Effect of Stochastic Guideway Irregularity on Dynamic Performance of Maglev Train
Abstract
1. Introduction
2. Modelling of Maglev System
2.1. Train Model
2.2. Guideway Model
2.3. Irregularity Model
3. Analysis with Different Speeds and Irregularity Wavelengths
3.1. Simulation Without Irregularity
3.2. Frequency Analysis of Guideway Irregularities
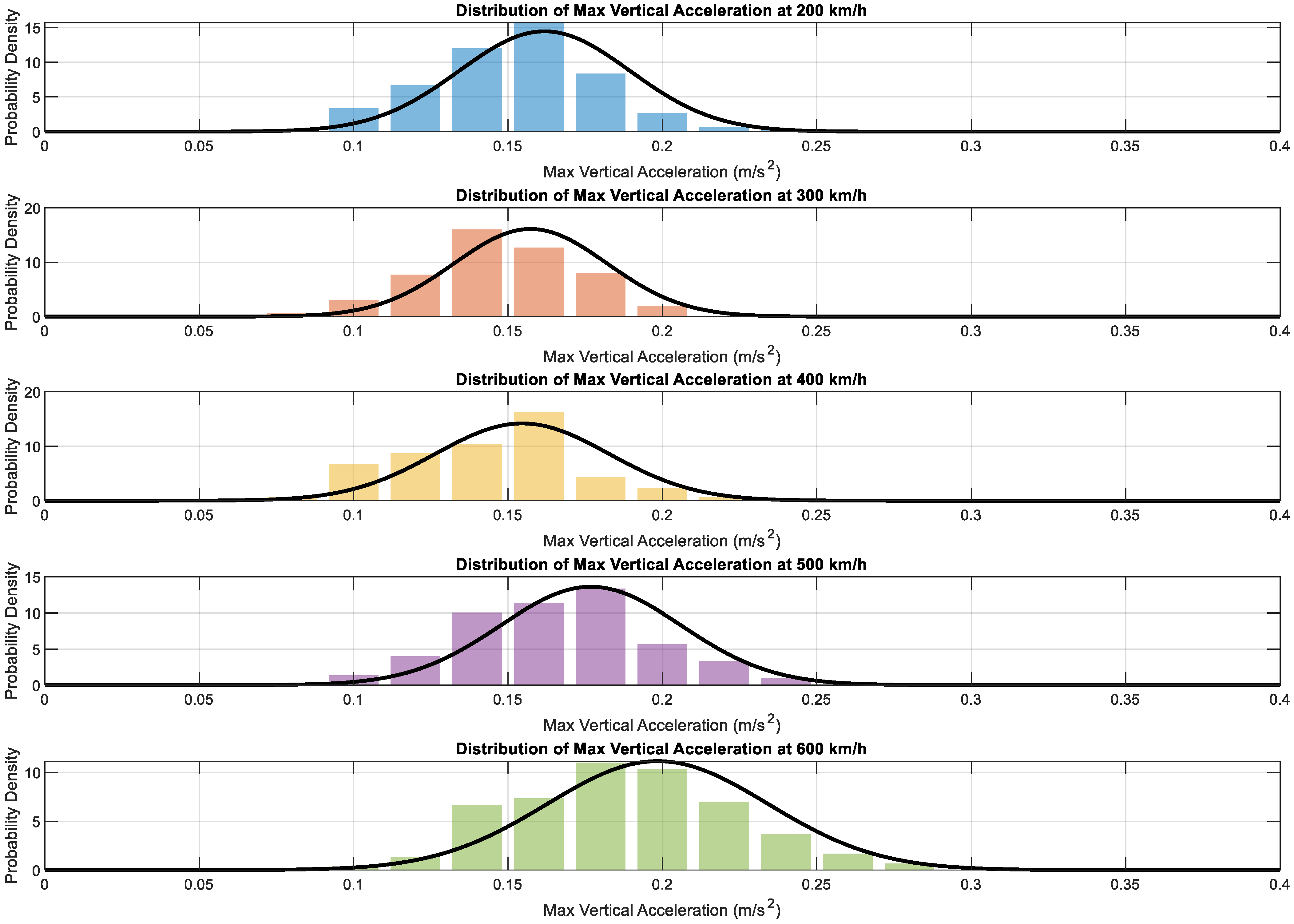
4. Analysis with Random Guideway Irregularity
4.1. Analysis of Stochastic Dynamics
4.2. Case Study of Random Guideway Irregularity
5. Conclusions
Author Contributions
Funding
Data Availability Statement
Conflicts of Interest
References
- Lee, H.-W.; Kim, K.-C.; Lee, J. Review of maglev train technologies. IEEE Trans. Magn. 2006, 42, 1917–1925. [Google Scholar] [CrossRef]
- Yavuz, M.N.; Öztürk, Z. Comparison of conventional high speed railway, maglev and hyperloop transportation systems. Int. Adv. Res. Eng. J. 2021, 5, 113–122. [Google Scholar] [CrossRef]
- Wang, W.; Wang, B.; Deng, G.; Ma, L. Research on control parameters of high—Speed maglev train under stochastic track irregularities. Probabilistic Eng. Mech. 2024, 77, 103664. [Google Scholar] [CrossRef]
- Shi, J.; Wei, Q.; Zhao, Y. Analysis of dynamic response of the high-speed EMS maglev vehicle/guideway coupling system with random irregularity. Int. J. Veh. Mech. Mobil. 2007, 45, 1077–1095. [Google Scholar] [CrossRef]
- Liu, Y.; Deng, W.; Gong, P. Dynamics of the bogie of maglev train with distributed magnetic forces. Shock. Vib. 2015, 2015, 896410. [Google Scholar] [CrossRef]
- Cai, Y.; Chen, S.S.; Rote, D.M.; Coffey, H.T. Vehicle/guideway interaction for high—Speed vehicles on a flexible guideway. J. Sound Vib. 1994, 175, 625–646. [Google Scholar] [CrossRef]
- Lee, J.-S.; Kwon, S.-D.; Kim, M.-Y.; Yeo, I.H. A parametric study on the dynamics of urban transit maglev vehicle running on flexible guideway bridges. J. Sound Vib. 2009, 328, 301–317. [Google Scholar] [CrossRef]
- Kong, E.; Song, J.S.; Kang, B.B.; Na, S. Dynamic response and robust control of coupled maglev vehicle and guideway system. J. Sound Vib. 2011, 330, 6237–6253. [Google Scholar] [CrossRef]
- Cui, Y.; Guo, X.; Mao, H.; Liu, J. Research on the Dynamic Characteristics of a Typical Medium–Low-Speed Maglev Train–Bridge System Influenced by the Transverse Stiffness of Pier Tops. Appl. Sci. 2025, 15, 6628. [Google Scholar] [CrossRef]
- Kang, X.; Zhang, Z.; Zhang, Z.; Bi, X.; Zhu, B.; Liu, Y. Analysis of Coupled Vibrations in Low-Medium Speed High-Temperature Superconducting Maglev Train and Curved Bridge. KSCE J. Civ. Eng. 2025, 100344. [Google Scholar] [CrossRef]
- Wang, W.; Wang, B.; Ma, L.; Deng, G.; Xue, S. Transverse vibration of high-speed maglev train under dual stochastic excitations of crosswinds and maglev track irregularities. J. Wind. Eng. Ind. Aerodyn. 2025, 261, 106094. [Google Scholar] [CrossRef]
- Kim, K.-J.; Han, J.-B.; Han, H.-S.; Yang, S.-J. Coupled vibration analysis of Maglev vehicle guideway while standing still or moving at low speeds. Veh. Syst. Dyn. 2015, 53, 587–601. [Google Scholar] [CrossRef]
- Han, J.-B.; Han, H.-S.; Kim, S.-S.; Yang, S.-J.; Kim, K.-J. Design and validation of a slender guideway for Maglev vehicle by simulation and experiment. Veh. Syst. Dyn. 2016, 54, 370–385. [Google Scholar] [CrossRef]
- Song, Y.; Wang, Z.; Liu, Z.; Wang, R. A spatial coupling model to study dynamic performance of pantograph-catenary with vehicle-track excitation. Mech. Syst. Signal Process. 2021, 151, 107336. [Google Scholar] [CrossRef]
- Zhang, L.; Huang, J.Y. Dynamic interaction analysis of the high-speed maglev vehicle/guideway system based on a feld measurement and model updating method. Eng. Struct. 2019, 180, 1–17. [Google Scholar] [CrossRef]
- Zangeneh, A.; Museros, P.; Pacoste, C.; Karoumi, R. Free vibration of viscoelastically supported beam bridges under moving loads: Closed-form formula for maximum resonant response. Eng. Struct. 2021, 244, 112759. [Google Scholar] [CrossRef]
- Dai, J.; Abrahamsen, B.C.; Viuf, T.; Leira, B.J. Effect of wave-current interaction on a long ford-crossing floating pontoon bridge. Eng. Struct. 2022, 266, 114549. [Google Scholar] [CrossRef]
- Xia, G.Y.; Shu, W.Y.; Stanciulescu, I. Analytical and numerical studies on the slope inertia-based Timoshenko beam. J. Sound Vib. 2020, 473, 115227. [Google Scholar] [CrossRef]
- Dai, J.; Ang, K.K. Steady-state response of a curved beam on a viscously damped foundation subjected to a sequence of moving loads. Proc. Inst. Mech. Eng. Part. F J. Rail Rapid Transit. 2015, 229, 375–394. [Google Scholar] [CrossRef]
- Koh, C.G.; Ong, J.S.T.; Chua, D.K.H.; Feng, J. Moving element method for train-track dynamics. Int. J. Numer. Methods Eng. 2003, 56, 1549–1567. [Google Scholar] [CrossRef]
- Dimitrovová, Z. Two-layer model of the railway track: Analysis of the critical velocity and instability of two moving proximate masses. Int. J. Mech. Sci. 2022, 217, 107042. [Google Scholar] [CrossRef]
- Li, X.; Geng, J.; Wang, D. Dynamic responses of low medium speed maglev train-simply supported beam interaction system. Urban Rail Transit 2017, 3, 136–141. [Google Scholar] [CrossRef]
- Luong, V.H.; Cao, T.N.T.; Reddy, J.N.; Ang, K.K.; Tran, M.T.; Dai, J. Static and dynamic analyses of Mindlin plates resting on viscoelastic foundation by using moving element method. Int. J. Struct. Stab. Dyn. 2018, 18, 1850131. [Google Scholar] [CrossRef]
- Dai, J.; Ang, K.K.; Tran, M.T.; Luong, V.H.; Jiang, D. Moving element analysis of discretely supported high-speed rail systems. J. Rail Rapid Transit 2018, 232, 783–797. [Google Scholar] [CrossRef]
- Dai, J.; Han, M.; Ang, K.K. Moving element analysis of partially filled freight trains subject to abrupt braking. Int. J. Mech. Sci. 2019, 151, 85–94. [Google Scholar] [CrossRef]
- Hu, W.; Xu, M.; Zhang, F.; Xiao, C.; Deng, Z. Dynamic analysis of flexible hub-beam with step-variable cross-section. Mech. Syst. Signal Process. 2022, 180, 109423. [Google Scholar] [CrossRef]
- Huai, Y.; Hu, W.; Song, W.; Zheng, Y.; Deng, Z. Magnetic-field-responsive property of Fe3O4/polyaniline solvent-free nanofluid. Phys. Fluids 2023, 35, 01200125. [Google Scholar] [CrossRef]
- Dai, J.; Lim, J.G.Y.; Ang, K.K. Dynamic Response Analysis of High-Speed Maglev-Guideway System. J. Vib. Eng. Technol. 2023, 11, 2647–2658. [Google Scholar] [CrossRef]
- Ha, H.; Park, J.; Park, K.S. Advanced numerical analysis for vibration characteristics and ride comfort of ultra-high-speed maglev train. Microsyst. Technol. 2020, 26, 183–193. [Google Scholar] [CrossRef]
- Shi, J.; Fang, W.-S.; Wang, Y.-J.; Zhao, Y. Measurements and analysis of track irregularities on high speed Maglev lines. J. Zhejiang Univ. A 2014, 15, 385–394. [Google Scholar] [CrossRef]
- Wang, X.; Song, Y.; Yang, H.; Wang, H.; Lu, B.; Liu, Z. A time-frequency dual-domain deep learning approach for high-speed pantograph–catenary dynamic performance prediction. Mech. Syst. Signal Process. 2025, 238, 113258. [Google Scholar] [CrossRef]
- Tian, X.-F.; Xiang, H.-Y.; Chen, X.-L.; Li, Y.-L. Dynamic response analysis of high-speed maglev train–guideway system under crosswinds. J. Cent. South Univ. 2023, 30, 2261–2275. [Google Scholar] [CrossRef]
- Li, Z.; Wang, X.; Ding, Y.; Wang, J.; Liu, P.; Deng, Z. Study on the Dynamics Characteristics of HTS Maglev Train Considering the Aerodynamic Loads under Crosswinds. Sustainability 2023, 15, 16511. [Google Scholar] [CrossRef]
- Yan, Y.F.; Zhao, Y.H.; Zhang, Y.Z.; Wang, M.Q. Aerodynamic Performance of High-Speed Maglev Trains Under Crosswind Conditions: A Computational Simulation Study. J. Innov. Infrastruct. 2023, 1, 241–251. [Google Scholar] [CrossRef]
- Huang, Z.-D.; Kong, W.-K.; Wang, S.-M.; Zhou, Z.-B.; Ni, Y.-Q.; Chang, N. Dynamic and Stability Analysis of High-Speed Maglev Train–Guideway Coupled System under Crosswind. J. Sound Vib. 2025, 609, 119092. [Google Scholar] [CrossRef]
- Huang, J.Y.; Zhang, L. Dynamic simulation and analysis of a high-speed maglev train/guideway interaction system. In Advances in Environmental Vibration and Transportation Geodynamics; Lecture Notes in Civil Engineering; Tutumluer, E., Chen, X., Xiao, Y., Eds.; Springer: Berlin/Heidelberg, Germany, 2020; Volume 66, pp. 505–526. [Google Scholar]
- Dimitrovová, Z. Tailoring a Three-Layer Track Model to Delay Instability and Minimize Critical Velocity Effects at Very High Velocities. Infrastructures 2025, 10, 200. [Google Scholar] [CrossRef]
- Anand, R.; Tripathi, S.; De Oliveira, C.C.; Malla, R.B. Field-Test-Driven Sensitivity Analysis and Model Updating of Aging Railroad Bridge Structures Using Genetic Algorithm Optimization Approach. Infrastructures 2025, 10, 195. [Google Scholar] [CrossRef]
- Shi, J.; Wang, Y.-J. Dynamic response analysis of single span guideway caused by high speed maglev train. Lat. Am. J. Solids Struct. 2011, 8, 213–228. [Google Scholar] [CrossRef]
- Saadat, S.; Sherrock, E.; Zahaczewski, J. Autonomous Track Geometry Measurement Technology Design, Development, and Testing; Federal Railroad Administration, Office of Research, Development, and Technology: Washington, DC, USA, 2018.
- Wang, W.; Song, Y.; Xu, J.; Xu, Z.; Liu, Z. Track Irregularity Prediction and Effect on the Dynamic Response of the 600 km/h Maglev System. IEEE Trans. Veh. Technol. 2025. [Google Scholar] [CrossRef]
- Loprencipe, G.; Zoccali, P. Use of generated artificial road profiles in road roughness evaluation. J. Mod. Transport. 2017, 25, 24–33. [Google Scholar] [CrossRef]
- Song, Y.; Liu, Z.G.; Rønnquist, A.; Navik, P.; Liu, Z.D. Contact Wire Irregularity Stochastics and Effect on High-Speed Railway Pantograph–Catenary Interactions. IEEE Trans. Instrum. Meas. 2020, 69, 8196–8206. [Google Scholar] [CrossRef]
- Eisenbahn-Bundesamt. Magnetschnellbahn Ausführungsgrundlage: Fahrzeug Teil II; Eisenbahn-Bundesamt: Bonn, Germany, 2007. [Google Scholar]




















| Parameter | Value | Parameter | Value |
|---|---|---|---|
| 39,000 kg | 1000 kg | ||
| Parameter | Value | Parameter | Value |
|---|---|---|---|
| L | 25 m | 6000 kg/m | |
| EI | |||
| A | B | C | D | E | F | G |
|---|---|---|---|---|---|---|
| Upper Boundary | Lower Boundary | |
|---|---|---|
| 200 km/h | 587.85% | 157.06% |
| 300 km/h | 533.04% | 156.64% |
| 400 km/h | 544.10% | 130.34% |
| 500 km/h | 592.22% | 192.69% |
| 600 km/h | 322.70% | 69.54% |
Disclaimer/Publisher’s Note: The statements, opinions and data contained in all publications are solely those of the individual author(s) and contributor(s) and not of MDPI and/or the editor(s). MDPI and/or the editor(s) disclaim responsibility for any injury to people or property resulting from any ideas, methods, instructions or products referred to in the content. |
© 2025 by the authors. Licensee MDPI, Basel, Switzerland. This article is an open access article distributed under the terms and conditions of the Creative Commons Attribution (CC BY) license (https://creativecommons.org/licenses/by/4.0/).
Share and Cite
Qin, T.; Kong, D.; Song, Y.; Pan, L.; Zhang, C. Effect of Stochastic Guideway Irregularity on Dynamic Performance of Maglev Train. Infrastructures 2025, 10, 285. https://doi.org/10.3390/infrastructures10110285
Qin T, Kong D, Song Y, Pan L, Zhang C. Effect of Stochastic Guideway Irregularity on Dynamic Performance of Maglev Train. Infrastructures. 2025; 10(11):285. https://doi.org/10.3390/infrastructures10110285
Chicago/Turabian StyleQin, Tian, Deqiu Kong, Yang Song, Like Pan, and Cheng Zhang. 2025. "Effect of Stochastic Guideway Irregularity on Dynamic Performance of Maglev Train" Infrastructures 10, no. 11: 285. https://doi.org/10.3390/infrastructures10110285
APA StyleQin, T., Kong, D., Song, Y., Pan, L., & Zhang, C. (2025). Effect of Stochastic Guideway Irregularity on Dynamic Performance of Maglev Train. Infrastructures, 10(11), 285. https://doi.org/10.3390/infrastructures10110285

