The Protective Role of Physical Fitness Level Against Obesity and Body Dissatisfaction in French-Canadian Youth
Abstract
1. Introduction
2. Materials and Methods
2.1. Design
2.2. Participants
2.3. Anthropometric Measures
2.4. Physical Fitness Tests
- (A)
- VO2Peak
- (B)
- Anaerobic test
- (C)
- 30 m sprint test
- (D)
- V-test
- (E)
- Cadence push-ups
- (F)
- Cadence sit-ups
- (G)
- Vertical jump
2.5. Assessment of Body Image
2.6. Statistical Analysis
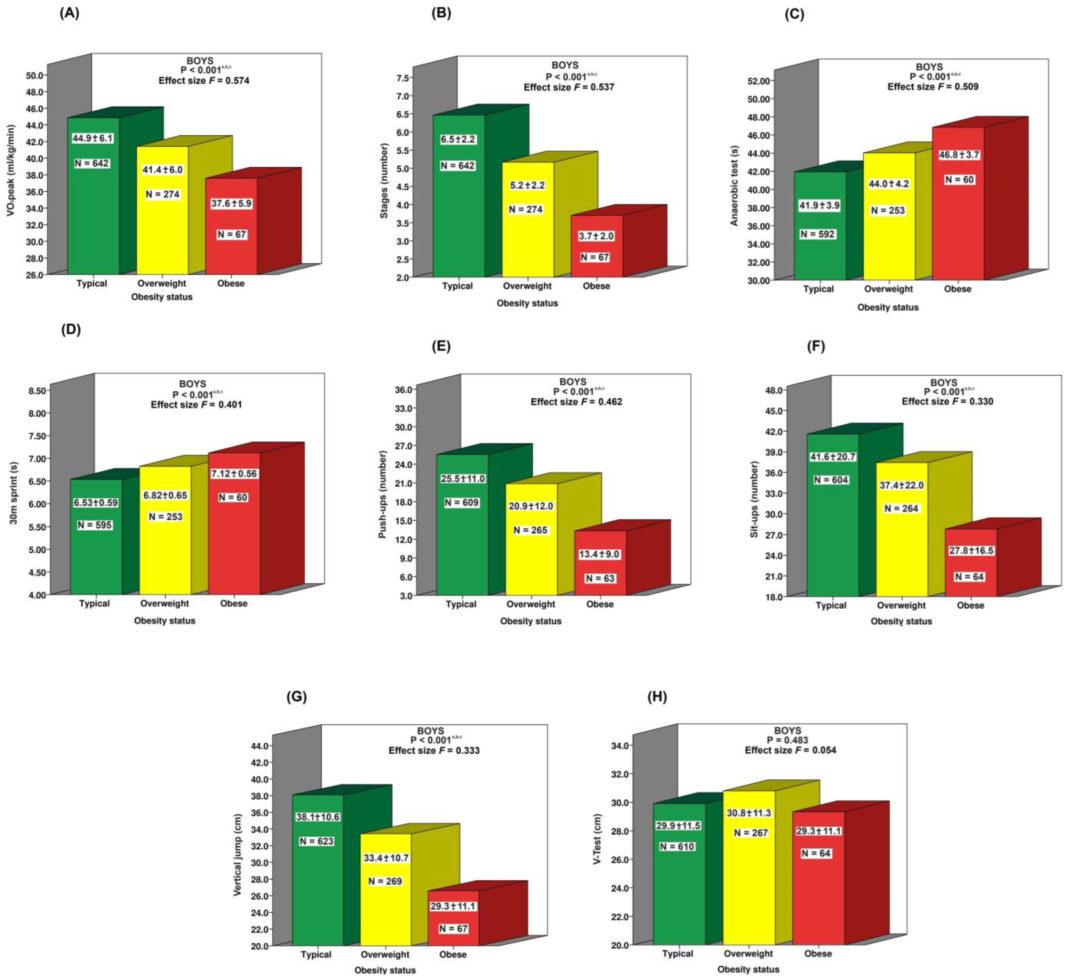
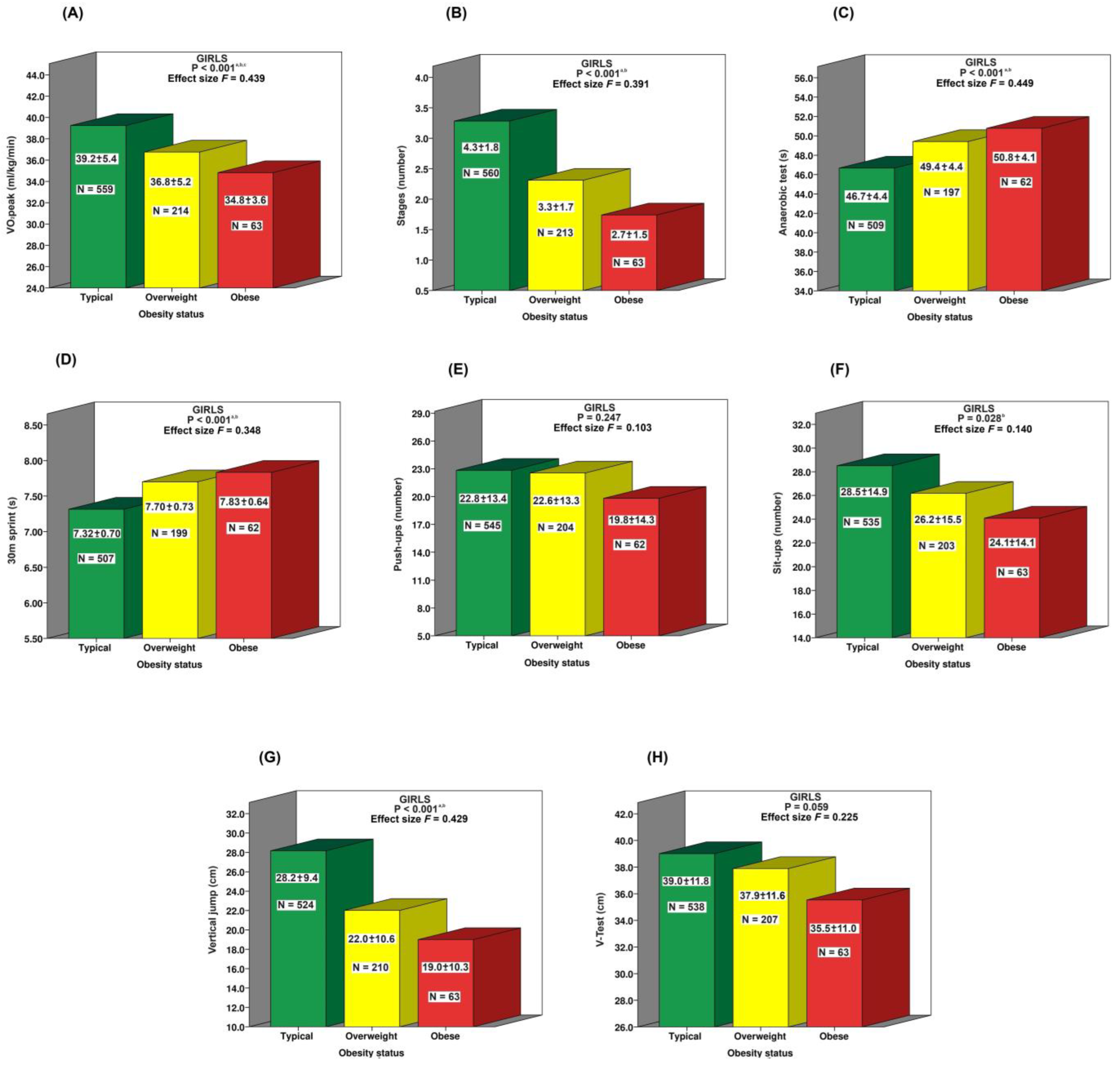
3. Results
4. Discussion
4.1. Standardization of Reference Values for Physical Fitness Tests in Adolescence
4.2. Relationship Between Obesity Status and Physical Fitness Level Assessment
4.3. Impact of Physical Fitness Level on Body Image Dissatisfaction
4.4. Body Image Dissatisfaction vs. Socioeconomic Status
4.5. Limitations and Strength
5. Conclusions
Author Contributions
Funding
Institutional Review Board Statement
Informed Consent Statement
Data Availability Statement
Acknowledgments
Conflicts of Interest
References
- Chwałczyńska, A.; Jędrzejewski, G.; Socha, M.; Jonak, W.; Sobiech, K.A. Physical fitness of secondary school adolescents in relation to the body weight and the body composition: Classification according to World Health Organization. Part I. J. Sports Med. Phys. Fit. 2017, 57, 244–251. [Google Scholar] [CrossRef]
- Kolimechkov, S. Physical fitness assessment in children and adolescents: A systematic review. Eur. J. Phys. Educ. Sports Sci. 2017, 3, 65–78. [Google Scholar] [CrossRef]
- Ortega, F.B.; Cadenas-Sanchez, C.; Lee, D.C.; Ruiz, J.R.; Blair, S.N.; Sui, X. Fitness and fatness as health markers through the lifespan: An Overview of Current Knowledge. Prog. Prev. Med. 2018, 2, e0013. [Google Scholar] [CrossRef]
- Rubín, L.; Mitáš, J.; Vorlíček, M.; Dygrýn, J.; Suchomel, A.; Lang, J.J.; Tomkinson, G.R. Normative-referenced values for health-related fitness among Czech youth: Physical fitness data from the study IPEN Adolescent Czech Republic. Eur. J. Public Health 2023, 31, 279–286. [Google Scholar] [CrossRef] [PubMed]
- Mahindru, A.; Patil, P.; Agrawal, V. Role of physical activity on mental health and well-being: A review. Cureus 2023, 15, e33475. [Google Scholar] [CrossRef] [PubMed]
- Leone, M.; Bui, H.T.; Kalinova, E.; Bourget-Gaudreault, S.; Levesque, P.; Lemoyne, J.; Gagnon, D.; Larivière, G.; Léger, L.; Allisse, M. Updating normative cross-sectional values and secular trends in body mass, body height and body mass index among Québec children and adolescents. Can. J. Public Health 2023, 114, 629–641. [Google Scholar] [CrossRef] [PubMed]
- Cardel, M.I.; Atkinson, M.A.; Taveras, E.M.; Holm, J.C.; Kelly, A.S. Obesity treatment among adolescents: A review of current evidence and future directions. JAMA Pediatr. 2020, 174, 609–617. [Google Scholar] [CrossRef]
- Dundar, I.; Akinci, A. Prevalence and predictive clinical characteristics of metabolically healthy obesity in obese children and adolescents. Cureus 2023, 15, e35935. [Google Scholar] [CrossRef] [PubMed]
- Franks, P.W.; Hanson, R.L.; Knowler, W.C.; Sievers, M.L.; Bennett, P.H.; Looker, H.C. Childhood obesity, other cardiovascular risk factors, and premature death. N. Engl. J. Med. 2010, 362, 485–493. [Google Scholar] [CrossRef] [PubMed]
- Leone, M.; Levesque, P.; Bourget-Gaudreault, S.; Lemoyne, J.; Kalinova, E.; Comtois, A.S.; Bui, H.T.; Léger, L.; Frémont, P.; Allisse, M. Secular trends of cardiorespiratory fitness in children and adolescents over a 35-year period: Chronicle of a predicted foretold. Front. Public Health 2023, 10, 1056484. [Google Scholar] [CrossRef] [PubMed]
- Tomkinson, G.R.; Lang, J.J.; Tremblay, M.S.; Dale, M.; LeBlanc, A.G.; Belanger, K.; Ortega, F.B.; Léger, L. International normative 20m shuttle run values from 1,142,026 children and youth representing 50 countries. Br. J. Sports Med. 2017, 51, 1545–1554. [Google Scholar] [CrossRef]
- Alvarez-Pitti, J.; Casajús Mallén, J.A.; Leis Trabazo, R.; Lucía, A.; López de Lara, D.; Moreno Aznar, L.A.; Rodríguez Martínez, G. Exercise as medicine in chronic diseases during childhood and adolescence. An. Pediatr. (Engl. Ed.) 2020, 92, 173.e1–173.e8. [Google Scholar] [CrossRef]
- Laakso, P.T.; Ortega, F.B.; Huotari, P.; Tolvanen, A.J.; Kujala, U.M.; Jaakkola, T.T. Adolescent cardiorespiratory fitness and future work ability. JAMA Network Open 2024, 7, e243861. [Google Scholar] [CrossRef] [PubMed]
- Dykstra, B.J.; Griffith, G.J.; Renfrow, M.S.; Mahon, A.D.; Harber, M.P. Cardiorespiratory and Muscular Fitness in Children and Adolescents with Obesity. Curr. Cardiol. Rep. 2024, 26, 349–357. [Google Scholar] [CrossRef] [PubMed]
- García-Hermoso, A.; Agostinis-Sobrinho, C.; Camargo-Villalba, G.E.; González-Jiménez, N.M.; Izquierdo, M.; Correa-Bautista, J.E.; Ramírez-Vélez, R. Normal-Weight Obesity Is Associated with Poorer Cardiometabolic Profile and Lower Physical Fitness Levels in Children and Adolescents. Nutrients 2020, 12, 1171. [Google Scholar] [CrossRef]
- de Lima, T.R.; Martins, P.C.; Moreno, Y.M.F.; Chaput, J.P.; Tremblay, M.S.; Sui, X.; Silva, D.A.S. Muscular fitness and cardiometabolic variables in children and adolescents: A systematic review. Sports Med. 2022, 52, 1555–1575. [Google Scholar] [CrossRef] [PubMed]
- García-Hermoso, A.; Ramírez-Campillo, R.; Izquierdo, M. Is muscular fitness associated with future health benefits in children and adolescents? A systematic review and meta-analysis of longitudinal studies. Sports Med. 2019, 49, 1079–1094. [Google Scholar] [CrossRef] [PubMed]
- Hoffmann, M.D.; Colley, R.C.; Doyon, C.Y.; Wong, S.L.; Tomkinson, G.R.; Lang, J.J. Normative-referenced percentile values for physical fitness among Canadians. Health Rep. 2019, 30, 14–22. [Google Scholar] [CrossRef]
- Colley, R.C.; Clarke, J.; Doyon, C.Y.; Janssen, I.; Lang, J.J.; Timmons, B.W.; Tremblay, M.S. Trends in physical fitness among Canadian children and youth. Health Rep. 2019, 16, 3–13. [Google Scholar] [CrossRef]
- Canadian Society for Exercise Physiology. Canadian Society for Exercise Physiology-Physical Activity Training for Health (CSEP-PATH); Canadian Society for Exercise Physiology: Ottawa, ON, Canada, 2013. [Google Scholar]
- Puchalska-Sarna, A.; Baran, R.; Kustra, M.; Pop, T.; Herbert, J.; Baran, J. The Level and factors differentiating the physical fitness of adolescents passively and actively resting in South-Eastern Poland. A pilot study. Children 2022, 9, 1341. [Google Scholar] [CrossRef] [PubMed]
- Sun, J.; Lin, C.; Wang, L.; Bi, C.; Qiao, B. A comparative study on the physical fitness of college students from different grades and majors in Jiangxi province. PLoS ONE 2024, 19, e0308483. [Google Scholar] [CrossRef] [PubMed]
- Cash, T.F.; Smolak, L. (Eds.) Body Image: A Handbook of Science, Practice, and Prevention; Guilford Press: New York, NY, USA, 2011. [Google Scholar]
- Grogan, S. Body Image: Understanding Body Dissatisfaction in Men, Women, and Children; Routledge: Abingdon-on-Thames, UK, 2016. [Google Scholar]
- Markey, C.N. Why body image is important to adolescent development. J. Youth Adolesc. 2010, 39, 1387–1391. [Google Scholar] [CrossRef]
- Ballarin, G.; Gallè, F.; Dinacci, L.; Liberti, F.; Cunti, A.; Valerio, G. Self-perception profile, body image perception and satisfaction in relation to body mass index: An investigation in a sample of adolescents from the Campania region, Italy. Children 2024, 11, 805. [Google Scholar] [CrossRef] [PubMed]
- Weinberger, N.A.; Kersting, A.; Riedel-Heller, S.G.; Luck-Sikorski, C. Body dissatisfaction in individuals with obesity compared to normal-weight individuals: A systematic review and meta-analysis. Obes. Facts 2016, 9, 424–441. [Google Scholar] [CrossRef] [PubMed]
- Goldfield, G.S.; Kenny, G.P.; Alberga, A.S.; Prud’homme, D.; Hadjiyannakis, S.; Gougeon, R.; Phillips, P.; Tulloch, H.; Malcolm, J.; Doucette, S.; et al. Effects of aerobic training, resistance training, or both on psychological health in adolescents with obesity: The HEARTY randomized controlled trial. J. Consult. Clin. Psychol. 2015, 83, 1123–1135. [Google Scholar] [CrossRef]
- Gualdi-Russo, E.; Rinaldo, N.; Zaccagni, L. Physical activity and body image perception in adolescents: A systematic review. Int. J. Environ. Res. Public Health 2022, 19, 13190. [Google Scholar] [CrossRef] [PubMed]
- Jáuregui-Lobera, I.; Iglesias Conde, A.; Sánchez Rodríguez, J.; Arispon Cid, J.; Andrades Ramírez, C.; Martin, H.; Bolaños-ríos, P. Self-perception of weight and physical fitness, body image perception, control weight behaviors and eating behaviors in adolescents. Nutr. Hosp. 2018, 35, 1115–1123. [Google Scholar] [CrossRef]
- Masotti, S.; Piva, T.; Zerbini, V.; Raisi, A.; Menegatti, E.; Pagani, A.; Bigoni, C.; Ballarin, E.; De Luca, F.; Zaccagni, L.; et al. Assessing the Relationship between body image satisfaction and physical activity in Italian adolescents: A cross-sectional investigation. Children 2024, 11, 818. [Google Scholar] [CrossRef] [PubMed]
- Moreno-Díaz, M.I.; Vaquero-Solís, M.; Tapia-Serrano, M.Á.; Sánchez-Miguel, P.A. Physical activity, body composition, physical fitness, and body dissatisfaction in physical education of extremadura adolescents: An exploratory study. Children 2024, 11, 83. [Google Scholar] [CrossRef]
- Leone, M.; Bui, H.T.; Kalinova, E.; Lemoyne, J.; Gagnon, D.; Léger, L.; Larivière, G.; Allisse, M. Investigation of underlying association between anthropometric and cardiorespiratory fitness markers among overweight and obese adolescents in Canada. Int. J. Environ. Res. Public Health 2024, 21, 408. [Google Scholar] [CrossRef] [PubMed]
- Lohman, T.G.; Roche, A.F.; Martorell, R. Anthropometric Standardization Reference Manual; Human Kinetics Books: Champaign, IL, USA, 1988. [Google Scholar]
- Cole, T.J.; Bellizzi, M.C.; Flegal, K.M.; Dietz, W.H. Establishing a standard definition for child overweight and obesity worldwide: International survey. BMJ 2000, 320, 1240–1243. [Google Scholar] [CrossRef]
- Léger, L.A.; Mercier, D.; Gadoury, C.; Lambert, J. The multistage 20 metre shuttle run test for aerobic fitness. J. Sports Sci. 1988, 6, 93–101. [Google Scholar] [CrossRef] [PubMed]
- Zagatto, A.M.; Beck, W.R.; Gobatto, C.A. Validity of the running anaerobic sprint test for assessing anaerobic power and predicting short-distance performances. J. Strength. Cond. Res. 2009, 23, 1820–1827. [Google Scholar] [CrossRef] [PubMed]
- Hui, S.S.; Yuen, P.Y. Validity of the modified back-saver sit-and-reach test: A comparison with other protocols. Med. Sci. Sports Exerc. 2000, 32, 1655–1659. [Google Scholar] [CrossRef]
- Léger, L.; Leone, M. Muscular endurance tests with imposed rhythm (in French). CAHPER J. 1985, 55, 27–33. [Google Scholar]
- Bui, H.T.; Farinas, M.I.; Fortin, A.M.; Comtois, A.S.; Leone, M. Comparison and analysis of three different methods to evaluate vertical jump height. Clin. Physiol. Funct. Imaging 2015, 35, 203–209. [Google Scholar] [CrossRef]
- Thompson, M.A.; Gray, J.J. Development and validation of a new body image assessment scale. J. Pers. Assess. 1995, 64, 258–269. [Google Scholar] [CrossRef] [PubMed]
- World Health Organization. WHO Child Growth Standards: Length/Height-for-Age, Weight-for-Age, Weight-for-Length, Weight-for-Height and Body Mass Index-for-Age: Methods and Development; World Health Organization: Geneva, Switzerland, 2006; Available online: https://www.who.int/tools/child-growth-standards/standards (accessed on 26 June 2024).
- Hoaglin, D.C.; Iglewicz, B. Fine tuning some resistant rules for outlier labeling. J. Am. Stat. Assoc. 1987, 82, 1147–1149. [Google Scholar] [CrossRef]
- Kaster, T.; Dooley, F.L.; Fitzgerald, J.S.; Walch, T.J.; Annandale, M.; Ferrar, K.; Lang, J.J.; Smith, J.J.; Tomkinson, G.R. Temporal trends in the sit-ups performance of 9,939,289 children and adolescents between 1964 and 2017. J. Sports Sci. 2020, 38, 1913–1923. [Google Scholar] [CrossRef] [PubMed]
- Leone, M.; Larivière, G.; Comtois, A.S. Discriminant analysis of anthropometric and biomotor variables among elite adolescent female athletes in four sports. J. Sports Sci. 2002, 20, 443–449. [Google Scholar] [CrossRef] [PubMed]
- Allisse, M.; Sercia, P.; Comtois, A.S.; Leone, M. Morphological, physiological and skating performance profiles of male age-group elite ice hockey players. J. Hum. Kinet. 2017, 58, 87–97. [Google Scholar] [CrossRef][Green Version]
- de Andrade, V.L.; Papoti, M.; Zapaterra Campos, E.; Kalva-Filho, C.A.; Bucken Gobbi, R.; Palucci Vieira, L.H.; Souza Bedo, B.; Pereira Santiago, P.R. Lactacidemic variation and movement patterns during anaerobic power test. J. Sports Med. Phys. Fit. 2018, 58, 576–582. [Google Scholar] [CrossRef] [PubMed]
- Allisse, M.; Bui, H.T.; Desjardins, P.; Roy, P.; Comtois, A.; Leone, M. Prediction of maximum lactate concentration during an all-out anaerobic test in elite ice hockey players. Int. J. Exerc. Sci. 2023, 16, 1385–1397. [Google Scholar] [PubMed Central]
- Ruiz, J.R.; Cavero-Redondo, I.; Ortega, F.B.; Welk, G.J.; Andersen, L.B.; Martinez-Vizcaino, V. Cardiorespiratory fitness cut points to avoid cardiovascular disease risk in children and adolescents; what level of fitness should raise a red flag? A systematic review and meta-analysis. Br. J. Sports Med. 2016, 50, 1451–1458. [Google Scholar] [CrossRef] [PubMed]
- Millard-Stafford, M.; Becasen, J.S.; Beets, M.W.; Nihiser, A.J.; Lee, S.M.; Fulton, J.E. Is physical fitness associated with health in overweight and obese youth? A systematic review. Kinesiol. Rev. 2013, 2, 233–247. [Google Scholar] [CrossRef]
- Striegel-Moore, R.; Franko, D. Body image issues among girls and women. In Body Image: A Handbook of Theory, Research, and Clinical Practice; Cash, T.F., Pruzinsky, T., Eds.; Guilford Press: New York, NY, USA, 2002; pp. 183–191. [Google Scholar]
- Ricciardelli, L.A.; McCabe, M.P. A biopsychosocial model of disordered eating and the pursuit of muscularity in adolescent boys. Psychol. Bull. 2004, 130, 179–205. [Google Scholar] [CrossRef] [PubMed]
- Dunn, J.; Lewis, V.; Patrick, S. The idealization of thin figures and appearance concerns in middle school children. J. Appl. Biobehav. Res. 2010, 15, 134–143. [Google Scholar] [CrossRef]
- Quittkat, H.L.; Hartmann, A.S.; Düsing, R.; Buhlmann, U.; Vocks, S. Body dissatisfaction, importance of appearance, and body appreciation in men and women over the lifespan. Front. Psychiatr. 2019, 10, 864. [Google Scholar] [CrossRef] [PubMed]
- Johnson, E.L.; Salafia, E.H.B. Mediating effects of intimacy between body talk and girls’ body dissatisfaction: The forgotten sibling relationship. J. Youth Adolesc. 2022, 51, 1230–1240. [Google Scholar] [CrossRef] [PubMed]
- Fernández-Bustos, J.G.; Infantes-Paniagua, Á.; Gonzalez-Martí, I.; Contreras-Jordán, O.R. Body dissatisfaction in adolescents: Differences by sex, BMI and type and organisation of physical activity. Int. J. Environ. Res. Public Health 2019, 16, 3109. [Google Scholar] [CrossRef] [PubMed]
- Angel, T.M.; Jorge, M.L.; David, S.O.; Mikel, V.S.; Antonio, S.P. Mediating effect of fitness and fatness on the association between lifestyle and body dissatisfaction in Spanish youth. Physiol. Behav. 2021, 232, 113340. [Google Scholar] [CrossRef] [PubMed]
- Gestsdottir, S.; Svansdottir, E.; Ommundsen, Y.; Arnarsson, A.; Arngrimsson, S.; Sveinsson, T.; Johannsson, E. Do aerobic fitness and self-reported fitness in adolescence differently predict body image in young adulthood? An eight-year follow-up study. Ment. Health Phys. Act. 2016, 10, 40–47. [Google Scholar] [CrossRef]
- Ministère de l’Éducation et de l’Enseignement Supérieur (MEES), Gouvernement du Québec. Indices de Défavorisation; Gouvernement du Québec: Québec, QC, Canada, 2020. Available online: http://www.education.gouv.qc.ca/references/indicateurs-et-statistiques/indices-de-defavorisation/ (accessed on 10 May 2024).
- Lopez-Muley, C.; López, M.J.; Pérez, K.; Sánchez-Ledesma, E.; Serral, G. Changes in social inequalities in excess body weight and body dissatisfaction among adolescents in Barcelona, Spain, 2016-2021. Public Health 2024, 236, 27–34. [Google Scholar] [CrossRef] [PubMed]
- Spinosa, J.; Christiansen, P.; Dickson, J.M.; Lorenzetti, V.; Hardman, C.A. From socioeconomic disadvantage to obesity: The mediating role of psychological distress and emotional eating. Obesity 2019, 27, 559–564. [Google Scholar] [CrossRef]



| Boys | ||||||
|---|---|---|---|---|---|---|
| Variables | 12 Years N = 122 | 13 Years N = 223 | 14 Years N = 165 | 15 Years N = 200 | 16 Years N = 154 | 17 Years N = 86 |
| BM (kg) | 48.2 ± 9.9 | 54.8 ± 13.1 | 57.6 ± 10.2 | 62.9 ± 11.1 | 66.4 ± 11.7 | 68.9 ± 11.6 |
| BH (cm) | 155.1 ± 8.6 | 161.3 ± 9.0 | 166.5 ± 7.7 | 170.6 ± 6.6 | 172.7 ± 7.6 | 173.5 ± 7.8 |
| BMI (kg/m2) | 20.7 ± 4.2 | 20.9 ± 4.0 | 21.2 ± 3.9 | 21.9 ± 4.1 | 22.5 ± 4.4 | 23.5 ± 4.4 |
| WC (cm) | 73.2 ± 10.6 | 74.8 ± 10.3 | 76.4 ± 10.6 | 78.3 ± 10.3 | 80.2 ± 10.2 | 82.3 ± 10.1 |
| WHtR | 0.47 ± 0.06 | 0.46 ± 0.06 | 0.46 ± 0.06 | 0.46 ± 0.06 | 0.46 ± 0.06 | 0.47 ± 0.07 |
| VO2peak | 44.8 ± 5.3 | 43.8 ± 4.9 | 44.5 ± 6.7 | 43.0 ± 6.9 | 42.8 ± 7.3 | 40.9 ± 7.3 |
| Stages (nb) | 5.1 ± 2.0 | 5.3 ± 1.9 | 6.1 ± 2.5 | 6.2 ± 2.5 | 6.6 ± 2.5 | 6.6 ± 2.4 |
| Anaerobic (s) | 44.7 ± 4.1 | 44.7 ± 4.3 | 42.4 ± 4.1 | 41.8 ± 4.0 | 41.5 ± 3.5 | 41.1 ± 3.7 |
| Sprint (s) | 6.94 ± 0.62 | 6.96 ± 0.64 | 6.57 ± 0.58 | 6.49 ± 0.59 | 6.46 ± 0.53 | 6.33 ± 0.47 |
| Push-ups (nb) | 20.1 ± 11.5 | 19.4 ± 10.9 | 23.2 ± 10.8 | 25.4 ± 11.5 | 26.7 ± 12.1 | 27.9 ± 10.3 |
| Sit-ups (nb) | 41.2 ± 21.3 | 36.7 ± 21.0 | 37.6 ± 17.4 | 41.0 ± 22.0 | 41.2 ± 23.0 | 40.7 ± 20.2 |
| Jump (cm) | 28.6 ± 10.1 | 31.4 ± 8.6 | 36.4 ± 10.4 | 38.0 ± 9.0 | 42.3 ± 10.7 | 41.3 ± 12.6 |
| V-test (cm) | 30.5 ± 10.1 | 27.3 ± 10.9 | 31.0 ± 11.4 | 31.7 ± 11.1 | 31.3 ± 11.6 | 29.2 ± 13.0 |
| Girls | ||||||
| Variables | 12 years N = 151 | 13 years N = 205 | 14 years N = 134 | 15 years N = 112 | 16 years N = 126 | 17 years N = 66 |
| BM (kg) | 47.9 ± 9.4 | 51.6 ± 10.6 | 55.3 ± 10.1 | 56.9 ± 8.7 | 58.8 ± 9.2 | 59.7 ± 9.9 |
| BH (cm) | 154.9 ± 6.3 | 157.5 ± 6.1 | 158.3 ± 6.2 | 161.5 ± 6.7 | 160.0 ± 7.0 | 162.7 ± 7.8 |
| BMI (kg/m2) | 20.8 ± 4.3 | 21.1 ± 4.1 | 23.0 ± 4.8 | 22.1 ± 3.4 | 22.8 ± 4.1 | 23.0 ± 4.1 |
| WC (cm) | 73.5 ± 10.1 | 74.5 ± 10.1 | 75.7 ± 9.8 | 76.6 ± 10.1 | 77.7 ± 10.0 | 78.6 ± 10.0 |
| WHtR | 0.48 ± 0.06 | 0.47 ± 0.06 | 0.48 ± 0.06 | 0.47 ± 0.06 | 0.48 ± 0.05 | 0.49 ± 0.06 |
| VO2peak | 41.3 ± 4.3 | 39.5 ± 4.6 | 37.3 ± 4.3 | 38.3 ± 5.6 | 36.0 ± 6.0 | 33.8 ± 5.5 |
| Stages (nb) | 3.8 ± 1.7 | 3.7 ± 1.7 | 3.5 ± 1.6 | 4.5 ± 2.0 | 4.3 ± 2.1 | 4.1 ± 1.8 |
| Anaerobic (s) | 49.0 ± 4.2 | 47.9 ± 4.2 | 47.7 ± 4.7 | 46.9 ± 4.6 | 47.2 ± 5.2 | 46.7 ± 4.8 |
| Sprint (s) | 7.66 ± 0.64 | 7.50 ± 0.69 | 7.43 ± 0.75 | 7.32 ± 0.72 | 7.40 ± 0.80 | 7.25 ± 0.78 |
| Push-ups (nb) | 24.2 ± 14.1 | 22.1 ± 13.2 | 22.2 ± 13.0 | 22.9 ± 14.6 | 22.4 ± 13.0 | 19.1 ± 12.5 |
| Sit-ups (nb) | 28.9 ± 14.6 | 24.2 ± 11.8 | 25.5 ± 13.0 | 29.5 ± 16.7 | 31.9 ± 19.2 | 27.0 ± 15.1 |
| Jump (cm) | 20.6 ± 9.9 | 22.9 ± 9.6 | 24.1 ± 8.4 | 31.1 ± 9.0 | 30.3 ± 10.2 | 31.5 ± 9.5 |
| V-test (cm) | 38.3 ± 11.1 | 39.0 ± 12.0 | 38.6 ± 11.4 | 38.2 ± 11.9 | 38.7 ± 11.6 | 37.2 ± 12.2 |
| Percentiles VO2peak (N = 1862) | |||||||||||
|---|---|---|---|---|---|---|---|---|---|---|---|
| N | L | M | S | 3 | 10 | 25 | 50 | 75 | 90 | 97 | |
| Boys | |||||||||||
| 12 years | 128 | 1.00 | 44.6 | 0.118 | 34.7 | 37.9 | 41.1 | 44.6 | 48.2 | 51.4 | 54.5 |
| 13 years | 225 | 1.01 | 43.8 | 0.112 | 34.6 | 37.5 | 40.5 | 43.8 | 47.1 | 50.1 | 53.0 |
| 14 years | 181 | 0.65 | 44.7 | 0.151 | 32.7 | 36.3 | 40.2 | 44.7 | 49.3 | 53.6 | 58.0 |
| 15 years | 215 | 0.99 | 43.1 | 0.161 | 30.1 | 34.2 | 38.4 | 43.1 | 47.8 | 52.0 | 56.2 |
| 16 years | 163 | 1.00 | 42.6 | 0.171 | 28.9 | 33.3 | 37.7 | 42.6 | 47.5 | 51.9 | 56.3 |
| 17 years | 96 | 1.01 | 41.5 | 0.179 | 27.5 | 32.0 | 36.5 | 41.5 | 46.5 | 51.0 | 55.5 |
| Girls | |||||||||||
| 12 years | 166 | −0.41 | 41.3 | 0.104 | 34.2 | 36.3 | 38.5 | 41.3 | 44.3 | 47.4 | 50.6 |
| 13 years | 214 | 1.21 | 39.2 | 0.117 | 32.3 | 34.2 | 36.4 | 39.2 | 42.6 | 46.3 | 50.6 |
| 14 years | 145 | −0.30 | 37.0 | 0.115 | 30.0 | 32.0 | 34.3 | 37.0 | 40.0 | 43.0 | 46.3 |
| 15 years | 124 | 0.24 | 37.9 | 0.146 | 28.5 | 31.3 | 34.3 | 37.9 | 41.8 | 45.5 | 49.5 |
| 16 years | 133 | −0.51 | 36.6 | 0.167 | 27.4 | 29.9 | 32.8 | 36.6 | 41.1 | 45.9 | 51.5 |
| 17 years | 72 | −0.10 | 34.1 | 0.163 | 25.2 | 27.7 | 30.6 | 34.1 | 38.1 | 42.1 | 46.6 |
| Percentiles 1 min stages (N = 1862) | |||||||||||
| N | L | M | S | 3 | 10 | 25 | 50 | 75 | 90 | 97 | |
| Boys | |||||||||||
| 12 years | 128 | 1.00 | 5.0 | 0.392 | 1.3 | 2.5 | 3.7 | 5.0 | 6.3 | 7.5 | 8.7 |
| 13 years | 225 | 0.99 | 5.5 | 0.359 | 1.8 | 3.0 | 4.2 | 5.5 | 6.8 | 8.0 | 9.2 |
| 14 years | 181 | 0.71 | 6.2 | 0.410 | 2.0 | 3.2 | 4.6 | 6.2 | 8.0 | 9.7 | 11.5 |
| 15 years | 215 | 0.86 | 6.1 | 0.403 | 1.8 | 3.1 | 4.6 | 6.1 | 7.9 | 9.5 | 11.1 |
| 16 years | 163 | 1.00 | 6.5 | 0.379 | 1.8 | 3.3 | 4.8 | 6.5 | 8.2 | 9.7 | 11.1 |
| 17 years | 96 | 1.01 | 6.5 | 0.364 | 2.0 | 3.5 | 4.9 | 6.5 | 8.1 | 9.5 | 11.0 |
| Girls | |||||||||||
| 12 years | 166 | 0.58 | 3.7 | 0.460 | 1.1 | 1.8 | 2.6 | 3.7 | 4.9 | 6.1 | 7.5 |
| 13 years | 214 | 1.00 | 3.8 | 0.460 | 0.5 | 1.6 | 2.6 | 3.8 | 5.0 | 6.0 | 7.1 |
| 14 years | 145 | 0.64 | 3.1 | 0.457 | 0.9 | 1.5 | 2.2 | 3.1 | 4.1 | 5.1 | 6.2 |
| 15 years | 124 | 0.62 | 4.2 | 0.444 | 1.3 | 2.1 | 3,0 | 4.2 | 5.5 | 6.8 | 8.2 |
| 16 years | 133 | 0.51 | 4.3 | 0.488 | 1.2 | 2.0 | 3.0 | 4.3 | 5.8 | 7.4 | 9.1 |
| 17 years | 72 | 1.00 | 4.0 | 0.475 | 0.4 | 1.6 | 2.7 | 4.0 | 5.3 | 6.4 | 7.6 |
| Percentiles 30 m sprint (N = 1685) | |||||||||||
|---|---|---|---|---|---|---|---|---|---|---|---|
| N | L | M | S | 3 | 10 | 25 | 50 | 75 | 90 | 97 | |
| Boys | |||||||||||
| 12 years | 116 | 1.00 | 6.85 | 0.089 | 8.00 | 7.63 | 7.26 | 6.85 | 6.44 | 6.07 | 5.70 |
| 13 years | 210 | −1.38 | 6.97 | 0.092 | 8.49 | 7.92 | 7.43 | 6.96 | 6.56 | 6.24 | 5.96 |
| 14 years | 163 | −1.12 | 6.57 | 0.088 | 7.89 | 7.42 | 6.99 | 6.57 | 6.21 | 5.91 | 5.65 |
| 15 years | 191 | −2.33 | 6.47 | 0.091 | 8.05 | 7.42 | 6.92 | 6.47 | 6.11 | 5.84 | 5.61 |
| 16 years | 149 | −1.79 | 6.44 | 0.082 | 7.72 | 7.24 | 6.83 | 6.44 | 6.11 | 5.85 | 5.62 |
| 17 years | 84 | 1.00 | 6.30 | 0.074 | 7.18 | 6.90 | 6.62 | 6.30 | 5.99 | 5.70 | 5.43 |
| Girls | |||||||||||
| 12 years | 166 | 151 | 1.00 | 7.61 | 0.083 | 8.81 | 8.43 | 8.05 | 7.62 | 7.20 | 6.81 |
| 13 years | 214 | 200 | −0.82 | 7.45 | 0.091 | 8.96 | 8.42 | 7.94 | 7.45 | 7.02 | 6.67 |
| 14 years | 145 | 133 | 0.99 | 7.30 | 0.101 | 8.69 | 8.25 | 7.80 | 7.30 | 6.80 | 6.36 |
| 15 years | 124 | 108 | 1.01 | 7.23 | 0.098 | 8.56 | 8.14 | 7.71 | 7.23 | 6.75 | 6.32 |
| 16 years | 133 | 115 | 1.00 | 7.34 | 0.109 | 8.84 | 8.36 | 7.88 | 7.34 | 6.80 | 6.31 |
| 17 years | 72 | 65 | −0.40 | 7.14 | 0.107 | 8.80 | 8.22 | 7.68 | 7.14 | 6.65 | 6.24 |
| Percentiles anaerobic test (N = 1683) | |||||||||||
| N | L | M | S | 3 | 10 | 25 | 50 | 75 | 90 | 97 | |
| Boys | |||||||||||
| 12 years | 116 | 1.00 | 44.33 | 0.092 | 52.00 | 49.56 | 47.08 | 44.33 | 41.58 | 39.10 | 36.66 |
| 13 years | 207 | −1.25 | 44.75 | 0.097 | 55.05 | 51.23 | 47.91 | 44.75 | 42.02 | 39.87 | 37.97 |
| 14 years | 164 | −1.29 | 42.53 | 0.096 | 52.23 | 48.63 | 45.50 | 42.53 | 39.97 | 37.94 | 36.16 |
| 15 years | 188 | −2.12 | 41.79 | 0.095 | 52.32 | 48.12 | 44.77 | 41.79 | 39.35 | 37.50 | 35.91 |
| 16 years | 149 | −1.58 | 41.56 | 0.084 | 49.85 | 46.77 | 44.10 | 41.56 | 39.37 | 37.63 | 36.09 |
| 17 years | 87 | −2.20 | 41.00 | 0.090 | 50.68 | 46.84 | 43.76 | 41.00 | 38.73 | 36.99 | 35.50 |
| Girls | |||||||||||
| 12 years | 152 | 1.00 | 48.76 | 0.085 | 56.56 | 54.07 | 51.55 | 48.76 | 45.97 | 43.45 | 40.96 |
| 13 years | 201 | −0.80 | 47.79 | 0.088 | 57.08 | 53.79 | 50.78 | 47.79 | 45.10 | 42.90 | 40.91 |
| 14 years | 133 | 0.99 | 47.11 | 0.098 | 55.80 | 53.03 | 50.22 | 47.11 | 44.00 | 41.20 | 38.44 |
| 15 years | 107 | −2.52 | 46.61 | 0.097 | 59.52 | 54.11 | 50.06 | 46.61 | 43.87 | 41.83 | 40.11 |
| 16 years | 114 | 1.00 | 46.64 | 0.111 | 56.38 | 53.28 | 50.13 | 46.64 | 43.15 | 40.00 | 36.90 |
| 17 years | 65 | 1.01 | 46.04 | 0.106 | 55.21 | 52.29 | 49.33 | 46.04 | 42.75 | 39.78 | 36.85 |
| Percentiles cadence push-ups (N = 1778) | |||||||||||
|---|---|---|---|---|---|---|---|---|---|---|---|
| N | L | M | S | 3 | 10 | 25 | 50 | 75 | 90 | 97 | |
| Boys | |||||||||||
| 12 years | 122 | 0.38 | 21.3 | 0.572 | 5.3 | 9.0 | 14.0 | 21.3 | 30.5 | 40.7 | 52.5 |
| 13 years | 211 | 0.50 | 19.8 | 0.573 | 4.2 | 7.9 | 12.9 | 19.8 | 28.2 | 37.0 | 46.9 |
| 14 years | 173 | 1.00 | 23.0 | 0.466 | 2.8 | 9.3 | 15.8 | 23.0 | 30.2 | 36.7 | 43.2 |
| 15 years | 212 | 1.00 | 25.0 | 0.453 | 3.7 | 10.5 | 17.4 | 25.0 | 32.6 | 39.5 | 46.3 |
| 16 years | 157 | 0.99 | 26.0 | 0.464 | 3.3 | 10.5 | 17.9 | 26.0 | 34.1 | 41.5 | 48.7 |
| 17 years | 84 | 1.01 | 30.0 | 0.373 | 9.0 | 15.7 | 22.5 | 30.0 | 37.5 | 44.3 | 51.1 |
| Girls | |||||||||||
| 12 years | 158 | 0.52 | 23.3 | 0.630 | 4.1 | 8.3 | 14.1 | 23.3 | 32.7 | 43.8 | 56.4 |
| 13 years | 211 | 0.48 | 22.4 | 0.618 | 4.9 | 9.2 | 15.1 | 22.4 | 33.5 | 44.3 | 56.6 |
| 14 years | 142 | 0.47 | 23.3 | 0.586 | 3.8 | 8.3 | 14.6 | 23.3 | 35.0 | 47.0 | 60.7 |
| 15 years | 119 | 0.50 | 23.7 | 0.638 | 4.6 | 9.0 | 14.9 | 23.7 | 33.0 | 43.3 | 54.8 |
| 16 years | 123 | 0.52 | 23.1 | 0.580 | 3.6 | 7.0 | 12.0 | 23.1 | 29.3 | 40.2 | 53.1 |
| 17 years | 66 | 0.40 | 19.5 | 0.655 | 5.3 | 9.0 | 14.0 | 19.5 | 30.5 | 40.7 | 52.5 |
| Percentiles cadence sit-ups (N = 1740) | |||||||||||
| N | L | M | S | 3 | 10 | 25 | 50 | 75 | 90 | 97 | |
| Boys | |||||||||||
| 12 years | 122 | −0.10 | 38.0 | 0.517 | 15.0 | 20.0 | 27.0 | 38.0 | 54.2 | 75.4 | 100.0 |
| 13 years | 214 | 0.37 | 34.8 | 0.572 | 8.8 | 14.8 | 23.0 | 34.8 | 49.9 | 66.6 | 86.1 |
| 14 years | 172 | 0.24 | 38.1 | 0.463 | 14.3 | 20.1 | 27.5 | 38.1 | 51.5 | 66.4 | 84.0 |
| 15 years | 208 | 0.48 | 40.0 | 0.537 | 8.6 | 15.7 | 25.7 | 40.0 | 58.1 | 77.7 | 100.0 |
| 16 years | 152 | −0.03 | 40.8 | 0.558 | 14.5 | 20.1 | 28.1 | 40.8 | 59.6 | 84.1 | 100.0 |
| 17 years | 87 | 0.07 | 41.4 | 0.496 | 15.8 | 21.6 | 29.5 | 41.4 | 57.6 | 77.1 | 100.0 |
| Girls | |||||||||||
| 12 years | 158 | 0.29 | 26.0 | 0.512 | 8.4 | 12.6 | 18.1 | 26.0 | 36.1 | 47.4 | 60.8 |
| 13 years | 206 | 0.66 | 24.1 | 0.488 | 5.9 | 10.8 | 16.6 | 24.1 | 32.5 | 40.7 | 49.4 |
| 14 years | 141 | 0.62 | 25.5 | 0.510 | 5.9 | 11.0 | 17.3 | 25.5 | 34.8 | 44.1 | 54.1 |
| 15 years | 113 | 0.36 | 29.2 | 0.566 | 7.6 | 12.6 | 19.4 | 29.2 | 41.7 | 55.6 | 71.9 |
| 16 years | 128 | 0.18 | 32.3 | 0.602 | 9.1 | 14.1 | 21.2 | 32.3 | 47.8 | 66.5 | 90.5 |
| 17 years | 69 | 0.20 | 28.2 | 0.560 | 8.6 | 13.0 | 19.0 | 28.2 | 40.6 | 55.2 | 73.3 |
| Percentiles vertical jump (N = 1778) | |||||||||||
|---|---|---|---|---|---|---|---|---|---|---|---|
| N | L | M | S | 3 | 10 | 25 | 50 | 75 | 90 | 97 | |
| Boys | |||||||||||
| 12 years | 124 | 1.00 | 28.9 | 0.353 | 9.7 | 15.8 | 22.0 | 28.9 | 35.8 | 42.0 | 48.1 |
| 13 years | 218 | 0.99 | 31.0 | 0.274 | 15.1 | 20.1 | 25.3 | 31.0 | 36.7 | 41.9 | 47.0 |
| 14 years | 175 | 1.01 | 36.7 | 0.286 | 16.9 | 23.2 | 29.6 | 36.7 | 43.8 | 50.1 | 56.4 |
| 15 years | 206 | 1.00 | 38.6 | 0.237 | 21.4 | 26.9 | 32.4 | 38.6 | 44.8 | 50.3 | 55.8 |
| 16 years | 156 | 1.00 | 42.3 | 0.253 | 22.2 | 28.6 | 35.1 | 42.3 | 49.5 | 56.0 | 62.4 |
| 17 years | 92 | 1.01 | 41.6 | 0.305 | 17.6 | 25.3 | 33.0 | 41.6 | 50.1 | 57.8 | 65.4 |
| Girls | |||||||||||
| 12 years | 151 | 1.00 | 23.8 | 0.419 | 5.0 | 11.0 | 17.1 | 23.8 | 30.5 | 36.6 | 42.6 |
| 13 years | 199 | 1.00 | 25.3 | 0.349 | 8.7 | 14.0 | 19.3 | 25.3 | 31.3 | 36.6 | 41.9 |
| 14 years | 139 | 0.40 | 29.9 | 0.289 | 16.2 | 20.0 | 24.4 | 29.9 | 36.1 | 42.2 | 48.9 |
| 15 years | 119 | 0.14 | 30.3 | 0.337 | 15.6 | 19.4 | 24.1 | 30.3 | 37.9 | 46.1 | 55.6 |
| 16 years | 129 | 0.99 | 31.4 | 0.302 | 13.6 | 19.2 | 25.0 | 31.4 | 37.8 | 43.6 | 49.2 |
| 17 years | 70 | 1.00 | 28.9 | 0.353 | 9.7 | 15.8 | 22.0 | 28.9 | 35.8 | 42.0 | 48.1 |
| Percentiles V-test (N = 1772) | |||||||||||
| N | L | M | S | 3 | 10 | 25 | 50 | 75 | 90 | 97 | |
| Boys | |||||||||||
| 12 years | 116 | 1.00 | 31.0 | 0.331 | 11.7 | 17.8 | 24.1 | 31.0 | 37.9 | 44.2 | 50.3 |
| 13 years | 214 | 1.00 | 27.0 | 0.399 | 6.7 | 13.2 | 19.7 | 27.0 | 34.3 | 40.8 | 47.3 |
| 14 years | 174 | 0.99 | 30.5 | 0.368 | 9.5 | 16.2 | 22.9 | 30.5 | 38.1 | 44.9 | 51.7 |
| 15 years | 205 | 1.01 | 33.0 | 0.350 | 11.2 | 18.2 | 25.2 | 33.0 | 40.8 | 47.8 | 54.7 |
| 16 years | 154 | 1.01 | 33.0 | 0.372 | 9.8 | 17.2 | 24.7 | 33.0 | 41.3 | 48.7 | 56.0 |
| 17 years | 93 | 0.99 | 30.0 | 0.445 | 5.0 | 12.9 | 21.0 | 30.0 | 39.0 | 47.2 | 55.2 |
| Girls | |||||||||||
| 12 years | 156 | 1.00 | 38.0 | 0.290 | 17.3 | 23.9 | 30.6 | 38.0 | 45.4 | 52.1 | 58.7 |
| 13 years | 210 | 1.00 | 40.3 | 0.308 | 17.0 | 24.4 | 31.9 | 40.3 | 48.7 | 56.2 | 63.6 |
| 14 years | 142 | 1.01 | 38.0 | 0.295 | 16.8 | 23.6 | 30.4 | 38.0 | 45.5 | 52.3 | 59.0 |
| 15 years | 114 | 1.13 | 39.3 | 0.312 | 15.0 | 23.1 | 30.9 | 39.3 | 47.5 | 54.7 | 61.6 |
| 16 years | 125 | 0.99 | 39.0 | 0.300 | 17.1 | 24.0 | 31.1 | 39.0 | 46.9 | 54.0 | 61.1 |
| 17 years | 69 | 1.00 | 38.0 | 0.328 | 14.6 | 22.0 | 29.6 | 38.0 | 46.4 | 54.0 | 61.4 |
| Overall Body Image Dissatisfaction | ||||
|---|---|---|---|---|
| All Participants | Boys | Girls | ||
| N = 885 | % | N = 803 | % | |
| Satisfied | 354 | 40.0 | 281 | 35.0 |
| Want to be thinner | 222 | 25.1 | 419 | 52.2 |
| Want to be bigger | 309 | 34.9 | 103 | 12.8 |
| Body image dissatisfaction based on the desire to be thinner or bigger | ||||
| Dissatisfied | N = 531 | % | N = 522 | % |
| Want to be thinner | 222 | 41.8 | 419 | 80.3 |
| Want to be bigger | 309 | 58.2 | 103 | 19.7 |
| Body image dissatisfaction vs. BMI | ||||
| Typical BMI | N = 569 | % | N = 533 | % |
| Satisfied | 274 | 48.2 | 239 | 44.8 |
| Dissatisfied | 295 | 51.8 | 294 | 55.2 |
| Overweight | N = 245 | % | N = 200 | % |
| Satisfied | 68 | 27.8 | 34 | 17.0 |
| Dissatisfied | 177 | 72.2 | 166 | 83.0 |
| Obese | N = 61 | % | N = 60 | % |
| Satisfied | 9 | 14.8 | 6 | 10.0 |
| Dissatisfied | 52 | 85.2 | 54 | 90.0 |
| Body image dissatisfaction vs. socioeconomic status | ||||
| Mean | SD | Mean | SD | |
| Favorable | 1.58 | 0.49 | 1.59 | 0.49 |
| Unfavorable | 1.61 | 0.49 | 1.69 | 0.46 |
| p values (Student’s t-test) | 0.351 | 0.002 | ||
| Validation of self-assessment of body image | ||||
| R (N = 763) | Kendall’s Tau-B | R (N = 689) | Kendall’s Tau-B | |
| Independent rating | 0.767 | 0.696 | 0.813 | 0.725 |
| Boys | ||||||
|---|---|---|---|---|---|---|
| Satisfied | N | Dissatisfied | N | p Values | Cohen’s d | |
| Age | 14.9 ± 1.5 | 354 | 14.9 ± 1.6 | 531 | 0.640 | 0.00 |
| BM (kg) | 57.0 ± 11.2 | 338 | 61.2 ± 13.9 | 505 | <0.001 | 0.33 |
| BH (cm) | 166.2 ± 10.1 | 352 | 166.6 ± 10.2 | 522 | 0.503 | 0.00 |
| BMI (kg/m2) | 20.9 ± 3.4 | 350 | 22.3 ± 4.5 | 525 | <0.001 | 0.34 |
| WC (cm) | 74.6 ± 9.3 | 343 | 78.8 ± 11.3 | 520 | <0.001 | 0.40 |
| WHtR | 0.45 ± 0.05 | 344 | 0.47 ± 0.07 | 522 | <0.001 | 0.32 |
| VO2peak (mL/kg/min) | 44.5 ± 6.6 | 354 | 42.7 ± 6.4 | 531 | <0.001 | 0.28 |
| Stages (nb) | 6.3 ± 2.3 | 354 | 5.7 ± 2.3 | 531 | <0.001 | 0.26 |
| Anaerobic power (s) | 42.2 ± 3.8 | 333 | 43.2 ± 4.5 | 499 | 0.001 | 0.24 |
| Sprint (s) | 6.55 ± 0.56 | 333 | 6.71 ± 0.66 | 499 | <0.001 | 0.26 |
| Push-ups (nb) | 25.8 ± 11.6 | 342 | 21.6 ± 11.3 | 518 | <0.001 | 0.37 |
| Sit-ups (nb) | 41.9 ± 19.9 | 336 | 37.2 ± 21.3 | 517 | 0.001 | 0.23 |
| Vertical jump (cm) | 38.1 ± 10.4 | 341 | 34.7 ± 11.4 | 524 | <0.001 | 0.31 |
| V-test (cm) | 30.9 ± 10.8 | 343 | 29.7 ± 11.7 | 517 | 0.136 | 0.11 |
| Cumulative score | 55.0 ± 17.6 | 297 | 47.7 ± 19.5 | 468 | <0.001 | 0.39 |
| Girls | ||||||
| Age | 14.7 ± 1.5 | 281 | 14.7 ± 1.6 | 522 | 0.070 | 0.00 |
| BM (kg) | 51.3 ± 9.1 | 273 | 55.5 ± 10.8 | 480 | <0.001 | 0.41 |
| BH (cm) | 159.0 ± 7.2 | 275 | 158.6 ± 6.9 | 510 | 0.439 | 0.06 |
| BMI (kg/m2) | 20.4 ± 3.4 | 278 | 22.7 ± 4.5 | 516 | <0.001 | 0.55 |
| WC (cm) | 72.2 ± 8.8 | 275 | 77.4 ± 10.3 | 514 | <0.001 | 0.53 |
| WHtR | 0.46 ± 0.05 | 274 | 0.49 ± 0.06 | 514 | <0.001 | 0.53 |
| VO2peak (mL/kg/min) | 39.4 ± 5.4 | 280 | 37.5 ± 5.2 | 522 | <0.001 | 0.36 |
| Stages (nb) | 4.2 ± 1.8 | 281 | 3.7 ± 1.8 | 521 | <0.001 | 0.28 |
| Anaerobic power (s) | 46.9 ± 4.6 | 256 | 48.3 ± 4.4 | 483 | <0.001 | 0.31 |
| Sprint (s) | 7.33 ± 0.73 | 255 | 7.55 ± 0.70 | 484 | <0.001 | 0.31 |
| Push-ups (nb) | 22.8 ± 14.2 | 278 | 22.5 ± 13.0 | 513 | 0.731 | 0.00 |
| Sit-ups (nb) | 29.0 ± 14.5 | 266 | 26.2 ± 15.0 | 508 | 0.011 | 0.19 |
| Vertical jump (cm) | 27.6 ± 9.8 | 257 | 24.5 ± 10.3 | 503 | <0.001 | 0.31 |
| V-test (cm) | 39.6 ± 12.0 | 271 | 37.8 ± 11.5 | 509 | 0.037 | 0.15 |
| Cumulative score | 53.7 ± 18.2 | 225 | 46.5 ± 18.0 | 447 | <0.001 | 0.40 |
| Variables | Satisfied | N | Dissatisfied | N | p Values | Cohen’s d |
|---|---|---|---|---|---|---|
| Age | 14.7 ± 1.5 | 513 | 14.9 ± 1.6 | 589 | 0.066 | 0.13 |
| BM (kg) | 52.2 ± 9.6 | 504 | 51.7 ± 10.1 | 579 | 0.397 | 0.05 |
| BH (cm) | 162.8 ± 9.6 | 510 | 162.5 ± 9.9 | 581 | 0.551 | 0.03 |
| BMI (kg/m2) | 19.6 ± 2.6 | 511 | 19.4 ± 3.0 | 589 | 0.156 | 0.07 |
| WC (cm) | 71.4 ± 8.0 | 503 | 71.7 ± 8.2 | 587 | 0.548 | 0.04 |
| WHtR | 0.44 ± 0.04 | 503 | 0.44 ± 0.05 | 587 | 0.226 | 0.00 |
| VO2peak (mL/kg/min) | 42.8 ± 6.5 | 512 | 41.4 ± 6.3 | 589 | <0.001 | 0.22 |
| Stages (nb) | 5.6 ± 2.3 | 513 | 5.2 ± 2.3 | 589 | 0.005 | 0.17 |
| Anaerobic power (s) | 44.0 ± 4.7 | 479 | 44.5 ± 4.9 | 549 | 0.050 | 0.10 |
| Sprint (s) | 6.86 ± 0.73 | 479 | 7.00 ± 0.77 | 548 | 0.023 | 0.19 |
| Push-ups (nb) | 24.8 ± 12.8 | 501 | 23.5 ± 11.8 | 582 | 0.083 | 0.11 |
| Sit-ups (nb) | 36.5 ± 18.9 | 486 | 33.5 ± 19.2 | 572 | 0.013 | 0.16 |
| Vertical jump (cm) | 34.2 ± 10.8 | 482 | 32.4 ± 11.7 | 569 | 0.009 | 0.16 |
| V-test (cm) | 34.8 ± 12.5 | 497 | 33.9 ± 12.6 | 570 | 0.244 | 0.07 |
| Cumulative score | 56.0 ± 17.1 | 421 | 52.8 ± 17.6 | 509 | 0.005 | 0.18 |
Disclaimer/Publisher’s Note: The statements, opinions and data contained in all publications are solely those of the individual author(s) and contributor(s) and not of MDPI and/or the editor(s). MDPI and/or the editor(s) disclaim responsibility for any injury to people or property resulting from any ideas, methods, instructions or products referred to in the content. |
© 2025 by the authors. Licensee MDPI, Basel, Switzerland. This article is an open access article distributed under the terms and conditions of the Creative Commons Attribution (CC BY) license (https://creativecommons.org/licenses/by/4.0/).
Share and Cite
Leone, M.; Thibault, I.; Bui, H.T.; Kalinova, E.; Lemoyne, J.; Gagnon, D.; Larivière, G.; Allisse, M. The Protective Role of Physical Fitness Level Against Obesity and Body Dissatisfaction in French-Canadian Youth. J. Funct. Morphol. Kinesiol. 2025, 10, 46. https://doi.org/10.3390/jfmk10010046
Leone M, Thibault I, Bui HT, Kalinova E, Lemoyne J, Gagnon D, Larivière G, Allisse M. The Protective Role of Physical Fitness Level Against Obesity and Body Dissatisfaction in French-Canadian Youth. Journal of Functional Morphology and Kinesiology. 2025; 10(1):46. https://doi.org/10.3390/jfmk10010046
Chicago/Turabian StyleLeone, Mario, Isabelle Thibault, Hung Tien Bui, Emilia Kalinova, Jean Lemoyne, Dominic Gagnon, Georges Larivière, and Maxime Allisse. 2025. "The Protective Role of Physical Fitness Level Against Obesity and Body Dissatisfaction in French-Canadian Youth" Journal of Functional Morphology and Kinesiology 10, no. 1: 46. https://doi.org/10.3390/jfmk10010046
APA StyleLeone, M., Thibault, I., Bui, H. T., Kalinova, E., Lemoyne, J., Gagnon, D., Larivière, G., & Allisse, M. (2025). The Protective Role of Physical Fitness Level Against Obesity and Body Dissatisfaction in French-Canadian Youth. Journal of Functional Morphology and Kinesiology, 10(1), 46. https://doi.org/10.3390/jfmk10010046

