A Microsimulation-Based Methodology for Evaluating Efficiency and Safety in Roundabout Corridors: Case Studies of Pisa (Italy) and Avignon (France)
Abstract
1. Introduction
2. Literature Review
- The corridor must have from three to six roundabouts;
- Branches must be two or four lanes, mainly suburban;
- Roundabouts must have one or two lanes in the ring;
- The speed limit must be between 25 mph (~40 km/h) and 50 mph (~80 km/h);
- The total length must be between 0.5 miles (~800 m) and 4.5 miles (~7200 m);
- The distance between two consecutive roundabouts must be between 650 feet (~200 m) and 6465 feet (~1970 m);
- The characteristics of the lateral arrangements may vary (e.g., the presence or absence of sidewalks, pedestrian crossings, cycle paths, rest areas).
3. Materials and Methods
3.1. Methodological Framework
- Correlation Coefficient (R);
- Theil’s Inequality Coefficient (U);
- GEH statistic.
- Delay Time (s/km);
- Flow (veh/h);
- Mean Queue (veh);
- Speed (km/h).
- Crossing conflicts: occur between vehicles on intersecting trajectories, typically at junctions;
- Rear-end conflicts: involve vehicles traveling in the same direction within the same lane;
- Lane-change conflicts: result from lateral maneuvers between adjacent lanes.
- Data collection: geometric layouts (from field surveys and orthophotos), traffic counts, turn proportions, and signal plans;
- Model development: network building and traffic state definition in Aimsun Next;
- Model calibration: iterative adjustment of behavioral parameters, validated using GEH, Theil’s U, and Correlation Coefficient R;
- Scenario simulation: generation of all feasible R/TL combinations (32 for Pisa, 64 for Avignon), each simulated with 12 replications under fixed demand;
- Surrogate safety assessment: trajectory export and conflict analysis using SSAM (TTC = 0 s threshold), with classification of conflict types;
- Post-processing and comparison: aggregation of efficiency (delay, flow, queue, speed) and safety (conflicts, CRV) indicators using Excel;
- Interpretation of results: identification of optimal layouts and detection of system-level inefficiencies and paradoxical effects.
3.2. Case Study Areas
4. Results
4.1. Case Studies of Pisa Corridor (Italy)
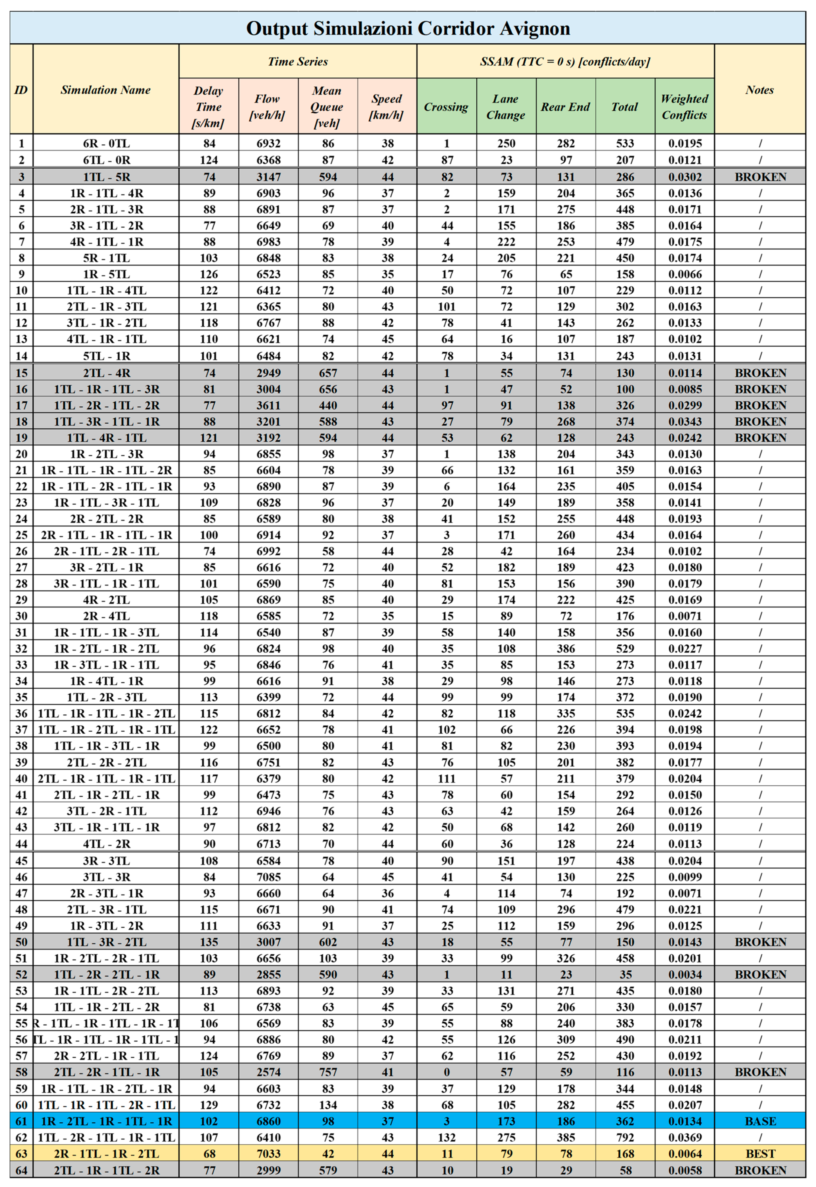
4.2. Case Studies of Avignon Corridor (France)
5. Discussion
5.1. Analysis of the Pisa Corridor (Italy)
5.2. Analysis of the Avignon Corridor (France)
6. Conclusions
Study Limitations and Future Research Directions
Author Contributions
Funding
Data Availability Statement
Conflicts of Interest
References
- Priemus, H.; Zonneveld, W. What Are Corridors and What Are the Issues? Introduction to Special Issue: The Governance of Corridors. J. Transp. Geogr. 2003, 11, 167–177. [Google Scholar] [CrossRef]
- Barceló, J. Fundamentals of Traffic Simulation; Springer: New York, NY, USA, 2010. [Google Scholar] [CrossRef]
- Yuan, Y.; Yang, H. System Dynamics Approach for Evaluating the Interconnection Performance of Collaborative Transportation Infrastructure. J. Manag. Eng. 2022, 38, 04021015. [Google Scholar] [CrossRef]
- Brocchini, L.; Pratelli, A.; Josselin, D.; Losa, M. Exploring Traffic Paradoxes: A Study of Roundabout Corridors and Their Effects on Network Dynamics. 2025; submitted. [Google Scholar]
- Braess, D. Über ein Paradoxon aus der Verkehrsplanung. Unternehmensforschung 1968, 12, 258–268. [Google Scholar] [CrossRef]
- Bazzan, A.L.C.; Klügl, F. Case Studies on the Braess Paradox: Simulating Route Recommendation and Learning in Abstract and Microscopic Models. Transp. Res. Part C Emerg. Technol. 2005, 13, 299–319. [Google Scholar] [CrossRef]
- Sheffi, Y.; Daganzo, C.F. Another “Paradox” of Traffic Flow. Transp. Res. 1978, 12, 43–46. [Google Scholar] [CrossRef]
- Brocchini, L.; Pratelli, A. Exploring the Potential Application of Ramp Metering Systems to Improve the Performances of Roundabout Corridors. In ITFT 2024: International Conference on Intelligent Transport Systems; Springer: Cham, Switzerland, 2025; pp. 260–270. [Google Scholar] [CrossRef]
- Hummer, J.E.; Milazzo, J.S.; Schroeder, B.; Salamati, K. Potential for Metering to Help Roundabouts Manage Peak Period Demands in the United States. Transp. Res. Rec. 2014, 2402, 56–66. [Google Scholar] [CrossRef]
- Aimsun. Aimsun Next Users Manual, Version 24.0.2; Aimsun SLU: Barcelona, Spain, 2024. Available online: https://docs.aimsun.com/next/24.0.2/ (accessed on 21 May 2025).
- Barceló, J.; Casas, J. Dynamic Network Simulation with AIMSUN. In Simulation Approaches in Transportation Analysis; Hall, R., Ed.; Springer: Boston, MA, USA, 2005; pp. 57–98. [Google Scholar] [CrossRef]
- Federal Highway Administration (FHWA). Surrogate Safety Assessment Model and Validation: Final Report; Report No. FHWA-HRT-08-051; U.S. Department of Transportation: Washington, DC, USA, 2008. Available online: https://www.fhwa.dot.gov/publications/research/safety/08051/ (accessed on 21 May 2025).
- Federal Highway Administration (FHWA). Surrogate Safety Assessment Model (SSAM): TechBrief; Report No. FHWA-HRT-10-020; U.S. Department of Transportation: Washington, DC, USA, 2009. Available online: https://www.fhwa.dot.gov/publications/research/safety/10020/ (accessed on 21 May 2025).
- Federal Highway Administration (FHWA). Surrogate Safety Measures from Traffic Simulation Models: Final Report; Report No. FHWA-RD-03-050; U.S. Department of Transportation: Washington, DC, USA, 2003. Available online: https://www.fhwa.dot.gov/publications/research/safety/03050/ (accessed on 21 May 2025).
- Del Valle, M.; La Rosa, X.; Silvera, M.; Campos, F.; Palacios-Alonso, D. Vehicular Conflict Assessment on a Road with Lane Reduction Using the SSAM Methodology. In Proceedings of the 21st LACCEI International Multi-Conference for Engineering, Education, and Technology, Buenos Aires, Argentina, 17–21 July 2023; Available online: https://cris.pucp.edu.pe/en/publications/vehicular-conflict-assessment (accessed on 21 May 2025).
- Souleyrette, R.R.; Hans, Z.; Maze, T.H.; Smadi, O.; Preston, H. Development of a Conflict Analysis Methodology Using SSAM. Midwest Transportation Consortium Final Report; Iowa State University: Ames, IA, USA, 2012. Available online: https://www.intrans.iastate.edu/research/completed/ (accessed on 21 May 2025).
- Bugg, Z.; Schroeder, B.J.; Jenior, P.; Brewer, M.; Rodegerdts, L. Methodology to Compute Travel Time of a Roundabout Corridor. Transp. Res. Rec. 2015, 2483, 20–29. [Google Scholar] [CrossRef]
- Rodegerdts, L.A.; Jenior, P.M.; Bugg, Z.H.; Ray, B.L.; Schroeder, B.J.; Brewer, M.A. National Cooperative Highway Research Program (NCHRP). Report 772: Evaluating the Performance of Corridors with Roundabouts; Transportation Research Board: Washington, DC, USA, 2014. [Google Scholar] [CrossRef]
- Fernandes, P.; Salamati, K.; Rouphail, N.M.; Coelho, M.C. Identification of Emission Hotspots in Roundabouts Corridors. Transp. Res. Part D Transp. Environ. 2015, 37, 48–64. [Google Scholar] [CrossRef]
- Fernandes, P.; Coelho, M.C. Pedestrian and Cyclists Impacts on Vehicular Capacity and Emissions at Different Turbo-Roundabouts Layouts. Transp. Res. Procedia 2017, 27, 452–459. [Google Scholar] [CrossRef]
- Fernandes, P.; Fontes, T.; Pereira, S.R.; Rouphail, N.M.; Coelho, M.C. Multicriteria assessment of crosswalk location in urban roundabout corridors. Transp. Res. Rec. 2015, 2517, 37–47. [Google Scholar] [CrossRef]
- Raza, S.; Al-Kaisy, A.; Washburn, S. Investigation of Roundabouts Influence Areas Along Rural and Suburban Corridors. Adv. Transp. Studies Int. J. 2022, 58, 21–38. Available online: https://www.atsinternationaljournal.com/2022-issues/investigation-of-roundabout-influence-areas-along-rural-and-suburban-corridors/ (accessed on 21 May 2025).
- LeBas, M.A. A Comparative Analysis of Roundabouts and Traffic Signals through a Corridor. Master’s Thesis, Louisiana State University, Baton Rouge, LA, USA, 2015. Available online: https://repository.lsu.edu/gradschool_theses/3753/ (accessed on 21 May 2025).
- National Academies of Sciences, Engineering, and Medicine. Highway Capacity Manual, 6th ed.; The National Academies Press: Washington, DC, USA, 2016; Available online: https://nap.nationalacademies.org/catalog/24798/highway-capacity-manual (accessed on 21 May 2025).
- National Academies of Sciences, Engineering, and Medicine. Highway Capacity Manual, 7th ed.; The National Academies Press: Washington, DC, USA, 2022; Available online: https://nap.nationalacademies.org/catalog/26432/highway-capacity-manual (accessed on 21 May 2025).
- Pratelli, A.; Casella, S.; Farina, A.; Lupi, M. Conventional and unconventional roundabouts: A review of geometric features and capacity models. Int. J. Transp. Dev. Integr. 2018, 2, 225–239. [Google Scholar] [CrossRef]
- Tollazzi, T. Alternative Types of Roundabouts: An Informational Guide; Springer: Cham, Switzerland, 2015; Volume 6. [Google Scholar] [CrossRef]
- Pratelli, A.; Souleyrette, R.R.; Brocchini, L. Two-geometry roundabouts: Design principles. Transp. Res. Procedia 2022, 64, 299–307. [Google Scholar] [CrossRef]
- Pratelli, A.; Brocchini, L. Two-geometry roundabouts: Estimation of capacity. Transp. Res. Procedia 2022, 64, 232–239. [Google Scholar] [CrossRef]
- Ahac, S.; Ahac, M.; Majstorović, I.; Bašić, S. Speed Reduction Capabilities of Two-Geometry Roundabouts. Appl. Sci. 2023, 13, 11816. [Google Scholar] [CrossRef]
- Fortuijn, L.G.H. Turbo Roundabouts: Design Principles and Safety Performance. Transp. Res. Rec. 2009, 2096, 16–24. [Google Scholar] [CrossRef]
- Fortuijn, L.G.H. Turbo Roundabouts: Estimation of Capacity. Transp. Res. Rec. 2009, 2130, 83–92. [Google Scholar] [CrossRef]
- Singh, D.; Das, P. A Review on Surrogate Safety Measures in Safety Evaluation and Analysis. In Proceedings of the Sixth International Conference of Transportation Research Group of India, Tamil Nadu, India, 14–17 December 2021; Lecture Notes in Civil Engineering. Devi, L., Ed.; Springer: Singapore, 2023; Volume 273, pp. 113–129. [Google Scholar] [CrossRef]
- So, J.; Lim, I.-K.; Lee, S. Exploring Traffic Conflict-Based Surrogate Approach for Safety Assessment of Highway Facilities. Transp. Res. Rec. 2015, 2513, 56–62. [Google Scholar] [CrossRef]
- Muley, D.; Ghanim, M.; Kharbeche, M. Prediction of Traffic Conflicts at Signalized Intersections Using SSAM. Procedia Comput. Sci. 2018, 130, 255–262. [Google Scholar] [CrossRef]
- Huang, F.; Liu, P.; Yu, H.; Wang, W. Identifying if VISSIM simulation model and SSAM provide reasonable estimates for field measured traffic conflicts at signalized intersections. Accid. Anal. Prev. 2013, 50, 1014–1024. [Google Scholar] [CrossRef] [PubMed]
- Hasanvand, M.; Nasiri, A.S.A.; Rahmani, O.; Shaaban, K.; Samadi, H. A conflict-based safety diagnosis of SCI roundabouts using a surrogate safety measure model. Sustainability 2023, 15, 13166. [Google Scholar] [CrossRef]
- Wardrop, J.G. Some theoretical aspects of road traffic research. Proc. Inst. Civ. Eng. 1952, 1, 767–768. [Google Scholar] [CrossRef]
- Morgan, J.; Orzen, H.; Sefton, M. Network architecture and traffic flows: Experiments on the Pigou–Knight–Downs and Braess Paradoxes. Games Econ. Behav. 2009, 66, 348–372. [Google Scholar] [CrossRef]
- Afimeimounga, H.; Solomon, W.; Ziedins, I. The Downs–Thomson paradox: Existence, uniqueness and stability of user equilibria. Queueing Syst. 2005, 49, 321–334. [Google Scholar] [CrossRef]
- Dechenaux, E.; Mago, S.D.; Razzolini, L. Traffic congestion: An experimental study of the Downs–Thomson paradox. Exp. Econ. 2014, 17, 461–487. [Google Scholar] [CrossRef]
- Zhang, F.; Yang, H.; Liu, W. The Downs–Thomson paradox with responsive transit service. Transp. Res. Part A Policy Pract. 2014, 70, 244–263. [Google Scholar] [CrossRef]
- Boyce, D.E.; Mahmassani, H.S.; Nagurney, A. A retrospective on Beckmann, McGuire and Winsten’s “Studies in the Economics of Transportation”. Pap. Reg. Sci. 2005, 84, 85–103. [Google Scholar] [CrossRef]
- Boyce, D.E. Beckmann’s transportation network equilibrium model: Its history and relationship to the Kuhn–Tucker conditions. Econ. Transp. 2013, 2, 47–52. [Google Scholar] [CrossRef]
- Hymel, K. If you build it, they will drive: Measuring induced demand for vehicle travel in urban areas. Transp. Policy 2019, 76, 57–66. [Google Scholar] [CrossRef]
- Osman, A.B.Y. One More Lane: The Induced Demand Paradox; Kwame Nkrumah University of Science and Technology: Kumasi, Ghana, 2023; Preprint; Available online: https://www.academia.edu/107279476/One_More_Lane_The_Induced_Demand_Paradox (accessed on 21 May 2025).
- Hallmark, S.L.; Fitzsimmons, E.J.; Isebrands, H.N.; Giese, K.L. Roundabouts in Signalized Corridors: Evaluation of Traffic Flow Impacts. Transp. Res. Rec. 2010, 2182, 139–147. [Google Scholar] [CrossRef]
- Shaaban, K.; Abou-Senna, H.; Elnashar, D.; Radwan, E. Assessing the Impact of Converting Roundabouts to Traffic Signals on Vehicle Emissions along an Urban Arterial Corridor in Qatar. J. Air Waste Manag. Assoc. 2018, 69, 178–191. [Google Scholar] [CrossRef] [PubMed]
- Campo, A.; D’Autilia, R. Simulation tools to compare and optimize mobility plans. arXiv 2017. [Google Scholar] [CrossRef]
- Lu, X.-Y.; Lee, J.; Chen, D.; Bared, J.; Dailey, D.; Shladover, S.E. Freeway micro-simulation calibration: Case study using Aimsun and VISSIM with detailed field data. In Proceedings of the 93rd Annual Meeting of the Transportation Research Board (TRB), Washington, DC, USA, 12–16 January 2014; Available online: https://www.researchgate.net/publication/262912349 (accessed on 21 May 2025).
- Chiappone, S.; Giuffrè, O.; Granà, A.; Mauro, R.; Sferlazza, A. Traffic simulation models calibration using speed–density relationship: An automated procedure based on genetic algorithm. Expert Syst. Appl. 2016, 44, 147–155. [Google Scholar] [CrossRef]
- Feldman, O. The GEH measure and quality of the highway assignment models. In Proceedings of the European Transport Conference 2012, Glasgow, UK, 8–10 October 2012; Association for European Transport: Warwickshire, UK, 2012. Available online: https://trid.trb.org/view/1324899 (accessed on 21 May 2025).
- Tratar, L.F.; Strmčnik, E. Forecasting methods in engineering. IOP Conf. Ser. Mater. Sci. Eng. 2019, 657, 012027. [Google Scholar] [CrossRef]
- Leal, S.S.; de Almeida, P.E.M.; Ribeiro, R.G. Calibrating traffic microscopic simulation model parameters using an evolutionary approach. Transp. Res. Procedia 2020, 48, 1038–1045. [Google Scholar] [CrossRef]
- Burghout, W. A Note on the Number of Replication Runs in Stochastic Traffic Simulation Models. Res. Rep. 2004. Available online: https://www.researchgate.net/publication/237237852 (accessed on 21 May 2025).
- Federal Highway Administration (FHWA). Traffic Analysis Toolbox Volume VI: Definition, Interpretation, and Calculation of Traffic Analysis Tools Measures of Effectiveness; Report No. FHWA-HOP-08-054; U.S. Department of Transportation: Washington, DC, USA, 2007. Available online: https://ops.fhwa.dot.gov/publications/fhwahop08054/index.htm (accessed on 21 May 2025).
- Giuffrè, O.; Granà, A.; Tumminello, M.L.; Giuffrè, T.; Trubia, S. Surrogate measures of safety at roundabouts in AIMSUN and VISSIM environment. In Roundabouts as Safe and Modern Solutions in Transport Networks and Systems; Lecture Notes in Networks and Systems; Springer: Cham, Switzerland, 2018; Volume 52, pp. 53–64. [Google Scholar] [CrossRef]
- Ross, S.M. Introduction to Probability Models, 10th ed.; Academic Press: Cambridge, MA, USA; Elsevier: Amsterdam, The Netherlands, 2010; Available online: https://www.sciencedirect.com/book/9780123756862 (accessed on 21 May 2025).












| Node | Type | Diameter [m] | Ring Width [m] | N° of Legs | Entry Lane Configuration |
|---|---|---|---|---|---|
| 1 | Conventional Roundabout | 38 | 9 | 4 | 2 per arm (6 ÷ 7 m) |
| 2 | Conventional Roundabout | 40 | 9.5 | 4 | 2 per arm (6 ÷ 7 m) |
| 3 | Conventional Roundabout | 40 | 9.5 | 3 | 2 per arm (7 m) |
| 4 | Two-Geometry Roundabout | 44 × 36 | 9 ÷ 10 | 3 | 2 per arm (6.5 ÷ 7.5 m) |
| 5 | Conventional Roundabout | 37 | 9 | 3 | 2 per arm (7 m) |
| Node | Type | Diameter [m] | Ring Width [m] | N° of Legs | Entry Lane Configuration |
|---|---|---|---|---|---|
| 1 | Conventional Roundabout | 65 | 9 | 4 | 1 ÷ 2 per arm (3.5 ÷ 7 m) |
| 2 | Signalized Roundabout | 34 | 9 | 4 | 2 ÷ 3 per approach (3.5 m) |
| 3 | Signalized Roundabout | 34 | 9 | 3 | 2 ÷ 3 per approach (3.5 m) |
| 4 | Conventional Roundabout | 78 | 9 | 4 | 2 per arm (7 m) |
| 5 | Signalized Roundabout | 34 | 9 | 4 | 2 ÷ 3 per approach (3.5 m) |
| 6 | Conventional Roundabout | 78 | 9 | 4 | 1 ÷ 2 per arm (3.5 ÷ 7 m) |
Disclaimer/Publisher’s Note: The statements, opinions and data contained in all publications are solely those of the individual author(s) and contributor(s) and not of MDPI and/or the editor(s). MDPI and/or the editor(s) disclaim responsibility for any injury to people or property resulting from any ideas, methods, instructions or products referred to in the content. |
© 2025 by the authors. Licensee MDPI, Basel, Switzerland. This article is an open access article distributed under the terms and conditions of the Creative Commons Attribution (CC BY) license (https://creativecommons.org/licenses/by/4.0/).
Share and Cite
Brocchini, L.; Pratelli, A.; Josselin, D.; Losa, M. A Microsimulation-Based Methodology for Evaluating Efficiency and Safety in Roundabout Corridors: Case Studies of Pisa (Italy) and Avignon (France). Infrastructures 2025, 10, 186. https://doi.org/10.3390/infrastructures10070186
Brocchini L, Pratelli A, Josselin D, Losa M. A Microsimulation-Based Methodology for Evaluating Efficiency and Safety in Roundabout Corridors: Case Studies of Pisa (Italy) and Avignon (France). Infrastructures. 2025; 10(7):186. https://doi.org/10.3390/infrastructures10070186
Chicago/Turabian StyleBrocchini, Lorenzo, Antonio Pratelli, Didier Josselin, and Massimo Losa. 2025. "A Microsimulation-Based Methodology for Evaluating Efficiency and Safety in Roundabout Corridors: Case Studies of Pisa (Italy) and Avignon (France)" Infrastructures 10, no. 7: 186. https://doi.org/10.3390/infrastructures10070186
APA StyleBrocchini, L., Pratelli, A., Josselin, D., & Losa, M. (2025). A Microsimulation-Based Methodology for Evaluating Efficiency and Safety in Roundabout Corridors: Case Studies of Pisa (Italy) and Avignon (France). Infrastructures, 10(7), 186. https://doi.org/10.3390/infrastructures10070186

