Sensorless Control of SPM Motor for e-Bike Applications Using Second-Order Integrator Flux Observer
Abstract
1. Introduction
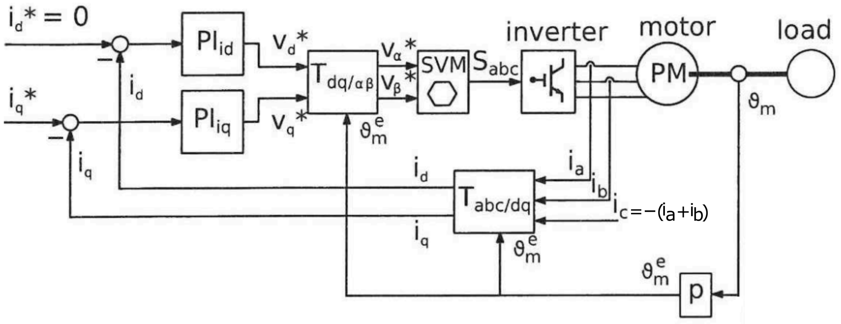
2. Standard Control of SPM Motor
2.1. Surface-Mounted Permanent Magnet Motor
2.2. Field-Oriented Control
2.3. Space Vector Modulation
3. Methodology
3.1. Current Loop Design
3.2. Sensorless Algorithm
Back-Emf
3.3. Frequency-Locked Loop
3.4. Phase-Locked Loop Analysis
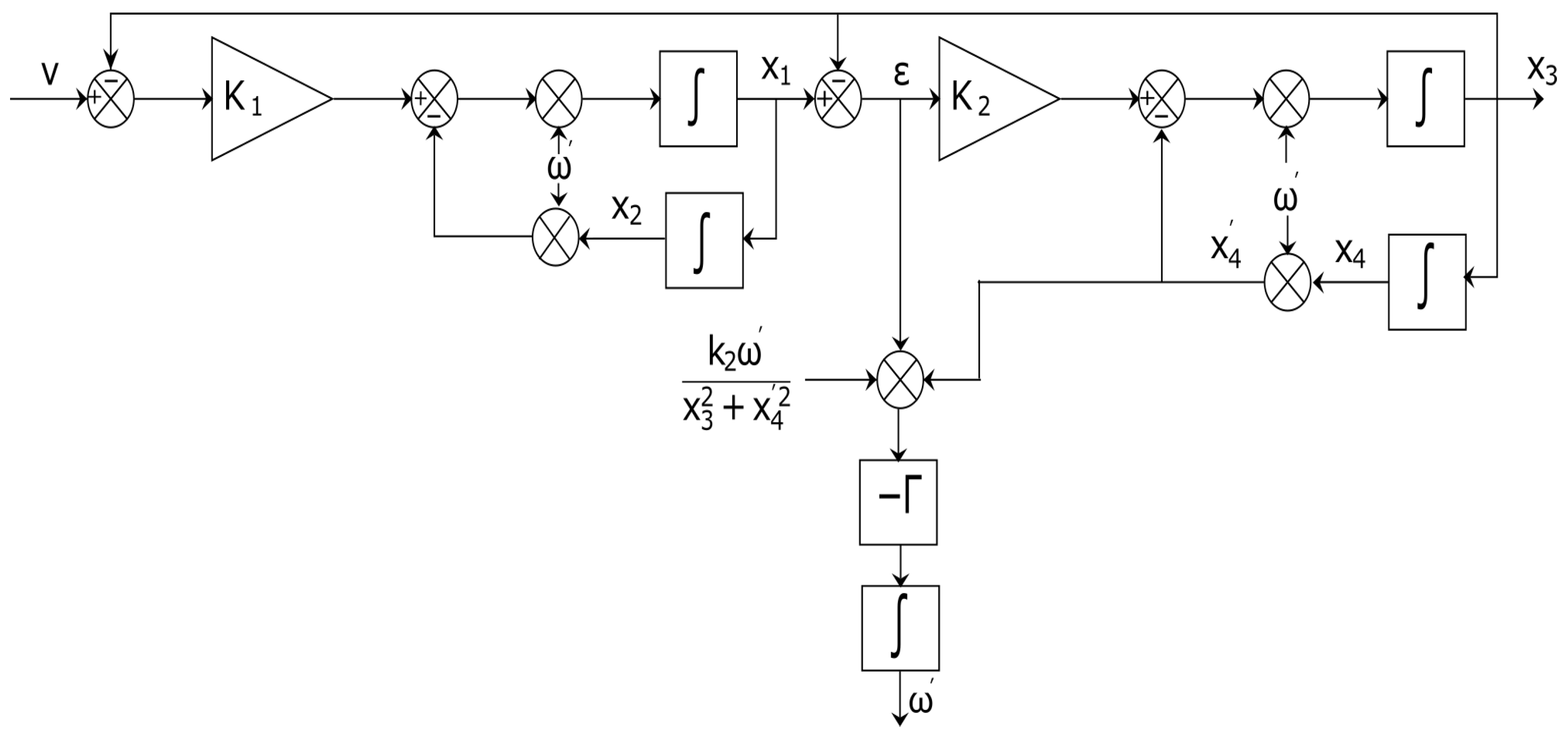
3.5. Second-Order Integral Flux Observer Architecture
3.6. Quadrature Signal Generator (QSG)–Phase-Locked Loop

4. Experimental Results
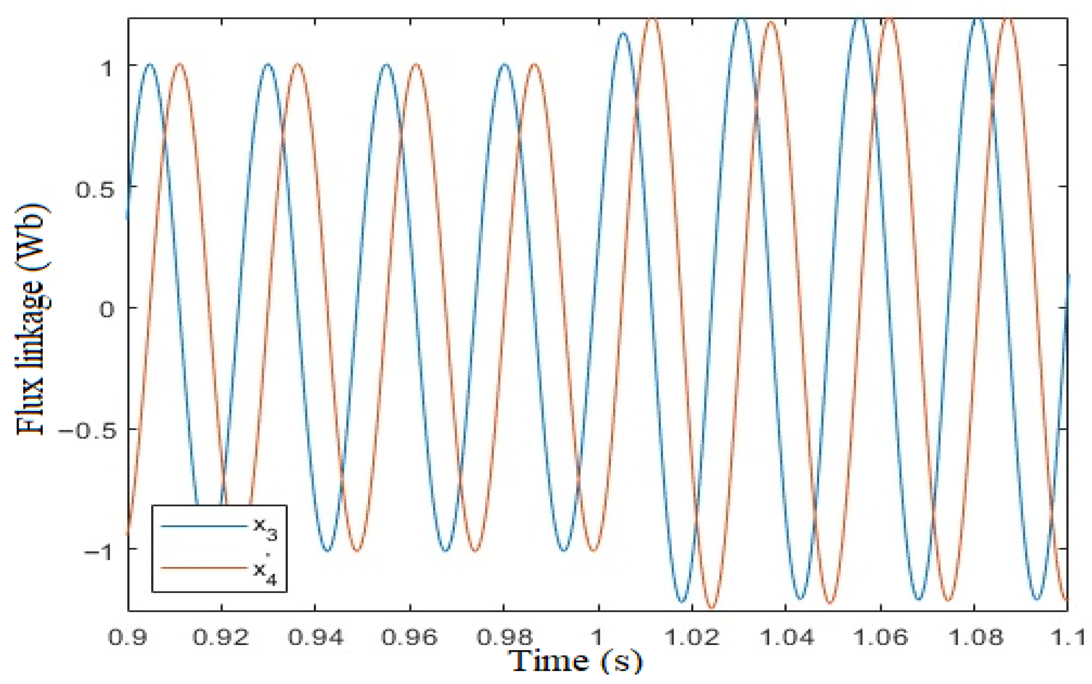
4.1. Second-Order–Second-Order Generalized Integrator Dynamic
4.2. Second-Order–Second-Order Generalized Integrator Filtering
4.3. Quadrature Signal Generator–Phase-Locked Loop
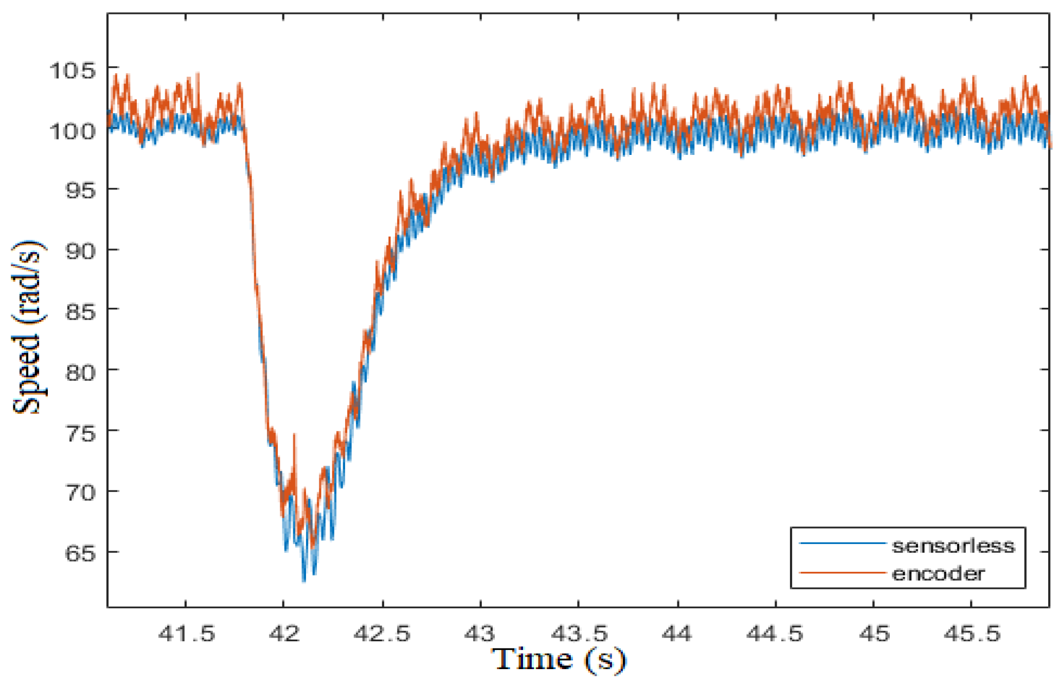
4.4. Steady State
- Low speed: , which is about ;
- Medium speed: , which is about .
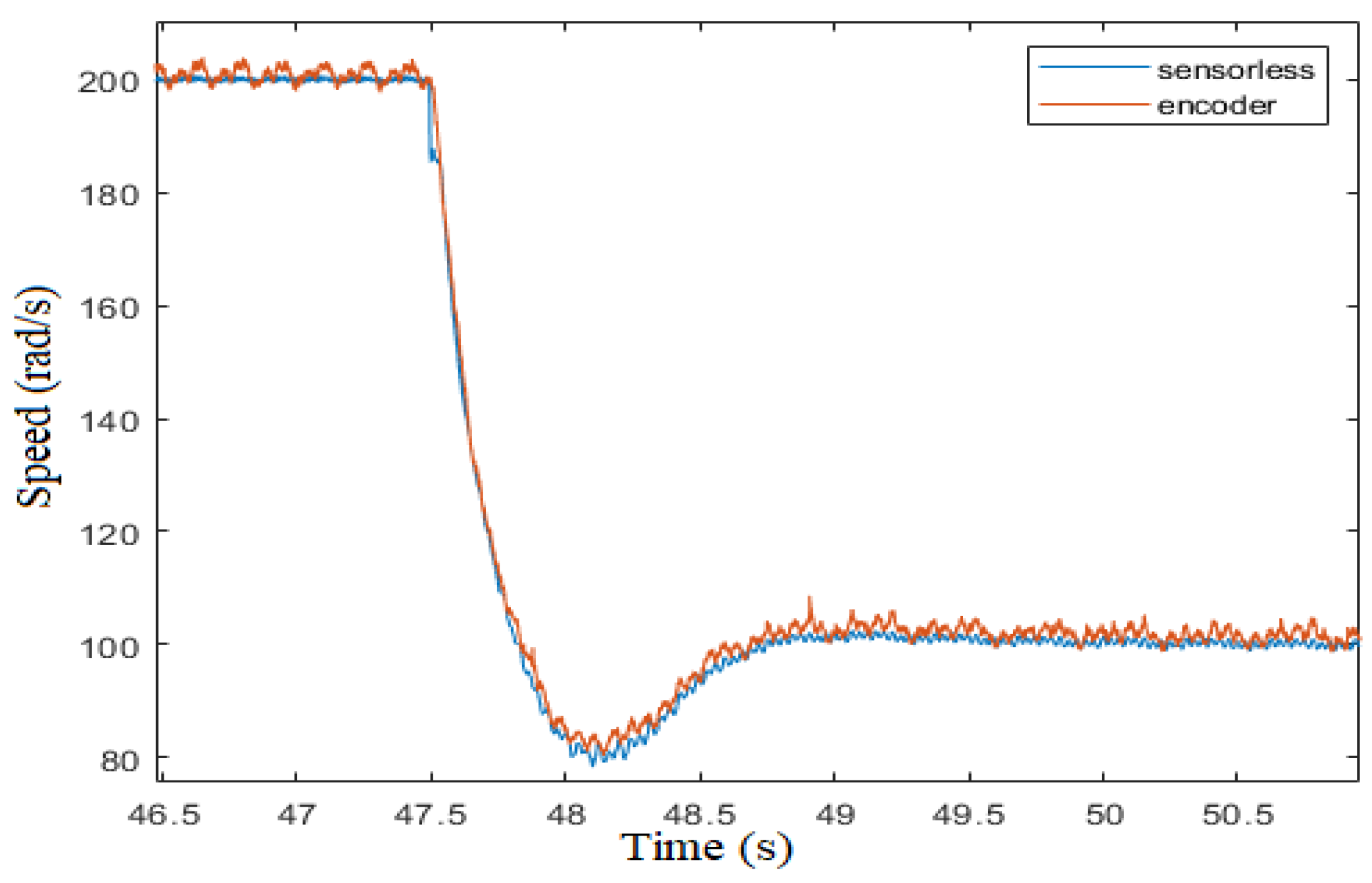
4.5. Dynamic
5. Conclusions
Author Contributions
Funding
Data Availability Statement
Acknowledgments
Conflicts of Interest
Abbreviations
| EVs | Electric vehicles |
| PM | Permanent magnet |
| SPM | Surface-mounted permanent magnet |
| FOC | Field-oriented control |
| EMF | Electromotive force |
| SVM | Space vector modulation |
| SOIFO | Second-order integral flux observer |
| SO-SOGI | Second-order–second-order generalized integral |
| PI | Proportional integral |
| FLL | Frequency-locked loop |
| PLL | Phase-locked loop |
| QSG-PLL | Quadrature signal generated–phase-locked loop |
References
- Vagati, A.; Pellegrino, G.; Guglielmi, P. Comparison between SPM and IPM motor drives for EV application. In Proceedings of the XIX International Conference on Electrical Machines—ICEM 2010, Rome, Italy, 6–8 September 2010; pp. 1–6. [Google Scholar]
- Bianchi, N.; Bolognani, S.; Frare, P. Design criteria for high-efficiency SPM synchronous motors. IEEE Trans. Energy Convers. 2006, 21, 396–404. [Google Scholar] [CrossRef]
- Vu, N.T.; Choi, H.H.; Kim, R.Y.; Jung, J.W. Robust speed control method for permanent magnet synchronous motor. IET Electr. Power Appl. 2012, 6, 399–411. [Google Scholar] [CrossRef]
- Xin, Z.; Wang, X.; Qin, Z.; Lu, M.; Loh, P.C.; Blaabjerg, F. An improved second-order generalized integrator based quadrature signal generator. IEEE Trans. Power Electron. 2016, 31, 8068–8073. [Google Scholar] [CrossRef]
- Rudnicki, T. Measurement of the PMSM shaft position with an absolute encoder. Electronics 2019, 8, 1229. [Google Scholar] [CrossRef]
- Park, B.D.; Kim, S.J.; Moon, J.H.; Kang, D.W.; Go, S.C.; Su, K.H. Study on Compensation Method of Encoder Pulse Errors for Permanent Magnet Synchronous Motor Control. Mathematics 2024, 12, 3019. [Google Scholar] [CrossRef]
- Ji, R.; Liu, K.; Wang, Y.; Sohel, R.M. High-Precision Low-Speed Measurement for Permanent Magnet Synchronous Motors Using an Improved Extended State Observer. World Electr. Veh. J. 2025, 16, 595. [Google Scholar] [CrossRef]
- Mukherjee, P.; Paitandi, S.; Sengupta, M. Sensorless speed control of a laboratory fabricated SPM-BLDC motor prototype. Sādhanā 2023, 48, 236. [Google Scholar] [CrossRef]
- Al Kassem Jebai, F.M.; Martin, P.; Rouchon, P. Sensorless position estimation of Permanent-Magnet Synchronous Motors using a saturation model. arXiv 2012, arXiv:1207.5743. [Google Scholar] [CrossRef]
- Lee, J.; Hong, J.; Nam, K.; Ortega, R.; Praly, L.; Astolfi, A. Sensorless control of surface-mount permanent-magnet synchronous motors based on a nonlinear observer. IEEE Trans. Power Electron. 2009, 25, 290–297. [Google Scholar]
- Shao, L.; Zheng, C.; Zhang, Y.; Xie, G.; Hao, X.; Zheng, X. Research on permanent magnet synchronous motor sensorless control system based on integral backstepping controller and enhanced linear extended state observer. Appl. Sci. 2023, 13, 1680. [Google Scholar] [CrossRef]
- Sun, L.; Li, X.; Chen, L. Motor Speed Control with Convex Optimization-Based Position Estimation in the Current Loop. IEEE Trans. Power Electron. 2021, 36, 10906–10919. [Google Scholar] [CrossRef]
- Xu, W.; Jiang, Y.; Mu, C.; Blaabjerg, F. Improved nonlinear flux observer-based second-order SOIFO for PMSM sensorless control. IEEE Trans. Power Electron. 2018, 34, 565–579. [Google Scholar] [CrossRef]
- Kommuri, S.K.; Veluvolu, K.C.; Defoort, M. Robust observer with higher-order sliding mode for sensorless speed estimation of a PMSM. In Proceedings of the 2013 European Control Conference (ECC), Zurich, Switzerland, 17–19 July 2013; pp. 4598–4603. [Google Scholar]
- Zeghlache, A.; Djerioui, A.; Mekki, H.; Zeghlache, S.; Benkhoris, M.F. Robust Sensorless PMSM Control with Improved Back-EMF Observer and Adaptive Parameter Estimation. Electronics 2025, 14, 1238. [Google Scholar] [CrossRef]
- Krishnan, R.; Isha, T.; Balakrishnan, P. A back-EMF based sensorless speed control of permanent magnet synchronous machine. In Proceedings of the 2017 International Conference on Circuit, Power and Computing Technologies (ICCPCT), Kollam, India, 20–21 April 2017; pp. 1–5. [Google Scholar]
- Tursini, M.; Petrella, R.; Scafati, A. Speed and position estimation for PM synchronous motor with back-EMF observer. In Proceedings of the Fourtieth IAS Annual Meeting, Conference Record of the 2005 Industry Applications Conference, Hong Kong, China, 2–6 October 2005; Volume 3, pp. 2083–2090. [Google Scholar]
- Wang, Z.; Lu, Q.; Ye, Y.; Lu, K.; Fang, Y. Investigation of PMSM Back-EMF using sensorless control with parameter variations and measurement errors. Prz. Elektrotechniczny 2012, 88, 182–186. [Google Scholar]
- Gao, J.; Wang, Y.; Xu, M.; Mi, Y. A novel rotor position observer for sensorless control of permanent magnet synchronous motor based on adaptive generalized second-order integrator. Machines 2022, 10, 751. [Google Scholar] [CrossRef]
- Liang, C.M.; Lin, Y.J.; Chen, J.Y.; Chen, G.R.; Yang, S.C. Sensorless lc filter implementation for permanent magnet machine drive using observer-based voltage and current estimation. Sensors 2021, 21, 3596. [Google Scholar] [CrossRef]
- Chen, Y.; Li, M.; Gao, Y.W.; Chen, Z.Y. A sliding mode speed and position observer for a surface-mounted PMSM. ISA Trans. 2019, 87, 17–27. [Google Scholar] [CrossRef] [PubMed]
- Ge, Y.; Yang, L.; Ma, X. Sensorless control of PMSM using generalized extended state observer and adaptive resistance estimation. IET Electr. Power Appl. 2020, 14, 2062–2073. [Google Scholar] [CrossRef]
- Liu, H.; Li, G. Rotor position and speed estimation method for magnetically suspended pmsm based on modified sliding mode observer. In Proceedings of the 2016 International Conference on Mechatronics, Control and Automation Engineering, Bangkok, Thailand, 24–25 July 2016; pp. 210–214. [Google Scholar]
- Pillay, P.; Krishnan, R. Modeling, simulation, and analysis of permanent-magnet motor drives. I. The permanent-magnet synchronous motor drive. IEEE Trans. Ind. Appl. 1989, 25, 265–273. [Google Scholar] [CrossRef]
- Liu, J.; Chen, W. Generalized DQ model of the permanent magnet synchronous motor based on extended park transformation. In Proceedings of the 2013 1st International Future Energy Electronics Conference (IFEEC), Tainan, Taiwan, 3–6 November 2013; pp. 885–890. [Google Scholar]
- Malrait, F.; Martin, P.; Rouchon, P. Estimation of saturation of permanent-magnet synchronous motors through an energy-based model. In Proceedings of the 2011 IEEE International Electric Machines & Drives Conference (IEMDC), Niagara Falls, ON, Canada, 15–18 May 2011; pp. 1316–1321. [Google Scholar]
- Zhang, Y.; Zhao, C.; Dai, B.; Li, Z. Dynamic Simulation of Permanent Magnet Synchronous Motor (PMSM) Electric Vehicle Based on Simulink. Energies 2022, 15, 1134. [Google Scholar] [CrossRef]
- Beser, E.K. Electrical equivalent circuit for modelling permanent magnet synchronous motors. J. Electr. Eng. 2021, 72, 176–183. [Google Scholar] [CrossRef]
- Abu-Rub, H.; Iqbal, A.; Guzinski, J. High Performance Control of AC Drives with Matlab/Simulink; John Wiley & Sons: Hoboken, NJ, USA, 2021. [Google Scholar]
- Jiang, Y.; Xu, W.; Mu, C. Improved SOIFO-based rotor flux observer for PMSM sensorless control. In Proceedings of the IECON 2017-43rd Annual Conference of the IEEE Industrial Electronics Society, Beijing, China, 29 October–1 November 2017; pp. 8219–8224. [Google Scholar]
- Yan, M.; Wen, B.; Cui, Q.; Peng, X. Parameter Identification for Maximum Torque per Ampere Control of Permanent Magnet Synchronous Machines under Magnetic Saturation. Electronics 2024, 13, 699. [Google Scholar] [CrossRef]
- Li, C.; Zhang, W.; Gao, J.; Huang, S. Permanent magnet flux linkage analysis and maximum torque per ampere (MTPA) control of high saturation IPMSM. Energies 2023, 16, 4717. [Google Scholar] [CrossRef]
- Wang, S.; Wang, X. A PINN-Based Nonlinear PMSM Electromagnetic Model Using Differential Inductance Theory. Appl. Sci. 2025, 15, 7162. [Google Scholar] [CrossRef]
- Horváth, K. Load torque and permanent magnet flux linkage estimation of surface-mounted PMSM by using unscented Kalman filter. In Proceedings of the 2023 International Conference on Electrical Drives and Power Electronics (EDPE), The High Tatras, Slovakia, 25–27 September 2023; pp. 1–8. [Google Scholar]
- Srinivasan, K.; Delgado, F.P.; Hofmann, H.; Sun, J. Nonlinear Magnetics Model for Permanent Magnet Synchronous Machines Capturing Saturation and Temperature Effects. IEEE Trans. Energy Convers. 2025, 99, 1–14. [Google Scholar]
- Teodorescu, R.; Liserre, M.; Rodriguez, P. Grid Synchronization in Singlephase Power Converters; Wiley: Hoboken, NJ, USA, 2007. [Google Scholar]
- Schenke, M.; Wallscheid, O. A deep Q-learning direct torque controller for permanent magnet synchronous motors. IEEE Open J. Ind. Electron. Soc. 2021, 2, 388–400. [Google Scholar] [CrossRef]
- Öztürk, N.; Celik, E. Speed control of permanent magnet synchronous motors using fuzzy controller based on genetic algorithms. Int. J. Electr. Power Energy Syst. 2012, 43, 889–898. [Google Scholar] [CrossRef]
- Devi, G.R.; Rajambal, K. Novel space vector pulse width modulation technique for 5-Phase voltage source inverter. In Proceedings of the 2018 IEEE International Conference on System, Computation, Automation and Networking (ICSCA), Pondicherry, India, 6–7 July 2018; pp. 1–9. [Google Scholar]
- Tang, C.; Zhao, J.; Thiringer, T. A Comparative Analysis of Space Vector Modulation Based Common Mode Voltage Reduction Strategies in a Modular Multilevel Converter. IEEE Access 2024, 12, 192721–192730. [Google Scholar] [CrossRef]
- Man, Z.; Zhao, L.; Zheng, T.; Cheng, S.; Yan, W.; Zhong, G.; Lu, Y.; Zhang, W.; Zhang, L. A Low Common-Mode Voltage Virtual Space Vector Modulation of Three-Level Converters for Doubly-Fed Variable-Speed Pumped Storage Systems. Energy Eng. J. Assoc. Energy Eng. 2025, 122, 3555. [Google Scholar] [CrossRef]
- Tawfiq, K.B.; Sergeant, P.; Mansour, A.S. Comparative Analysis of Space Vector Pulse-Width Modulation Techniques of Three-Phase Inverter to Minimize Common Mode Voltage and/or Switching Losses. Mathematics 2024, 12, 2832. [Google Scholar] [CrossRef]
- Jing, M.; Xia, Y.; Zhang, B. Research on Two Improved High–Voltage–Transfer–Ratio Space–Vector Pulse–Width–Modulation Strategies Applied to Five–Phase Inverter. Electronics 2024, 13, 1546. [Google Scholar] [CrossRef]
- Ben Mahmoud, Z.; Khedher, A. A Comprehensive Review on Space Vector Based-PWM Techniques for Common Mode Voltage Mitigation in Photovoltaic Multi-Level Inverters. Energies 2024, 17, 916. [Google Scholar] [CrossRef]
- Zhou, J.; Li, S.; Zhang, J.; Fang, T.; Zhang, X. Research on space vector overmodulation technology of two-level PWM converters. Energies 2022, 15, 7086. [Google Scholar] [CrossRef]
- Lee, Y.H.; Hsieh, M.F. Swiveling Magnetization for Anisotropic Magnets for Variable Flux Spoke-Type Permanent Magnet Motor Applied to Electric Vehicles. Energies 2022, 15, 3825. [Google Scholar] [CrossRef]
- Shen, H.; Luo, X.; Liang, G.; Shen, A. A robust dynamic decoupling control scheme for PMSM current loops based on improved sliding mode observer. J. Power Electron. 2018, 18, 1708–1719. [Google Scholar]
- Song, Y.; Song, Z.; Yao, X. Permanent Magnet Synchronous Motor Control Based on New Sliding Mode Observer. J. Phys. Conf. Ser. 2022, 2218, 012058. [Google Scholar] [CrossRef]
- Huang, Y.; Tao, T.; Liu, Y.; Chen, K.; Yang, F. DSC-FLL based sensorless control for permanent magnet synchronous motor. Prog. Electromagn. Res. M 2020, 98, 171–181. [Google Scholar] [CrossRef]
- Zheng, Y.; Chang, Y.; Liu, D.; Wang, H.; Zuo, Y.; Ge, X. Sensorless Control of Permanent Magnet Synchronous Motor Based on Finite-Position-Set-Phase-Locked Loop. In Proceedings of the 2022 IEEE 5th International Electrical and Energy Conference (CIEEC), Nanjing, China, 27–29 May 2022; pp. 2790–2795. [Google Scholar]

























| Parameter | Symbol | Value | Unit |
|---|---|---|---|
| Pole number | 10 | - | |
| PM flux linkage | 0.0144 | Vs | |
| Winding resistance | 0.222 | Ω | |
| Winding inductance | 0.25 | mH | |
| Nominal speed | 2500 | rpm | |
| Nominal torque | 2 | Nm |
Disclaimer/Publisher’s Note: The statements, opinions and data contained in all publications are solely those of the individual author(s) and contributor(s) and not of MDPI and/or the editor(s). MDPI and/or the editor(s) disclaim responsibility for any injury to people or property resulting from any ideas, methods, instructions or products referred to in the content. |
© 2025 by the authors. Licensee MDPI, Basel, Switzerland. This article is an open access article distributed under the terms and conditions of the Creative Commons Attribution (CC BY) license.
Share and Cite
Abdin, A.; Bianchi, N. Sensorless Control of SPM Motor for e-Bike Applications Using Second-Order Integrator Flux Observer. Designs 2026, 10, 2. https://doi.org/10.3390/designs10010002
Abdin A, Bianchi N. Sensorless Control of SPM Motor for e-Bike Applications Using Second-Order Integrator Flux Observer. Designs. 2026; 10(1):2. https://doi.org/10.3390/designs10010002
Chicago/Turabian StyleAbdin, Abdin, and Nicola Bianchi. 2026. "Sensorless Control of SPM Motor for e-Bike Applications Using Second-Order Integrator Flux Observer" Designs 10, no. 1: 2. https://doi.org/10.3390/designs10010002
APA StyleAbdin, A., & Bianchi, N. (2026). Sensorless Control of SPM Motor for e-Bike Applications Using Second-Order Integrator Flux Observer. Designs, 10(1), 2. https://doi.org/10.3390/designs10010002

