AMA Style

Wang M, Huang J, Yuan Y. Simulation of Coupling Coordination and Resilience in Regional Economies and Information Network Institutions: The Case of the Beijing–Tianjin–Hebei Urban Agglomeration. Urban Science. 2026; 10(1):66. https://doi.org/10.3390/urbansci10010066

Chicago/Turabian Style

Wang, Mengyu, Jianyi Huang, and Yitai Yuan. 2026. "Simulation of Coupling Coordination and Resilience in Regional Economies and Information Network Institutions: The Case of the Beijing–Tianjin–Hebei Urban Agglomeration" Urban Science 10, no. 1: 66. https://doi.org/10.3390/urbansci10010066

APA Style

Wang, M., Huang, J., & Yuan, Y. (2026). Simulation of Coupling Coordination and Resilience in Regional Economies and Information Network Institutions: The Case of the Beijing–Tianjin–Hebei Urban Agglomeration. Urban Science, 10(1), 66. https://doi.org/10.3390/urbansci10010066

Article Metrics

Back to TopTop