Next Article in Journal
Development of a Semi-Empirical Model for Estimating the Efficiency of Thermodynamic Power Cycles
Previous Article in Journal
Artificial Neural Networks in Membrane Bioreactors: A Comprehensive Review—Overcoming Challenges and Future Perspectives
 
 
Font Type:
Arial Georgia Verdana
Font Size:
Aa Aa Aa
Line Spacing:
Column Width:
Background:
Communication

An Analysis of the Convergence Problem of a Function in Functional Norms by Applying the Generalized Nörlund-Matrix Product Operator

by
Hari M. Srivastava
1,2,3,4,5,*,
Hare K. Nigam
6 and
Swagata Nandy
6
1
Department of Mathematics and Statistics, University of Victoria, Victoria, BC V8W 3R4, Canada
2
Department of Medical Research, China Medical University Hospital, China Medical University, Taichung 40402, Taiwan
3
Department of Mathematics and Informatics, Azerbaijan University, 71 Jeyhun Hajibeyli Street, Baku AZ1007, Azerbaijan
4
Section of Mathematics, International Telematic University Uninettuno, I-00186 Rome, Italy
5
Center for Converging Humanities, Kyung Hee University, 26 Kyungheedae-ro, Dongdaemun-gu, Seoul 02447, Republic of Korea
6
Department of Mathematics, Central University of South Bihar, Gaya 824236, Bihar, India
*
Author to whom correspondence should be addressed.
Submission received: 9 March 2023 / Revised: 14 May 2023 / Accepted: 29 May 2023 / Published: 22 August 2023
(This article belongs to the Section Computer Sciences, Mathematics and AI)

Abstract

In this paper, we analyze the convergence problems of function g of Fourier series in Besov and generalized Zygmund norms using generalized Nörlund-Matrix ( N p , q A ) means of Fourier series. Convergence results are also compared by means of applications.

1. Introduction

Besov ( B α ρ ( L υ ) ) spaces describe the smoothness of the functions. In fact, Besov B α ρ ( L υ ) spaces are a set of functions from fundamental spaces L υ , where ρ and α denote smoothness and its finer gradation, respectively (see Equation (8), p. 5). These spaces naturally appear in many fields of pure and applied mathematics in general and in the field of mathematical analysis in particular. Presently, Besov spaces are defined by using Fourier transforms and modulus of smoothness of the function. These two definitions of Besov spaces are equivalent unless υ < 1 and ρ is small. The Besov spaces defined by the modulus of smoothness appear more naturally in the area of approximation theory [1]. Generalized Zygmund spaces are also powerful spaces which use the definition of modulus of smoothness of the function and appear naturally in the area of approximation theory.
Besides their wide applications in different studies of approximation theory, these spaces are also used for studying convergence problems of a function using summability means.
We note that the investigators [2,3,4,5,6,7,8,9,10,11,12,13,14,15,16,17,18,19], etc., have studied the degree of approximation of a function of Fourier series in Lipschitz, H o ¨ lder and generalized H o ¨ lder spaces using summability means.
This paper contains an analysis of the convergence problems of function g of Fourier series in Besov and generalized Zygmund norms using matrix-generalized Nörlund ( A N p , q ) means of Fourier series. We compare our convergence results by means of applications.
The organization of the paper is as follows: In Section 2, we provide important definitions related to our work. In Section 3, we prove the auxiliary results, which are used in the proofs of our main results. In Section 4, we prove our convergence results. In Section 5, convergence results are compared by means of applications. Section 6 contains a conclusion.

2. Preliminaries

2.1. Fourier Series

Let g be a Lebesgue integrable function with period 2 π on the interval [ π , π ] . The Fourier transform of a function g is given by
g ( ω ) = exp ( i ω x ) g ( x ) d x = < g , e i ω x > ,
where g ( ω ) is a function of frequency ω and < g , e i ω x > is the inner product in a Hilbert space. Thus, the transform of a signal decomposes it into a sine wave of different frequencies and phases.
The Fourier series of function g is given by
g ( x ) a 0 2 + μ = 1 ( a μ cos μ x + b μ sin μ x ) ,
where a 0 , a μ and b μ are the Fourier coefficients.
The μ th partial sum of (1) is given by ([20])
s μ ( g ; x ) g ( x ) = 1 2 π 0 π ϕ ( x , y ) D μ ( y ) d y ,
where
ϕ ( x , y ) = g ( x + y ) + g ( x y ) 2 g ( x )
and D μ ( y ) (Dirichlet Kernal) is defined by
D μ ( y ) = sin μ + 1 2 y sin y 2 .

2.2. Summability Operators

Let
u 0 + u 1 + u 3 + = κ = 0 u κ
be an infinite series with the sequence of its κ th partial sum s κ .
The infinite sequence of κ th partial sum { s κ } is
{ u 0 , u 1 , u 3 , } = { s κ } 0 .

Generalized Nörlund Matrix ( N p , q A ) Operator

Let { p κ } and { q κ } be the sequence of constants, real or complex such that
P κ = p 0 + p 1 + + p κ = v = 0 κ p v , as κ ,
Q κ = q 0 + q 1 + + q κ = v = 0 κ q v , as κ
and
R κ = p 0 q κ + p 1 q κ 1 + + p κ q 0 = v = 0 κ p v q κ v , as κ .
Given two sequences { p κ } and { q κ } , convolution ( p q ) κ is defined as
R κ = ( p q ) κ = μ = 0 κ p κ μ q μ .
We write
γ κ N p , q = 1 R κ μ = 0 κ p κ μ q μ s μ .
If R κ 0 κ , the generalized Nörlund transform ( N p , q ) of the sequence { s κ } is the sequence { γ κ N p , q } .
If { γ κ N p , q } s , as κ , the infinite series given by (4) or a sequence given by (5) is summable to s by the generalized Nörlund ( N p , q ) method and is denoted by s κ s ( N p , q ) .
The necessary and sufficient conditions for ( N p , q ) method to be regular are
μ = 0 κ | p κ μ q μ | = O ( | R κ | ) and p κ μ = O ( | R κ | ) as κ
for every fixed μ 0 for which q μ 0 .
Let A = ( a κ , μ ) , κ , μ = 0 , 1 , 2 , be an infinite triangular matrix satisfying the Silverman–Toeplitz conditions of regularity, i.e.,
μ = 0 κ a κ , μ = 1 as κ , a κ , μ = 0 , for μ > κ , lim κ a κ , μ = 0 for each μ , μ = 0 κ | a κ , μ | N , a finite constant .
Now, we superimpose the generalized Nörlund ( N p , q ) method on the matrix ( A ) method and obtain a new product summability method ( N p , q A ) which is defined as
γ κ N p , q A = 1 R κ μ = 0 κ p κ μ q μ γ μ A = 1 R κ μ = 0 κ p κ μ q μ j = 0 μ a μ , j s j .
If γ κ N p , q A s as κ , then (4) is summable to a finite value s by the N p , q A method. The regularity of N p , q and A methods implies the regularity of the product N p , q A method.
Remark 1.
N p , q A product operator is reduced to
(i) 
N p , q C 1 operator if a κ , μ = 1 κ + 1 .
(ii) 
N p , q H operator if a κ , μ = 1 ( κ μ + 1 ) log κ .
(iii) 
N p , q C β operator if a κ , μ = κ μ + β 1 β 1 κ + β β .
(iv) 
N p , q H p operator if a κ , μ = 1 log p 1 ( κ + 1 ) m = 0 p 1 log m ( μ + 1 ) .
(v) 
N p , q N p operator if a κ , μ = p κ μ P κ , where P κ = μ = 0 p μ .
(vi) 
N p , q N ¯ p operator if a κ , μ = p μ P κ , where P κ = μ = 0 p μ .
(vii) 
N p A operator if q κ = 1 , for all κ .
(viii) 
N ¯ p A operator if p κ = 1 , for all κ .
(ix) 
C β A operator if p κ = κ + β 1 β 1 , β > 0 and q κ = 1 , for all κ .

2.3. Lipschitz Spaces

The norm of g L υ [ 0 , 2 π ] is given by
| | g | | υ : = 1 2 π 0 2 π | g ( y ) | υ d y 1 υ , for 1 υ < ; ess sup 0 < y < 2 π | g ( y ) | , for υ = .
  • Lip  ρ  class of function:
  • The function g Lip ρ if
    | g ( y + t ) g ( y ) | = O ( t ρ ) , for 0 < ρ 1 .
  • Lip ( ρ , υ )  class of a function:
  • The function g Lip ( ρ , υ ) if
    0 2 π | g ( y + t ) g ( y ) | υ d y 1 υ = O ( t ρ ) , 0 < ρ 1 , υ 1 .
  • Lip *   ( ρ , υ )  class of a function:
  • For ρ > 0 , μ > ρ , i . e . , μ = [ ρ ] + 1 , the smallest integer is larger than ρ ; function g Lip * ( ρ , υ ) if
    ϖ μ ( g , t ) υ = O ( t ρ ) , t > 0 .

2.4. Besov Spaces

Let C 2 π : = C [ 0 , 2 π ] denote the Banach space of all 2 π -periodic continuous functions defined on [ 0 , 2 π ] under the supremum norm and
L υ : = L υ [ 0 , 2 π ] : = g : [ 0 , 2 π ] R : 0 2 π | g ( x ) | υ d x < , υ 1
be the space of all 2 π -periodic integrable functions.
The L υ -norm of a function g is defined by
g υ = 1 2 π 0 2 π | g ( x ) | υ d x 1 υ for 1 υ < , ess sup x [ 0 , 2 π ] | g ( x ) | for υ = .
We define for function g L υ the spaces
ϖ ( g ; t ) : = sup x , x + h [ 0 , 2 π ] | h | < t | g ( x + h ) g ( x ) | ,
which is said to be the modulus of continuity.
We define for function g L υ the spaces
ϖ μ ( g , t ) υ : = sup 0 < h t Δ h μ ( g , · ) υ , t > 0 ,
which is said to be the μ th order modulus of smoothness
where
Δ h μ ( g , x ) : = λ = 0 μ ( 1 ) μ λ μ λ g ( x + λ h ) , μ N .
Remark 2.
(i) 
If υ = , μ = 0 , ϖ ( g , t ) ϖ μ ( g , t ) υ .
(ii) 
If 0 < υ < , μ = 1 , ϖ 1 ( g , t ) υ ϖ μ ( g , t ) υ .
(iii) 
If g C 2 π and ϖ ( g , t ) = O ( t ρ ) , 0 < ρ 1 then g L i p ρ .
(iv) 
If g L υ for 0 < υ < and ϖ ( g , t ) = O ( t ρ ) for 0 < ρ 1 , then g L i p ( ρ , υ ) .
(v) 
If υ = , Lip ρ Lip ( ρ , υ ) .
Let ρ > 0 , μ > ρ , i . e . , μ = [ ρ ] + 1 , be the smallest integer larger than ρ . For g L υ , if
ϖ μ ( g , t ) υ = O ( t ρ ) , t > 0 ,
then g Lip * ( ρ , υ ) (generalized Lipschitz class of function g).
The semi-norm of (10) is given by
| g | Lip * ( ρ , υ ) = sup t > 0 ϖ μ ( g , t ) υ t ρ .
Thus, Lip ( ρ , υ ) Lip * ( ρ , υ ) .
Let μ = [ ρ ] + 1 for ρ > 0 , μ > ρ , i . e . , 0 < υ , α , the Besov B α ρ ( L υ ) spaces are defined by a collection of all 2 π -periodic functions g L υ given by
ϖ μ ( g , · ) ρ , α = | g | B α ρ ( L υ ) : = 0 π ϖ μ ( g , t ) υ t ρ α d t t 1 α , 0 < α < sup t > 0 ϖ μ ( g , t ) υ t ρ , α = .
Note that (12) is finite [21].
Moreover, (12) is a semi-norm for 1 υ , α and a quasi semi-norm in cases [22].
Thus, the quasi-norm for Besov B α ρ ( L υ ) spaces is given by
g B α ρ ( L υ ) : = g υ + | g | B α ρ ( L υ ) = g υ + ϖ μ ( g , · ) ρ , α .

2.5. Modulus of Continuity

The modulus of continuity is defined by
ω g ( δ ) = ω ( g , δ ) = sup y ; | t | < δ ; Δ t ( g , y ) .
The first-order modulus of continuity of function g L υ is defined by
ω 1 ( g ; t ) υ : = sup | y | < t , x R | | g ( x + y ) g ( x ) | | υ .
This is also said to be the integral modulus of continuity.
The second-order modulus of continuity of function g L υ is defined by
ω 2 ( g , δ ) = sup y ; | t | < δ ; Δ t 2 ( g , y ) .

2.6. Generalized Zygmund Spaces

Let g : [ 0 , 2 π ] R be an arbitrary function with ϖ ( y ) > 0 for 0 < y 2 π and lim y 0 + ϖ ( y ) = ϖ ( 0 ) = 0 . We define
χ υ ( ϖ ) = g L υ [ 0 , 2 π ] : 1 υ < , sup y 0 | | g ( · + y ) + g ( · y ) 2 g ( · ) | | υ ϖ ( y ) < , υ 1 ,
and its norm is given by
| | g | | υ ( ϖ ) = | | g | | υ + sup y 0 | | g ( · + y ) + g ( · y ) 2 g ( · ) | | υ ϖ ( y ) , υ 1 .
Also,
| | g | | υ ( ξ ) = | | g | | υ + sup y 0 | | g ( · + y ) + g ( · y ) 2 g ( · ) | | υ ξ ( y ) , υ 1 .
We note that the G.Z.S. ( χ υ ( ϖ ) ) is a Banach space under the norm | | · | | υ ( ϖ ) .
The completeness of spaces L υ ( υ 1 ) implies the completeness of spaces χ υ ( ϖ ) .
Remark 3.
Let ϖ ( y ) ξ ( y ) be positive and non-decreasing in y,
| | g | | υ ( ξ ) max 1 , ϖ ( 2 π ) ξ ( 2 π ) | | g | | υ ( ϖ ) < ,
where ϖ and ξ denote the second-order moduli of continuity.
Thus, we can write
χ υ ( ϖ ) χ υ ( ξ ) L υ , υ 1 .
Remark 4.
(i) 
If ϖ ( y ) = y ρ , then χ ( ϖ ) class reduces to χ ρ class.
(ii) 
If ϖ ( y ) = y ρ , then χ υ ( ϖ ) class reduces to χ ρ , υ class.
(iii) 
If υ , then χ υ ( ϖ ) class reduces to χ ( ϖ ) class.
(iv) 
If we take υ , then χ ρ , υ class becomes χ ρ class.
(v) 
Let 0 τ < ρ < 1 , if ϖ ( y ) = y ρ 2 and ξ ( y ) = y ρ 1 , then ϖ ( y ) ξ ( y ) is non-decreasing in y and ϖ ( y ) y ξ ( y ) is non-increasing in y.

2.7. Degree of Convergence

The degree of convergence of function g is a measure of the speed at which γ κ converges to g , which is given by ([23])
g γ κ = O 1 ρ κ ,
where γ κ is a trigonometric polynomial of degree κ and ρ κ as κ .

2.8. Notations

ϕ ( x , y ) = g ( x + y ) + g ( x y ) 2 g ( x ) .
For Besov B α ρ ( L υ ) spaces,
Φ ( x , t , y ) = ϕ ( x + t , y ) ϕ ( x , y ) , 0 < ρ < 1 ϕ ( x + t , y ) + ϕ ( x t , y ) 2 ϕ ( x , y ) , 1 ρ < 2 ;
Z κ ( x ) = γ κ N p , q A ( g ; x ) g ( x ) = 0 π ϕ ( x , y ) M n N p , q A ( y ) d y .
We know that
ϖ μ ( Z κ , t ) υ = sup 0 < h t Δ h κ ( Z κ , · ) υ , t > 0 = sup 0 < h t Z κ ( · + h ) Z κ ( · ) υ , 0 < ρ < 1 sup 0 < h t Z κ ( · + h ) + Z κ ( · h ) 2 Z κ ( · ) υ , 1 ρ < 2 , = Υ κ ( · , t ) υ .
Υ κ ( x , t ) = Z κ ( x + t ) Z κ ( x ) , 0 < ρ < 1 Z κ ( x + t ) + Z κ ( x t ) 2 Z κ ( x ) , 1 ρ < 2 , = 0 π { ϕ ( x + t , y ) ϕ ( x , y ) } M n N p , q A ( y ) d y , 0 < ρ < 1 0 π { ϕ ( x + t , y ) + ϕ ( x t , y ) 2 ϕ ( x , y ) } M n N p , q A ( y ) d y , 1 ρ < 2 , using ( 14 ) = 0 π ϕ ( x , t , y ) M n N p , q A ( y ) d y
For generalized Zygmund spaces,
Φ ( x , t , y ) = ϕ ( x + t , y ) + ϕ ( x t , y ) 2 ϕ ( x , y ) ;
Δ a κ , μ = a κ , μ a κ , μ + 1 , 0 μ κ 1 ;
M κ N p , q A ( y ) = 1 2 π 1 R κ μ = 0 κ p κ μ q μ j = 0 μ a μ , j sin j + 1 2 y sin ( y 2 ) .

3. Auxiliary Results

The following auxiliary results are required for the proof of the following Theorems.
Lemma 1.
If { p κ } and { q κ } are monotonic decreasing and monotonic increasing sequences, respectively, then
( κ + 1 ) p κ q 0 = O ( R κ ) .
Proof. 
The proof of this Lemma is straightforward. □
Lemma 2.
| M κ N p , q A ( y ) | = O κ + 1 for 0 < y 1 κ + 1 .
Proof. 
For 0 < y 1 κ + 1 , sin ( y 2 ) y π , | sin ( κ y ) | κ y .
M κ N p , q A ( y ) = 1 2 π 1 R κ μ = 0 κ p κ μ q μ j = 0 μ a μ , j sin j + 1 2 y sin ( y 2 ) 1 2 π 1 R κ μ = 0 κ p κ μ q μ j = 0 μ a μ , j | sin j + 1 2 y | | sin ( y 2 ) | 1 2 π 1 R κ μ = 0 κ p κ μ q μ j = 0 μ a μ , j j + 1 2 y y π 1 4 1 R κ μ = 0 κ p κ μ q μ j = 0 μ a μ , j ( 2 j + 1 ) = 1 4 1 R κ μ = 0 κ p κ μ q μ 2 j = 0 μ j a μ , j + j = 0 μ a μ , j = 1 4 1 R κ μ = 0 κ p κ μ q μ 2 ( a μ , 1 + 2 a μ , 2 + + μ a μ , μ ) + 1 = 1 4 1 R κ μ = 0 κ p κ μ q μ 2 ( μ a μ , 1 + μ a μ , 2 + + μ a μ , μ ) + 1 = 1 4 1 R κ μ = 0 κ p κ μ q μ 2 μ ( a μ , 0 + a μ , 1 + a μ , 2 + + a μ , μ ) 2 μ a μ , 0 + 1 = 1 4 1 R κ μ = 0 κ p κ μ q μ 2 μ ( a μ , 0 + a μ , 1 + a μ , 2 + + a μ , μ ) a μ , 0 + 1 = 1 4 1 R κ μ = 0 κ p κ μ q μ 2 μ 1 a μ , 0 + 1 1 4 1 R κ μ = 0 κ p κ μ q μ ( 2 μ + 1 ) ( 2 κ + 1 ) 4 1 R κ μ = 0 κ p κ μ q μ = O ( κ + 1 ) .
 □
Lemma 3.
| M κ N p , q A ( y ) | = O 1 y 2 ( κ + 1 ) for 1 κ + 1 < y π .
Proof. 
For 1 κ + 1 < y π , sin ( y 2 ) y π .
M κ N p , q A ( y ) = 1 2 π 1 R κ μ = 0 κ p κ μ q μ j = 0 μ a μ , j sin j + 1 2 y sin ( y 2 ) 1 2 π 1 R κ μ = 0 κ p κ μ q μ j = 0 μ a μ , j sin j + 1 2 y | sin ( y 2 ) | 1 2 π 1 R κ μ = 0 κ p κ μ q μ j = 0 μ a μ , j sin j + 1 2 y y π 1 2 y 1 R κ μ = 0 κ p κ μ q μ j = 0 μ a μ , j sin j + 1 2 y .
By Abel’s lemma, we obtain
M κ N p , q A ( y ) 1 2 y 1 R κ [ μ = 0 κ p κ μ q μ j = 0 μ 1 ( a μ , j a μ 1 , j + 1 ) υ = 0 j sin υ + 1 2 y + a μ , μ j = 0 μ sin j + 1 2 y ] 1 2 y 1 R κ μ = 0 κ p κ μ q μ j = 0 μ 1 Δ a μ , j υ = 0 j sin υ + 1 2 y + a μ , μ j = 0 μ sin j + 1 2 y 1 2 y 1 R v μ = 0 κ p κ μ q μ j = 0 μ 1 | Δ a μ , j | + a μ , μ max 0 υ m υ = 0 m sin υ + 1 2 y 1 2 y 1 R κ μ = 0 κ p κ μ q μ O 1 μ + 1 + O 1 μ + 1 · 1 y 1 y 2 1 R κ μ = 0 κ p κ μ q μ 1 μ + 1 .
Again, by Abel’s lemma, we obtain
M κ N p , q A ( y ) 1 y 2 1 R κ μ = 0 κ 1 ( p κ μ q μ p κ μ 1 q μ + 1 ) υ = 0 μ 1 μ + 1 + p 0 q κ μ = 0 κ 1 μ + 1 1 y 2 1 R κ μ = 0 κ 1 | ( p κ μ q μ p κ μ 1 q μ + 1 ) | + | p 0 q κ | max 0 υ m υ = 0 m 1 υ + 1
Lemma 1 provides
M κ N p , q A ( y ) 1 y 2 1 R κ p κ q 0 = O 1 y 2 ( κ + 1 ) .
 □
Lemma 4
([24]). For 1 < υ , 0 < ρ < 2 and for 0 < t , y π .
(i) 
Φ ( · , t , y ) υ 4 ϖ μ ( g , t ) υ ,
(ii) 
Φ ( · , t , y ) υ 4 ϖ μ ( g , y ) υ ,
(iii) 
Φ ( · , y ) υ 2 ϖ μ ( g , y ) υ ,
where g L υ and μ = [ ρ ] + 1 .
Lemma 5.
Let 0 β < ρ < 2 . If g B α ρ ( L υ ) , υ 1 , 1 < α < , then
(i) 
0 π | M κ N p , q A ( y ) | 0 π Φ ( · , t , y ) υ α t β α d t t 1 α d y = O 0 π ( y ρ β | M κ N p , q A ( y ) | ) α α 1 d y 1 1 α
(ii) 
0 π | M κ N p , q A ( y ) | 0 π Φ ( · , t , y ) υ α t β α d t t 1 α d y = O 0 π ( y ρ β + 1 α | M κ N p , q A ( y ) | ) α α 1 d y 1 1 α
Proof. 
Proof of this Lemma is parallel to the the proof of Lemma 1 of [24]. □
Lemma 6
([24]). Let 0 β < ρ < 2 . If g B α ρ ( L υ ) , υ 1 , α = then
sup 0 < t , y π Φ ( · , t , y ) υ t β = O ( y ρ β ) .
Lemma 7
([25]). If g χ υ ( ϖ ) then for 0 < y π ,
(i) 
| | ϕ ( · , y ) | | υ = O ( ϖ ( y ) ) .
(ii) 
| | ϕ ( · + t , y ) + ϕ ( · t , y ) 2 ϕ ( · , t ) | | υ = O ξ ( | t | ) ϖ ( y ) ξ ( y ) .
where ϖ ( y ) and ξ ( y ) are the moduli of continuity of order L υ .

4. Main Results

4.1. Analysis of Convergence of Function in the Besov Norm

In this subsection, we establish a theorem to study the convergence of function g of Fourier series in Besov B α ρ ( L υ ) spaces ( υ 1 , 1 < α ) using the generalized Nörlund Matrix means.
Theorem 1.
Let g be a 2 π -periodic and Lebesgue integrable function. For 0 β < ρ < 2 , the degree of convergence of function of g of Fourier series in the Besov B α ρ ( L υ ) space, υ 1 , 1 < α < using N p , q A operator, is given by
Z κ ( · ) B α β ( L υ ) = O ( κ + 1 ) 1 , ρ β 1 α > 1 , ( κ + 1 ) ρ + β + 1 α , ρ β 1 α < 1 , ( κ + 1 ) 1 { log ( κ + 1 ) π } 1 1 α , ρ β 1 α = 1 .
Proof. 
Using the integral representation [26] of s κ ( g ; x ) , we have
s κ ( g ; x ) g ( x ) = 1 2 π 0 π ϕ ( x , y ) sin ( κ + 1 2 ) y sin ( y 2 ) d y .
Denoting the N p , q A summability mean of s κ ( g ; x ) by γ κ N p , q A ( g ; x ) , we obtain
γ κ N p , q A ( g ; x ) g ( x ) = 1 R κ μ = 0 κ p κ μ q μ j = 0 μ a μ , j s j ( g ; x ) g ( x ) = 1 R κ μ = 0 κ p κ μ q μ j = 0 μ a μ , j 1 2 π 0 π ϕ ( x , y ) sin ( j + 1 2 ) y sin ( y 2 ) d y = 1 2 π 1 R κ 0 π ϕ ( x , y ) μ = 0 κ p κ μ q μ j = 0 μ a μ , j sin ( j + 1 2 ) y sin ( y 2 ) d y = 0 π ϕ ( x , y ) M κ N p , q A ( y ) d y .
In view of (13), Equation (14) can be written as
Z κ ( · ) B α β ( L υ ) = Z κ ( · ) υ + ϖ μ ( Z κ , · ) β , α .
Now, let us consider the first norm of (20).
Using generalized Minkowski’s inequality [27] and Lemma 4(iii), we have
Z κ ( · ) υ 0 π ϕ ( · , y ) υ | M κ N p , q A ( y ) | d y 0 π 2 ϖ μ ( g ; y ) υ | M κ N p , q A ( y ) | d y .
Using Hölder’s inequality and (12),
Z κ ( · ) υ 2 0 π | M κ N p , q A ( y ) | y ρ + 1 α α α 1 d y 1 1 α 0 π ϖ μ ( g , y ) υ y ρ + α 1 α d y 1 α = O 0 π | M κ N p , q A ( y ) | y ρ + 1 α α α 1 d y 1 1 α = O 0 1 κ + 1 + 1 κ + 1 π 0 π | M κ N p , q A ( y ) | y ρ + 1 α α ( α 1 ) d y 1 1 α = O [ 0 1 κ + 1 | M n N p , q A ( y ) | y ρ + 1 α α α 1 d y 1 1 α + 1 κ + 1 π | M κ N p , q A ( y ) | y ρ + 1 α α α 1 d y 1 1 α ] = I 1 + I 2 .
Using Lemma 2, we obtain
I 1 = O 0 1 κ + 1 | M κ N p , q A ( y ) | y ρ + 1 α α ( α 1 ) d y 1 1 α = O 0 1 κ + 1 ( κ + 1 ) y ρ + 1 α α α 1 d y α 1 α = O ( κ + 1 ) α α 1 0 1 κ + 1 ( y ) ρ + 1 α α α 1 d y α 1 α = O ( κ + 1 ) α α 1 0 1 κ + 1 ( y ) ρ α + 1 α 1 d y α 1 α = O ( κ + 1 ) α α 1 · α 1 ρ α + α 1 κ + 1 α ( ρ + 1 ) α 1 α 1 α = O ( κ + 1 ) · α 1 ρ α + α 1 ( κ + 1 ) ρ + 1 = O 1 ( κ + 1 ) ρ .
Using Lemma 3, we obtain
I 2 = O 1 κ + 1 π | M κ N p , q A ( y ) | y ρ + 1 α α α 1 d y 1 1 α = O 1 κ + 1 π 1 ( κ + 1 ) y 2 · y ρ + 1 α α α 1 d y 1 1 α = O 1 κ + 1 α α 1 1 κ + 1 π y ρ + 1 α 2 α α 1 d y 1 1 α = O 1 κ + 1 1 κ + 1 π y ρ α + 1 2 α α α α 1 d y α 1 α = O 1 κ + 1 1 κ + 1 π y ρ α + 1 2 α α 1 d y α 1 α = O 1 κ + 1 y ρ α α α 1 ρ α 1 α 1 1 κ + 1 π α 1 α = O 1 κ + 1 π ρ α α α 1 ρ α 1 α 1 ( 1 κ + 1 ) ρ α α α 1 ρ α 1 α 1 α 1 α
I 2 = O ( κ + 1 ) 1 , for all ρ > 1 , 1 < α , ( κ + 1 ) ρ , for all ρ < 1 , 1 < α , ( κ + 1 ) 1 { log ( κ + 1 ) π } 1 1 α , for ρ = 1 , 1 < α .
Combining (22)–(24), we have
Z κ ( · ) υ = O ( κ + 1 ) 1 , ρ > 1 , ( κ + 1 ) ρ , ρ < 1 , ( κ + 1 ) 1 { log ( κ + 1 ) π } 1 1 α , ρ = 1 .
Now, let us consider the second norm of (20).
Using generalized Minkowski’s inequality [27], we obtain
ϖ μ ( Z κ , · ) β , α = 0 π ϖ μ ( Z κ , t ) t β α d t t 1 α = 0 π Υ κ ( · , t ) υ t β α d t t 1 α 0 π | M κ N p , q A ( y ) | d y 0 π Φ ( · , t , y ) υ α d t t β α + 1 1 α 0 π | M κ N p , q A ( y ) | 0 y Φ ( · , t , y ) υ α t β α · d t t 1 α d y + 0 π | M κ N p , q A ( y ) | y π Φ ( · , t , y ) υ α t β α · d t t 1 α d y
Using Lemma 5, we obtain
ϖ μ ( Z κ , · ) β , α = O 0 π | M κ N p , q A ( y ) | y ρ β α α 1 d y 1 1 α + O 0 π | M κ N p , q A ( y ) | y ρ β + 1 α α α 1 d y 1 1 α = ( I 3 + I 4 ) .
Since ( c + d ) υ c υ + d υ for positive c , d and 0 < υ 1 for υ = 1 1 α < 1 , then
I 3 = O 0 π | M κ N p , q A ( y ) | y ρ β α α 1 d y 1 1 α = O 0 1 κ + 1 | M κ N p , q A ( y ) | y ρ β α α 1 d y 1 1 α + O 1 κ + 1 π | M κ N p , q A ( y ) | y ρ β α α 1 d y 1 1 α = I 31 + I 32 .
Using Lemma 2, we have
I 31 = O 0 1 κ + 1 | M κ N p , q A ( y ) | y ρ β α α 1 d y 1 1 α = O 0 1 κ + 1 y ρ β ( κ + 1 ) α α 1 d y 1 1 α = O ( κ + 1 ) ρ + β + 1 α .
Using Lemma 3, we have
I 32 = O 1 κ + 1 π | M n N p , q A ( y ) | y ρ β α α 1 d y 1 1 α = O 1 κ + 1 π 1 ( κ + 1 ) y 2 y ( ρ β ) α α 1 d y 1 1 α = O 1 κ + 1 · 1 κ + 1 π y ( ρ β 2 ) α α 1 d y 1 1 α = O ( κ + 1 ) 1 , ρ β 1 α > 1 , ( κ + 1 ) ρ + β + 1 α , ρ β 1 α < 1 , ( κ + 1 ) 1 { log ( κ + 1 ) π } 1 1 α , ρ β 1 α = 1 .
Combining (27)–(29), we have
I 3 = O ( κ + 1 ) 1 , ρ β 1 α > 1 , ( κ + 1 ) ρ + β + 1 α , ρ β 1 α < 1 , ( κ + 1 ) 1 { log ( κ + 1 ) π } 1 1 α , ρ β 1 α = 1 .
Again, using inequality ( c + d ) υ c υ + d υ for positive c , d and 0 < υ 1 for υ = 1 1 α < 1 ,
I 4 = O 0 π | M κ N p , q A ( y ) | y ρ β + 1 α α α 1 d y 1 1 α = O 0 1 κ + 1 | M κ N p , q A ( y ) | y ρ β + 1 α α α 1 d y 1 1 α + O 1 κ + 1 π | M κ N p , q A ( y ) | y ρ β + 1 α α α 1 d y 1 1 α = I 41 + I 42 .
Using Lemma 2, we have
I 41 = O 0 1 κ + 1 | M κ N p , q A ( y ) | y ρ β + 1 α α α 1 d y 1 1 α = O 0 1 κ + 1 y ρ β + 1 α ( κ + 1 ) α α 1 d y 1 1 α = O 1 ( κ + 1 ) ρ β
Using Lemma 3, we have
I 42 = O 1 κ + 1 π | M κ N p , q A ( y ) | y ρ β + 1 α α α 1 d y 1 1 α = O 1 κ + 1 π 1 ( κ + 1 ) y 2 · y ρ β + 1 α α α 1 d y 1 1 α = O 1 κ + 1 1 κ + 1 π y ( ρ β + 1 α ) α α 1 d y 1 1 α = O ( κ + 1 ) 1 , ρ β 1 α > 1 , ( κ + 1 ) ρ + β + 1 α , ρ β 1 α < 1 , ( κ + 1 ) 1 { log ( κ + 1 ) π } 1 1 α , ρ β 1 α = 1 .
Combining (31)–(33), we have
I 4 = O ( κ + 1 ) 1 , ρ β 1 α > 1 , ( κ + 1 ) ρ + β + 1 α , ρ β 1 α < 1 , ( κ + 1 ) 1 { log ( κ + 1 ) π } 1 1 α , ρ β 1 α = 1 .
Combining (26), (30) and (34), we have
ϖ μ ( Z κ , · ) β , α = O ( κ + 1 ) 1 , ρ β 1 α > 1 , ( κ + 1 ) ρ + β + 1 α , ρ β 1 α < 1 , ( κ + 1 ) 1 { log ( κ + 1 ) π } 1 1 α , ρ β 1 α = 1 .
Combining (20), (25) and (35), we have
Z κ ( · ) B α β ( L υ ) = O ( κ + 1 ) 1 , ρ β 1 α > 1 , ( κ + 1 ) ρ + β + 1 α , ρ β 1 α < 1 , ( κ + 1 ) 1 { log ( κ + 1 ) π } 1 1 α , ρ β 1 α = 1 .
 □
Remark 5.
When α = , Besov space B ρ ( L υ ) , υ 1 , ρ 0 reduces to generalized Lipschitz class L i p * ( ρ , υ ) and the corresponding norm · B ρ ( L υ ) is given by
g B ρ ( L υ ) = g L i p * ( ρ , υ ) = g υ + sup t > 0 ϖ μ ( g , t ) υ t ρ .
Thus, in view of Remark 6, we establish the following theorem to obtain convergence for g L i p * ( ρ , υ ) , υ 1 , α = .
Theorem 2.
If g is a 2 π -periodic and Lebesgue integrable function belonging to the generalized Lipschitz class L i p * ( ρ , υ ) , υ 1 and α = , then, for 0 β < ρ < 2 , the degree of convergence of a function g of Fourier series using the N p , q A operator is given by
Z κ ( · ) L i p * ( β , L υ ) = O ( κ + 1 ) 1 , ρ β > 1 , ( κ + 1 ) ρ + β , ρ β < 1 , ( κ + 1 ) 1 { log ( κ + 1 ) π } , ρ β = 1 .
Proof. 
Using (37), we write
Z κ ( · ) B β ( L υ ) = Z κ ( · ) υ + ϖ μ ( Z κ , · ) β , .
Using (10) in (21), we obtain
Z κ ( · ) υ 2 0 π ϖ μ ( g , y ) υ | M κ N p , q A ( y ) | d y = O 0 1 κ + 1 y ρ | M κ N p , q A ( y ) | d y + 1 κ + 1 π y ρ | M κ N p , q A ( y ) | d y = O ( J 1 + J 2 ) .
Using Lemma 2, we obtain
J 1 = 0 1 κ + 1 y ρ | M κ N p , q A ( y ) | d y = O ( κ + 1 ) 0 1 κ + 1 y ρ d y = O ( κ + 1 ) ρ .
Using Lemma 3, we obtain
J 2 = 1 κ + 1 π y ρ | M κ N p , q A ( y ) | d y = 1 κ + 1 π y ρ 1 ( κ + 1 ) y 2 d y = 1 κ + 1 1 κ + 1 π y ρ 2 d y = ( κ + 1 ) 1 , ρ > 1 , ( κ + 1 ) ρ , ρ < 1 , ( κ + 1 ) 1 { log ( κ + 1 ) π } , ρ = 1 .
Combining (40)–(42), we obtain
Z κ ( · ) υ = ( κ + 1 ) 1 , ρ > 1 , ( κ + 1 ) ρ , ρ < 1 , ( κ + 1 ) 1 { log ( κ + 1 ) π } , ρ = 1 .
Using generalized Minkowski’s inequality [27], we obtain
ϖ μ ( Z κ , · ) β , = sup t > 0 ϖ μ ( Z κ , t ) υ t β = sup t > 0 Υ κ ( · , t ) υ t β = sup t > 0 1 t β 1 2 π 0 2 π | Υ κ ( x , t ) | υ d x 1 υ = sup t > 0 1 t β 1 2 π 0 2 π 0 π ϕ ( x , t , y ) M κ N p , q A ( y ) d y υ d x 1 υ sup t > 0 1 t β 1 2 π 1 υ 0 π 0 2 π | ϕ ( x , t , y ) | υ · | M κ N p , q A ( y ) | υ d x 1 υ d y = sup t > 0 1 t β 0 π ϕ ( · , t , y ) υ | M κ N p , q A ( y ) | d y 0 π sup t > 0 ϕ ( · , t , y ) υ t β | M κ N p , q A ( y ) | d y
Using Lemma 6, we obtain
ϖ μ ( Z κ , · ) β , = O 0 π y ρ β | M κ N p , q A ( y ) | d y = O 0 1 κ + 1 y ρ β | M κ N p , q A ( y ) | d y + 1 κ + 1 π y ρ β | M κ N p , q A ( y ) | d y = O ( R 1 + R 2 ) .
Using Lemma 2, we obtain
R 1 = 0 1 κ + 1 y ρ | M κ N p , q A ( y ) | d y = O ( κ + 1 ) 0 1 κ + 1 y ρ β d y = O 1 ( κ + 1 ) ρ β
Using Lemma 3, we obtain
R 2 = 1 κ + 1 π y ρ β | M κ N p , q A ( y ) | d y = 1 κ + 1 π y ρ β · 1 ( κ + 1 ) y 2 d y = O 1 κ + 1 0 1 κ + 1 y ρ β 2 d y = O ( κ + 1 ) 1 , ρ β > 1 , ( κ + 1 ) ρ + β , ρ β < 1 , ( κ + 1 ) 1 { log ( κ + 1 ) π } , ρ β = 1 .
Combining (44)–(46), we obtain
ϖ μ ( Z κ , · ) β , = O ( κ + 1 ) 1 , ρ β > 1 , ( κ + 1 ) ρ + β , ρ β < 1 , ( κ + 1 ) 1 { log ( κ + 1 ) π } , ρ β = 1 .
Combining (39), (43) and (47), we have
Z κ ( · ) B β ( L υ ) = O ( κ + 1 ) 1 , ρ β > 1 , ( κ + 1 ) ρ + β , ρ β < 1 , ( κ + 1 ) 1 { log ( κ + 1 ) π } , ρ β = 1 .
 □
The following corollaries are deduced from Theorem 1.

Corollaries

Corollary 1.
Following Remark 1(i), the convergence of g of Fourier series in the Besov spaces B α ρ ( L υ ) , υ 1 ; 1 < α < using the N p , q C 1 operator is given by
γ κ N p , q C 1 ( g ; · ) g ( · ) B α β ( L υ ) = O ( κ + 1 ) 1 , ρ β 1 α > 1 , ( κ + 1 ) ρ + β + 1 α , ρ β 1 α < 1 , ( κ + 1 ) 1 { log ( κ + 1 ) π } 1 1 α , ρ β 1 α = 1 .
Corollary 2.
Following Remark 1(i), the convergence of g of Fourier series in the Besov spaces B α ρ ( L υ ) , υ 1 ; 1 < α < using the N p , q H operator is given by
γ κ N p , q H ( g ; · ) g ( · ) B α β ( L υ ) = O ( κ + 1 ) 1 , ρ β 1 α > 1 , ( κ + 1 ) ρ + β + 1 α , ρ β 1 α < 1 , ( κ + 1 ) 1 { log ( κ + 1 ) π } 1 1 α , ρ β 1 α = 1 .
Remark 6.
Other Corollaries can be deduced from Theorem 1 in view of Remark 1(iii) to 1(ix).

4.2. Analysis of the Convergence of Function in the Generalized Zygmund Norm

In this subsection, we establish the following theorem to study the convergence of function g of Fourier series in generalized Zygmund ( χ υ ( ϖ ) ) spaces using the generalized Nörlund Matrix ( N p , q A ) means.
Theorem 3.
Let g be a 2 π periodic and Lebesgue integrable function. Then, the convergence of function g of Fourier series in the generalized Zygmund ( χ υ ( ϖ ) ) spaces by N p , q A means is given by
| | γ κ N p , q A ( g ; · ) g ( · ) | | υ ( ξ ) = O 1 κ + 1 1 κ + 1 π ϖ ( y ) y 2 ξ ( y ) d y ,
where ϖ and ξ denote the moduli of continuity of order two such that ϖ ( y ) ξ ( y ) is non-negative and non-decreasing.
Proof. 
Using the integral representation [26] of s κ ( g ; x ) , we have
s κ ( g ; x ) g ( x ) = 1 2 π 0 π ϕ ( x , y ) sin ( κ + 1 2 ) y sin ( y 2 ) d y .
Denoting the N p , q A transform of s κ ( g ; x ) by γ κ N p , q A , we obtain
γ κ N p , q A ( g ; x ) g ( x ) = 1 R κ μ = 0 κ p κ μ q μ j = 0 μ a μ , j s j ( g ; x ) g ( x ) = 1 R κ μ = 0 κ p κ μ q μ j = 0 μ a μ , j 1 2 π 0 π ϕ ( x , y ) sin ( j + 1 2 ) y sin ( y 2 ) d y = 1 2 π 1 R κ 0 π ϕ ( x , y ) μ = 0 κ p κ μ q μ j = 0 μ a μ , j sin ( j + 1 2 ) y sin ( y 2 ) d y = 0 π ϕ ( x , y ) M κ N p , q A ( y ) d y .
We define
T κ ( x ) = γ κ N p , q A ( g ; x ) g ( x ) = 0 π ϕ ( y ) M κ N p , q A ( y ) d y .
Then,
T κ ( x + t ) + T κ ( x t ) 2 T κ ( x ) = 0 π ϕ ( x + t , y ) + ϕ ( x t , y ) 2 ϕ ( x , t ) M κ N p , q A ( y ) d y .
Using generalized Minkowski’s inequality, we write
| | T κ ( · + t ) + T κ ( · t ) 2 T κ ( · ) | | υ 0 π | | ϕ ( · + t , y ) + ϕ ( · t , y ) 2 ϕ ( · , t ) | | υ | M κ N p , q A ( y ) | d y = 0 1 κ + 1 | | ϕ ( · + t , y ) + ϕ ( · t , y ) 2 ϕ ( · , t ) | | υ | M κ N p , q A ( y ) | d y + 1 κ + 1 π | | ϕ ( · + t , y ) + ϕ ( · t , y ) 2 ϕ ( · , t ) | | υ | M κ N p , q A ( y ) | d y = K 1 + K 2
Using Lemmas 2 and 7(ii), we have
K 1 = 0 1 κ + 1 | | ϕ ( · + t , y ) + ϕ ( · t , y ) 2 ϕ ( · , t ) | | υ | M κ N p , q A ( y ) | d y = O 0 1 κ + 1 ξ ( | t | ) · ϖ ( y ) ξ ( y ) ( κ + 1 ) d y = O ( κ + 1 ) ξ ( | t | ) 0 1 κ + 1 ϖ ( y ) ξ ( y ) d y = O ( κ + 1 ) ξ ( | t | ) ϖ ( 1 n + 1 ) ξ ( 1 κ + 1 ) 0 1 κ + 1 d y = O ξ ( | t | ) ϖ ( 1 κ + 1 ) ξ ( 1 κ + 1 ) .
Using Lemmas 3 and 7(ii), we have
K 2 = 1 κ + 1 π | | ϕ ( · + t , y ) + ϕ ( · t , y ) 2 ϕ ( · , t ) | | υ | M κ N p , q A ( y ) | d y = O 1 κ + 1 π ξ ( | t | ) · ϖ ( y ) ξ ( y ) · 1 y 2 ( κ + 1 ) d y = O 1 κ + 1 ξ ( | t | ) 1 κ + 1 π ϖ ( y ) y 2 ξ ( y ) d y .
Combining (49)–(51),
| | T κ ( · + t ) + T κ ( · t ) 2 T κ ( · ) | | υ = O ξ ( | t | ) ϖ ( 1 κ + 1 ) ξ ( 1 κ + 1 ) + O 1 κ + 1 ξ ( | t | ) 1 κ + 1 π ϖ ( y ) y 2 ξ ( y ) d y .
Thus,
sup t 0 | | T κ ( · + t ) + T κ ( · t ) 2 T κ ( · ) | | υ ξ ( | t | ) = O ϖ ( 1 κ + 1 ) ξ ( 1 κ + 1 ) + O 1 κ + 1 1 κ + 1 π ϖ ( y ) y 2 ξ ( y ) d y .
Using Lemmas 2, 3 and 7(i), we obtain
| | T κ ( · ) | | υ = | | γ κ N p , q A ( g ; · ) g ( · ) | | υ 0 1 κ + 1 + 1 κ + 1 π | | ϕ ( · , y ) | | υ | M κ N p , q A ( y ) | d y = 0 1 κ + 1 | | ϕ ( · , y ) | | υ | M κ N p , q A ( y ) | d y + 1 κ + 1 π | | ϕ ( · , y ) | | υ | M κ N p , q A ( y ) | d y = O ( κ + 1 ) 0 1 κ + 1 ϖ ( y ) d y + O 1 κ + 1 π ϖ ( y ) y 2 ( κ + 1 ) d y = O ϖ 1 κ + 1 + O 1 κ + 1 1 κ + 1 π ϖ ( y ) y 2 d y .
From (53) and (54),
| | T κ ( · ) | | υ ξ = | | T κ ( · ) | | υ + sup t 0 | | T κ ( · + t ) + T κ ( · t ) 2 T κ ( · ) | | υ ξ ( | t | ) = O ϖ 1 κ + 1 + O 1 κ + 1 1 κ + 1 π ϖ ( y ) y 2 d y + O ϖ ( 1 κ + 1 ) ξ ( 1 κ + 1 ) + O 1 κ + 1 1 κ + 1 π ϖ ( y ) y 2 ξ ( y ) d y .
Using the monotonicity of function ξ ( y ) ,
ϖ ( y ) = ϖ ( y ) ξ ( y ) ξ ( y ) ξ ( π ) ϖ ( y ) ξ ( y ) = O ϖ ( y ) ξ ( y ) for 0 < y π .
We have
O ϖ 1 κ + 1 = O ϖ ( 1 κ + 1 ) ξ ( 1 κ + 1 ) for y = 1 κ + 1 .
Again, the monotonicity of function ξ ( y ) yields
1 κ + 1 π ϖ ( y ) y 2 ξ ( y ) ξ ( y ) d y ξ ( π ) 1 κ + 1 π ϖ ( y ) y 2 ξ ( y ) d y = O 1 κ + 1 π ϖ ( y ) y 2 ξ ( y ) d y .
Thus,
| | T κ ( · ) | | υ ξ = O ϖ ( 1 κ + 1 ) ξ ( 1 κ + 1 ) + O 1 κ + 1 1 κ + 1 π ϖ ( y ) y 2 ξ ( y ) d y .
Using Remark 3, we write
1 κ + 1 π ϖ ( y ) y 2 ξ ( y ) d y ϖ ( 1 κ + 1 ) ξ ( 1 κ + 1 ) 1 κ + 1 π d y y 2 ( κ + 1 ) ϖ ( 1 κ + 1 ) ξ ( 1 κ + 1 ) .
Hence,
ϖ ( 1 κ + 1 ) ξ ( 1 κ + 1 ) = O 1 κ + 1 1 κ + 1 π ϖ ( y ) y 2 ξ ( y ) d y .
From (55) and (56), we obtain
| | T κ ( · ) | | υ ξ = O 1 κ + 1 1 κ + 1 π ϖ ( y ) y 2 ξ ( y ) d y + 1 κ + 1 1 κ + 1 π ϖ ( y ) y 2 ξ ( y ) d y = O 1 κ + 1 1 κ + 1 π ϖ ( y ) y 2 ξ ( y ) d y | | γ κ N p , q A ( g ; · ) g ( · ) | | υ ( ξ ) = O 1 κ + 1 1 κ + 1 π ϖ ( y ) y 2 ξ ( y ) d y .
 □
In addition to the conditions of Theorem 3, we establish the following theorem.
Theorem 4.
Let g be a Lebesgue integrable and 2 π a periodic function; thenm, the degree of convergence of function g of Fourier series in the generalized Zygmund ( χ υ ( ϖ ) ) spaces by N p , q A means is given by
| | γ κ N p , q A ( g ; · ) g ( · ) | | υ ( ξ ) = O ϖ ( 1 κ + 1 ) ξ ( 1 κ + 1 ) ( log π ( κ + 1 ) ) ,
where ϖ and ξ denote the moduli of continuity of order two such that ϖ ( y ) y ξ ( y ) is non-negative and non-increasing.
Proof. 
Following the proof of Theorem 3,
| | γ κ N p , q A ( g ; · ) g ( · ) | | υ ( ξ ) = O 1 κ + 1 1 κ + 1 π ϖ ( y ) y 2 ξ ( y ) d y
since ϖ ( 1 κ + 1 ) y ξ ( 1 κ + 1 ) is positive and non-increasing; then, by the second mean value theorem of integral calculus,
| | γ κ N p , q A ( g ; · ) g ( · ) | | υ ( ξ ) = O 1 κ + 1 ( κ + 1 ) ϖ ( 1 κ + 1 ) ξ ( 1 κ + 1 ) 1 κ + 1 π d y y = O ϖ ( 1 κ + 1 ) ξ ( 1 κ + 1 ) ( log π ( κ + 1 ) ) .
 □

Corollaries

Corollary 3.
Let g χ υ ( ξ ) , υ 1 , and 0 τ < ρ < 1 . Then
| | γ κ N p , q A ( g ; · ) g ( · ) | | υ ( ξ ) = O ( ( κ + 1 ) π ) ρ τ 1 1 κ + 1 , 0 τ < ρ < 1 , O log π ( κ + 1 ) κ + 1 , τ = 0 , ρ = 1 .
Proof. 
Taking ϖ ( y ) = y ρ , ξ ( y ) = y τ , 0 τ < ρ < 1 in (57), we write
| | γ κ N p , q A ( g ; · ) g ( · ) | | υ ( ξ ) = O 1 κ + 1 1 κ + 1 π y ρ τ 2 d y .
Now,
| | γ κ N p , q A ( g ; · ) g ( · ) | | υ ( ξ ) = O 1 κ + 1 1 κ + 1 π y ρ τ 2 d y , 0 τ < ρ < 1 , O 1 κ + 1 1 κ + 1 π d y y , τ = 0 , ρ = 1 . | | γ κ N p , q A ( g ; · ) g ( · ) | | υ ( ξ ) = O ( ( κ + 1 ) π ) ρ τ 1 1 κ + 1 , 0 τ < ρ < 1 , O log π ( κ + 1 ) κ + 1 , τ = 0 , ρ = 1 .
 □
Corollary 4.
Following Remark 1(i), the convergence of g of Fourier series in the generalized Zygmund spaces ( χ υ ( ϖ ) ) by the N p , q C 1 operator is given by
| | γ κ N p , q C 1 ( g ; · ) g ( · ) | | υ ( ξ ) = O 1 κ + 1 1 κ + 1 π ϖ ( y ) y 2 ξ ( y ) d y ,
where ϖ and ξ denote the moduli of continuity of order two such that ϖ ( y ) ξ ( y ) is non-negative and non-decreasing.
Corollary 5.
Following Remark 1 (ii), the convergence of g of Fourier series in the generalized Zygmund spaces ( χ υ ( ϖ ) ) by the N p , q H operator is given by
| | γ κ N p , q H ( g ; · ) g ( · ) | | υ ( ξ ) = O 1 κ + 1 1 κ + 1 π ϖ ( y ) y 2 ξ ( y ) d y ,
where ϖ and ξ denote the moduli of continuity of order two such that ϖ ( y ) ξ ( y ) is non-negative and non-decreasing.
Remark 7.
Other Corollaries can be obtained from Theorem 3 in view of Remark 1(iii) to 1(ix).

5. Applications

In this section, we present an application of the convergence of our results.

5.1. Application of the Convergence of Function in the Besov Norm

We have M κ N p , q A ( y ) = O κ + 1 for 0 < y 1 κ + 1 and M κ N p , q A ( y ) = O 1 ( κ + 1 ) y 2 for 1 κ + 1 < y π . Taking ρ = 1 , β = 0 and α = , we have Z κ ( · ) υ = O log ( κ + 1 ) π κ + 1 and ϖ μ ( Z κ , · ) υ 0 , = O log ( κ + 1 ) π κ + 1 .
Thus,
Z κ ( · ) υ B 0 ( L 2 ) = Z κ ( · ) υ + ϖ μ ( Z κ , · ) υ 0 , = O log ( κ + 1 ) π κ + 1 .
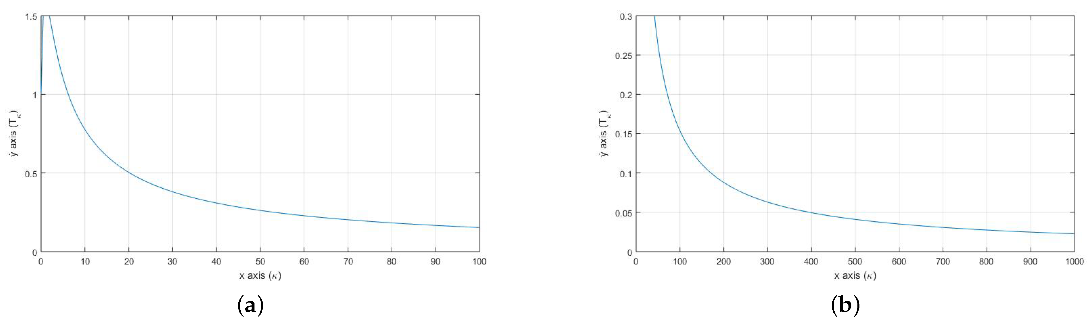
Now, we construct the Table 1 then plot graphs for Z κ ( · ) for different values of κ (Figure 1).

5.2. Application of the Convergence of Function in the Generalized Zygmund Norm

Consider function ϖ ( 1 κ + 1 ) ξ ( 1 κ + 1 ) = 1 ( κ + 1 ) 2 . .
Therefore,
| | T κ ( · ) | | υ ξ = O log π ( κ + 1 ) ( κ + 1 ) 2 .
Now, we construct the Table 2 then plot graphs for T κ ( · ) for different values of κ (Figure 2).

6. Conclusions

In Application 1 (Table 1 and the Figure 1a–f), we observe that the rate of convergence of g becomes faster as κ increases, i.e., Z κ ( · ) υ B 0 0 as κ .
In Application 2 (Table 2 and the Figure 2a–f), we observe that the rate of convergence of g becomes faster as κ increases, i.e., | | T κ ( · ) | | υ ξ 0 as κ .
The analysis of both convergence results shows that both the norms provide the best approximation. However, the generalized Zygmund norm provides rapid convergence compared to the Besov norm.

Author Contributions

Conceptualization, H.K.N.; methodology, H.K.N. and S.N.; investigation, H.K.N. and S.N.; writing—original draft preparation, H.K.N. and S.N.; writing—review and editing, H.M.S.; visualization, H.K.N.; supervision, H.K.N. and H.M.S. All authors have read and agreed to the published version of the manuscript.

Funding

This research received no external funding.

Institutional Review Board Statement

Not applicable.

Informed Consent Statement

Not applicable.

Data Availability Statement

Not applicable.

Conflicts of Interest

The authors declare no conflict of interest.

References

  1. Devore, R.A.; Popov, V.A. Interpolation of Besov spaces. Trans. Am. Math. Soc. 1988, 305, 397–414. [Google Scholar] [CrossRef]
  2. Rhoades, B.E. The degree of approximation of functions and their conjugates belonging to several general Lipschitz classes by Hausdorff matrix means of the Fourier series and conjugate series of a Fourier series. Tamkang J. Math. 2014, 45, 389–395. [Google Scholar] [CrossRef]
  3. Singh, B.; Singh, U. Some characterizations of Hausdorff matrices and their application to Fourier approximation. J. Comput. Appl. Math. 2020, 367, 112450. [Google Scholar] [CrossRef]
  4. Nigam, H.K.; Mursaleen, M.; Rani, S. Approximation of function using generalized Zygmund class. Adv. Differ. Equ. 2021, 2021, 34. [Google Scholar] [CrossRef]
  5. Krishna, N.H. Trigonometric approximation of functions by Hausdorff-Matrix product operators. Nonlinear Funct. Anal. Appl. 2019, 24, 675–689. [Google Scholar]
  6. Mohanty, M.; Das, G.; Ray, B.K. Degree of approximation of functions by their Fourier series in the Besov space by generalized matrix mean. Int. J. Math. Trends Technol. 2016, 36, 42–55. [Google Scholar] [CrossRef]
  7. Mittal, M.L.; Singh, M.V. Degree of approximation of signals (functions) in Besov space using linear operators. Asian-Eur. J. Math. 2016, 9, 1650009. [Google Scholar] [CrossRef]
  8. Singh, M.V.; Mittal, M.L. Approximation of functions in Besov space by deferred Cesàro mean. J. Inequalities Appl. 2016, 2016, 118. [Google Scholar] [CrossRef]
  9. Singh, M.V.; Mittal, M.L.; Rhoades, B.E. Approximation of functions in the generalized Zygmund class using Hausdorff means. J. Inequalities Appl. 2017, 2017, 101. [Google Scholar] [CrossRef]
  10. Jafarov, S.Z. Approximation of functions by de la Vallée-Poussin sums in weighted Orlicz spaces. Arab. J. Math. 2016, 5, 125–137. [Google Scholar] [CrossRef]
  11. Değer, U. On approximation to functions in the W(Lp,ξ(t)) class by a new matrix mean. Novi Sad J. Math. 2016, 46, 1–14. [Google Scholar]
  12. Değer, U.; Bayindir, H. Approximation by Nórlund and Riesz Type Deferred Cesàro Means in the space Hpϖ. Miskolc Math. Notes 2018, 19, 823–833. [Google Scholar] [CrossRef]
  13. Değer, U.; Küçükaslan, M. A generalization of deferred Cesàro means and some of their applications. J. Inequalities Appl. 2015, 2015, 14. [Google Scholar] [CrossRef]
  14. Singh, U.; Soshal. Approximation of periodic integrable functions in terms of modulus of continuity. Acta Comment. Univ. Tartu. Math. 2016, 20, 23–34. [Google Scholar] [CrossRef][Green Version]
  15. Jiang, Z.J. On Stević-Sharma operator from the Zygmund space to the Bloch-Orlicz space. Adv. Differ. Equ. 2015, 2015, 228. [Google Scholar] [CrossRef]
  16. Rhoades, B.E. On the degree of approximation of functions belonging to the weighted (Lp,ξ(t)) class by Hausdorff means. Tamkang J. Math. 2001, 32, 305–314. [Google Scholar] [CrossRef]
  17. Borwein, D. On product of sequences. J. Lond. Math. Soc. 1958, 33, 352–357. [Google Scholar] [CrossRef]
  18. Kushwaha, J.K.; Dhakal, B.P. Approximation of a function belonging to Lip(α,r) class by Np,qC1 summability method of its Fourier series. Nepal J. Sci. Technol. 2013, 14, 117–122. [Google Scholar] [CrossRef]
  19. Prössdorf, S. Zur konvergenz der fourierreihen hölderstetiger funktionen. Math. Nachr. 1975, 69, 7–14. [Google Scholar] [CrossRef]
  20. Zygmund, A. Trigonometric Series; Cambridge University Press: Cambridge, UK, 1959. [Google Scholar]
  21. Besov, O.V. On some families of functional spaces-imbedding and continuation theorems. Dokl. Akad. Nauk. SSSR 1959, 126, 1163–1165. [Google Scholar]
  22. Devore, R.A.; Lorentz, G. Constructive Approximation; Springer: Berlin/Heidelberg, Germany; New York, NY, USA, 1993. [Google Scholar]
  23. London, B.A. Degree of Approximation of Hölder Continuous Functions. Ph.D. Dissertation, University of Central Florida, Orlando, FL, USA, 2008. [Google Scholar]
  24. Mohanty, H.; Das, G.; Ray, B.K. Degree of approximation of Fourier series of function in Besov space by (N,pn) mean. J. Orissa Math. Soc. 2011, 30, 13–34. [Google Scholar]
  25. Lal, S.; Shireen. Best approximation of function of generalized Zygmund class matrix-Euler summability means of Fourier series. Bull. Math. Anal. Appl. 2013, 5, 1–13. [Google Scholar]
  26. Titchmarsh, E.C. The Theory of Functions; Oxford University Press: Oxford, UK, 1939. [Google Scholar]
  27. Chui, C.K. An Introduction to Wavelets (Wavelet Analysis and Its Applications); Academic Press: Cambridge, MA, USA, 1992. [Google Scholar]
Figure 1. Graphs of Z κ ( · ) for different values of κ . (a) For κ = 100 ; (b) For κ = 1000 ; (c) For κ = 10,000; (d) For κ = 100,000; (e) For κ = 1,000,000; (f) For κ = 10,000,000.
Figure 1. Graphs of Z κ ( · ) for different values of κ . (a) For κ = 100 ; (b) For κ = 1000 ; (c) For κ = 10,000; (d) For κ = 100,000; (e) For κ = 1,000,000; (f) For κ = 10,000,000.
Sci 05 00032 g001aSci 05 00032 g001b
Figure 2. Graphs of | | T κ ( · ) | | for different values of κ . (a) For κ = 100 ; (b) For κ = 1000 ; (c) For κ = 10 , 000 ; (d) For κ = 100,000; (e) For κ =1,000,000; (f) For κ = 10,000,000.
Figure 2. Graphs of | | T κ ( · ) | | for different values of κ . (a) For κ = 100 ; (b) For κ = 1000 ; (c) For κ = 10 , 000 ; (d) For κ = 100,000; (e) For κ =1,000,000; (f) For κ = 10,000,000.
Sci 05 00032 g002aSci 05 00032 g002b
Table 1. Values of Z κ ( · ) for different values of κ .
Table 1. Values of Z κ ( · ) for different values of κ .
κ Z κ ( · ) = log ( κ + 1 ) π ( κ + 1 )
1000.057028
10000.008045
10,0000.001035
100,0000.000127
1,000,0000.000015
10,000,0000.000002
......
0
Table 2. Values of T κ ( · ) for different values of κ . .
Table 2. Values of T κ ( · ) for different values of κ . .
κ | | T κ ( · ) | | υ ξ = ( log π ( κ + 1 ) ( κ + 1 ) 2
1000.000564636
10000.000008037
10,0000.000000104
100,0000.000000001
1,000,0000.000000000
10,000,0000.000000000
......
0
Disclaimer/Publisher’s Note: The statements, opinions and data contained in all publications are solely those of the individual author(s) and contributor(s) and not of MDPI and/or the editor(s). MDPI and/or the editor(s) disclaim responsibility for any injury to people or property resulting from any ideas, methods, instructions or products referred to in the content.

Share and Cite

MDPI and ACS Style

Srivastava, H.M.; Nigam, H.K.; Nandy, S. An Analysis of the Convergence Problem of a Function in Functional Norms by Applying the Generalized Nörlund-Matrix Product Operator. Sci 2023, 5, 32. https://doi.org/10.3390/sci5030032

AMA Style

Srivastava HM, Nigam HK, Nandy S. An Analysis of the Convergence Problem of a Function in Functional Norms by Applying the Generalized Nörlund-Matrix Product Operator. Sci. 2023; 5(3):32. https://doi.org/10.3390/sci5030032

Chicago/Turabian Style

Srivastava, Hari M., Hare K. Nigam, and Swagata Nandy. 2023. "An Analysis of the Convergence Problem of a Function in Functional Norms by Applying the Generalized Nörlund-Matrix Product Operator" Sci 5, no. 3: 32. https://doi.org/10.3390/sci5030032

APA Style

Srivastava, H. M., Nigam, H. K., & Nandy, S. (2023). An Analysis of the Convergence Problem of a Function in Functional Norms by Applying the Generalized Nörlund-Matrix Product Operator. Sci, 5(3), 32. https://doi.org/10.3390/sci5030032

Article Metrics

Back to TopTop