The ELIMAIA Laser–Plasma Ion Accelerator: Technological Commissioning and Perspectives
Abstract
1. Introduction
2. The Laser–Plasma Ion Accelerator in the E4 Hall
2.1. Alignment System
2.2. Beam Diagnostic Station
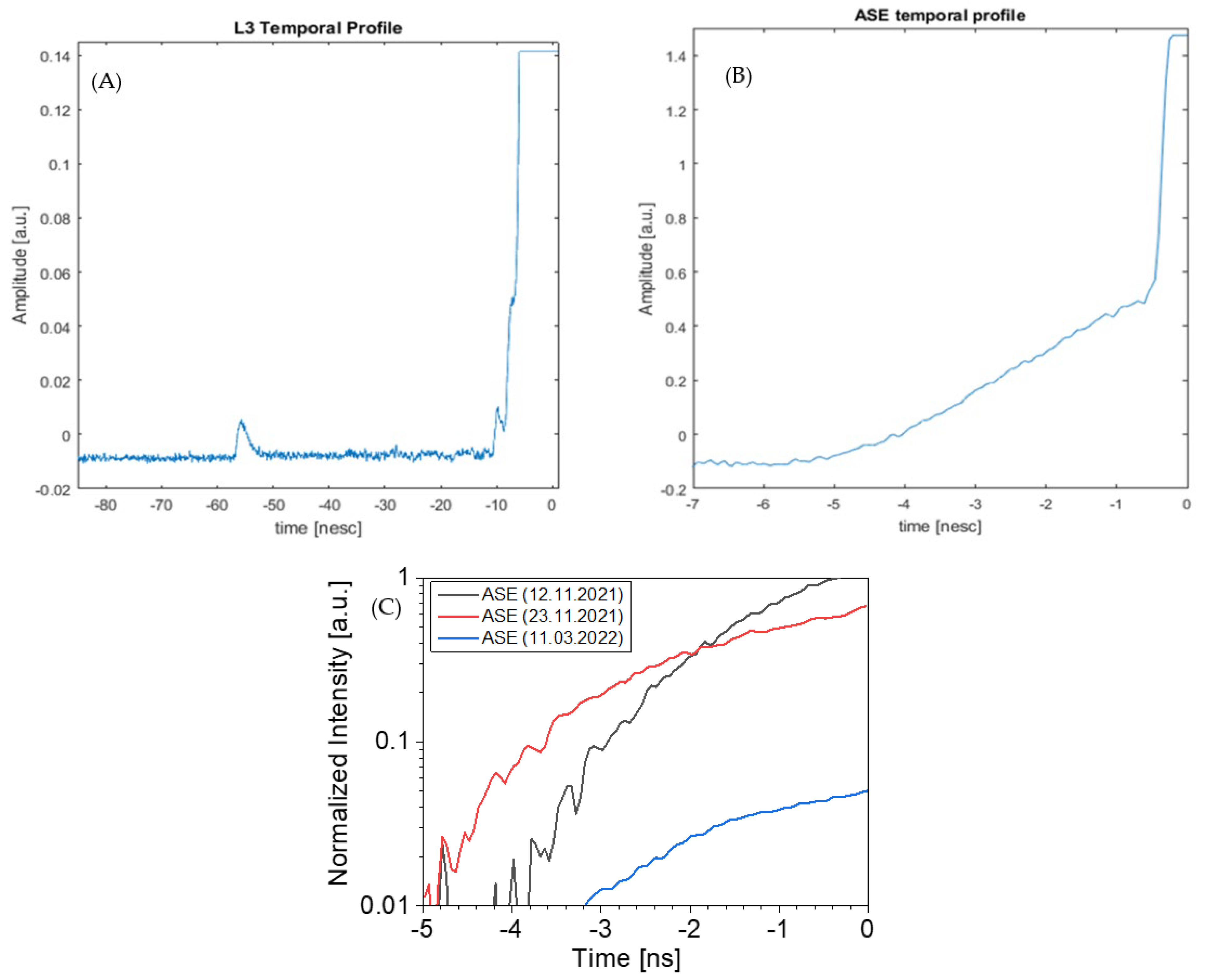
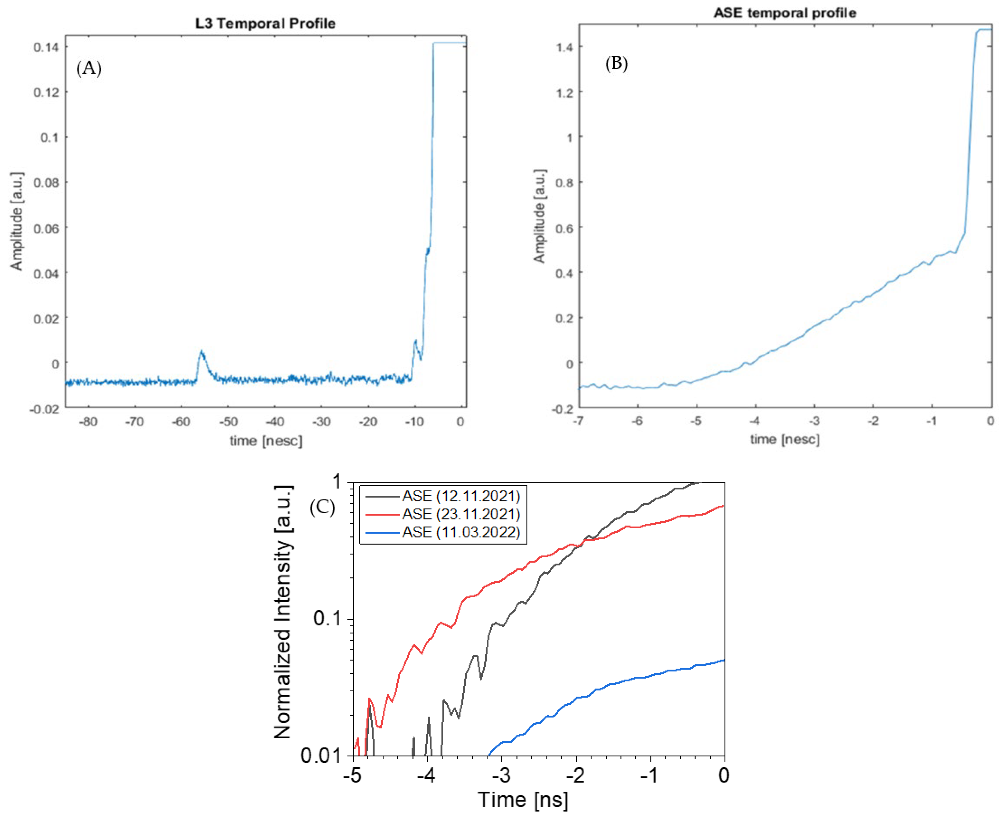
2.3. Targetry and Interaction Diagnostics
2.4. Ion Diagnostics
3. Main Outputs of the Ion Accelerator Technological Commissioning and Conclusions
Author Contributions
Funding
Institutional Review Board Statement
Informed Consent Statement
Data Availability Statement
Acknowledgments
Conflicts of Interest
References
- Macchi, A.; Borghesi, M.; Passoni, M. Ion acceleration by superintense laser-plasma interaction. Rev. Mod. Phys. 2013, 85, 751–793. [Google Scholar] [CrossRef]
- Wilks, S.C.; Langdon, A.B.; Cowan, T.E.; Roth, M.; Singh, M.; Hatchett, S.; Key, M.H.; Pennington, D.; MacKinnon, A.; Snavely, R.A. Energetic proton generation in ultra-intense laser-solid interactions. Phys. Plasmas 2001, 8, 542–549. [Google Scholar] [CrossRef]
- Higginson, A.; Gray, R.; King, M.; Dance, R.J.; Williamson, S.D.R.; Butler, N.M.H.; Wilson, R.; Capdessus, R.; Armstrong, C.D.; Green, J.S.; et al. Near-100 MeV protons via a laser-driven transparency-enhanced hybrid acceleration scheme. Nat. Commun. 2018, 9, 724. [Google Scholar] [CrossRef]
- Bulanov, S.V.; Khoroshkov, V.S. Feasibility of using laser ion accelerators in proton therapy. Plasma Phys. Rep. 2020, 28, 453–456. [Google Scholar] [CrossRef]
- Yogo, A.; Maeda, T.; Hori, T.; Sakaki, H.; Ogura, K.; Nishiuchi, M.; Sagisaka, A.; Kiriyama, H.; Okada, H.; Kanazawa, S.; et al. Measurement of relative biological effectiveness of protons in human cancer cells using a laser-driven quasi mono energetic proton beamline. Appl. Phys. Lett. 2011, 98, 053701. [Google Scholar] [CrossRef]
- Roth, M.; Cowan, T.E.; Key, M.H.; Hatchett, S.P.; Brown, C.; Fountain, W.; Johnson, J.; Pennington, D.M.; Snavely, R.A.; Wilks, S.C.; et al. Fast Ignition by Intense Laser-Accelerated Proton Beams. Phys. Rev. Lett. 2001, 86, 436–439. [Google Scholar] [CrossRef] [PubMed]
- Giuffrida, L.; Belloni, F.; Margarone, D.; Petringa, G.; Milluzzo, G.; Scuderi, V.; Velyhan, A.; Rosinski, M.; Picciotto, A.; Kucharik, M.; et al. High-current stream of energetic α particles from laser-driven proton-boron fusion. Phys. Rev. 2020, 28, 013204. [Google Scholar] [CrossRef] [PubMed]
- Krása, J.; Klir, D.; Velyhan, A.; Rezac, K.; Cikhardt, J.; Ryć, L.; Krouský, E.; Pfeifer, M.; De Marco, M.; Skala, J.; et al. Generation of fast neutrons through deuteron acceleration at the PALS laser facility. JINST 2016, 11, C03050. [Google Scholar] [CrossRef]
- Barberio, M.; Veltri, S.; Scisciò, M.; Antici, P. Laser-Accelerated Proton Beams as Diagnostics for Cultural Heritage. Sci. Rep. 2017, 7, 40415. [Google Scholar] [CrossRef] [PubMed]
- Mourou, G.A.; Korn, G.; Sandner, W.; Collier, J.L. ELI—Extreme Light Infrastructure Whitebook: Science and Technology with Ultra-Intense Lasers; THOSS Media GmbH: Berlin, Germany, 2011. [Google Scholar]
- Margarone, D.; Cirrone, G.A.P.; Cuttone, G.; Amico, A.; Andò, L.; Borghesi, M.; Bulanov, S.S.; Bulanov, S.V.; Chatain, D.; Fajstavr, A.; et al. ELIMAIA: A Laser-Driven Ion Accelerator for Multidisciplinary Applications. Quantum Beam Sci. 2018, 2, 8. [Google Scholar] [CrossRef]
- Levato, T.; Bonora, S.; Grittani, G.M.; Lazzarini, C.M.; Nawaz, M.F.; Nevrkla, M.; Villanova, L.; Ziano, R.; Bassanese, S.; Bobrova, N.; et al. HELL: High-Energy Electrons by Laser Light, a User-Oriented Experimental Platform at ELI Beamlines. Appl. Sci. 2018, 8, 1565. [Google Scholar] [CrossRef]
- Weber, S.; Bechet, S.; Borneis, S.; Brabec, L.; Bučka, M.; Chacon-Golcher, E.; Ciappina, M.; DeMarco, M.; Fajstavr, A.; Falk, K.; et al. P3: An installation for high-energy density plasma physics and ultra-high intensity laser–matter interaction at ELI-Beamlines. Matter Radiat. Extrem. 2017, 2, 149–176. [Google Scholar] [CrossRef]
- Nejdl, J.; Chaulagain, U.; Mai, D.; Hort, O.; Lamač, M.; Raclavský, M.; Albrecht, M.; Jurkovič, M.; Finke, O.; Vábek, J.; et al. Update on Laser-driven X-ray Sources at ELI Beamlines. In Compact EUV & X-ray Light Sources; Optica Publishing Group: Washington, DC, USA, 2020; p. Eth5A.6. [Google Scholar] [CrossRef]
- Rus, B.; Batysta, F.; Čáp, J.; Divoký, M.; Fibrich, M.; Griffiths, M.; Haley, R.; Havlíček, T.; Hlavác, M.; Hřebíček, J.; et al. Outline of the ELI-Beamlines Facility. In Proc. SPIE 8080, Diode-Pumped High Energy and High Power Lasers; ELI: Ultrarelativistic Laser-Matter Interactions and Petawatt Photonics; and HiPER: The European Pathway to Laser Energy; Optica Publishing Group: Washington, DC, USA, 2011. [Google Scholar] [CrossRef]
- Sistrunk, E.F.; Spinka, T.; Bayramian, A.; Betts, S.; Bopp, D.; Buck, S.; Charron, K.; Cupal, J.; Deri, R.; Drouin, M.; et al. All Diode-Pumped, High-repetition-rate Advanced Petawatt Laser System (HAPLS). In CLEO: Science and Innovations; Optica Publishing Group: Hong Kong, China, 2020; p. STh1L.2. [Google Scholar] [CrossRef]
- Gauthier, M.; Curry, C.B.; Göde, S.; Brack, F.-E.; Kim, J.B.; MacDonald, M.; Metzkes-Ng, J.; Obst, L.; Rehwald, M.; Rödel, C.; et al. High repetition rate, multi-MeV proton source from cryogenic hydrogen jets. Appl. Phys. Lett. 2017, 111, 114102. [Google Scholar] [CrossRef]
- Noaman-Ul-Haq, M.; Ahmed, H.; Sokollik, T.; Yu, L.; Liu, Z.; Yuan, X.; Yuan, F.; Mirzaie, M.; Ge, X.; Chen, L.; et al. Statistical analysis of laser driven protons using a high-repetition-rate tape drive target system. Phys. Rev. Accel. Beams 2017, 20, 041301. [Google Scholar] [CrossRef]
- Morrison, J.T.; Feister, S.; Frische, K.D.; Austin, D.R.; Ngirmang, G.K.; Murphy, N.R.; Orban, C.; A Chowdhury, E.; Roquemore, W.M. MeV proton acceleration at kHz repetition rate from ultra-intense laser liquid interaction. New J. Phys. 2018, 20, 069501. [Google Scholar] [CrossRef]
- Valdes, P.P.; de Luis, D.; Hernandez, J.; Apiñaniz, J.; Curcio, A.; Henares, J.L.; Huault, M.; Perez-Hernandez, J.A.; Roso, L.; Gatti, G.; et al. Implementation of a thin, flat water target capable of high-repetition-rate MeV-range proton acceleration in a high-power laser at the CLPU. Plasma Phys. Control. Fusion 2022, 64, 054003. [Google Scholar] [CrossRef]
- Ferrari, A.; Amato, E.; Margarone, D.; Cowan, T.; Korn, G. Radiation field characterization and shielding studies for the ELI Beamlines facility. Appl. Surf. Sci. 2013, 272, 138–144. [Google Scholar] [CrossRef]
- Bechet, S.; Versaci, R.; Rollet, S.; Olšovcová, V.; Fajstavr, A.; Zakova, M.; Margarone, D. Radiation protection of a proton beamline at ELI-Beamlines. JINST 2016, 11, C12019. [Google Scholar] [CrossRef]
- Schillaci, F.; Cirrone, G.; Cuttone, G.; Maggiore, M.; Andó, L.; Amato, A.; Costa, M.; Gallo, G.; Korn, G.; LaRosa, G.; et al. Design of the ELIMAIA ion collection system. JINST 2015, 10, T12001. [Google Scholar] [CrossRef]
- Schillaci, F.; Maggiore, M.; Andó, L.; Cirrone, G.; Cuttone, G.; Romano, F.; Scuderi, V.; Allegra, L.; Amato, A.; Gallo, G.; et al. Design of a large acceptance, high efficiency energy selection system for the ELIMAIA beam-line. JINST 2016, 11, P08022. [Google Scholar] [CrossRef]
- Scuderi, V.; Amato, A.; Amico, A.G.; Borghesi, M.; Cirrone, G.A.P.; Cuttone, G.; Fajstavr, A.; Giuffrida, L.; Grepl, F.; Korn, G.; et al. Diagnostics and Dosimetry Solutions for Multidisciplinary Applications at the ELIMAIA Beamline. Appl. Sci. 2018, 8, 1415. [Google Scholar] [CrossRef]
- Berthold LB 6419. Available online: https://www.berthold.com/en/radiation-protection/products/dose-and-dose-rate/neutron-and-gamma-dose-rate-monitor-lb-6419/ (accessed on 1 September 2022).
- Klett, A.; Leuschner, A.; Tesch, N. A dose meter for pulsed neutron fields. Radiat. Meas. 2010, 45, 1242–1244. [Google Scholar] [CrossRef]
- VF Nuclear MDG Dose Rate Meteres. Available online: https://www.vfnuclear.com/en/products/dose-rate-meters-mdg-0x (accessed on 1 September 2022).
- Lévy, A.; Ceccotti, T.; D’Oliveira, P.; Réau, F.; Perdrix, M.; Quéré, F.; Monot, P.; Bougeard, M.; Lagadec, H.; Martin, P.; et al. Double plasma mirror for ultrahigh temporal contrast ultraintense laser pulses. Opt. Lett. 2007, 32, 310–312. [Google Scholar] [CrossRef]
- Giuffrida, L.; Chagovets, T.; Cirrone, G.A.P.; Cuhra, M.; Cupal1, J.; de Castro Silva, T.; Grepl, F.; Greplova Zakova, M.; Hadjikyriacou, A.; Horálek, R.; et al. Basic Commissioning of the Laser-Plasma Ion accelerator at the ELIMAIA user beamline. Nature Comms. Phys. 2022; submitted for publication. [Google Scholar]
- Borneis, S.; Laštovička, T.; Sokol, M.; Jeong, T.-M.; Condamine, F.; Renner, O.; Tikhonchuk, V.; Bohlin, H.; Fajstavr, A.; Hernandez, J.-C.; et al. Design, installation and commissioning of the ELI-Beamlines high-power, high-repetition rate HAPLS laser beam transport system to P3. High Power Laser Sci. Eng. 2021, 9, E30. [Google Scholar] [CrossRef]
- APE FC Spider. Available online: https://www.ape-berlin.de/en/spider-spectral-phase-interferometry-for-direct-electric-field-reconstruction/fc-spider/ (accessed on 1 September 2022).
- Seigman, A. Lasers; Publisher University Science Books: Herndon, VA, USA, 1990; ISBN 100935702113. [Google Scholar]
- Perry, M.D.; Ditmire, T.; Stuart, B.C. Self-phase modulation in chirped-pulse amplification. Opt. Lett. 1994, 19, 2149–2151. [Google Scholar] [CrossRef]
- Askar’yan, G.A. Cerenkov Radiation and Transition Radiation from Electromagnetic Waves. J. Exp. Theor. Phys. 1962, 15, 943–946. [Google Scholar]
- Chiao, R.Y.; Garmire, E.; Townes, C.H. Self-Trapping of Optical Beams. Phys. Rev. Lett. 1964, 13, 479. [Google Scholar] [CrossRef]
- Chagovets, T.; Stanček, S.; Giuffrida, L.; Velyhan, A.; Tryus, M.; Grepl, F.; Istokskaia, V.; Kantarelou, V.; Wiste, T.; Martin, J.H.; et al. Automation of target delivery and diagnostic systems for high repetition rate laser-plasma acceleration and applications. Appl. Sci. 2021, 11, 1680. [Google Scholar] [CrossRef]
- Hp-Spectroscopy, maxLIGHT Pro. Available online: https://www.hp-spectroscopy.com/maxlight (accessed on 1 September 2022).
- Phuoc, K.T.; Corde, S.; Thaury, C.; Malka, V.; Tafzi, A.; Goddet, J.-P.; Shah, R.C.; Sebban, S.; Rousse, A. All-optical Compton gamma-ray source. Nat. Photon 2016, 6, 308–311. [Google Scholar] [CrossRef]
- Rosmej, O.N.; Samsonova, Z.; Höfer, S.; Kartashov, D.; Arda, C.; Khaghani, D.; Schoenlein, A.; Zähter, S.; Hoffmann, A.; Loetzsch, R.; et al. Generation of keV hot near-solid density plasma states at high contrastlaser-matter interaction. Phys. Plasmas 2018, 25, 083103. [Google Scholar] [CrossRef]
- Zulick, C.; Hou, B.; Dollar, F.; Maksimchuk, A.; Nees, J.; Thomas, A.; Zhao, Z.; Krushelnick, K. High resolution bremsstrahlung and fast electron characterization in ultrafast intense laser-solid interactions. New J. Phys. 2013, 15, 123038. [Google Scholar] [CrossRef]
- Istokskaia, V.; Stránský, V.; Giuffrida, L.; Versaci, R.; Grepl, F.; Tryus, M.; Velyhan, A.; Dudžák, R.; Krása, J.; Krupka, M.; et al. Experimental tests and signal unfolding of a scintillator calorimeter for laser-plasma characterization. JINST 2021, 16, T02006. [Google Scholar] [CrossRef]
- Stránský, V.; Istokskaia, V.; Versaci, R.; Giuffrida, L.; Cimmino, A.; Margarone, D.; Olšovcová, V. Development, optimization, and calibration of an active electromagnetic calorimeter for pulsed radiation spectrometry. JINST 2021, 16, P08060. [Google Scholar] [CrossRef]
- Margarone, D.; Krása, J.; Giuffrida, L.; Picciotto, A.; Torrisi, L.; Nowak, T.; Musumeci, P.; Velyhan, A.; Prokůpek, J.; Láska, L.; et al. Full characterization of laser-accelerated ion beams using Faraday cup, silicon carbide, and single-crystal diamond detectors. J. Appl. Phys. 2011, 109, 103302. [Google Scholar] [CrossRef]
- Scuderi, V.; Milluzzo, G.; Doria, D.; Alejo, A.; Amico, A.; Booth, N.; Cuttone, G.; Green, J.; Kar, S.; Korn, G.; et al. TOF diagnosis of laser accelerated, high-energy protons. NIMA 2020, 978, 164364. [Google Scholar] [CrossRef]
- Schillaci, F.; Nevrkla, M.; Maggiore, M.; Goncalves, L.; Cirrone, G.; Velyhan, A.; Margarone, D. Design of a high energy Thomson Parabola ion spectrometer for the ELIMAIA beamline. JINST 2019, 14, T06004. [Google Scholar] [CrossRef]
- Thomson, J.J. Rays of positive electricity. Phil. Mag. 1911, 21, 225. [Google Scholar] [CrossRef][Green Version]
- Harres, K.; Schollmeier, M.; Brambrink, E.; Audebert, P.; Blažević, A.; Flippo, K.; Gautier, D.C.; Geißel, M.; Hegelich, B.M.; Nürnberg, F.; et al. Development and calibration of a Thomson parabola with microchannel plate for the detection of laser-accelerated MeV ions. Rev. Sci. Instrum. 2008, 79, 093306. [Google Scholar] [CrossRef]
- Rhee, M.J. Compact Thomson spectrometer. Rev. Sci. Instrum. 1984, 55, 1229. [Google Scholar] [CrossRef]
- Scuderi, V.; Milluzzo, G.; Alejo, A.; Amico, A.; Booth, N.; Cirrone, G.; Doria, D.; Green, J.; Kar, S.; LaRosa, G.; et al. Time of Flight based diagnostics for high energy laser driven ion beams. JINST 2017, 12, C03086. [Google Scholar] [CrossRef]
- Milluzzo, G.; Scuderi, V.; Alejo, A.; Amico, A.G.; Booth, N.; Borghesi, M.; Cirrone, G.A.P.; Cuttone, G.; Doria, D.; Green, J.; et al. A new energy spectrum reconstruction method for time-of-flight diagnostics of high-energy laser-driven protons. Rev. Sci. Instrum. 2019, 90, 083303. [Google Scholar] [CrossRef] [PubMed]
- ELI ERIC. Available online: https://eli-laser.eu/ (accessed on 1 September 2022).
























Publisher’s Note: MDPI stays neutral with regard to jurisdictional claims in published maps and institutional affiliations. |
© 2022 by the authors. Licensee MDPI, Basel, Switzerland. This article is an open access article distributed under the terms and conditions of the Creative Commons Attribution (CC BY) license (https://creativecommons.org/licenses/by/4.0/).
Share and Cite
Schillaci, F.; Giuffrida, L.; Tryus, M.; Grepl, F.; Stancek, S.; Velyhan, A.; Istokskaia, V.; Levato, T.; Petringa, G.; Cirrone, G.A.P.; et al. The ELIMAIA Laser–Plasma Ion Accelerator: Technological Commissioning and Perspectives. Quantum Beam Sci. 2022, 6, 30. https://doi.org/10.3390/qubs6040030
Schillaci F, Giuffrida L, Tryus M, Grepl F, Stancek S, Velyhan A, Istokskaia V, Levato T, Petringa G, Cirrone GAP, et al. The ELIMAIA Laser–Plasma Ion Accelerator: Technological Commissioning and Perspectives. Quantum Beam Science. 2022; 6(4):30. https://doi.org/10.3390/qubs6040030
Chicago/Turabian StyleSchillaci, Francesco, Lorenzo Giuffrida, Maksym Tryus, Filip Grepl, Stanislav Stancek, Andriy Velyhan, Valeriia Istokskaia, Tadzio Levato, Giada Petringa, Giuseppe A. P. Cirrone, and et al. 2022. "The ELIMAIA Laser–Plasma Ion Accelerator: Technological Commissioning and Perspectives" Quantum Beam Science 6, no. 4: 30. https://doi.org/10.3390/qubs6040030
APA StyleSchillaci, F., Giuffrida, L., Tryus, M., Grepl, F., Stancek, S., Velyhan, A., Istokskaia, V., Levato, T., Petringa, G., Cirrone, G. A. P., Cupal, J., Koubiková, L., Peceli, D., Jarboe, J. A., de Castro Silva, T., Cuhra, M., Chagovets, T., Kantarelou, V., Tosca, M., ... Margarone, D. (2022). The ELIMAIA Laser–Plasma Ion Accelerator: Technological Commissioning and Perspectives. Quantum Beam Science, 6(4), 30. https://doi.org/10.3390/qubs6040030

