A Validated Train-Track-Bridge Model with Nonlinear Support Conditions at Bridge Approaches
Abstract
1. Introduction
2. Quantification of Railroad Bridge Approach Performance
2.1. Field Instrumentation
2.2. Analyses of Field Data at Bridge Approaches
3. Development of a Train-Track-Bridge Model
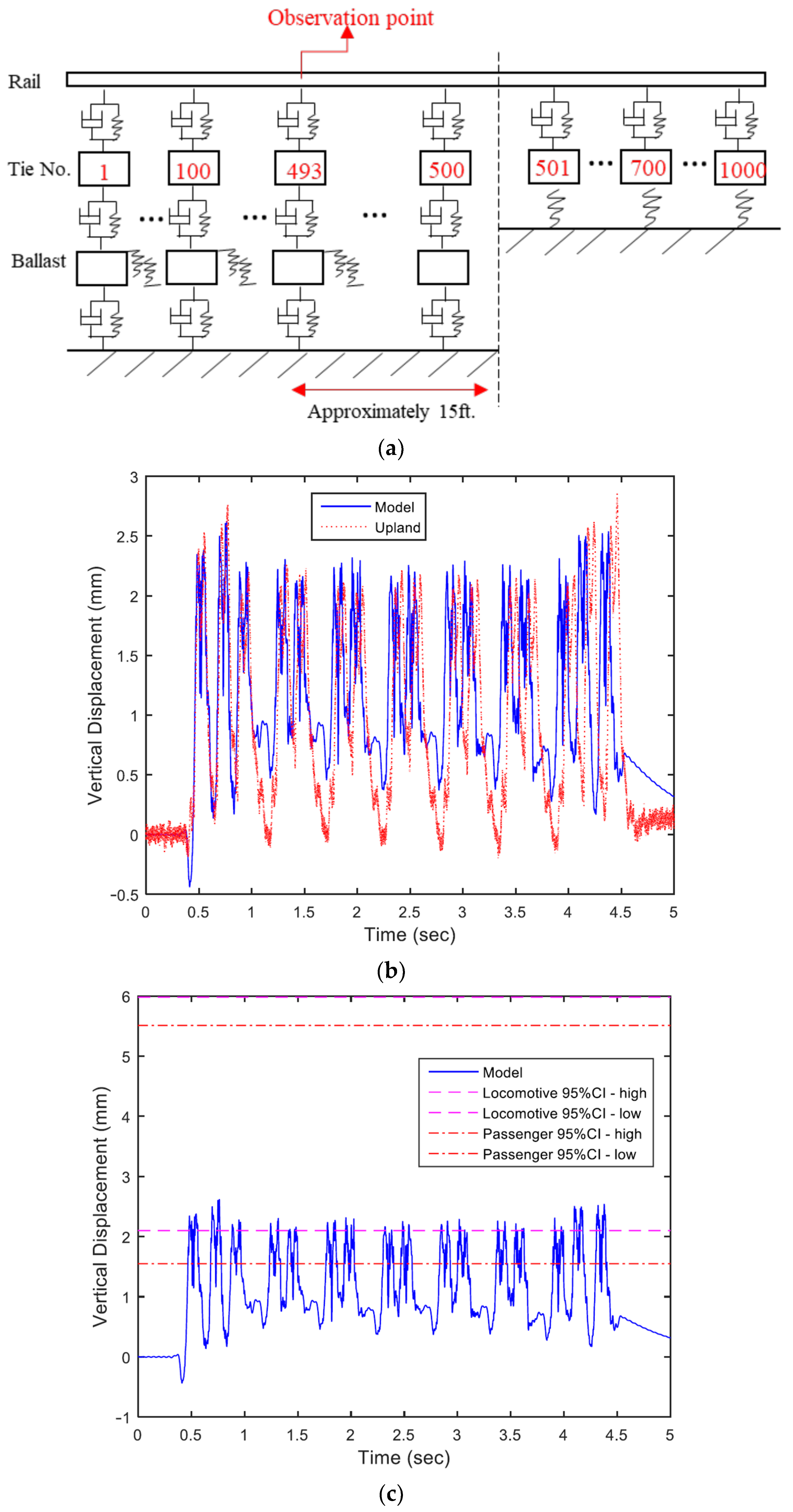
3.1. Physical Model and Parameters
3.2. Equations of Motion of the Track System
3.3. Coupling of Track Structure and Train
3.4. Numerical Integration Using Newmark’s Method
4. Model Validation with Field Collected Data
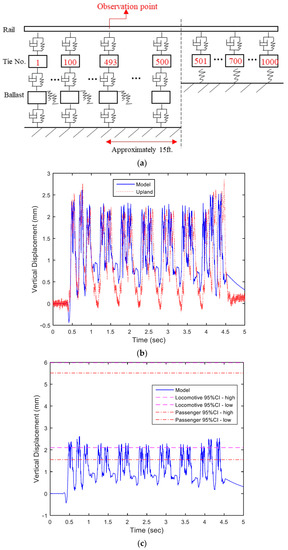
4.1. Model Validation for Open Track Location
4.2. Model Validation for Near Bridge Location
5. Train Induced Track Structure Response Predictions
5.1. Reaction Forces
5.2. Vibration Velocities and Accelerations
6. Conclusions and Future Work
Author Contributions
Funding
Institutional Review Board Statement
Informed Consent Statement
Data Availability Statement
Acknowledgments
Conflicts of Interest
References
- Sañudo, R.; Dell’Olio, L.; Casado, J.A.; Carrascal, I.A.; Diego, S. Track transitions in railways: A review. Constr. Build. Mater. 2016, 112, 140–157. [Google Scholar] [CrossRef]
- Li, D.; Davis, D. Transition of railroad bridge approaches. J. Geotech. Eng. 2005, 131, 1392–1398. [Google Scholar] [CrossRef]
- Banimahd, M.; Woodward, P.K.; Kennedy, J.; Medero, G.M. Behavior of train–track interaction in stiffness transitions. In Proceedings of the Institution of Civil Engineers-Transport; Thomas Telford Ltd.: London, UK, 2012; Volume 165, pp. 205–214. [Google Scholar]
- Basu, D.; Rao, N.S.V.K. Analytical solutions for Euler–Bernoulli beam on viscoelastic foundation subjected to moving load. Int. J. Numer. Anal. Methods Geomech. 2013, 37, 945–960. [Google Scholar] [CrossRef]
- Bian, X.; Chen, Y.; Hu, T. Numerical simulation of high-speed train induced ground vibrations using 2.5 D finite element approach. Sci. China Ser. G Phys. Mech. Astron. 2018, 51, 632–650. [Google Scholar] [CrossRef]
- Cheli, F.; Corradi, R. On rail vehicle vibrations induced by track unevenness: Analysis of the excitation mechanism. J. Sound Vib. 2011, 330, 3744–3765. [Google Scholar] [CrossRef]
- Huang, H.; Gao, Y.; Stoffels, S. Fully coupled three-dimensional train-track-soil model for high-speed rail. Transp. Res. Rec. J. Transp. Res. Board 2014, 2448, 87–93. [Google Scholar] [CrossRef]
- Li, X.; Ekh, M.; Nielsen, J. Three-dimensional modelling of differential railway track settlement using a cycle domain constitutive model. Int. J. Numer. Anal. Methods Geomech. 2016, 40, 1758–1770. [Google Scholar] [CrossRef]
- Ling, L.; Xiao, X.; Xiong, J.; Zhou, L.; Wen, Z.; Jin, X. A 3D model for coupling dynamics analysis of high-speed train/track system. J. Zhejiang Univ. Sci. A 2014, 15, 964–983. [Google Scholar] [CrossRef]
- Sharma, R.C.; Sharma, N.; Sharma, S.; Sharma, S.K. Analysis of generalized force and its influence on ride and stability of railway vehicle. Noise Vib. Worldw. 2020, 51, 95–109. [Google Scholar] [CrossRef]
- Koziak, S.; Chudzikiewicz, A.; Opala, M.; Melnik, R. Virtual software testing and certification of railway vehicle from the point of view of their dynamics. Transp. Res. Procedia 2019, 40, 729–736. [Google Scholar] [CrossRef]
- Coelho, B.; Priest, J.; Holscher, P.; Powrie, W. Monitoring of Transition Zones in Railways; Engineering Technics Press: Oxford, UK, 2009. [Google Scholar]
- Zhai, W.; Xia, H.; Cai, C.; Gao, M.; Li, X.; Guo, X.; Wang, K. High-speed train– track–bridge dynamic interactions–Part I: Theoretical model and numerical simulation. Int. J. Rail Transp. 2013, 1, 3–24. [Google Scholar] [CrossRef]
- Varandas, J.N.; Hölscher, P.; Silva, M.A. Dynamic behavior of railway tracks on transitions zones. Comput. Struct. 2011, 89, 1468–1479. [Google Scholar] [CrossRef]
- Varandas, J. Long-Term Behavior of Railway Transitions under Dynamic Loading. Ph.D. Thesis, Faculdade de Cieˆncias e Tecnologia da Universidade Nova de Lisboa, Almada, Portugal, 2013. [Google Scholar]
- Yang, C.; Sun, H.; Zhang, J. Dynamic responses of bridge-approach embankment transition section of HSR. J. Cent. South Univ. 2013, 20, 2830–2839. [Google Scholar] [CrossRef]
- Indraratna, B.; Sajjad, M.; Ngo, T.; Gomes Correia, A.; Kelly, R. Improved performance of ballasted tracks at transition zones: A review of experimental and modelling approaches. Transp. Geotech. 2019, 21, 100260. [Google Scholar] [CrossRef]
- Czyczula, W.; Koziol, P.; Blaszkiewicz, D. On the Equivalence between Static and Dynamic Railway Track Response and on the Euler-Bernoulli and Timoshenko Beams Analogy. Shock Vib. 2017, 2017, 1–13. [Google Scholar] [CrossRef]
- Wang, H.; Markine, V. Methodology for the comprehensive analysis of railway transition zones. Comput. Geotech. 2018, 99, 64–79. [Google Scholar] [CrossRef]
- Wang, H.; Markine, V. Dynamic behavior of the track in transitions zones considering the differential settlement. J. Sound Vib. 2019, 459, 114863. [Google Scholar] [CrossRef]
- Kaewunruen, S.; Remennikov, A.; Aikawa, A. A numerical study to evaluate dynamic responses of voided concrete railway sleepers to impact loading. In Proceedings of the Australian Acoustical Society Conference 2011, Acoustics 2011: Breaking New Ground, Gold Coast, Australia, 2–4 November 2011; pp. 464–471. [Google Scholar]
- Giner, I.; López Pita, A.; Vieira Chaves, E.; Rivas Álvarez, A. Design of embankment–structure transitions for railway infrastructure. In Proceedings of the Institution of Civil Engineers-Transport; Thomas Telford Ltd.: London, UK, 2012; Volume 165, pp. 27–37. [Google Scholar]
- Wang, H.; Markine, V.L.; Shevtsov, I.Y.; Dollevoet, R. Analysis of the dynamic behavior of a railway track in transition zones with differential settlement. In 2015 Joint Rail Conference; American Society of Mechanical Engineers: New York, NY, USA, 2015. [Google Scholar]
- Yin, C.; Wei, B. Numerical simulation of a bridge-subgrade transition zone due to moving vehicle in Shuohuang heavy haul railway. J. Vibroeng. 2013, 15, 1041–1047. [Google Scholar]
- Wu, Y.; Yang, Y. Steady-state response and riding comfort of trains moving over a series of simply supported bridges. Eng. Struct. 2003, 25, 251–265. [Google Scholar] [CrossRef]
- Rakoczy, A.M.; Shu, X.; Duane, O. Vehicle–track–bridge interaction modeling and validation for short span railway bridges. Transp. Res. Rec. 2017, 2642, 127–138. [Google Scholar] [CrossRef]
- Mishra, D.; Tutumluer, E.; Boler, H.; Hyslip, J.; Sussmann, T. Railroad track transitions with multidepth deflectometers and strain gauges. Transp. Res. Rec. J. Transp. Res. Board 2014, 2448, 105–114. [Google Scholar] [CrossRef]
- Mishra, D.; Boler, H.; Tutumluer, E.; Hyslip, J.P. Effectiveness of Chemical Grouting and Stone Blowing as Remedial Measures to Mitigate Differential Movement at Railroad Track Transitions. In 2016 Joint Rail Conference; American Society of Mechanical Engineers: New York, NY, USA, 2016. [Google Scholar]
- Tutumluer, E.; Stark, T.D.; Mishra, D.; Hyslip, J.P. Investigation and mitigation of differential movement at railway transitions for US high speed passenger rail and joint passenger/freight corridors. In 2012 Joint Rail Conference; American Society of Mechanical Engineers: New York, NY, USA, 2012; pp. 75–84. [Google Scholar]
- Mishra, D.; Tutumluer, E.; Stark, T.D.; Hyslip, J.P.; Chrismer, S.M.; Tomas, M. Investigation of differential movement at railroad bridge approaches through geotechnical instrumentation. J. Zhejiang Univ. Sci. A 2012, 13, 814–824. [Google Scholar] [CrossRef]
- Tutumluer, E.; Mishra, D.; Boler, H.; Hyslip, J.P.; Thomas, M. Dynamic Responses of Bridge Approach Concrete Ties after the Applications of Polyurethane Injection, Stone Blowing and Under-Tie Pad Remedial Measures. In International Crosstie and Fastening System Symposium. June 2016. Available online: https://railtec.illinois.edu/wp/wp-content/uploads/pdf-archive/9.2_Tutumluer.pdf (accessed on June 2019).
- Cantero, D.; Arvidsson, T.; OBrien, E.; Karoumi, R. Train–track–bridge modelling and review of parameters. Struct. Infrastruct. Eng. 2016, 12, 1051–1064. [Google Scholar] [CrossRef]
- Judge, A.; Ho, C.; Huang, H.; Hyslip, J.; Gao, Y. Field Investigation and Modeling of Track Substructure Performance Under Trains Moving at Critical Speed. 2018. Available online: https://railroads.dot.gov/elibrary/field-investigation-and-modeling-track-substructure-performance-under-trains-moving (accessed on June 2019).
- Yu, Z.W.; Mao, J.F. A stochastic dynamic model of train-track-bridge coupled system based on probability density evolution method. Appl. Math. Model. 2018, 59, 205–232. [Google Scholar] [CrossRef]
- Newmark, N.M. A Method of Computation for Structural Dynamics; Department of Civil Engineering, University of Illinois: Champaign, IL, USA, 1959. [Google Scholar]












| Open Track (mm) | Near Bridge (mm) | |
|---|---|---|
| Mean | 1.63 | 4.03 |
| Standard Deviation | 0.07 | 2.10 |
| 95% CI High End | 1.71 | 5.98 |
| 95% CI Low End | 1.55 | 2.09 |
| Track Properties | |||
| Young’s modulus of rail | 2.07 × 105/3.0023 × 107 | MPa/psi | |
| Second moment of area | 3.9 × 107/452 × 10−3 | mm4/ft4 | |
| Rail mass per unit length | 67.46/4.533 × 10−2 | kg/m/kip/ft | |
| Rail pad damping ratio | 124/8.5 | kN.s/m/kip.s/ft | |
| Rail pad stiffness | 7.80 × 104/5.3447 × 103 | kN/m/kip/ft | |
| Crosstie mass | 386/0.85 | kg/kips | |
| Ballast mass | 683/1.5 | kg/kips | |
| Ballast damping ratio | 82/5.62 | kN.s/m/kip.s/ft | |
| Ballast stiffness | 1.20 × 105/8.223 × 103 | kN/m/kip/ft | |
| Ballast shear stiffness | 7.80 × 103/534.47 | kN/m/kip/ft | |
| Subgrade damping ratio | 300/20.56 | kN.s/m/kip.s/ft | |
| Subgrade stiffness | 5.00 × 104/3.426 × 103 | kN/m/kip/ft | |
| Rail displacement | - | ||
| Crosstie displacement | - | ||
| Ballast displacement | - | ||
| Vehicle-rail stiffness | 1.53 × 106/1.048 × 105 | kN/m/kip/ft | |
| Vehicle Properties | |||
| Car body mass | 6.31 × 104/139.11 | kg/kip | |
| Car body mass inertia | 1.20 × 106/2.848 × 104 | kg.m2/kip.ft2 | |
| Car body pitch rotation | - | ||
| Car body displacement | - | ||
| Secondary suspension damping | 70/4.8 | kN.s/m/kip.s/ft | |
| Secondary suspension stiffness | 5.30 × 103/363.2 | kN/m/kip/ft | |
| Bogie mass | 1.20 × 103/2.646 | kg/kip | |
| Bogie mass inertia | 760/18.04 | kg.m2/kip.ft2 | |
| Bogie pitch rotation | - | ||
| Bogie displacement | - | ||
| Primary suspension damping | 49/3.358 | kN.s/m/kip.s/ft | |
| Primary suspension stiffness | 2.10 × 103/143.9 | kN/m/kip/ft | |
| Wheel mass | 1.20 × 103/2.646 | kg/kip | |
| Wheel displacement | - | ||
| Wheel-rail interaction force | - | ||
| Bogie distance | 5.37/17.62 | m/ft | |
| Wheel distance | 1.42/4.66 | m/ft | |
| Initialization of The Variables | |
| Initial condition | |
| Calculation initial condition | |
| Average acceleration method | |
| Integration time step | |
| Preliminary Calculations | |
| Calculate the integration constants | |
| Integrate Step by Step for: | |
| Increment time | |
| Calculate effective tangent stiffness | , if tie gap closes |
| Calculate increment of the effective force at time | |
| Calculate increment of displacement | |
| Calculate increment of velocity | |
| Calculate displacement and velocity at time | |
| Calculate acceleration at time | |
Publisher’s Note: MDPI stays neutral with regard to jurisdictional claims in published maps and institutional affiliations. |
© 2021 by the authors. Licensee MDPI, Basel, Switzerland. This article is an open access article distributed under the terms and conditions of the Creative Commons Attribution (CC BY) license (https://creativecommons.org/licenses/by/4.0/).
Share and Cite
Hou, W.; Tutumluer, E.; Li, W. A Validated Train-Track-Bridge Model with Nonlinear Support Conditions at Bridge Approaches. Infrastructures 2021, 6, 59. https://doi.org/10.3390/infrastructures6040059
Hou W, Tutumluer E, Li W. A Validated Train-Track-Bridge Model with Nonlinear Support Conditions at Bridge Approaches. Infrastructures. 2021; 6(4):59. https://doi.org/10.3390/infrastructures6040059
Chicago/Turabian StyleHou, Wenting, Erol Tutumluer, and Wenjing Li. 2021. "A Validated Train-Track-Bridge Model with Nonlinear Support Conditions at Bridge Approaches" Infrastructures 6, no. 4: 59. https://doi.org/10.3390/infrastructures6040059
APA StyleHou, W., Tutumluer, E., & Li, W. (2021). A Validated Train-Track-Bridge Model with Nonlinear Support Conditions at Bridge Approaches. Infrastructures, 6(4), 59. https://doi.org/10.3390/infrastructures6040059

