Mechanical Properties of Pervious Recycled Aggregate Concrete Reinforced with Sackcloth Fibers (SF)
Abstract
1. Introduction
2. Materials and Methods
2.1. Test Matrix
2.2. Unit Weight and Water Absorption
2.3. Sieve Analysis of Coarse Aggregates
2.4. Resistance to Abrasion and Impact
2.5. Temperature Measurement
3. Results
3.1. Compressive Strength Results
3.2. Permeability Results
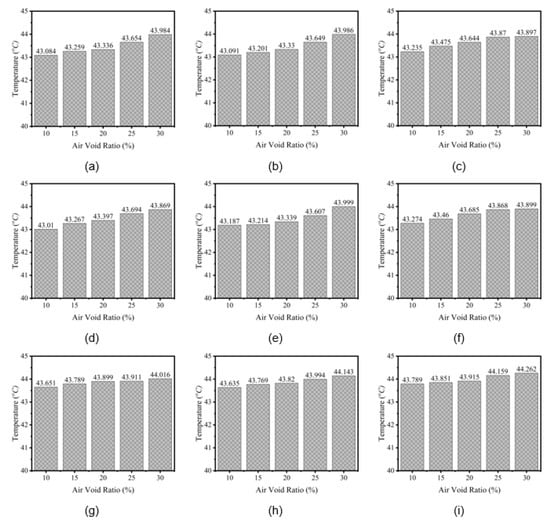
3.3. Temperature Variation of PPCC
4. Conclusions
Author Contributions
Funding
Data Availability Statement
Acknowledgments
Conflicts of Interest
References
- Poon, C.S.; Kou, S.C.; Lam, L. Use of Recycled Aggregates in Molded Concrete Bricks and Blocks. Constr. Build. Mater. 2002, 16, 281–289. [Google Scholar] [CrossRef]
- Tabsh, S.W.; Abdelfatah, A.S. Influence of Recycled Concrete Aggregates on Strength Properties of Concrete. Constr. Build. Mater. 2009, 23, 1163–1167. [Google Scholar] [CrossRef]
- Thomas, C.; Setién, J.; Polanco, J.A.; Alaejos, P.; Sánchez De Juan, M. Durability of Recycled Aggregate Concrete. Constr. Build. Mater. 2013, 40, 1054–1065. [Google Scholar] [CrossRef]
- Gao, C.; Huang, L.; Yan, L.; Kasal, B.; Li, W. Behavior of Glass and Carbon FRP Tube Encased Recycled Aggregate Concrete with Recycled Clay Brick Aggregate. Compos. Struct. 2016, 155, 245–254. [Google Scholar] [CrossRef]
- Nováková, I.; Mikulica, K. Properties of Concrete with Partial Replacement of Natural Aggregate by Recycled Concrete Aggregates from Precast Production. Procedia Eng. 2016, 151, 360–367. [Google Scholar] [CrossRef]
- Hamad, B.S.; Dawi, A.H. Sustainable Normal and High Strength Recycled Aggregate Concretes Using Crushed Tested Cylinders as Coarse Aggregates. Case Stud. Constr. Mater. 2017, 7, 228–239. [Google Scholar] [CrossRef]
- Reza, F.; Wilde, W.J.; Izevbekhai, B. Sustainability of Using Recycled Concrete Aggregates as Coarse Aggregate in Concrete Pavements. Transp. Res. Rec. J. Transp. Res. Board 2018, 2672, 99–108. [Google Scholar] [CrossRef]
- Ohemeng, E.A.; Ekolu, S.O. Comparative Analysis on Costs and Benefits of Producing Natural and Recycled Concrete Aggregates: A South African Case Study. Case Stud. Constr. Mater. 2020, 13, e00450. [Google Scholar] [CrossRef]
- Noguchi, T.; Kitagaki, R.; Tsujion, M. Minimizing Environmental Impact and Maximizing Performance in Concrete Recycling. Struct. Concr. 2011, 12, 36–46. [Google Scholar] [CrossRef]
- Zeybek, Ö.; Özkılıç, Y.O.; Karalar, M.; Çelik, A.İ.; Qaidi, S.; Ahmad, J.; Burduhos-Nergis, D.D.; Burduhos-Nergis, D.P. Influence of replacing cement with waste glass on mechanical properties of concrete. Materials 2022, 15, 7513. [Google Scholar] [CrossRef]
- Karalar, M.; Bilir, T.; Çavuşlu, M.; Özkiliç, Y.O.; Sabri, M.M.S. Use of recycled coal bottom ash in reinforced concrete beams as replacement for aggregate. Front. Mater. 2022, 9, 1064604. [Google Scholar] [CrossRef]
- Qaidi, S.; Najm, H.M.; Abed, S.M.; Özkılıç, Y.O.; Al Dughaishi, H.; Alosta, M.; Sabri, M.M.S.; Alkhatib, F.; Milad, A. Concrete containing waste glass as an environmentally friendly aggregate: A review on fresh and mechanical characteristics. Materials 2022, 15, 6222. [Google Scholar] [CrossRef]
- Çelik, A.İ.; Özkılıç, Y.O.; Zeybek, Ö.; Karalar, M.; Qaidi, S.; Ahmad, J.; Burduhos-Nergis, D.D.; Bejinariu, C. Mechanical Behavior of Crushed Waste Glass as Replacement of Aggregates. Materials 2022, 15, 8093. [Google Scholar] [CrossRef]
- Karalar, M.; Özkılıç, Y.O.; Aksoylu, C.; Sabri MM, S.; Alexey, N.B.; Sergey, A.S.; Evgenii, M.S. Flexural behavior of reinforced concrete beams using waste marble powder towards application of sustainable concrete. Front. Mater. 2022, 701. [Google Scholar] [CrossRef]
- Meng, T.; Zhang, J.; Wei, H.; Shen, J. Effect of Nano-Strengthening on the Properties and Microstructure of Recycled Concrete. Nanotechnol. Rev. 2020, 9, 79–92. [Google Scholar] [CrossRef]
- Lian, C.; Zhuge, Y.; Beecham, S. The Relationship between Porosity and Strength for Porous Concrete. Constr. Build. Mater. 2011, 25, 4294–4298. [Google Scholar] [CrossRef]
- Beecham, S. Water Sensitive Urban Design: A Technological Assessment. J. Stormwater Ind. Assoc. 2003, 17, 5–13. [Google Scholar]
- Aamer Rafique Bhutta, M.; Hasanah, N.; Farhayu, N.; Hussin, M.W.; Tahir, M.B.M.; Mirza, J. Properties of Porous Concrete from Waste Crushed Concrete (Recycled Aggregate). Constr. Build. Mater. 2013, 47, 1243–1248. [Google Scholar] [CrossRef]
- Li, X. Recycling and Reuse of Waste Concrete in China: Part I. Material Behaviour of Recycled Aggregate Concrete. Resour. Conserv. Recycl. 2008, 53, 36–44. [Google Scholar] [CrossRef]
- Etxeberria, M.; Vázquez, E.; Marí, A.; Barra, M. Influence of Amount of Recycled Coarse Aggregates and Production Process on Properties of Recycled Aggregate Concrete. Cem. Concr. Res. 2007, 37, 735–742. [Google Scholar] [CrossRef]
- Henry, M.; Pardo, G.; Nishimura, T.; Kato, Y. Balancing Durability and Environmental Impact in Concrete Combining Low-Grade Recycled Aggregates and Mineral Admixtures. Resour. Conserv. Recycl. 2011, 55, 1060–1069. [Google Scholar] [CrossRef]
- Courard, L.; Michel, F.; Delhez, P. Use of Concrete Road Recycled Aggregates for Roller Compacted Concrete. Constr. Build. Mater. 2010, 24, 390–395. [Google Scholar] [CrossRef]
- Leite, F.D.C.; Motta, R.D.S.; Vasconcelos, K.L.; Bernucci, L. Laboratory Evaluation of Recycled Construction and Demolition Waste for Pavements. Constr. Build. Mater. 2011, 25, 2972–2979. [Google Scholar] [CrossRef]
- Hassn, A.; Aboufoul, M.; Wu, Y.; Dawson, A.; Garcia, A. Effect of Air Voids Content on Thermal Properties of Asphalt Mixtures. Constr. Build. Mater. 2016, 115, 327–335. [Google Scholar] [CrossRef]
- Li, H.; Harvey, J.T.; Holland, T.J.; Kayhanian, M. The Use of Reflective and Permeable Pavements as a Potential Practice for Heat Island Mitigation and Stormwater Management. Environ. Res. Lett. 2013, 8, 015023. [Google Scholar] [CrossRef]
- Haselbach, L.; Boyer, M.; Kevern, J.T.; Schaefer, V.R. Cyclic Heat Island Impacts on Traditional versus Pervious Concrete Pavement Systems. Transp. Res. Rec. J. Transp. Res. Board 2011, 2240, 107–115. [Google Scholar] [CrossRef]
- Zhang, R.; Jiang, G.; Liang, J. The Albedo of Pervious Cement Concrete Linearly Decreases with Porosity. Adv. Mater. Sci. Eng. 2015, 2015, 746592. [Google Scholar] [CrossRef]
- Hu, L.; Li, Y.; Zou, X.; Du, S.; Liu, Z.; Huang, H. Temperature Characteristics of Porous Portland Cement Concrete during the Hot Summer Session. Adv. Mater. Sci. Eng. 2017, 2017, 2058034. [Google Scholar] [CrossRef]
- Benrazavi, R.S.; Binti Dola, K.; Ujang, N.; Sadat Benrazavi, N. Effect of Pavement Materials on Surface Temperatures in Tropical Environment. Sustain. Cities Soc. 2016, 22, 94–103. [Google Scholar] [CrossRef]
- Karalar, M.; Özkılıç, Y.O.; Deifalla, A.F.; Aksoylu, C.; Arslan, M.H.; Ahmad, M.; Sabri, M.M.S. Improvement in bending performance of reinforced concrete beams produced with waste lathe scraps. Sustainability 2022, 14, 12660. [Google Scholar] [CrossRef]
- Çelik A, İ.; Özkılıç, Y.O.; Zeybek, Ö.; Özdöner, N.; Tayeh, B.A. Performance assessment of fiber-reinforced concrete produced with waste lathe fibers. Sustainability 2022, 14, 11817. [Google Scholar] [CrossRef]
- Amin, M.N.; Khan, K.; Saleem, M.U.; Khurram, N.; Niazi MU, K. Influence of mechanically activated electric arc furnace slag on compressive strength of mortars incorporating curing moisture and temperature effects. Sustainability 2017, 9, 1178. [Google Scholar] [CrossRef]
- Zeybek, Ö.; Özkılıç, Y.O.; Çelik, A.İ.; Deifalla, A.F.; Ahmad, M.; Sabri Sabri, M.M. Performance evaluation of fiber-reinforced concrete produced with steel fibers extracted from waste tire. Front. Mater. 2022, 692. [Google Scholar] [CrossRef]
- Beskopylny, A.N.; Shcherban’, E.M.; Stel’makh, S.A.; Meskhi, B.; Shilov, A.A.; Varavka, V.; Evtushenko, A.; Özkılıç, Y.O.; Aksoylu, C.; Karalar, M. Composition Component Influence on Concrete Properties with the Additive of Rubber Tree Seed Shells. Appl. Sci. 2022, 12, 11744. [Google Scholar] [CrossRef]
- Shcherban’, E.M.; Stel’Makh, S.A.; Beskopylny, A.N.; Mailyan, L.R.; Meskhi, B.; Shilov, A.A.; Chernil’Nik, A.; Özkılıç, Y.O.; Aksoylu, C. Normal-Weight Concrete with Improved Stress–Strain Characteristics Reinforced with Dispersed Coconut Fibers. Appl. Sci. 2022, 12, 11734. [Google Scholar] [CrossRef]
- Khan, K.; Ahmad, W.; Amin, M.N.; Aslam, F.; Ahmad, A.; Al-Faiad, M.A. Comparison of Prediction Models Based on Machine Learning for the Compressive Strength Estimation of Recycled Aggregate Concrete. Materials 2022, 15, 3430. [Google Scholar] [CrossRef]
- Amin, M.N.; Iqtidar, A.; Khan, K.; Javed, M.F.; Shalabi, F.I.; Qadir, M.G. Comparison of machine learning approaches with traditional methods for predicting the compressive strength of rice husk ash concrete. Crystals 2021, 11, 779. [Google Scholar] [CrossRef]
- Sakib, N.; Bhasin, A.; Islam, M.K.; Khan, K.; Khan, M.I. A review of the evolution of technologies to use sulphur as a pavement construction material. Int. J. Pavement Eng. 2021, 22, 392–403. [Google Scholar] [CrossRef]
- ASTM C29/C29M-17a; Standard Test Method for Bulk Density (“Unit Weight”) and Voids in Aggregate. ASTM International: West Conshohocken, PA, USA, 2017.
- ASTM C136/C136M-19; Standard Test Method for Sieve Analysis of Fine and Coarse Aggregates. ASTM International: West Conshohocken, PA, USA, 2020.
- ASTM C131/C131M-20; Standard Test Method for Resistance to Degradation of Small-Size Coarse Aggregate by Abrasion and Impact in the Los Angeles Machine. ASTM International: West Conshohocken, PA, USA, 2020.
- ASTM ASTM C39/C39M-21; Standard Test Method for Compressive Strength of Cylindrical Concrete Specimens 1. ASTM International: West Conshohocken, PA, USA, 2018.
- Yu, F.; Sun, D.; Wang, J.; Hu, M. Influence of Aggregate Size on Compressive Strength of Pervious Concrete. Constr. Build. Mater. 2019, 209, 463–475. [Google Scholar] [CrossRef]
- Yang, J.; Jiang, G. Experimental Study on Properties of Pervious Concrete Pavement Materials. Cem. Concr. Res. 2003, 33, 381–386. [Google Scholar] [CrossRef]
- Bhutta, M.A.R.; Tsuruta, K.; Mirza, J. Evaluation of High-Performance Porous Concrete Properties. Constr. Build. Mater. 2012, 31, 67–73. [Google Scholar] [CrossRef]
- Huang, B.; Wu, H.; Shu, X.; Burdette, E.G. Laboratory Evaluation of Permeability and Strength of Polymer-Modified Pervious Concrete. Constr. Build. Mater. 2010, 24, 818–823. [Google Scholar] [CrossRef]
- Zhong, R.; Wille, K. Compression Response of Normal and High Strength Pervious Concrete. Constr. Build. Mater. 2016, 109, 177–187. [Google Scholar] [CrossRef]
- ASTM D5084-16a; Standard Test Methods for Measurement of Hydraulic Conductivity of Saturated Porous Materials Using a Flexible Wall Permeameter. ASTM International: West Conshohocken, PA, USA, 2016.











| ID | Coarse Aggregate Type | |||
|---|---|---|---|---|
| Natural (%) | Recycled (%) | Recycled with Sackcloth (%) | Air Void Ratio (%) | |
| NA-Vv10 | 100 | - | - | 10 |
| NA-Vv15 | 100 | - | - | 15 |
| NA-Vv20 | 100 | - | - | 20 |
| NA-Vv25 | 100 | - | - | 25 |
| NA-Vv30 | 100 | - | - | 30 |
| RA-Vv10 | - | 100 | - | 10 |
| RA-Vv15 | - | 100 | - | 15 |
| RA-Vv20 | - | 100 | - | 20 |
| RA-Vv25 | - | 100 | - | 25 |
| RA-Vv30 | - | 100 | - | 30 |
| RA-Vv10-SF | - | - | 100 | 10 |
| RA-Vv15- SF | - | - | 100 | 15 |
| RA-Vv20- SF | - | - | 100 | 20 |
| RA-Vv25- SF | - | - | 100 | 25 |
| RA-Vv30- SF | - | - | 100 | 30 |
| ID | Cement (kg) | Water | Fiber | Coarse Aggregates | Total Weight | |
|---|---|---|---|---|---|---|
| NA | RA | |||||
| NA-Vv10 | 279 | 112 | - | 1771 | - | 2162 |
| NA-Vv15 | 279 | 112 | - | 1645 | - | 2036 |
| NA-Vv20 | 279 | 112 | - | 1518 | - | 1909 |
| NA-Vv25 | 279 | 112 | - | 1392 | - | 1783 |
| NA-Vv30 | 279 | 112 | - | 1265 | - | 1656 |
| RA-Vv10 | 279 | 112 | - | - | 1771 | 2162 |
| RA-Vv15 | 279 | 112 | - | - | 1645 | 2036 |
| RA-Vv20 | 279 | 112 | - | - | 1518 | 1909 |
| RA-Vv25 | 279 | 112 | - | - | 1392 | 1783 |
| RA-Vv30 | 279 | 112 | - | - | 1265 | 1656 |
| RA-Vv10-SF | 276 | 110 | 3 | - | 1771 | 2160 |
| RA-Vv15-SF | 276 | 110 | 3 | - | 1645 | 2034 |
| RA-Vv20-SF | 276 | 110 | 3 | - | 1518 | 1907 |
| RA-Vv25-SF | 276 | 110 | 3 | - | 1392 | 1781 |
| RA-Vv30-SF | 276 | 110 | 3 | - | 1265 | 1654 |
| Natural Aggregate | Recycle Aggregate | ||||
| 2435.62 | |||||
| 5142.29 | |||||
| 2706.67 | |||||
| 0.00302 | |||||
| 6954.2 | 6897.53 | 6984.78 | 6535.2 | 6474.5 | 6598.5 |
| 4518.6 | 4461.91 | 4549.16 | 4099.6 | 4038.9 | 4162.9 |
| 1496.7 | 1477.91 | 1506.81 | 1357.9 | 1337.8 | 1378.9 |
| 1493.9 | 1358.2 | ||||
| 2010.3 | 2020.65 | 2014.39 | 2035.7 | 2042.6 | 2056.4 |
| 1184.6 | 1201.25 | 1194.58 | 1358.5 | 1379.7 | 1345.6 |
| 1996.3 | 2005.36 | 1999.26 | 1945.7 | 1958.5 | 1965.1 |
| 2.42 | 2.447 | 2.439 | 2.87 | 2.95 | 2.76 |
| 2.43 | 2.466 | 2.457 | 3.01 | 3.08 | 2.89 |
| 2.46 | 2.494 | 2.485 | 3.31 | 3.38 | 3.17 |
| 0.70 | 0.76 | 0.76 | 4.63 | 4.29 | 4.64 |
| 0.74 | 4.52 | ||||
| ▪ Type of Coarse Aggregate | Natural Aggregate | Recycle Aggregate | ||||
|---|---|---|---|---|---|---|
| 1 | 2 | 3 | 1 | 2 | 3 | |
| ▪ Number of Spheres | 12 | 12 | 12 | 12 | 12 | 12 |
| ▪ Weight of Sample (g) | 5000.21 | 5000.58 | 5000.12 | 5001.04 | 5000.48 | 5000.13 |
| ▪ Weight of Sample in Pan (g) | 3874.62 | 3786.94 | 3822.19 | 3465.47 | 3418.69 | 3487.77 |
| ▪ Abrasion (%) | 22.511 | 24.270 | 23.558 | 30.705 | 31.633 | 30.246 |
| ▪ Avg. Abrasion (%) | 23.446 | 30.861 | ||||
| ▪ Sample | Compressive Strength (KSC) | |||||
|---|---|---|---|---|---|---|
| S (Days) | M (Days) | L (Days) | ||||
| 7 | 28 | 7 | 28 | 7 | 28 | |
| 54.177 | 59.863 | 84.547 | 94.610 | 33.383 | 37.147 |
| 51.517 | 57.570 | 79.697 | 87.783 | 33.570 | 37.433 |
| 41.223 | 45.840 | 77.090 | 84.953 | 26.707 | 29.710 |
| 29.420 | 32.920 | 67.203 | 74.633 | 18.223 | 20.103 |
| 23.733 | 26.037 | 56.820 | 62.330 | 16.870 | 18.550 |
| 57.357 | 64.700 | 90.283 | 101.340 | 39.237 | 43.763 |
| 56.913 | 63.627 | 89.360 | 98.297 | 40.153 | 44.813 |
| 44.420 | 49.750 | 86.607 | 95.277 | 35.623 | 39.453 |
| 28.513 | 31.680 | 70.437 | 78.667 | 23.743 | 26.403 |
| 28.913 | 32.130 | 61.533 | 68.703 | 18.123 | 19.997 |
| 62.647 | 70.417 | 93.630 | 105.080 | 43.533 | 49.100 |
| 59.290 | 66.083 | 93.290 | 103.617 | 41.793 | 46.717 |
| 48.823 | 53.987 | 89.333 | 99.230 | 37.757 | 41.853 |
| 36.457 | 41.017 | 74.337 | 83.720 | 24.590 | 27.633 |
| 30.603 | 33.777 | 62.507 | 68.923 | 18.303 | 20.310 |
| Air Void Ratio (%) | Permeability (cm/s) | ||||
|---|---|---|---|---|---|---|
| S | M | L | S | M | L | |
| 7.844 | 7.920 | 9.415 | 0.705 | 0.702 | 1.019 |
| 12.949 | 12.845 | 14.176 | 0.995 | 0.997 | 1.294 |
| 16.386 | 16.555 | 18.101 | 1.276 | 1.268 | 1.464 |
| 21.388 | 21.350 | 24.305 | 1.455 | 1.444 | 1.609 |
| 26.352 | 26.465 | 28.686 | 1.615 | 1.611 | 1.779 |
| 7.456 | 7.465 | 9.250 | 0.705 | 0.700 | 1.018 |
| 12.652 | 12.540 | 14.403 | 0.995 | 0.996 | 1.294 |
| 16.559 | 16.487 | 18.563 | 1.276 | 1.268 | 1.463 |
| 21.597 | 21.538 | 23.914 | 1.457 | 1.447 | 1.611 |
| 27.426 | 27.229 | 28.241 | 1.621 | 1.613 | 1.777 |
| 12.310 | 12.437 | 14.275 | 0.996 | 0.995 | 1.294 |
| 16.328 | 16.372 | 19.153 | 1.274 | 1.268 | 1.464 |
| 21.260 | 21.394 | 24.441 | 1.456 | 1.446 | 1.609 |
| 26.238 | 26.363 | 28.456 | 1.634 | 1.611 | 1.777 |
| Vv10 (°C) | ||||||||
|---|---|---|---|---|---|---|---|---|---|
| NA-S | RA-S | RA-SF-S | NA-M | RA-M | RA-SA-M | NA-L | RA-L | RA-SA-L | |
| 31.638 | 31.784 | 32.087 | 31.748 | 31.740 | 32.120 | 32.110 | 32.107 | 32.569 |
| 32.267 | 32.201 | 32.100 | 32.258 | 32.215 | 32.136 | 32.593 | 32.544 | 32.620 |
| 33.544 | 33.521 | 33.501 | 33.561 | 33.510 | 33.535 | 33.856 | 33.853 | 34.141 |
| 36.568 | 36.473 | 37.217 | 36.549 | 36.454 | 37.271 | 37.842 | 37.848 | 37.969 |
| 40.323 | 40.460 | 40.571 | 40.388 | 40.552 | 40.508 | 41.605 | 41.621 | 41.811 |
| 42.304 | 42.391 | 42.018 | 42.503 | 42.406 | 42.052 | 42.669 | 42.667 | 42.862 |
| 43.084 | 43.091 | 43.235 | 43.010 | 43.187 | 43.274 | 43.651 | 43.635 | 43.789 |
| 42.556 | 42.497 | 42.789 | 42.510 | 42.532 | 42.718 | 43.492 | 43.414 | 43.485 |
| 40.895 | 40.949 | 40.974 | 40.909 | 40.984 | 40.948 | 42.876 | 42.802 | 42.836 |
| 38.932 | 38.998 | 38.901 | 38.975 | 38.988 | 38.947 | 39.899 | 39.990 | 40.211 |
| 36.936 | 36.947 | 37.189 | 37.019 | 36.958 | 37.225 | 37.453 | 37.560 | 37.664 |
| 34.945 | 34.888 | 35.120 | 35.111 | 34.908 | 35.213 | 35.624 | 35.648 | 35.756 |
| 33.277 | 33.383 | 33.867 | 33.223 | 33.376 | 33.809 | 33.129 | 33.144 | 33.276 |
| 31.914 | 31.860 | 32.016 | 31.937 | 31.993 | 32.134 | 32.675 | 32.601 | 32.739 |
| 30.710 | 30.684 | 30.883 | 30.743 | 30.668 | 30.886 | 31.270 | 31.256 | 31.347 |
| 29.920 | 29.917 | 29.980 | 29.959 | 29.996 | 29.997 | 29.973 | 29.925 | 30.062 |
| 29.178 | 29.267 | 29.339 | 29.106 | 29.261 | 29.336 | 29.241 | 29.263 | 29.370 |
| 28.634 | 28.620 | 28.894 | 28.696 | 28.660 | 28.820 | 28.736 | 28.779 | 28.836 |
| 28.024 | 28.020 | 27.973 | 28.114 | 28.186 | 27.906 | 27.992 | 27.894 | 27.943 |
| 27.551 | 27.531 | 27.793 | 27.506 | 27.563 | 27.779 | 27.167 | 27.226 | 27.365 |
| 26.974 | 26.921 | 26.889 | 26.994 | 26.939 | 26.874 | 26.869 | 26.843 | 26.951 |
| 26.550 | 26.598 | 26.609 | 26.605 | 26.530 | 26.674 | 26.345 | 26.337 | 26.447 |
| 27.282 | 27.243 | 27.568 | 27.246 | 27.285 | 27.580 | 30.275 | 30.269 | 30.364 |
| 28.151 | 28.197 | 28.541 | 28.121 | 28.247 | 28.513 | 31.147 | 31.156 | 31.264 |
| 29.550 | 29.641 | 29.670 | 29.546 | 29.678 | 29.547 | 32.198 | 32.211 | 32.354 |
Disclaimer/Publisher’s Note: The statements, opinions and data contained in all publications are solely those of the individual author(s) and contributor(s) and not of MDPI and/or the editor(s). MDPI and/or the editor(s) disclaim responsibility for any injury to people or property resulting from any ideas, methods, instructions or products referred to in the content. |
© 2023 by the authors. Licensee MDPI, Basel, Switzerland. This article is an open access article distributed under the terms and conditions of the Creative Commons Attribution (CC BY) license (https://creativecommons.org/licenses/by/4.0/).
Share and Cite
Sangthongtong, A.; Semvimol, N.; Rungratanaubon, T.; Duangmal, K.; Joyklad, P. Mechanical Properties of Pervious Recycled Aggregate Concrete Reinforced with Sackcloth Fibers (SF). Infrastructures 2023, 8, 38. https://doi.org/10.3390/infrastructures8020038
Sangthongtong A, Semvimol N, Rungratanaubon T, Duangmal K, Joyklad P. Mechanical Properties of Pervious Recycled Aggregate Concrete Reinforced with Sackcloth Fibers (SF). Infrastructures. 2023; 8(2):38. https://doi.org/10.3390/infrastructures8020038
Chicago/Turabian StyleSangthongtong, Arissaman, Noppawan Semvimol, Thitima Rungratanaubon, Kittichai Duangmal, and Panuwat Joyklad. 2023. "Mechanical Properties of Pervious Recycled Aggregate Concrete Reinforced with Sackcloth Fibers (SF)" Infrastructures 8, no. 2: 38. https://doi.org/10.3390/infrastructures8020038
APA StyleSangthongtong, A., Semvimol, N., Rungratanaubon, T., Duangmal, K., & Joyklad, P. (2023). Mechanical Properties of Pervious Recycled Aggregate Concrete Reinforced with Sackcloth Fibers (SF). Infrastructures, 8(2), 38. https://doi.org/10.3390/infrastructures8020038

