Is Cardiopulmonary Fitness Related to Attention, Concentration, and Academic Performance in Different Subjects in Schoolchildren?
Abstract
1. Introduction
2. Materials and Methods
2.1. Participants
2.2. Measures and Instruments
2.2.1. Physical Fitness
2.2.2. D2 Test
2.3. Procedures
2.4. Statistical Analysis
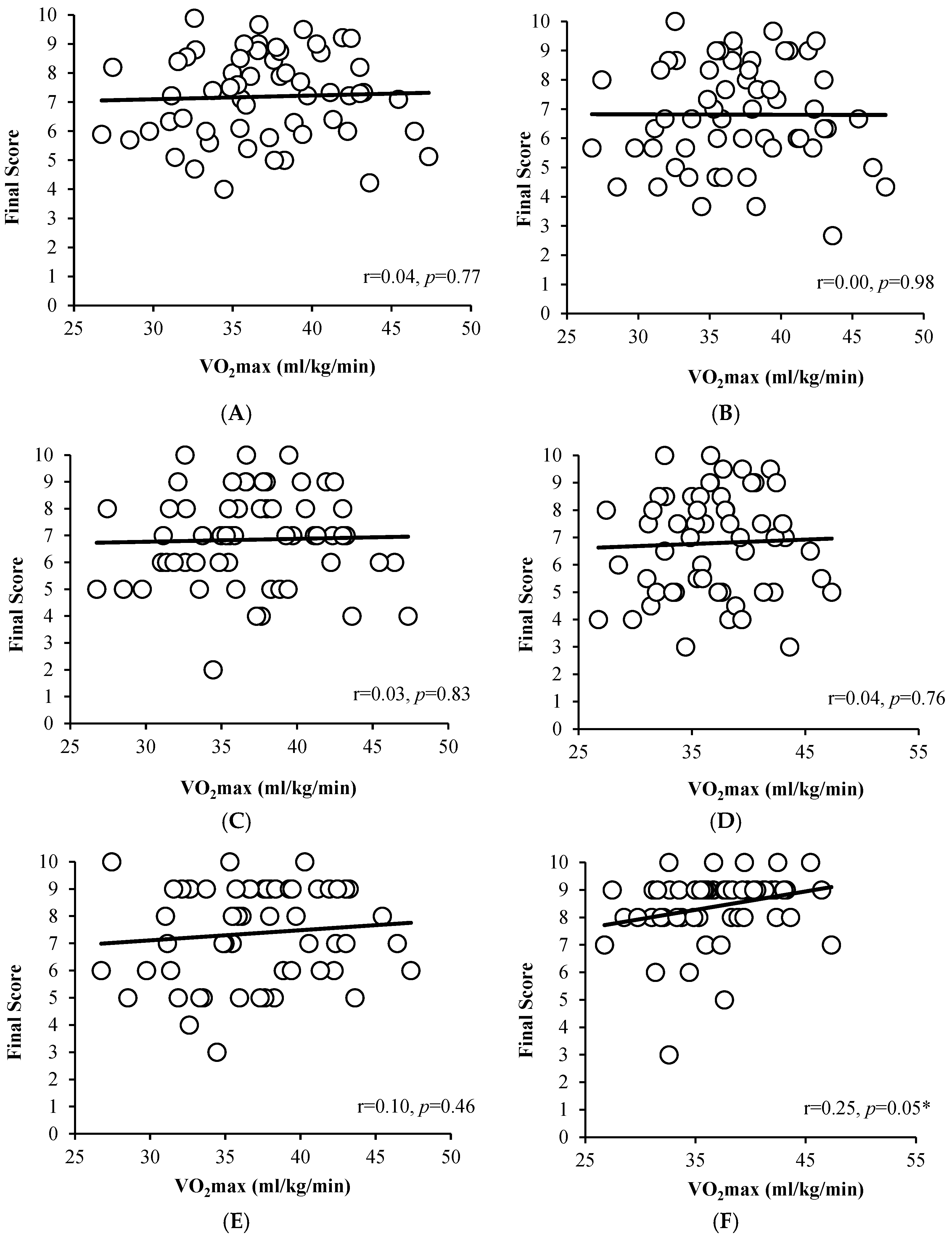
3. Results
4. Discussion
5. Conclusions
Author Contributions
Funding
Institutional Review Board Statement
Informed Consent Statement
Data Availability Statement
Conflicts of Interest
Abbreviations
| ART | Arts |
| LAN | Language |
| LETT | Letters |
| SCI | Science |
| PA | Physical activity |
| PE | Physical education |
References
- Kvalø, S.E.; Natlandsmyr, I.K. The Effect of Physical-Activity Intervention on Children’s Health-Related Quality of Life. Scand. J. Public. Health 2021, 49, 539–545. [Google Scholar] [CrossRef] [PubMed]
- Murphy, M.; Boardman, F.; Robertson, W.; Johnson, R. Children’s Perspectives and Experiences of Health, Diet, Physical Activity and Weight in an Urban, Multi-Ethnic UK Population: A Qualitative Study. Child. Care Health Dev. 2021, 47, 597–607. [Google Scholar] [CrossRef]
- Proia, P.; Amato, A.; Drid, P.; Korovljev, D.; Vasto, S.; Baldassano, S. The Impact of Diet and Physical Activity on Bone Health in Children and Adolescents. Front. Endocrinol. 2021, 12, 704647. [Google Scholar] [CrossRef]
- Christian, H.; Maitland, C.; Enkel, S.; Trapp, G.; Trost, S.G.; Schipperijn, J.; Boruff, B.; Lester, L.; Rosenberg, M.; Zubrick, S.R. Influence of the Day Care, Home and Neighbourhood Environment on Young Children’s Physical Activity and Health: Protocol for the PLAYCE Observational Study. BMJ Open 2016, 6, e014058. [Google Scholar] [CrossRef] [PubMed]
- Janssen, X.; Martin, A.; Hughes, A.R.; Hill, C.M.; Kotronoulas, G.; Hesketh, K.R. Associations of Screen Time, Sedentary Time and Physical Activity with Sleep in under 5s: A Systematic Review and Meta-Analysis. Sleep Med. Rev. 2020, 49, 101226. [Google Scholar] [CrossRef]
- Hasanen, E.; Koivukoski, H.; Kortelainen, L.; Vehmas, H.; Sääkslahti, A. Sociodemographic Correlates of Parental Co-Participation in Digital Media Use and Physical Play of Preschool-Age Children. Int. J. Environ. Res. Public Health 2021, 18, 5903. [Google Scholar] [CrossRef] [PubMed]
- Domoff, S.E.; Borgen, A.L.; Foley, R.P.; Maffett, A. Excessive Use of Mobile Devices and Children’s Physical Health. Hum. Behav. Emerg. Technol. 2019, 1, 69–175. [Google Scholar] [CrossRef]
- Gall, S.; Walter, C.; du Randt, R.; Adams, L.; Joubert, N.; Müller, I.; Nqweniso, S.; Pühse, U.; Seelig, H.; Smith, D.; et al. Changes in Self-Reported Physical Activity Predict Health-Related Quality of Life Among South African Schoolchildren: Findings From the DASH Intervention Trial. Front. Public Health 2020, 8, 492618. [Google Scholar] [CrossRef]
- Loprinzi, P.D.; Cardinal, B.J.; Loprinzi, K.L.; Lee, H. Benefits and Environmental Determinants of Physical Activity in Children and Adolescents. Obes. Facts 2012, 5, 597–610. [Google Scholar] [CrossRef]
- Masini, A.; Gori, D.; Marini, S.; Lanari, M.; Scrimaglia, S.; Esposito, F.; Campa, F.; Grigoletto, A.; Ceciliani, A.; Toselli, S.; et al. The Determinants of Health-Related Quality of Life in a Sample of Primary School Children: A Cross-Sectional Analysis. Int. J. Environ. Res. Public. Health 2021, 18, 3251. [Google Scholar] [CrossRef]
- Drozdowska, A.; Falkenstein, M.; Jendrusch, G.; Platen, P.; Lücke, T.; Kersting, M.; Sinningen, K. Interrelations of Physical Fitness and Cognitive Functions in German Schoolchildren. Children 2021, 8, 669. [Google Scholar] [CrossRef] [PubMed]
- McWhannell, N.; Foweather, L.; Graves, L.E.F.; Henaghan, J.L.; Ridgers, N.D.; Stratton, G. From Surveillance to Intervention: Overview and Baseline Findings for the Active City of Liverpool Active Schools and Sportslinx (A-CLASS) Project. Int. J. Environ. Res. Public Health 2018, 15, 582. [Google Scholar] [CrossRef] [PubMed]
- McPherson, A.; Mackay, L.; Kunkel, J.; Duncan, S. Physical Activity, Cognition and Academic Performance: An Analysis of Mediating and Confounding Relationships in Primary School Children. BMC Public Health 2018, 18, 936. [Google Scholar] [CrossRef]
- Köble, K.; Postler, T.; Oberhoffer-Fritz, R.; Schulz, T. A Better Cardiopulmonary Fitness Is Associated with Improved Concentration Level and Health-Related Quality of Life in Primary School Children. J. Clin. Med. 2022, 11, 1326. [Google Scholar] [CrossRef]
- Caamaño-Navarrete, F.; Latorre-Román, P.Á.; Párraga-Montilla, J.; Jerez-Mayorga, D.; Delgado-Floody, P. Selective Attention and Concentration Are Related to Lifestyle in Chilean Schoolchildren. Children 2021, 8, 856. [Google Scholar] [CrossRef]
- Hsieh, S.-S.; Raine, L.B.; Ortega, F.B.; Hillman, C.H. The Role of Chronic Physical Activity in Alleviating the Detrimental Relationship of Childhood Obesity on Brain and Cognition. J. Cogn. Enhanc. 2022, 6, 248–271. [Google Scholar] [CrossRef]
- Chacón-Cuberos, R.; Zurita-Ortega, F.; Ramírez-Granizo, I.; Castro-Sánchez, M. Physical Activity and Academic Performance in Children and Preadolescents: A Systematic Review. Apunt. Educ. Fis. Y Deport. 2020, 139, 1–9. [Google Scholar] [CrossRef]
- Pfledderer, C.D.; Brusseau, T.A. Associations Among K–12 Student Outcomes, National Standards, and Physical Education Curricular Models: A Systematic Review. Res. Q. Exerc. Sport. 2021, 92, 222–234. [Google Scholar] [CrossRef]
- Mullender-Wijnsma, M.J.; Hartman, E.; de Greeff, J.W.; Bosker, R.J.; Doolaard, S.; Visscher, C. Improving Academic Performance of School-Age Children by Physical Activity in the Classroom: 1-Year Program Evaluation. J. Sch. Health 2015, 85, 365–371. [Google Scholar] [CrossRef]
- Muntaner-Mas, A.; Morales, J.S.; Martínez-de-Quel, Ó.; Lubans, D.R.; García-Hermoso, A. Acute Effect of Physical Activity on Academic Outcomes in School-Aged Youth: A Systematic Review and Multivariate Meta-Analysis. Scand. J. Med. Sci. Sports 2024, 34, e14479. [Google Scholar] [CrossRef]
- Alghadir, A.H.; Gabr, S.A.; Iqbal, Z.A. Effect of Gender, Physical Activity and Stress-Related Hormones on Adolescent’s Academic Achievements. Int. J. Environ. Res. Public Health 2020, 17, 4143. [Google Scholar] [CrossRef]
- Krafft, C.E.; Schwarz, N.F.; Chi, L.; Weinberger, A.L.; Schaeffer, D.J.; Pierce, J.E.; Rodrigue, A.L.; Yanasak, N.E.; Miller, P.H.; Tomporowski, P.D.; et al. An 8-Month Randomized Controlled Exercise Trial Alters Brain Activation during Cognitive Tasks in Overweight Children. Obesity 2014, 22, 20518. [Google Scholar] [CrossRef] [PubMed]
- World Health Organization. WHO Guidelines on Physical Activity and Sedentary Behaviour, Web Annex, Evidence Profiles; WHO: Geneva, Switzerland, 2020. [Google Scholar] [CrossRef]
- Lima, R.A.; Soares, F.C.; Bezerra, J.; de Barros, M.V.G. Effects of a Physical Education Intervention on Academic Performance: A Cluster Randomised Controlled Trial. Int. J. Environ. Res. Public Health 2020, 17, 4287. [Google Scholar] [CrossRef]
- Garciá-Hermoso, A.; Ramírez-Vélez, R.; Lubans, D.R.; Izquierdo, M. Effects of Physical Education Interventions on Cognition and Academic Performance Outcomes in Children and Adolescents: A Systematic Review and Meta-Analysis. Br. J. Sports Med. 2021, 55, 1224–1232. [Google Scholar] [CrossRef]
- Vorkapic, C.F.; Alves, H.; Araujo, L.; Joaquim Borba-Pinheiro, C.; Coelho, R.; Fonseca, E.; Oliveira, A.; Dantas, E.H.M. Does Physical Activity Improve Cognition and Academic Performance in Children? A Systematic Review of Randomized Controlled Trials. Neuropsychobiology 2021, 80, 454–482. [Google Scholar] [CrossRef]
- Daly-Smith, A.J.; Zwolinsky, S.; McKenna, J.; Tomporowski, P.D.; Defeyter, M.A.; Manley, A. Systematic Review of Acute Physically Active Learning and Classroom Movement Breaks on Children’s Physical Activity, Cognition, Academic Performance and Classroom Behaviour: Understanding Critical Design Features. BMJ Open Sport Exerc. Med. 2018, 4, e000341. [Google Scholar] [CrossRef] [PubMed]
- Hakala, J.O.; Rovio, S.P.; Pahkala, K.; Nevalainen, J.; Juonala, M.; Hutri-Kähönen, N.; Heinonen, O.J.; Hirvensalo, M.; Telama, R.; Viikari, J.S.A.; et al. Physical Activity from Childhood to Adulthood and Cognitive Performance in Midlife. Med. Sci. Sports Exerc. 2019, 51, 882–890. [Google Scholar] [CrossRef]
- Tomporowski, P.D.; Davis, C.L.; Miller, P.H.; Naglieri, J.A. Exercise and Children’s Intelligence, Cognition, and Academic Achievement. Educ. Psychol. Rev. 2008, 20, 111–131. [Google Scholar] [CrossRef] [PubMed]
- Harvey, S.P.; Lambourne, K.; Greene, J.L.; Gibson, C.A.; Lee, J.; Donnelly, J.E. The Effects of Physical Activity on Learning Behaviors in Elementary School Children: A Randomized Controlled Trial. Contemp. Sch. Psychol. 2018, 22, 303–312. [Google Scholar] [CrossRef]
- Bangsbo, J.; Krustrup, P.; Duda, J.; Hillman, C.; Andersen, L.B.; Weiss, M.; Williams, C.A.; Lintunen, T.; Green, K.; Hansen, P.R.; et al. The Copenhagen Consensus Conference 2016: Children, Youth, and Physical Activity in Schools and during Leisure Time. Br. J. Sports Med. 2016, 50, 1177–1178. [Google Scholar] [CrossRef]
- Donnelly, J.E.; Hillman, C.H.; Castelli, D.; Etnier, J.L.; Lee, S.; Tomporowski, P.; Lambourne, K.; Szabo-Reed, A.N. Physical Activity, Fitness, Cognitive Function, and Academic Achievement in Children: A Systematic Review. Med. Sci. Sports Exerc. 2016, 48, 1197–1222. [Google Scholar] [CrossRef] [PubMed]
- Ulrich, S.; Hildenbrand, F.F.; Treder, U.; Fischler, M.; Keusch, S.; Speich, R.; Fasnacht, M. Reference Values for the 6-Minute Walk Test in Healthy Children and Adolescents in Switzerland. BMC Pulm. Med. 2013, 13, 49. [Google Scholar] [CrossRef] [PubMed]
- Bates, M.E.; Lemay, E.P. The D2 Test of Attention: Construct Validity and Extensions in Scoring Techniques. J. Int. Neuropsychol. Soc. 2004, 10, 392–400. [Google Scholar] [CrossRef] [PubMed]
- Muntaner-Mas, A.; Mora-Gonzalez, J.; Cabanas-Sánchez, V.; Pintado, L.B.; Salmon, J.; Hillman, C.H.; Castro-Piñero, J.; Perales, J.C.; Veiga, O.L.; Esteban-Cornejo, I. Prospective Associations between Physical Fitness and Executive Function in Adolescents: The UP&DOWN Study. Psychol. Sport. Exerc. 2022, 61, 102203. [Google Scholar] [CrossRef]
- Santana, C.C.A.; Azevedo, L.B.; Cattuzzo, M.T.; Hill, J.O.; Andrade, L.P.; Prado, W.L. Physical Fitness and Academic Performance in Youth: A Systematic Review. Scand. J. Med. Sci. Sports 2017, 27, 579–603. [Google Scholar] [CrossRef]
- Fedewa, A. The Effects of Physical Activity and Physical Fitness on Children’s Achievement and Cognitive Outcomes: A Meta-Analysis. Res. Q. Exerc. Sport. 2011, 82, 521–535. [Google Scholar] [CrossRef]
- Haapala, E.A.; Haapala, H.L.; Syväoja, H.; Tammelin, T.H.; Finni, T.; Kiuru, N. Longitudinal Associations of Physical Activity and Pubertal Development with Academic Achievement in Adolescents. J. Sport. Health Sci. 2020, 9, 265–273. [Google Scholar] [CrossRef]
- Honório, S.; Ramos, L.; Santos, J.; Serrano, J.; Petrica, J.; Batista, M. Exercise and Academic Performance: Implications of Aerobic Capacity and Hand Grip Strength in Middle-School Students. Rev. Rom. Pentru Educ. Multidimens. 2022, 14, 330–352. [Google Scholar] [CrossRef]
- Chang, Y.K.; Labban, J.D.; Gapin, J.I.; Etnier, J.L. The Effects of Acute Exercise on Cognitive Performance: A Meta-Analysis. Brain Res. 2012, 1453, 87–101. [Google Scholar] [CrossRef]
- Erickson, K.I.; Voss, M.W.; Prakash, R.S.; Basak, C.; Szabo, A.; Chaddock, L.; Kim, J.S.; Heo, S.; Alves, H.; White, S.M.; et al. Exercise Training Increases Size of Hippocampus and Improves Memory. Proc. Natl. Acad. Sci. USA 2011, 108, 3017–3022. [Google Scholar] [CrossRef]
- Astill, R.G.; Van der Heijden, K.B.; Van Ijzendoorn, M.H.; Van Someren, E.J.W. Sleep, Cognition, and Behavioral Problems in School-Age Children: A Century of Research Meta-Analyzed. Psychol. Bull. 2012, 138, 1109–1138. [Google Scholar] [CrossRef]
- Bailey, R. Sport, Physical Activity and Educational Achievement–towards an Explanatory Model. Sport Soc. 2017, 20, 768–788. [Google Scholar] [CrossRef]
- Smith, J.J.; Eather, N.; Morgan, P.J.; Plotnikoff, R.C.; Faigenbaum, A.D.; Lubans, D.R. The Health Benefits of Muscular Fitness for Children and Adolescents: A Systematic Review and Meta-Analysis. Sports Med. 2014, 44, 1209–1223. [Google Scholar] [CrossRef] [PubMed]
- Marsh, H.W.; Martin, A.J. Academic Self-Concept and Academic Achievement: Relations and Causal Ordering. Br. J. Educ. Psychol. 2011, 81, 59–77. [Google Scholar] [CrossRef] [PubMed]
- Zhao, Y.; Zheng, Z.; Pan, C.; Zhou, L. Self-Esteem and Academic Engagement Among Adolescents: A Moderated Mediation Model. Front. Psychol. 2021, 12, 690828. [Google Scholar] [CrossRef] [PubMed]
- Ivanovic, D.M.; Almagià, A.F.; Arancibia, V.C.; Ibaceta, C.V.; Arias, V.F.; Rojas, T.R.; Flores, O.C.; Villagrán, F.S.; Tapia, L.U.; Acevedo, J.A.; et al. A Multifactorial Approach of Nutritional, Intellectual, Brain Development, Cardiovascular Risk, Socio-Economic, Demographic and Educational Variables Affecting the Scholastic Achievement in Chilean Students: An Eight- Year Follow-up Study. PLoS ONE 2019, 14, e0212279. [Google Scholar] [CrossRef]
- Gutiérrez-De-rozas, B.; López-Martín, E.; Molina, E.C. Determinants of Academic Achievement: Systematic Review of 25 Years of Meta-Analyses. Rev. De Educ. 2022, 398, 37–80. [Google Scholar] [CrossRef]


| Male Students (n = 59) | ||||
|---|---|---|---|---|
| Mean (SD) | Range | Maximum | Minimum | |
| Anthropometrical measures | ||||
| Age (years) | 11.59 ± 1.30 | 5.00 | 15.00 | 10.00 |
| Height (cm) | 152.14 ± 10.49 | 22.00 | 141.00 | 163.00 |
| Body mass (kg) | 46.08 ± 12.26 | 52.00 | 78.00 | 26.00 |
| BMI (%) | 19.60 ± 3.40 | 15.07 | 28.40 | 13.33 |
| Physical fitness parameters | ||||
| 6MWT (m) | 643.43 ± 51.99 | 205.00 | 755.00 | 550.00 |
| 6MWT. VO2max (mL/min/kg) | 36.96 ± 4.65 | 20.59 | 47.34 | 26.75 |
| Subjects’ score | ||||
| Total | 7.19 ± 1.49 | 5.89 | 9.89 | 4.00 |
| SCI | 6.81 ± 1.76 | 7.33 | 10.00 | 2.67 |
| LETT | 6.85 ± 1.78 | 8.00 | 10.00 | 2.00 |
| LAN | 6.80 ± 1.85 | 7.00 | 10.00 | 3.00 |
| ART | 7.37 ± 1.76 | 7.00 | 10.00 | 3.00 |
| PE | 8.41 ± 1.23 | 7.00 | 10.00 | 3.00 |
| D2 test | ||||
| TR | 318.07 ± 77.58 | 441.00 | 564.00 | 153.00 |
| TA | 111.31 ± 60.83 | 499.00 | 511.00 | 12.00 |
| O | 27.00 ± 29.16 | 164.00 | 164.00 | 0.00 |
| C | 9.32 ± 12.74 | 66.00 | 66.00 | 0.00 |
| TR+ | 30.69 ± 8.33 | 44.00 | 47.00 | 3.00 |
| TR− | 14.69 ± 6.13 | 27.00 | 27.00 | 0.00 |
Disclaimer/Publisher’s Note: The statements, opinions and data contained in all publications are solely those of the individual author(s) and contributor(s) and not of MDPI and/or the editor(s). MDPI and/or the editor(s) disclaim responsibility for any injury to people or property resulting from any ideas, methods, instructions or products referred to in the content. |
© 2025 by the authors. Licensee MDPI, Basel, Switzerland. This article is an open access article distributed under the terms and conditions of the Creative Commons Attribution (CC BY) license (https://creativecommons.org/licenses/by/4.0/).
Share and Cite
Rico-González, M.; Martín-Moya, R.; Carlos-Vivas, J.; Giles-Girela, F.J.; Ardigò, L.P.; González-Fernández, F.T. Is Cardiopulmonary Fitness Related to Attention, Concentration, and Academic Performance in Different Subjects in Schoolchildren? J. Funct. Morphol. Kinesiol. 2025, 10, 272. https://doi.org/10.3390/jfmk10030272
Rico-González M, Martín-Moya R, Carlos-Vivas J, Giles-Girela FJ, Ardigò LP, González-Fernández FT. Is Cardiopulmonary Fitness Related to Attention, Concentration, and Academic Performance in Different Subjects in Schoolchildren? Journal of Functional Morphology and Kinesiology. 2025; 10(3):272. https://doi.org/10.3390/jfmk10030272
Chicago/Turabian StyleRico-González, Markel, Ricardo Martín-Moya, Jorge Carlos-Vivas, Francisco Javier Giles-Girela, Luca Paolo Ardigò, and Francisco Tomás González-Fernández. 2025. "Is Cardiopulmonary Fitness Related to Attention, Concentration, and Academic Performance in Different Subjects in Schoolchildren?" Journal of Functional Morphology and Kinesiology 10, no. 3: 272. https://doi.org/10.3390/jfmk10030272
APA StyleRico-González, M., Martín-Moya, R., Carlos-Vivas, J., Giles-Girela, F. J., Ardigò, L. P., & González-Fernández, F. T. (2025). Is Cardiopulmonary Fitness Related to Attention, Concentration, and Academic Performance in Different Subjects in Schoolchildren? Journal of Functional Morphology and Kinesiology, 10(3), 272. https://doi.org/10.3390/jfmk10030272

